1. Introduction
In China’s cold northern and high-altitude regions, concrete structures are chronically exposed to freeze–thaw cycles and frequently exhibit characteristic damage, such as aggregate–mortar interface debonding and internal structural loosening. This results in a marked decline in load-bearing capacity, thereby jeopardizing structural safety and long-term durability [
1]. Once concrete reaches its performance limit due to freeze-thaw action, repair becomes difficult and costly. Therefore, enhancing frost resistance at the material level is of paramount importance.
Compared with conventional concrete, recycled coarse aggregate concrete (RCAC) utilizes waste construction materials. Its aggregates exhibit significantly greater porosity and a more complex internal pore structure, leading to a more intricate freeze-thaw damage mechanism [
2]. Most studies indicate a general decline in frost resistance with increasing RCA replacement ratio. For instance, reductions of 10.39%, 14.59%, and 21.09% in the cube compressive strength of concrete were recorded after 100 freeze–thaw cycles, corresponding to RCA replacement ratios of 0%, 50%, and 100%, respectively [
3]. Han et al. [
4] reported corresponding maximum endurance limits of 125, 100, and 75 cycles for these replacement ratios. Similarly, an increase in the replacement level of recycled brick aggregate (RBA) leads to a decline in the frost resistance of the resulting concrete [
5,
6]. Ji et al. [
7] quantified this relationship by observing that over a 100-cycle period, increases in the RBA replacement ratio from 0% to 100% corresponded with a rise in flexural strength loss from 26.43% to 38.43%, an increase in mass loss from 0.713% to 1.2%, and a decline in the RDEM from 75.85% to 66.49%. Recent research has further revealed the differential impact of the RCA type and microstructure on frost resistance. Li et al. [
8] concluded that RCA significantly accelerated the damage process based on a systematic evaluation of the replacement ratio and freeze–thaw cycles. They reported that samples with a replacement ratio exceeding 50% developed significant surface deterioration, characterized by mortar loss and consequent aggregate exposure after multiple cycles along with heightened mass loss and a further diminished RDEM.
However, some studies have reported inconsistent findings. For example, Su et al. [
9] reported that after 60 freeze–thaw cycles, conventional concrete exhibited lower retention rates for both the relative compressive strength and the RDEM than concrete with a 50% RBA replacement ratio after 60 freeze–thaw cycles. This finding indicates that under certain mix proportions and processing conditions, RBA concrete can exhibit superior frost resistance [
10,
11]. Supporting this view, the study by Tan et al. [
12] demonstrated that concrete’s frost resistance was enhanced with RBA incorporation. They linked higher replacement ratios to a decelerated rate of mass loss and reduction in the dynamic elastic modulus.
The discrepancies in these performance assessments likely stem from the significant variability in the inherent characteristics of recycled aggregates, particularly RBA—key attributes such as crushing index and water absorption are typically greater and more variable than those of natural aggregates. This variability influences the cement hydration reaction and the interfacial transition zone (ITZ) microstructure, ultimately leading to greater performance dispersion in the resulting concrete [
13,
14]. Overall, existing studies have yet to establish a unified framework regarding material sources, testing methods, and evaluation indicators. Systematic knowledge of the inherent frost resistance of recycled aggregates and their interfacial behavior in concrete remains notably lacking. This gap is rooted in insufficient insight into the multiscale mechanisms of damage induced by freeze–thaw cycles in such concrete.
A relatively mature theoretical framework exists for the mechanisms of freeze–thaw damage in concrete, including theories such as hydrostatic pressure, osmotic pressure, and crystallization pressure. These explain, from different angles, the relationship between water phase change, pore pressure, and microstructural damage [
15,
16,
17,
18]. However, due to the complex sources of aggregates, significantly different characteristics of the interfacial transition zone, and a more heterogeneous internal pore structure, the freeze–thaw behavior of recycled concrete differs fundamentally from that of conventional concrete. Existing theories remain insufficient for explaining its multiscale damage mechanisms. Therefore, the freeze–thaw mechanisms of recycled aggregate concrete require in-depth investigation considering its specific material properties.
Recent research has begun to employ microscopic testing methods to delve deeper into these mechanisms in recycled concrete. Based on SEM observations, Li et al. [
8] reported a dense network of microscopic cracks and voids within the old and new interfacial transition zones of RCA concrete. The propagation and interconnection of these defects under repeated freeze–thaw action were identified as the root cause of macroscopic performance deterioration. Tan et al. [
12], through microstructural examination, suggested that the closed pores within the RBA could effectively buffer the freeze–thaw expansion pressure, explaining the observed improvement in frost resistance at certain replacement ratios. Although studies by Kong, Qiu, and Bai [
19,
20,
21] have offered preliminary insights into the frost action of concrete containing recycled aggregates based on classical theories, their work remains confined to specific aggregate types or isolated damage parameters. Consequently, they fail to systematically elucidate the failure mechanisms of mixed reclaimed aggregate systems under cyclic freezing and thawing. More comprehensive and in-depth micromechanical investigations are therefore imperative.
In summary, existing research on the frost resistance of recycled concrete has mainly focused on systems with single aggregate sources (e.g., pure recycled concrete aggregate, RCA, or pure recycled brick aggregate, RBA). A systematic understanding of the frost resistance of mixed recycled coarse aggregate concrete, which incorporates both RCA and RBA, has not yet been established. Furthermore, related studies have primarily addressed freeze–thaw behavior under stress-free conditions, while the damage evolution mechanisms of recycled concrete under coupled freeze–thaw and load effects remain poorly understood.
As a preliminary phase, this study first focuses on freeze–thaw behavior under load-free conditions. By systematically designing concrete mix proportions with different replacement ratios of recycled coarse aggregates and conducting rapid freeze–thaw tests, it comprehensively examines the degradation patterns of indicators such as apparent damage, mass loss, relative dynamic elastic modulus, and compressive strength. Supported by microscopic observations, the study systematically reveals the damage evolution laws and micro-mechanisms of mixed recycled coarse aggregate concrete under single freeze–thaw action. The research findings can provide fundamental data and theoretical references for subsequent experimental studies investigating coupled load–freeze–thaw effects.
2. Materials and Methods
2.1. Raw Materials and Properties
Ordinary Portland cement (P·O 42.5, Conch) served as the primary cementitious material. Its key chemical constituents are listed in
Table 1, while the main physical characteristics are detailed in
Table 2. All cement parameters were compliant with the GB/T 39698-2020 [
22]. Fine aggregate was machine-made sand (fineness modulus = 2.8, Zone II grading). Its size distribution was confined to 0–5 mm (see gradation curve in
Figure 1). This study utilized three coarse aggregates: NCA, RCA, and RBA. NCA and RCA were sourced from Xintiansheng Concrete Co., Ltd. (Zibo, China).; RBA was prepared in-house from crushed waste bricks. Relevant physical properties and gradation curves for these coarse aggregates are presented in
Table 3 and
Figure 2, respectively.
2.2. Mix Proportions
The concrete mixtures were formulated following the JGJ 55-2019 [
23], maintaining a constant
w/
c ratio of 0.45. Five distinct mix groups were prepared using three coarse aggregate varieties: natural crushed aggregate (NCA), recycled concrete aggregate (RCA), and recycled brick aggregate (RBA). Their specific proportions are provided in
Table 4.
The samples were designated via a naming convention in the format “Rx-y-z”, where x, y, and z represent the replacement percentages (%) of NCA, RCA, and RBA, respectively. For instance, “R10-0-0” denotes a mix with 100% NCA and 0% replacement by either RCA or RBA. This study focused on mixed recycled coarse aggregate concrete formed by combining RBA and RCA. In this series, the total coarse aggregate replacement ratio was fixed at 100%. Five mix proportions were formulated by varying the RBA replacement ratio as follows: R10-0-0 (reference group), R0-7-3 (70% RCA, 30% RBA), R0-5-5 (50% RCA, 50% RBA), R0-3-7 (30% RCA, 70% RBA), and R0-0-10 (100% RBA).
2.3. Experimental Methods
Frost durability was assessed for the mixed aggregate concrete following the GB/T 50082-2009 [
24], using a rapid freeze–thaw procedure. Testing was conducted on a TDR-9 rapid freeze–thaw chamber (Tianjin Luda Construction Instrument Co., Ltd. (Tianjin, China)), cycling between −18 °C ± 2 °C and 5 °C ± 2 °C. Following 28 days of standard curing, water-saturated specimens underwent cyclic freezing and thawing (prior to actual mixing, all recycled coarse aggregates (including both RBA and RCA) were pre-treated to a saturated surface-dry (SSD) condition. The specific method involved soaking the aggregates for 24 h, then removing them and wiping the surfaces with a damp cloth until no visible free water remained. This ensured the aggregates essentially did not absorb additional mixing water, thereby maintaining stability in the amount of free water in the mixture). To simulate naturally saturated conditions, each complete cycle lasted no more than 4 h, with the thawing phase limited to a quarter of this duration [
8,
12]. The dynamic elastic modulus of each specimen was monitored at intervals using a DT-10W dynamic modulus tester from the same manufacturer.
Three parallel specimens were prepared for each mix proportion, and the average value of the test results was used. Considering the performance variability of recycled aggregates, compressive strength data are presented along with standard deviations to indicate their range of variation.
To examine the cement paste microstructure, approximately 1 cm samples were randomly extracted from the concrete. After drying and cleaning, preliminary observation was conducted using a USB digital microscope (DMD, Yusen, Suzhou, China). The samples were then mounted using conductive adhesive (2–5 mm wide) carefully applied outside the target observation areas. Following gold sputtering, high-resolution imaging was performed using a field-emission environmental scanning electron microscope (FESEM, Thermo Scientific, Waltham, MA, USA).
Figure 3 outlines the complete experimental process.
Following freeze–thaw cycling, the degradation of the concrete was quantified by calculating the RDEM, mass loss rate, and compressive strength loss rate using Equations (1)–(3).
where ∆
Wni—mass loss (%) of sample
i after
n freeze–thaw (F-T) cycles;
∆Wn—avg. mass loss (%) for the mixture group after n F-T cycles;
W0i—initial mass (g) of sample i prior to F-T cycling;
Wni—mass (g) of sample
i after
n F-T cycles.
where
Pi—RDEM (%) of specimen i after n freeze-thaw cycles (FTCs);
Pn—average (Avg) RDEM (%) of the mixture group after n FTCs;
f0i—initial resonant frequency (Hz) of specimen i (pre-FTC);
fni—resonant frequency (Hz) of specimen
i after
n FTCs.
where Δ
fcu,n—compressive strength loss rate (%) of specimen
i after
n FTCs;
fcu,0i—initial compressive strength (MPa) of specimen i (pre-FTC);
fcu,ni—compressive strength (MPa) of specimen i after n FTCs;
fcu,0—avg. compressive strength (MPa) of the mixture (pre-FTC);
fcu,n—avg. compressive strength (MPa) of the mixture group after n FTCs.
3. Results
3.1. Analysis of Frost Resistance
Observation of the apparent damage characteristics of mixed RCAC via fresh-water rapid freeze-thaw tests provides a straightforward and effective assessment of its frost resistance [
25].
Figure 4 shows the typical evolution of the surface morphology of the mixed RCAC samples during the freeze-thaw process.
In the early stage of freeze-thaw cycling (approximately ten cycles), discretely distributed micropores begin to appear on the sample surfaces. With an increasing RBA replacement ratio, the surfaces tend to become smoother and exhibit certain coloration, reflecting the influence of RBA surface characteristics on the surface morphology.
During the middle stage of freeze-thaw cycling (approximately 30 cycles), the surface micropores gradually connect to form larger pores, accompanied by localized mortar spalling and exposure of the coarse aggregates. A reduction in the extent of mortar spalling and the area of exposed coarse aggregates is observed at this stage, corresponding to higher RBA replacement ratios. This indicates that an appropriate amount of RBA could mitigate surface damage during the middle stage of freeze–thaw cycling.
In the later stage (approximately 50 cycles), surface erosion of the coarse aggregates becomes significantly more pronounced, with noticeable chipping and multiple extended cracks. At this point, in the samples with a high RBA replacement ratio, separation between coarse and fine aggregates gradually occurs, and the overall structure tends to loosen.
In summary, the incorporation of RBA has a distinct stage-dependent regulatory effect on damage progression: during the early freeze-thaw stage, RBA effectively delays the initiation and propagation of apparent damage; in the later stage, however, it accelerates the accumulation of apparent damage and the deterioration of the overall structure.
3.2. Mass Loss Rate
Nonmonotonic behavior in specimen mass (water-saturated state) emerges with the accumulation of freeze–thaw cycles, as shown in
Figure 5 for mixed RCAC. This trend is specifically characterized by an initial phase of mass gain followed by a phase of loss. This phenomenon is governed by two competing mechanisms [
26,
27]. On the one hand, freezing expansion stress and freeze-thaw splitting promote the initiation and propagation of microcracks within the mortar, leading to surface material spalling and a consequent loss of mass. On the other hand, newly formed cracks interconnect with pre-existing closed pores during freezing and thawing, creating pathways for water migration. This elevates its water uptake capacity, thereby contributing to mass gain. The overall mass increases when this absorption-driven gain is dominant; conversely, the onset of net mass loss occurs when mass loss from surface spalling outweighs the concurrent gain from absorption.
Specifically, the mass increase phase mainly occurs within the range of 10–20 freeze-thaw cycles, whereas the decrease phase becomes pronounced between 20 and 50 cycles. This pattern indicates that in the early to middle stages of freeze-thaw cycling, microcracks develop rapidly within the concrete, leading to significant water ingress. By the middle to late stages, interfacial damage between the aggregates and paste intensify, and material detachment becomes dominant, resulting in noticeable mass loss. Notably, all the mixed recycled coarse aggregate concrete samples exhibit an initial mass increase during the early freeze-thaw period, with a higher RBA content corresponding to a more pronounced mass gain. This is primarily attributed to the lower intrinsic strength and higher content of internal closed pores in the RBAs, which increase their susceptibility to microcracking under freeze-thaw stress, thereby increasing the overall water absorption capacity.
Figure 6 further depicts the evolution of the concrete’s mass loss rate throughout freeze–thaw action. Overall, this rate exhibited a trend of initial decline followed by a rise. Between 10 and 20 freeze–thaw (F-T) cycles, it reached its lowest point, recording an average minimum of 1.47% for the mixed recycled aggregate concrete. This phenomenon is attributed to the low strength of RBA, which facilitates microcrack propagation and enhances water penetration. Concurrently, the internal porosity of RBA accommodates freezing expansion, mitigating stress concentration in the initial cycles and thus retarding damage progression.
After 50 F-T cycles, the mass loss rate of the mixed RCAC first decreased but then increased with an increasing RBA replacement ratio, with an average value of 5.05%. Notably, the mass loss rate attained its minimum at a 50% RBA replacement ratio. The reason lies in the fact that pores of different sizes in concrete have distinct freezing temperatures (larger pores freeze at higher temperatures). A combination of interconnected large pores and closed small pores forms a composite pore system. At 50% RBA content, the concrete achieves a better pore structure arrangement. Even if more water is absorbed in the later freeze-thaw stages, the internal micropores can still act as “micro air-cushion”, effectively buffering the ice expansion pressure and thus inhibiting damage development [
28,
29,
30,
31].
Although all mix proportions showed a minimum mass loss rate within 10–20 freeze–thaw cycles, the critical transition cycle still varied depending on the aggregate composition. Mixes with higher RBA content exhibited a prolonged mass gain phase due to their notable internal pore water absorption, delaying the critical point. In contrast, mixes dominated by RCA entered the mass loss stage earlier because of premature interfacial damage. This observation aligns with findings in the literature regarding the influence of pore characteristics and interfacial behavior of recycled aggregates on the freeze–thaw stages [
8,
12].
The quantitative relationships among the key variables—freeze–thaw cycle count (
n), replacement ratio (
r), and mass loss rate (Δ
Wni)—for the mixed recycled aggregate concrete (RAC) are presented in
Figure 7, with the fitting model given by Equation (4). The corresponding fitting parameters are summarized in
Table 5.
3.3. Relative Dynamic Elastic Modulus (RDEM)
A specimen’s resonant frequency correlates directly with its apparent density. Thus, tracking frequency shifts with a dynamic modulus tester provides an effective means to monitor the growth of internal microcracks and damage accumulation in concrete during freeze–thaw action [
32].
Figure 8 shows that the relative dynamic elastic modulus (
Pn) of the mixed recycled aggregate concrete declined progressively with more cycles. By 20 cycles,
Pn had fallen to 83.91–90.45%, and by 50 cycles, to 61.39–78.72%. Notably,
Pn displayed a nonmonotonic response to the recycled aggregate replacement ratio: it initially rose, peaked at 50% RBA content, and then declined.
This behavior stems chiefly from the modification of the concrete’s pore structure by an optimal RBA content. At a 50% replacement ratio, the system develops a pore structure with improved size distribution and connectivity. This configuration remains relatively stable during freeze–thaw cycling, effectively buffering ice crystallization stress, thus mitigating damage and reducing performance loss caused by pore interconnection and moisture movement later in the process [
33,
34].
A fitted model characterized the quantitative relationships among the F-T cycle count (
n), the aggregate replacement ratio (
r), and the RDEM (
Pn) of the mixed recycled coarse aggregate concrete. The model is presented in
Figure 9, and its expression is given by Equation (5):
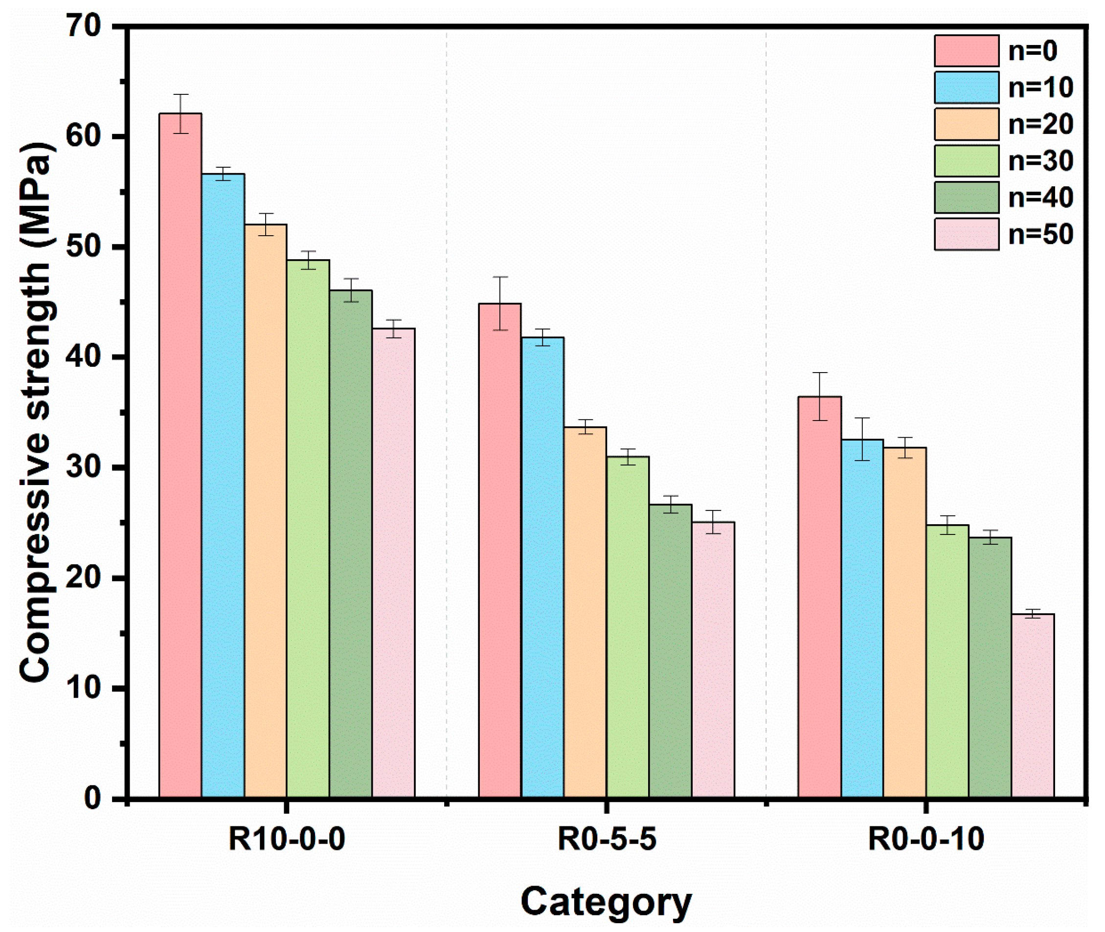
3.4. Reduction in Cube Compressive Strength of Mixed Recycled Aggregate Concrete Under Freeze–Thaw Cycling
Figure 10 presents the cube compressive strength evolution of the concrete samples following freeze–thaw cycling. The compressive strength of all mixtures declined progressively as cycles accumulated. Relative to the natural aggregate reference (R10-0-0), samples R0-5-5 (50% RCA + 50% RBA) and R0-0-10 (100% RBA) exhibited pre-exposure strength reductions of 29.09% and 42.67%, respectively. Following 50 cycles, these strength losses escalated to 40.19% and 60.57%. Thus, the compressive strength gap between the mixed recycled aggregate concrete and conventional concrete widens progressively with continued F-T cycling. Test data on mechanical strength are shown in
Table 6.
The observed phenomenon primarily stems from the inherent structural defects of recycled aggregates. Firstly, the performance of recycled aggregates deteriorates due to natural processes such as weathering and carbonation [
35]; secondly, the crushing process tends to introduce microcracks, resulting in a relatively loose aggregate structure, which makes the concrete more susceptible to accelerated strength degradation in freeze–thaw environments [
36].
Notably, in the composite system with equal parts of RCA and RBA (R0-5-5), the compressive strength of the samples was significantly greater than that of the pure RBA system (R0-0-10), both prior to and following freeze–thaw exposure. This is not an abrupt strength change but rather a result of the optimal pore structure achieved with an appropriate RBA content (50%). This structure remains relatively stable during freeze–thaw cycles, continuously providing stress-buffering capacity. In contrast, the pure RBA system, attributable to the lower intrinsic strength of the aggregates, has limited capacity to withstand the internal stresses induced by freezing and thawing, leading to more severe structural damage in later stages and a marked decline in frost resistance. Concurrently, 50% RCA provides essential mechanical support to the system, synergizing with RBA to form an aggregate skeleton that combines strength and toughness.
Therefore, from the perspective of macroscopic mechanical performance, the mixed recycled coarse aggregate system composed of 50% RCA and 50% RBA can optimize the internal pore structure while maintaining a certain level of strength, thereby effectively mitigating the strength loss of concrete during freeze–thaw exposure.
Figure 11 presents the cube compressive strength loss of the concrete samples following freeze–thaw cycling. With increasing cycles, the rate of strength loss showed a progressive rise across all mixtures. After 50 cycles, the compressive strength loss rates reached 29.07% for mix R10-0-0 (100% natural aggregate), 40.18% for R0-5-5 (50% RCA + 50% RBA), and 51.22% for R0-0-10 (100% RBA).
This disparity originates from fundamental differences in the microstructure and freeze-thaw behavior of the coarse aggregates. NCA possesses a dense structure, resulting in concrete with low water absorption. Consequently, the hydrostatic and osmotic pressures generated during freezing and thawing are relatively small, leading to the lowest strength loss observed in conventional concrete (R10-0-0) [
37]. In contrast, recycled brick aggregate (RBA) has a higher porosity. Under freeze-thaw action, the initially closed pores within the RBA gradually became interconnected. This significantly raises the water saturation level in pure RBA samples (R0-0-10) during later freeze–thaw cycles, amplifying the expansive stress from freezing and resulting in the most severe strength loss [
38].
Although RCA generally has a lower porosity than RBA does, it contains more microcracks and has a weaker interfacial transition zone (ITZ) [
39]. When RCA and RBA are combined at a 1:1 ratio (R0-5-5), a complementary effect on the pore structure is achieved. RBAs provide buffer pores that help accommodate freeze-thaw expansion stresses, whereas RCAs contribute relatively greater skeletal strength. This synergy results in the formation of a more rational pore–skeleton system, thereby inhibiting the development of F-T damage. This explains why the strength loss of the R0-5-5 mix falls between that of the pure natural aggregate and the pure RBA concrete.
3.5. Discussion on the Correlation Between Elastic Modulus and Compressive Strength
Both the elastic modulus and compressive strength of concrete are key parameters characterizing its mechanical performance, and their degradation under freeze–thaw conditions is often intrinsically related. Generally, the elastic modulus is more sensitive to the propagation of internal microcracks, while compressive strength more directly reflects the overall load-bearing capacity of the material. Based on the experimental data from this study (
Figure 8 and
Figure 11), it can be observed that both the relative dynamic elastic modulus (P
n) and the compressive strength loss rate of the hybrid recycled coarse aggregate concrete exhibit significant deterioration trends with increasing cycle numbers. Moreover, their patterns of change are consistent across different recycled aggregate replacement rates. For example, in the group with a 50% RBA replacement rate (R0-5-5), after 50 freeze–thaw cycles, it showed the highest retention rate of the relative dynamic elastic modulus (78.72%) and, simultaneously, the relatively lowest compressive strength loss rate (40.18%), demonstrating the best comprehensive frost resistance. This indicates that, within the system studied here, a positive correlation exists between the internal microstructural damage caused by freeze–thaw action (manifested as a decrease in elastic modulus) and the loss of macro-mechanical performance (manifested as a reduction in strength).
This correlation can be explained from the damage mechanism: freeze–thaw cycles induce microcracks within the concrete, particularly in the interfacial transition zones of recycled aggregates and within the aggregates’ own weak points. The initiation and propagation of these microcracks not only reduce the overall stiffness of the material (leading to a decrease in dynamic elastic modulus) but also weaken the mechanical interlocking and bond between the aggregates and the mortar, thereby reducing the compressive strength. Therefore, the relative dynamic elastic modulus can serve as a leading or accompanying indicator for compressive strength loss, useful for indirectly assessing the degradation process of concrete’s macro-mechanical performance during freeze–thaw action. The high-precision prediction of the damage degree (defined based on dynamic elastic modulus) by the GM(1,1) model established in this study also indirectly supports the prediction of compressive strength loss. Future research could further quantify the relationship between the two by establishing more explicit empirical or theoretical models linking relative dynamic elastic modulus (Pn) and compressive strength loss rate. This would provide a more direct basis for the assessment of freeze–thaw damage and service life prediction of concrete based on non-destructive testing (such as dynamic elastic modulus measurement).
3.6. Analysis of the F-T Damage Model
Under F-T cycles, the water inside the concrete undergoes repeated liquid–solid phase transitions. The resulting volumetric expansion and contraction induce the formation and extension of microscopic cracks. This process leads to gradual deterioration in both the mechanical and durability performance of concrete, which fundamentally mirrors the cumulative degradation of its internal structure. To quantify this deterioration, a damage parameter is introduced as a macroscopic indicator of the extent of microstructural damage. This parameter serves as a robust descriptor of damage evolution in concrete under F-T conditions [
40].
Drawing on damage mechanics theory, concrete prior to freeze–thaw exposure is regarded as a continuous medium comprising numerous intact micro-elements. Upon freeze–thaw action, a portion of these elements fail, losing their load-bearing capacity. The damage degree,
D, is given by the proportion of failed micro-elements relative to the initial total [
41]. Experimentally, changes in the dynamic elastic modulus ratio of concrete pre- and post-cycling are widely employed to indicate alterations in the micro-element state [
42]. Per the strain equivalence hypothesis, postulated by Lemaître [
43],
D can be defined by comparing mechanical parameters in undamaged and damaged states (Equation (6)). This work thus forges a quantitative connection between macroscopic degradation and microstructural damage, offering a theoretical foundation for analyzing durability and predicting the service life of concrete structures.
where
DN—represents the freeze–thaw damage value of the concrete sample;
EN—denotes the dynamic elastic modulus after N freeze–thaw cycles;
E0—indicates the initial dynamic elastic modulus prior to freeze–thaw exposure;
N—the number of applied freeze–thaw cycles.
3.6.1. Development of the GM (1,1) Model
The GM (1,1) model, a first-order linear gray model founded on differential equations, is particularly applicable to small-sample datasets [
44]. It reduces random fluctuations and extracts systematic trends by applying an accumulated generating operation to a non-negative original discrete sequence [
45]. Well-suited for monotonic sequences, GM (1,1) achieves good fitting accuracy by capturing a system’s intrinsic characteristics and describing its evolution [
46]. Leveraging these strengths, this study employs the GM (1,1) model to construct a predictive framework for the damage parameter D
n. The step-by-step modeling process is outlined in Equations (7)–(16).
The GM (1,1) model has been widely used in concrete durability prediction due to its good performance in forecasting small-sample and monotonic sequences [
46,
47]. Compared with models such as the Weibull distribution and logarithmic functions, GM (1,1) is more suitable for describing damage accumulation processes with exponential development trends [
48,
49]. In this study, GM (1,1) was selected mainly because of its simple modeling, high fitting accuracy to monotonic damage sequences, and proven effectiveness in similar freeze–thaw damage predictions [
50,
51]. Future research could further compare the performance differences among various models in predicting the freeze–thaw behavior of recycled concrete [
52].
(1) The original sequence matrix X(0) is defined as:
(2) An accumulated generating operation of the first order is performed on X(0) to produce the accumulated sequence X(0):
(3) The GM (1,1) model is represented by the following first-order linear differential equation:
(4) Since the actual data are discrete, Equation (9) can be discretized as:
(5) To mitigate the effect of random fluctuations, a background value sequence Z⁽1⁾(k) is constructed as follows:
(6) Substituting Equation (11) into Equation (10) yields the discrete form:
(7) Expression (12) can be rewritten in matrix notation as:
(8) Application of the least squares method yields the solution:
(9) Substituting the parameters solved in Equation (14) into Equation (9) and solving gives:
(10) By performing the inverse accumulated generation operation on the accumulated sequence, the predicted value is obtained as:
3.6.2. Validation and Analysis of the GM (1,1) Model
The experimentally measured F-T damage data for the mixed recycled coarse aggregate concrete are provided in
Table 7. With reference to these data, a GM (1,1) prediction model was constructed. The model takes the F-T cycle count, denoted as n (where
n = 10k and k is a positive integer), as the independent variable, with the corresponding damage value at each cycle forming the original sequence
X(0).
To validate the prediction accuracy of the GM (1,1) model, this study employed the method of the posterior variance test to evaluate its results [
53]. The relevant calculation formulas are given in Equations (17)–(22).
Mean of residuals:
Variance of residuals:
Mean value of the original sequence:
Dispersion of the original sequence:
Posterior variance ratio:
Probability of a small error:
The accuracy test results of the GM (1,1) model are presented in
Table 8. Both the posterior variance ratio (
c) and the probability of small error (
p) meet the Grade I accuracy criteria. Therefore, the model is considered highly reliable and suitable for forecasting the F-T damage evolution of mixed recycled coarse aggregate concrete.
Damage data for the mixed RCAC over the initial 50 F-T cycles were fitted using the GM (1,1) gray forecasting model. The fitting results are summarized in
Table 9, which shows that the coefficient of determination (R
2) for all curves exceeds 0.92. This high R
2 value signifies that the model accurately describes the damage evolution of this concrete subjected to freezing and thawing, demonstrating excellent fitting performance and providing a reliable basis for predicting the material’s frost resistance in future research.
The F-T damage performance of the mixed RCAC was evaluated via the damage parameter (
DN), as presented in
Figure 12. Following GB/T 50082-2024 [
54], a
DN value of 40% is typically defined as the critical threshold for significant F-T damage. Analysis via the GM (1,1) model indicates that the mix at a 50% replacement ratio demonstrated optimal frost resistance, with a predicted endurance of up to 70 F-T cycles. The model’s reliability, validated using the coefficient of determination (R
2) and the posterior variance test, was confirmed to have high predictive accuracy and is effectively applicable for forecasting the durability trend of mixed RCAC under F-T conditions.
Predictions derived from the GM (1,1) model further clarify the influence of aggregate source on frost resistance. Specifically, concrete made with RCA generally demonstrated better performance than that with RBA. Notably, the mixed RCAC at a 50% replacement level presented the best frost resistance among all samples, suggesting this specific proportion holds potential advantages for enhancing F-T durability.
It should be noted that the predictions of the GM(1,1) model are based on damage data from the first 50 freeze–thaw cycles. Its extrapolated results (e.g., for 70 cycles) reflect the trend assuming the continuation of the current damage mechanisms. In the later stages of actual freeze–thaw exposure, mechanisms such as pore interconnection and interfacial debonding may evolve, potentially leading to accelerated damage. Therefore, extrapolated predictions should be interpreted in conjunction with micro-mechanistic analysis.
Although variance analysis was not conducted on the various mix ratios in this study, systematic testing of multiple indicators (mass loss rate, relative dynamic elastic modulus, compressive strength) and microstructural observations revealed that when the RBA replacement rate was 50%, all performance indicators consistently showed optimal trends. This result aligns with conclusions from existing studies regarding the suitable dosage range of recycled brick aggregate (30–60%) [
8,
9,
12], and the gray prediction model (R
2 > 0.92) further verified the slow progression of damage under this ratio. Therefore, the 50% RBA ratio demonstrated significant comprehensive frost resistance advantages within the experimental framework of this study.
Although this model was calibrated based on data from the first 50 freeze–thaw cycles, existing studies have shown that gray prediction models possess a certain extrapolation capability in concrete durability research [
55,
56]. The posterior variance test results of our model all indicate Grade I accuracy, demonstrating its good ability to capture system trends. However, it should be noted that long-term freeze–thaw cycles may involve nonlinear processes such as material fatigue and pore structure evolution, introducing some uncertainty when extrapolating the model to beyond 100 cycles. It is recommended to combine the model with periodic inspection data in practical engineering applications to improve the reliability of long-term predictions.
3.7. Microstructure of the Mixed RCAC
Under F-T cycles, the interior of concrete undergoes solid-, liquid-, and gas-phase transitions, resulting in a multilevel, multiscale complex system. This involves the coupling of multiple physicochemical processes, including thermodynamics, fluid mechanics, and fracture mechanics, with damage evolution exhibiting significant cumulative and irreversible characteristics. Key features such as the pore structure of RCA and RBA differ fundamentally from those of NCA. These differences directly influence the frost resistance of mixed RCAC.
The frost resistance of concrete during F-T cycles is often constrained by its weakest internal regions, demonstrating a notable “shortboard effect.” Therefore, this study focuses on coarse aggregates and their interfacial transition zones (ITZs) to systematically elucidate the formation mechanisms and structural characteristics of freeze-thaw damage zones.
Figure 13 presents the macroscopic morphology and DMD images of the three types of coarse aggregates in their precasting state. Visibly, the NCA exhibits a dense structure with almost no observable pores. The RCA surface is covered with a significant amount of old mortar. This mortar layer possesses relatively low strength, contains developed microcracks, and features an old ITZ with a loose structure and relatively large pore radii at its interface with the original stone. However, the natural stone encapsulated within the RCA remains highly compact with minimal initial damage, as the primary damage is concentrated in the old mortar and its junction with the original stone. In contrast, RBA displays an overall loose and porous structure with comparatively inferior mechanical properties. The residual brick powder on the RBA surface (mainly composed of SiO
2, Al
2O
3, Fe
2O
3, CaO, etc.) exhibits relatively high hydration activity [
57]. Consequently, the bond between RBA and cement mortar is comparatively better, and the newly formed interfacial transition zone surrounding it exhibits an exceptionally dense structure (low porosity, small pore size, large pore spacing). Existing studies utilizing EDS analysis have shown a uniform element distribution and a decreased Ca/Si ratio at the RBA–cement interface, reflecting the filling and strengthening effect of secondary hydration products on the ITZ [
58,
59]. While this dense structure is beneficial for frost resistance in the initial freeze–thaw stages, it may become a damage-sensitive zone in later stages due to increased osmotic pressure.
The microstructural morphologies shown in
Figure 14a and
Figure 15a reveal distinctly different damage characteristics and evolution paths in the RCA and RBA cement pastes during the early stages of freeze-thaw cycling, reflecting fundamental differences in their material natures and damage mechanisms.
For RCA cement paste, freeze–thaw damage exhibits distinct “interface-dominated” and “defect-accumulation” features. In the early stages of freeze–thaw exposure, the original stone in RCA remains comparatively compact, while damage is mainly concentrated in the aged mortar layer coating the RCA surface and at both the original and newly formed ITZs. The existing mortar has a loose structure and abundant microcracks from prior service, rendering these ITZs—characterized by inferior mechanical properties and dense initial defects—highly vulnerable to freeze–thaw damage [
60,
61]. Moreover, the mismatch in thermal expansion coefficients between aggregate and mortar leads to numerous pre-existing microcracks within the original ITZ even before cycling, aggravating damage progression [
62]. As cycles advance to later stages (
Figure 14b), damage accumulates and propagates continuously at the original ITZ, eventually causing severe aggregate–mortar debonding and sample failure. Notably, due to the higher density of initial defects and more extensive weak interfaces in RCA paste, crack propagation along interfaces advances more rapidly for an equivalent number of cycles, causing significantly more damage than in paste with natural aggregates [
63]. In contrast, because the elastic moduli of the existing and new mortar are comparable, damage from their differential thermal expansion is limited. Conversely, the substantial expansion mismatch between aggregate and mortar concentrates stress primarily at the ITZs, ultimately leading to aggregate–mortar separation [
64].
In comparison, the F-T damage mechanism of the RBA cement paste displays typical “pore-structure-regulated” and “stage-dependent-evolution” features. As shown in
Figure 15, the RBA is rich in internal pores and contains numerous large, enclosed air voids. In the early F-T stage, this porous structure plays a positive role in frost resistance [
65]. The larger average pore radius and smaller pore spacing within the RBA help reduce the initial crystallization pressure and hydrostatic pressure during freezing. Simultaneously, the high hydration activity of the residual brick powder on the RBA surface [
66] leads to an exceptionally dense new ITZ structure (low porosity, small pore size, and large pore spacing). However, this dense structure tends to experience higher hydrostatic and crystallization pressures during F-T cycling. The significant pressure gradient formed between the large, open pores inside the RBA and the fine pores in the ITZ region further induces considerable osmotic pressure in the ITZ during the initial freeze-thaw stage. On the other hand, the numerous enclosed pores within the RBA act as “stress-buffering sponges” in the concrete, effectively absorbing and dissipating various internal stresses generated during the freeze-thaw process [
67]. These dual mechanisms—“pore-pressure reduction” and “closed-pore buffering”—collectively contribute to the superior frost resistance of RBA concrete in the early F-T stage.
However, the durability advantage of RBA concrete wanes with continued F-T cycling. According to
Figure 15b, during the advanced stages of cycling, the number of microcracks within RBA increases markedly, and initially isolated pores gradually interconnect. This microstructural evolution exacerbates damage through two mechanisms. First, pore interconnection enhances the sample’s moisture absorption. The increased ice volume in larger pores elevates the pressure difference with adjacent smaller pores, significantly raising osmotic pressure within capillary and gel pores. Second, the number of enclosed pores critical for stress buffering in RBA declines sharply, substantially weakening its stress-absorption capacity [
68]. Thus, the frost resistance of RBA concrete undergoes a pronounced decline in the later cycles.
In summary, the damage behaviors of the RCA and RBA cement pastes during freeze-thaw cycling are dominated by “weak interfaces” and “pore structures,”, respectively. They differ fundamentally in damage origin, evolution path, and final failure mode. Understanding these differences is highly important for the targeted design of mixed recycled aggregate proportions and for optimizing the long-term durability of concrete in F-T environments.