Simulated Research on Dynamic Mechanical Properties and Crack Evolution Laws of Fractured Red Sandstone
Abstract
1. Introduction
2. SHPB Test and Numerical Model Establishment
2.1. SHPB Test
2.2. Model Establishment
2.3. Calibration of Meso-Scale Parameters
2.4. Validation of Numerical Models
2.5. Establishment of Fractures
3. Results Analysis and Discussion
3.1. Dynamic Mechanical Properties
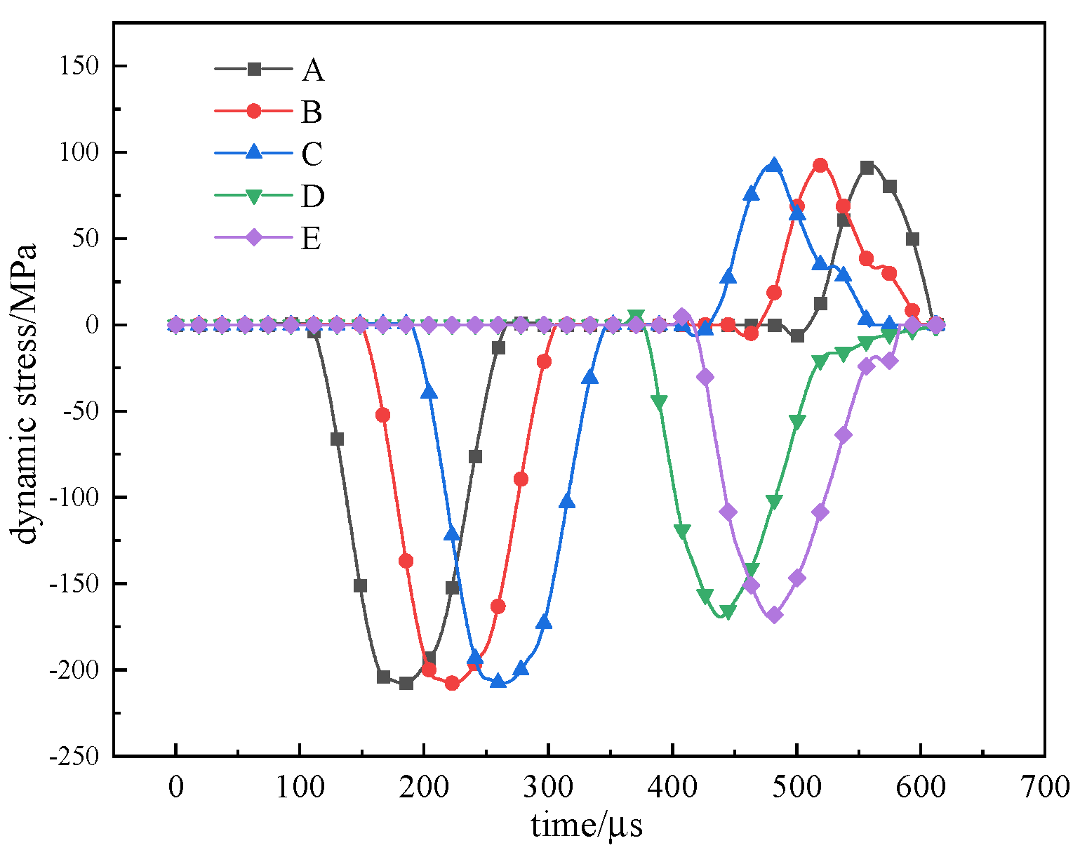
3.2. Reflection and Transmission Laws
3.3. The Influence Laws of Fracture Inclination Angle on Cracks
3.4. The Influence of Fracture Inclination Angle on Fragmentation
3.5. Energy Evolution
4. Conclusions
- (1)
- Under the same impact load, the dynamic compressive strength of the fractured specimens exhibits an overall “V”-shaped trend, with the specimen having a 45° fracture inclination exhibiting the minimum dynamic compressive strength. When the fracture inclination is within the 30° to 45° range, its influence on the dynamic compressive strength is most significant.
- (2)
- With increasing fracture inclination, the reflection coefficient increases while the transmission coefficient decreases, leading to greater stress wave attenuation and a more pronounced weakening effect on wave propagation. Additionally, an increase in the fracture inclination angle results in a shortened failure time of the specimen, making it more susceptible to damage.
- (3)
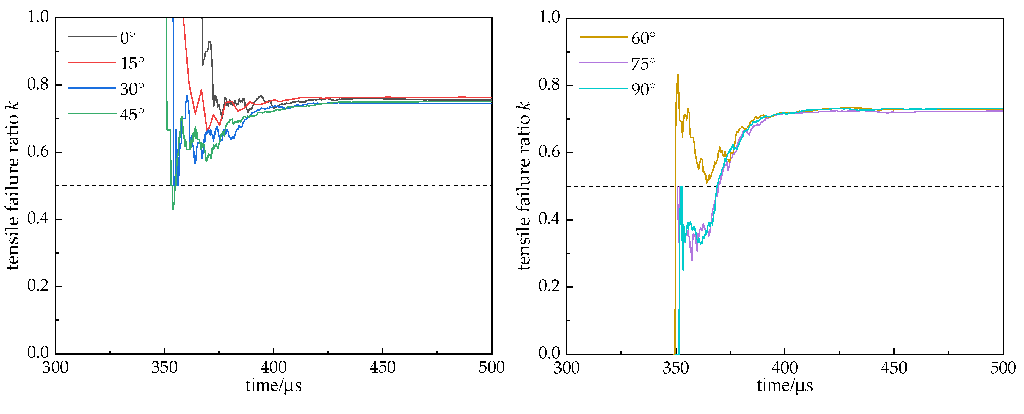
- As the fracture inclination angle increases, the initiation location of cracks in the specimen gradually shifts towards the middle of the fracture, exhibiting a tendency to develop in a direction parallel to the impact load. When the inclination angle is ≥45°, stress concentration at fracture tips prolongs the shear-dominated phase during failure progression. However, the tensile ratio k consistently exceeds 0.7 at ultimate failure, indicating tensile mechanisms remain the dominant failure mode. Both absorbed energy and total crack number generally decrease with increasing inclination angle, while no clear correlation exists between absorbed energy and fragment number.
- (4)
- Throughout the entire fragmentation process, large fragments are primarily distributed on the left and right sides of the fracture, while smaller fragments concentrate near the through cracks. When the fracture inclination angle is 45° and 60°, the cumulative number of fragments produced during the specimen’s failure is higher, indicating a more significant degree of fragmentation under these two inclination angles. During the initial loading stage, the specimen with a 90° inclination angle exhibits the weakest resistance to failure. In contrast, the specimen with a 0° inclination angle demonstrates the strongest resistance to failure.
Author Contributions
Funding
Data Availability Statement
Conflicts of Interest
References
- Fan, D.R.; Liu, X.S.; Tan, Y.L.; Li, X.B.; Yang, S.L. Energy mechanism of bolt supporting effect to fissured rock under static and dynamic loads in deep coalmines. Int. J. Min. Sci. Technol. 2024, 34, 371–384. [Google Scholar]
- Jiang, X.D.; Xue, Y.G.; Ren, X.T.; Kong, F.M.; Liao, X.M. Dynamic response characteristics and damage calculation method of fractured rock mass under blasting disturbance. Int. J. Impact Eng. 2024, 192, 105036. [Google Scholar] [CrossRef]
- Feng, P.; Dai, F.; Liu, Y.; Xu, N.W.; Du, H.B. Coupled effects of static-dynamic strain rates on the mechanical and fracturing behaviors of rock-like specimens containing two unparallel fissures. Eng. Fract. Mech. 2019, 207, 237–253. [Google Scholar]
- Hu, J.; Wang, H.K.; Xia, Z.G.; Chen, B.; Gu, Q.H.; Wang, X.R.; Cao, J.P.; Liu, X. Mechanical properties and acoustic emission characteristics of two dissimilar layers of rock-like specimens with prefabricated parallel fissures. Geomech. Geophys. Geo-Energy Geo-Resour. 2024, 10, 19. [Google Scholar]
- Ayawah, P.E.A.; Kaba, A.G.A.; Gertsch, L.S. A novel approach for determining cutting geometry for TBM using full-scale laboratory linear rock cutting and PFC3D-based numerical simulations. Tunn. Undergr. Space Technol. Inc. Trenchless Technol. Res. 2024, 144, 105559. [Google Scholar]
- Jafri, T.H.; Yoo, H. REV Application in DEM Analysis of Non-Vibrational Rock Splitting Method to Propose Feasible Borehole Spacing. Appl. Sci. 2018, 8, 335. [Google Scholar] [CrossRef]
- Su, O. Numerical Modeling of Cuttability and Shear Behavior of Chisel Picks. Rock Mech. Rock Eng. 2019, 52, 1803–1817. [Google Scholar]
- Gutiérrez-Ch, J.G.; Senent, S.; Melentijevic, S.; Jimenez, R. Distinct element method simulations of rock-concrete interfaces under different boundary conditions. Eng. Geol. 2018, 240, 123–139. [Google Scholar] [CrossRef]
- Zheng, M.H.; Liang, Y.P.; Staat, M.; Li, Q.G.; Li, J.B. Discontinuous fracture behaviors and constitutive model of sandstone specimens containing non-parallel prefabricated fissures under uniaxial compression. Theor. Appl. Fract. Mech. 2024, 131, 104373. [Google Scholar]
- Yao, D.H.; Jiang, N.; Wang, X.J.; Jia, X.D.; Lu, K. Mechanical behaviour and failure characteristics of rocks with composite defects of different angle fissures around hole. Bull. Eng. Geol. Environ. 2022, 81, 290. [Google Scholar] [CrossRef]
- Haeri, H.; Sarfarazi, V.; Hedayat, A.; Tabaroei, A. Effect of tensile strength of rock on tensile fracture toughness using experimental test and PFC2D simulation. J. Min. Sci. 2016, 52, 647–661. [Google Scholar]
- Li, K.S.; Zhao, Z.; Ma, D.P.; Liu, C.X.; Zhang, J.P. Acoustic Emission and Mechanical Characteristics of Rock-Like Material Containing Single Crack Under Uniaxial Compression. Arab. J. Sci. Eng. 2022, 47, 4749–4761. [Google Scholar]
- Wang, C.Y.; Chang, X.K.; Liu, Y.L. Experimental Study on Fracture Patterns and Crack Propagation of Sandstone Based on Acoustic Emission. Adv. Civ. Eng. 2021, 2021, 8847158. [Google Scholar]
- Wang, Z.H.; Li, Y.; Cai, W.B.; Zhu, W.S.; Kong, W.Q.; Dai, F.; Wang, C.; Wang, K. Crack propagation process and acoustic emission characteristics of rock-like specimens with double parallel flaws under uniaxial compression. Theor. Appl. Fract. Mech. 2021, 114, 102983. [Google Scholar]
- Wu, S.Y.; Huang, Y.H. Macro and meso crack evolution of granite specimens with non-straight fissures: A comparison between two bond models. Theor. Appl. Fract. Mech. 2023, 125, 103890. [Google Scholar]
- Zhou, D.; Ye, Y.C.; Hu, N.Y.; Wang, W.Q.; Wang, X.H. Crack evolution of soft-hard composite layered rock-like specimens with two fissures under uniaxial compression. Front. Struct. Civ. Eng. 2021, 15, 1372–1389. [Google Scholar]
- Wasantha, P.L.P.; Bing, D.; Yang, S.Q.; Xu, T. Numerical modelling of the crack-pore interaction and damage evolution behaviour of rocklike materials with pre-existing cracks and pores. Int. J. Damage Mech. 2021, 30, 720–738. [Google Scholar]
- Ma, W.B.; Chen, Y.L.; Yi, W.; Guo, S.C. Investigation on crack evolution behaviors and mechanism on rock-like specimen with two circular-holes under compression. Theor. Appl. Fract. Mech. 2022, 118, 103222. [Google Scholar]
- Ping, Q.; Li, X.Y. Analysis of the Fracture Characteristics and Crack Propagation Mechanism of Fractured Sandstone under Dynamic Loading. Appl. Sci. 2024, 14, 2042. [Google Scholar] [CrossRef]
- Ping, Q.; Wang, S.; Wu, Y.L.; Sun, S.J.; Shen, K.F.; Wang, C.; Gao, Q.; Fang, C.L. Study on Mechanical Properties and Energy Consumption of Fissured Sandstone with Different Dip Angles under Impact Load. Shock Vib. 2022, 2022, 1–9. [Google Scholar]
- Yan, Z.L.; Wu, W.; Dai, F.; Liu, Y. Dynamic Mechanical Response and Damage Constitutive Model of Multi-flawed Rocks Under High Strain Rates. Rock Mech. Rock Eng. 2023, 56, 4405–4425. [Google Scholar] [CrossRef]
- Uxía, C.F.; Leandro, R.A.; Diego, M.I. Particle flow code simulation of intact and fissured granitic rock samples. J. Rock Mech. Geotech. Eng. 2020, 12, 960–974. [Google Scholar]
- Wang, G.; Luo, Y.; Li, X.P.; Liu, T.T.; Xu, M.N.; Qu, D.X. Study on Dynamic Mechanical Properties and Meso-Deterioration Mechanism of Sandstone Under Cyclic Impact Load. Arab. J. Sci. Eng. 2020, 45, 3863–3875. [Google Scholar] [CrossRef]
- Lu, H.; Chen, Q.L.; Ma, X.T. Investigation into Dynamic Behaviors of High-Temperature Sandstone under Cyclic Impact Loading Using DIC Technology. Appl. Sci. 2022, 12, 9247. [Google Scholar] [CrossRef]
- Zhang, L.; Zhang, Z.J.; Chen, Y.; Dai, B.; Wang, B. Crack development and damage patterns under combined dynamic-static loading of parallel double fractured rocks based on DIC technique. Acta Geotech. 2023, 18, 877–901. [Google Scholar] [CrossRef]
- Su, H.J.; Jiang, Y.; Yu, L.Y.; Wang, W.B.; Guo, Q.Z. Dynamic fracture and deformation responses of rock mass specimens containing 3D printing rough joint subjected to impact loading. Geomech. Geophys. Geo-Energy Geo-Resour. 2022, 8, 186. [Google Scholar] [CrossRef]
- Imani, M.; Nejati, R.H.; Goshtasbi, K. Dynamic response and failure mechanism of Brazilian disk specimens at high strain rate. Soil Dyn. Earthq. Eng. 2017, 100, 261–269. [Google Scholar] [CrossRef]
- Sun, X.Y.; Jin, T.X.; Li, J.H.; Xie, J.L.; Li, C.T. Dynamic characteristics and crack evolution laws of coal and rock under split Hopkinson pressure bar impact loading. Meas. Sci. Technol. 2023, 34, 075601. [Google Scholar] [CrossRef]
- Yang, J.H.; Yu, T.; Ye, Z.W.; Zou, Y.; Zhou, C.B. Numerical and experimental investigation into dynamic fracture and energy dissipation of red sandstone under multi-axial confining pressure. Tunn. Undergr. Space Technol. 2025, 158, 106446. [Google Scholar] [CrossRef]
- Yan, Z.L.; Dai, F.; Liu, Y.; Li, A.; Du, H.B. Numerical assessment of the rate-dependent cracking behaviours of single-flawed rocks in split Hopkinson pressure bar tests. Eng. Fract. Mech. 2021, 247, 107656. [Google Scholar] [CrossRef]
- Fakhimi, A.; Azhdari, P.; Kimberley, J. Physical and numerical evaluation of rock strength in Split Hopkinson Pressure Bar testing. Comput. Geotech. 2018, 102, 1–11. [Google Scholar]
- Patel, S.; Martin, C.D. Impact of the initial crack volume on the intact behavior of a bonded particle model. Comput. Geotech. 2020, 127, 103764. [Google Scholar]
- Saadat, M.; Taheri, A. Effect of Contributing Parameters on the Behaviour of a Bolted Rock Joint Subjected to Combined Pull-and-Shear Loading: A DEM Approach. Rock Mech. Rock Eng. 2020, 53, 383–409. [Google Scholar]
- Wu, J.H.; Du, Y.X.; Wang, C.B.; Zong, Q. Experimental Study on Dynamic Tensile Mechanical Behavior and Fracture Mechanical Characteristics of Sandstone with a Single Prefabricated Fissure. Adv. Civ. Eng. 2024, 2024, 5501703. [Google Scholar] [CrossRef]
- Jin, T.X.; Sun, X.Y.; Liu, K.; Lin, S.R.; Yang, S.Q.; Xie, J.L. Experimental study of the multiple fractalisation of coal and rock failure subjected to the coupled effects of water, temperature and dynamic loads. Appl. Sci. 2023, 13, 13004. [Google Scholar] [CrossRef]
- Chen, Y.J.; Yin, T.B.; Ranjith, P.G.; Li, X.B.; Li, Q.; Zhuang, D.D. Performances of fissured red sandstone after thermal treatment with constant-amplitude and low-cycle impacts. J. Rock Mech. Geotech. Eng. 2024, 16, 561–587. [Google Scholar] [CrossRef]
- You, W.; Dai, F.; Liu, Y.; Li, Y.Z. Dynamic mechanical responses and failure characteristics of fractured rocks with hydrostatic confining pressures: An experimental study. Theor. Appl. Fract. Mech. 2022, 122, 103570. [Google Scholar]
- Sun, B.; Chen, R.; Ping, Y.; Zhu, Z.D.; Wu, N.; He, Y.X. Dynamic response of rock-like materials based on SHPB pulse waveform characteristics. Materials 2022, 15, 210. [Google Scholar]
- Haeri, H.; Sarfarazi, V.; Fatehi Marji, M. Static and dynamic response of rock engineering models. Iran. J. Sci. Technol. Trans. Civ. Eng. 2022, 46, 327–341. [Google Scholar]
- Luo, Y.; Wang, G.; Li, X.P.; Liu, T.T.; Mandal, A.K.; Xu, M.N.; Xu, K. Analysis of energy dissipation and crack evolution law of sandstone under impact load. Int. J. Rock Mech. Min. Sci. 2020, 132, 104359. [Google Scholar]
- Francisco, R.B.; Fredrik, J.; Diego, M.I.; Abel, S.J.; Axel, B. Using PFC2D to simulate the shear behaviour of joints in hard crystalline rock. Bull. Eng. Geol. Environ. 2022, 81, 381. [Google Scholar]
- Mehranpour, M.H.; Kulatilake, P.H.S.W. Comparison of six major intact rock failure criteria using a particle flow approach under true-triaxial stress condition. Geomech. Geophys. Geo-Energy Geo-Resour. 2016, 2, 203–229. [Google Scholar]
- Saadat, M.; Taheri, A. A cohesive discrete element based approach to characterizing the shear behavior of cohesive soil and clay-infilled rock joints. Comput. Geotech. 2019, 114, 103109. [Google Scholar]
- Zhou, Z.L.; Zhao, Y.; Jiang, Y.H.; Zou, Y.; Cai, X.; Li, D.Y. Dynamic behavior of rock during its post failure stage in SHPB tests. Trans. Nonferrous Met. Soc. China 2017, 27, 184–196. [Google Scholar]
- Guner, D.; Ozturk, H. Experimental and Numerical Analysis of the Effects of Curing Time on Tensile Mechanical Properties of Thin Spray-on Liners. Rock Mech. Rock Eng. 2016, 49, 3205–3222. [Google Scholar]
- You, W.; Dai, F.; Liu, Y. Experimental and numerical investigation on the mechanical responses and cracking mechanism of 3D confined single-flawed rocks under dynamic loading. J. Rock Mech. Geotech. Eng. 2022, 14, 477–493. [Google Scholar]
- Yuan, G.T.; Zhang, M.W.; Zhang, K.; Wei, J.; Tian, Z.C.; Liu, B.L. Dynamic mechanical response characteristics and cracking behavior of randomly distributed cracked sandstone. Comput. Part. Mech. 2023, 11, 119–139. [Google Scholar]
- Ozturk, H.; Altinpinar, M. The estimation of uniaxial compressive strength conversion factor of trona and interbeds from point load tests and numerical modeling. J. Afr. Earth Sci. 2017, 131, 71–79. [Google Scholar]
- Li, J.C.; Li, N.N.; Li, H.B.; Zhao, J. An SHPB test study on wave propagation across rock masses with different contact area ratios of joint. Int. J. Impact Eng. 2017, 105, 109–116. [Google Scholar]
- Li, D.Y.; Han, Z.H.; Sun, X.L.; Zhou, T.; Li, X. Dynamic Mechanical Properties and Fracturing Behavior of Marble Specimens Containing Single and Double Flaws in SHPB Tests. Rock Mech. Rock Eng. 2019, 52, 1623–1643. [Google Scholar]



















| Density/ (kg·m−3) | Particle Stiffness Ratio | Particle Deformation Modulus/GPa | Bond Stiffness Ratio | Bond Deformation Modulus/GPa | Bond Tensile Strength/MPa | Bond Shear Strength/MPa |
|---|---|---|---|---|---|---|
| 7850 | 1 | 210 | 1 | 210 | 10100 | 10100 |
| Density/ (kg·m−3) | Particle Stiffness Ratio | Particle Deformation Modulus/GPa | Bond Stiffness Ratio | Bond Deformation Modulus/GPa | Bond Tensile Strength/MPa | Cohesion/MPa |
|---|---|---|---|---|---|---|
| 2890 | 1.5 | 28 | 1.5 | 28 | 135 | 115 |
| Fracture Inclination Angles/° | Incident Energy/J | Reflected Energy/J | Transmitted Energy/J | Absorbed Energy/J |
|---|---|---|---|---|
| 0 | 624.67 | 125.26 | 232.25 | 267.16 |
| 15 | 624.67 | 171.54 | 172.89 | 280.24 |
| 30 | 624.67 | 229.63 | 124.56 | 270.48 |
| 45 | 624.67 | 255.57 | 94.69 | 274.41 |
| 60 | 624.67 | 304.88 | 69.06 | 250.73 |
| 75 | 624.67 | 303.69 | 71.05 | 249.93 |
| 90 | 624.67 | 326.21 | 62.78 | 235.68 |
Disclaimer/Publisher’s Note: The statements, opinions and data contained in all publications are solely those of the individual author(s) and contributor(s) and not of MDPI and/or the editor(s). MDPI and/or the editor(s) disclaim responsibility for any injury to people or property resulting from any ideas, methods, instructions or products referred to in the content. |
© 2025 by the authors. Licensee MDPI, Basel, Switzerland. This article is an open access article distributed under the terms and conditions of the Creative Commons Attribution (CC BY) license (https://creativecommons.org/licenses/by/4.0/).
Share and Cite
Zhao, Y.; Zhang, C.; He, W. Simulated Research on Dynamic Mechanical Properties and Crack Evolution Laws of Fractured Red Sandstone. Buildings 2025, 15, 1147. https://doi.org/10.3390/buildings15071147
Zhao Y, Zhang C, He W. Simulated Research on Dynamic Mechanical Properties and Crack Evolution Laws of Fractured Red Sandstone. Buildings. 2025; 15(7):1147. https://doi.org/10.3390/buildings15071147
Chicago/Turabian StyleZhao, Yubo, Chunlei Zhang, and Wen He. 2025. "Simulated Research on Dynamic Mechanical Properties and Crack Evolution Laws of Fractured Red Sandstone" Buildings 15, no. 7: 1147. https://doi.org/10.3390/buildings15071147
APA StyleZhao, Y., Zhang, C., & He, W. (2025). Simulated Research on Dynamic Mechanical Properties and Crack Evolution Laws of Fractured Red Sandstone. Buildings, 15(7), 1147. https://doi.org/10.3390/buildings15071147

