Quantifying Vertical Temperature Non-Uniformity for Cold-Formed Steel Structural Fire-Resistant Design
Abstract
1. Introduction
2. Compartment Fire Test
2.1. Introduction of Experimental Model
2.2. Arrangement of Thermocouple Measurement Points in Test Models
2.3. Temperature-Rise Curve Analysis of the Test Model
3. Analysis of Indoor Temperature Rise Throughout Fire Test
3.1. Temperature-Rise Curve Calculation Formula
3.2. Research on the Non-Uniform Distribution of Temperature with Height
3.2.1. Temperature Reduction Coefficient Calculation Formula
3.2.2. Verification of Temperature Reduction Coefficient



3.3. Verification of Time–Temperature Curve with Vertical Non-Uniformity
4. Application of the Time–Temperature Curve Calculation Formula
4.1. Temperature Load
4.1.1. Temperature Non-Uniform Distribution Area Division
4.1.2. Time–Temperature Curve
4.2. Numerical Simulation Calculation Model
4.2.1. Heat Transfer Model
4.2.2. Simplified Thermo-Mechanical Model
4.2.3. Element Type and Mesh
4.3. Material Parameters
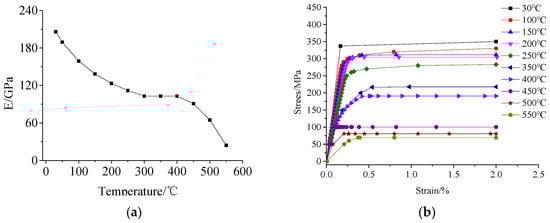
4.3.1. High-Temperature Material Properties of Steel
4.3.2. High-Temperature Material Performance of Plasterboard
4.4. Comparison of Numerical Simulation Results with Experiments
4.4.1. Cold-Flange Temperature of Stud
4.4.2. Failure Mode
- (1)
- Early fire stage: One-sided fire exposure creates cross-sectional temperature gradients, inducing fireside bending deformation under wallboard restraint.
- (2)
- Late fire stage: Plasterboard board detachment eliminates restraint, triggering torsional buckling.
- (3)
- Vertical temperature non-uniformity further localized deformations: upper-region boards detached earliest due to higher temperatures, middle boards followed, while lower boards remained intact. Consequently, deformations were concentrated primarily in middle–upper column zones.
4.4.3. Fire Resistance Time
5. Conclusions
- (1)
- Fire test recordings demonstrate that confined-space heating curves evolve through three characteristic phases: initial confined combustion with temperature rise/decline due to oxygen depletion, subsequent reignition triggered by air ingress, and final flashover to fully developed fire. Significant vertical temperature non-uniformity persists throughout these stages. The staged heating curve formulation integrates principles from Barnett’s BFD curve, enhanced by a height-dependent reduction coefficient. Calibrated against multi-source fire test data, this coefficient exhibits broad applicability to confined fires. The comprehensive formula accounts for both temporal development and vertical thermal gradients, demonstrating high accuracy when validated against experimental temperature fields.
- (2)
- Thermo-mechanical coupled simulations under three vertical temperature distributions were compared with physical tests. Uniform vertical distribution produced mismatched failure modes and a substantial fire resistance time error (12.75%). Conversely, non-uniform distributions yielded congruent failure modes with minimal time errors (1.60% for Case 2; 1.52% for Case 3). These results confirm that height-dependent temperature profiles are essential for accurate component-level simulations.
- (3)
- Actual confined-space fires exhibit three distinct vertical thermal regions. This study establishes region-specific reduction coefficients: top area (x ≥ 0.7H): 1.0; middle area (x < 0.7H): 0.73; bottom area (x ≤ 0.4H): 0.34. Derived through comparative analysis of simulation scenarios, these universally applicable coefficients enable efficient computation of compartment temperature fields and reliable thermal loading for structural simulations.
Author Contributions
Funding
Data Availability Statement
Acknowledgments
Conflicts of Interest
References
- ISO 834; Fire Resistance Tests—Elements of Building Construction. International Organization for Standardization: Geneva, Switzerland, 1975.
- Blagojević, M.Đ.; Pešić, D.J. A new curve for temperature-time relationship in compartment fire. Therm. Sci. 2011, 15, 339–352. [Google Scholar] [CrossRef]
- ASTM E119-98; Standard Test Methods for Fire Tests of Building Construction and Materials. American Society for Testing and Materials: West Conshohocken, PA, USA, 1998.
- EN 1991-1-2; CEN Eurocode 1: Actions on Structures—Part 1–2: General Actions—Actions on Structures Exposed to Fire. European Committee for Standardization: Brussels, Belgium, 2002.
- Magnusson, S.E.; Frantzich, H.; Harada, K. Fire safety design based on calculations: Uncertainty analysis and safety verification. Fire Saf. J. 1996, 27, 305–334. [Google Scholar] [CrossRef]
- Lie, T.T. ASCE Manuals and Reports on Engineering Practice No. 78: Structural Fire Protection; American Society of Civil Engineers: New York, NY, USA, 1992. [Google Scholar]
- Ma, Z.; Mäkeläinen, P. Parametric temperature–time curves of medium compartment fires for structural design. Fire Saf. J. 2000, 34, 361–375. [Google Scholar] [CrossRef]
- Barnett, C.R. Replacing international temperature–time curves with BFD curve. Fire Saf. J. 2007, 42, 321–327. [Google Scholar] [CrossRef]
- Barnett, C.R. BFD curve: A new empirical model for fire compartment temperatures. Fire Saf. J. 2002, 37, 437–463. [Google Scholar] [CrossRef]
- Barnett, C.R.; Clifton, G.C. Examples of fire engineering design for steel members, using a standard curve versus a new parametric curve. Fire Mater. 2004, 28, 309–322. [Google Scholar] [CrossRef]
- Wang, L.; Lim, J.; Quintiere, J.G. On the prediction of fire-induced vent flows using FDS. J. Fire Sci. 2012, 30, 110–121. [Google Scholar]
- Zhao, G.; Beji, T.; Merci, B. Application of FDS to under-ventilated enclosure fires with external flaming. Fire Technol. 2016, 52, 2117–2142. [Google Scholar] [CrossRef]
- Manco, M.R.; Vaz, M.A.; Cyrino, J.C.R.; Landesmann, A. Ellipsoidal Solid Flame Model for Structures Under Localized Fire. Fire Technol. 2018, 54, 1505–1532. [Google Scholar] [CrossRef]
- Prieler, R.; Mayrhofer, M.; Eichhorn-Gruber, M.; Hochenauer, C. Development of a numerical approach based on coupled CFD/FEM analysis for virtual fire resistance tests—Part A: Thermal analysis of the gas phase combustion and different test specimens. Fire Mater. 2019, 43, 34–50. [Google Scholar] [CrossRef]
- Silva, J.C.G.; Landesmann, A.; Ribeiro, F.L.B. Fire-thermomechanical interface model for performance-based analysis of structures exposed to fire. Fire Saf. J. 2016, 83, 66–78. [Google Scholar] [CrossRef]
- Feenstra, J.A.; Hofmeyer, H.; van Herpen, R.A.P.; Maljaars, J. Automated two-way coupling of CFD fire simulations to thermomechanical FE analyses at the overall structural level. Fire Saf. J. 2018, 96, 165–175. [Google Scholar] [CrossRef]
- Shahbazian, A.; Wang, Y.C. Calculating the global buckling resistance of thin-walled steel members with uniform and non-uniform elevated temperatures under axial compression. Thin Walled Struct. 2011, 49, 1415–1428. [Google Scholar] [CrossRef]
- Ye, J.H.; Chen, W.W. Experimental study on fire resistance of full-scale cold-formed steel composite shear wall structure under real fire conditions. J. Build. Struct. 2021, 42, 59–71. (In Chinese) [Google Scholar]
- NFPA 557; Standard for Determination of Fire Loads for Use in Structural Fire Protection Design. National Fire Protection Association: Quincy, MA, USA, 2012.
- Tsai, L.C.; Chiu, C.W. Full-scale experimental studies for backdraft using solid materials. Process Saf. Environ. Prot. 2013, 91, 202–212. [Google Scholar] [CrossRef]
- Kolaitis, D.I.; Asimakopoulou, E.K.; Founti, M.A. Fire behaviour of gypsum plasterboard wall assemblies: CFD simulation of a full-scale residential building. Case Stud. Fire Saf. 2017, 7, 23–35. [Google Scholar] [CrossRef]
- Guillaume, E.; Didieux, F.; Thiry, A.; Bensakhria, A.; Bertin, F. Real-scale fire tests of one bedroom apartments with regard to tenability assessment. Fire Saf. J. 2014, 70, 81–97. [Google Scholar] [CrossRef]
- Chen, W.W.; Ye, J.H. Simplified calculation model for load-bearing CFS composite walls under fire conditions. Adv. Struct. Eng. 2020, 23, 1500–1512. [Google Scholar] [CrossRef]
- Chen, W.W.; Ye, J.H. A new simplified calculation model of CFS composite exterior walls under fire conditions. Structures 2019, 22, 53–64. [Google Scholar] [CrossRef]
- Ye, J.H.; Chen, W.W. Simplified Calculation of Fire Resistant Temperature for Cold-formed Steel Load-bearing Composite Walls. Structures 2020, 28, 1661–1674. [Google Scholar] [CrossRef]
- Sultan, M.A. Comparison of gypsum board fall-off in wall and floor assemblies exposed to furnace heat. In Proceedings of the 12th International Conference on Fire Science and Engineering, Interflam 2010, Nottingham, UK, 5–7 July 2010. [Google Scholar]
- Gerlich, J.T.; Collier, P.C.R.; Buchanan, A.H. Design of light steel-framed walls for fire resistance. Fire Mater. 1996, 20, 79–96. [Google Scholar] [CrossRef]
- Gunalan, S.; Mahendran, M. Fire performance of cold-formed steel wall panels and prediction of the fire resistance rating. Fire Saf. J. 2014, 64, 61–80. [Google Scholar] [CrossRef]















| Model | Fire Load Distribution | Location Description | Simulated Scenario |
|---|---|---|---|
| Model I | Concentrated fire loads | Along the WC-side wall (where the linear density of wood strips is three times that of other areas) | Wall-mounted closets in the red box (Figure 1c) |
| Model II | Concentrated fire loads | In the corner region (where the density of wood strips is three times that of other areas) | Stacked combustibles in the red box (e.g., curtains, books) (Figure 1d) |
| Model III | Uniformly distributed fire loads | Across the area (using wood cribs) | Standard distributed fire load (Figure 1e) |
| Stage | Description |
|---|---|
| Stage 1 (Confined Fire Phase) | Initial temperature rise followed by decline due to oxygen depletion in the enclosed space, reducing heat release rate and causing temperature drop. |
| Stage 2 (Reignition Phase) | Temperature spike triggered by fresh air ingress through windows, reigniting wood cribs and inducing secondary temperature rise. |
| Stage 3 (Flashover to Fully Developed Fire) | Indoor temperatures reach critical levels, causing rapid flame expansion and uncontrolled fire spread. |
| Parameters | AT1 | AV = wVhV | AT2 = AT1 − AV | FV = AVhV | FO2 = FV/AT2 | SC = 1/(9.25FO2 + 0.21) |
|---|---|---|---|---|---|---|
| Calculated values | 133.374 m2 | 4.140 m2 | 129.234 m2 | 8.694 | 0.067 | 1.206 |
| Model Number | T0 (°C) | t1 (min) | Tm1 (°C) | tm1 (min) | t2 (min) | Tm2 (°C) | tm2 (min) |
|---|---|---|---|---|---|---|---|
| Model I | 23.614 | 13.000 | 358.459 | 5.333 | 32.333 | 841.179 | 40.667 |
| Model II | 13.564 | 12.667 | 280.649 | 7.000 | 31.667 | 614.325 | 40.333 |
| Model III | 12.498 | 15.000 | 141.526 | 4.333 | 132.667 | 800.000 | 142.667 |
| Model | Observation Description |
|---|---|
| Model I | Strong agreement in Stages 1–2; late Stage 3 deviations due to artificial extinguishment causing rapid temperature decline (Figure 7). |
| Model II | Close alignment between calculated and measured curves at all elevations (Figure 8). |
| Model III | Experimental curves match Equation (6) predictions at all heights. The predefined 800 °C peak temperature (for prematurely extinguished fires) results in higher calculated values versus measurements (Figure 9). |
| Condition | Temperature Distribution Description |
| Condition I | Uniform temperature distribution (Figure 11a) |
| Condition II | Three-area division with middle zone coefficient θ = 0.73 at x = 0.5H (Figure 11b) |
| Condition III | Top and bottom coefficients matching Condition II, with the middle area subdivided into (0.4H–0.5H), (0.5H–0.6H), and (0.5H–0.6H) to represent internal thermal gradients (Figure 11c) |
| Temperature (°C) | Thermal Conductivity (W/m∙K) | Specific Heat (J/(kg∙°C)) | Coefficient of Thermal Expansion (°C−1) |
|---|---|---|---|
| 20 | 53.33 | 440.00 | 7.79 × 10−6 |
| 100 | 50.67 | 492.62 | 7.93 × 10−6 |
| 200 | 47.34 | 549.76 | 8.16 × 10−6 |
| 300 | 44.01 | 609.74 | 9.09 × 10−6 |
| 400 | 40.68 | 685.88 | 1.08 × 10−5 |
| 500 | 37.35 | 791.50 | 1.36 × 10−5 |
| 600 | 34.02 | 675.43 | 1.71 × 10−5 |
| Temperature (°C) | Thermal Conductivity (W/(m·K)) | Temperature (°C) | Density (kg/m3) | Temperature (°C) | Specific Heat (J/(kg·K)) |
|---|---|---|---|---|---|
| 25 | 0.3405 | 0 | 680 | 20 | 1000 |
| 80 | 0.2809 | 100 | 680 | 85 | 985 |
| 160 | 0.1556 | 140 | 564 | 130 | 22,010 |
| 220 | 0.1277 | 600 | 564 | 160 | 1000 |
| 300 | 0.1243 | 700 | 544 | 600 | 1000 |
| 400 | 0.1589 | 800 | 544 | 660 | 3000 |
| 500 | 0.2276 | 1200 | 544 | 700 | 1000 |
| 670 | 0.2851 | ||||
| 720 | 0.3395 | ||||
| 800 | 0.3895 | ||||
| 900 | 0.4453 |
| Disruption Guidelines | Fire Resistance Time (Minutes) | Error (%) | ||
|---|---|---|---|---|
| Numerical Simulation Calculation Model | Test Model | |||
| Loss of insulation | Heat transfer model | 35.55 | 37.00 | 3.92 |
| Loss of carrying capacity | Working condition I | 46.60 | 41.33 | 12.75 |
| Working condition II | 40.67 | 1.60 | ||
| Working condition III | 40.70 | 1.52 | ||
Disclaimer/Publisher’s Note: The statements, opinions and data contained in all publications are solely those of the individual author(s) and contributor(s) and not of MDPI and/or the editor(s). MDPI and/or the editor(s) disclaim responsibility for any injury to people or property resulting from any ideas, methods, instructions or products referred to in the content. |
© 2026 by the authors. Licensee MDPI, Basel, Switzerland. This article is an open access article distributed under the terms and conditions of the Creative Commons Attribution (CC BY) license.
Share and Cite
Chen, W.; Ye, J. Quantifying Vertical Temperature Non-Uniformity for Cold-Formed Steel Structural Fire-Resistant Design. Buildings 2026, 16, 502. https://doi.org/10.3390/buildings16030502
Chen W, Ye J. Quantifying Vertical Temperature Non-Uniformity for Cold-Formed Steel Structural Fire-Resistant Design. Buildings. 2026; 16(3):502. https://doi.org/10.3390/buildings16030502
Chicago/Turabian StyleChen, Wenwen, and Jihong Ye. 2026. "Quantifying Vertical Temperature Non-Uniformity for Cold-Formed Steel Structural Fire-Resistant Design" Buildings 16, no. 3: 502. https://doi.org/10.3390/buildings16030502
APA StyleChen, W., & Ye, J. (2026). Quantifying Vertical Temperature Non-Uniformity for Cold-Formed Steel Structural Fire-Resistant Design. Buildings, 16(3), 502. https://doi.org/10.3390/buildings16030502
