In-Plane Stability of Circular Arch Under Uniform Vertical Load Based on the Asymptotic Method
Abstract
1. Introduction
2. Nonlinear Equilibrium Equations
3. Snap-Through Buckling of Shallow Arch
3.1. Solution Procedure
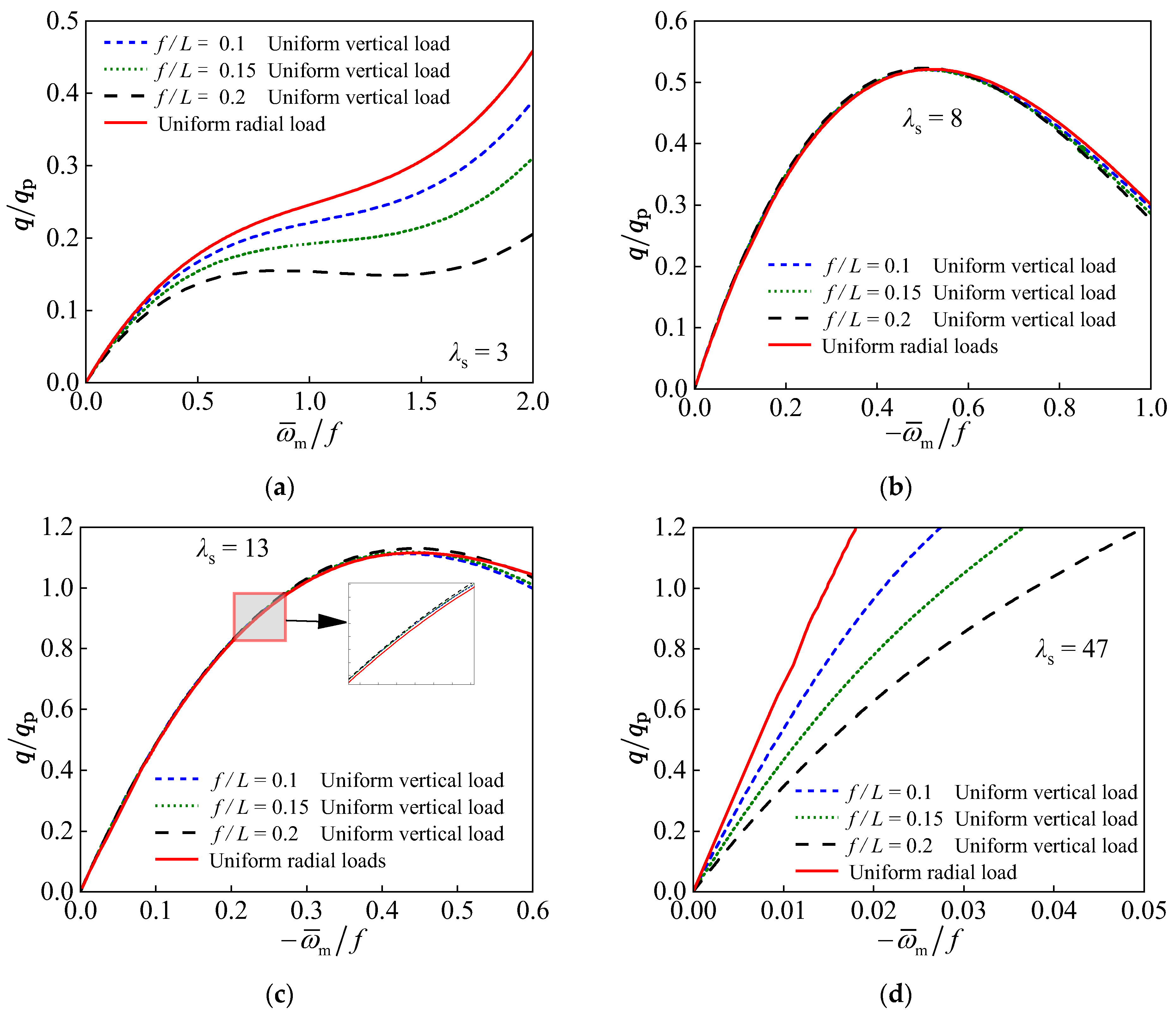
3.2. Circular Shallow Arches Subjected to Uniform Radial Load
3.3. Circular Shallow Arches Subjected to Uniform Vertical Load
3.4. Internal Force Distribution of Arches Subjected to Uniform Vertical Load
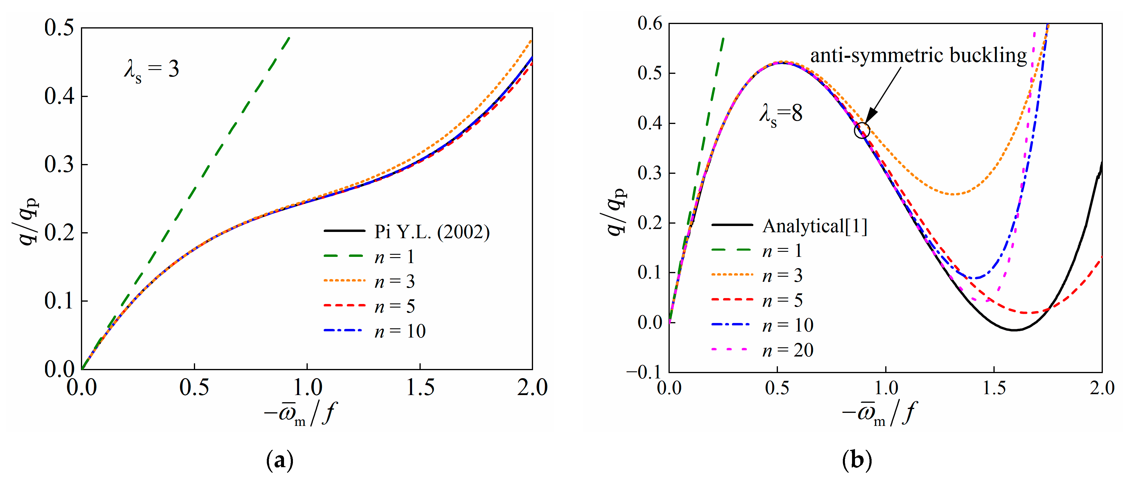
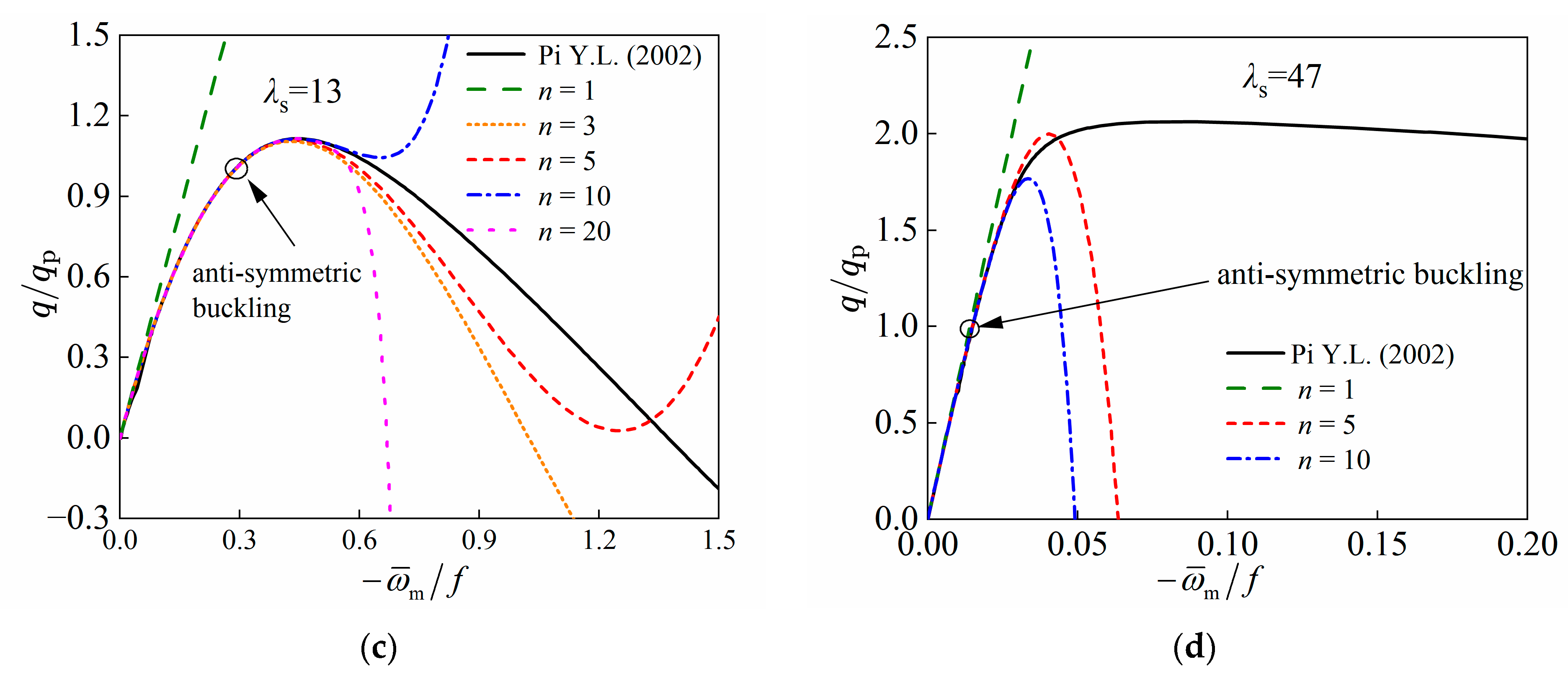
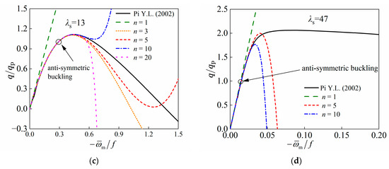
4. Anti-Symmetric Bifurcation Buckling
4.1. Differential Equations for Buckling Analysis
4.2. WKB Theory
- The larger the rise-to-span ratio, the larger the qcr/qp for the same modified slenderness λs, which is due to the effect of the axial component of the load. Obviously, the smaller the rise-to-span ratio of an arch subjected to a uniform vertical load, the closer the axial force distribution of the arch is to that of an arch subjected to a uniform radial load, and therefore the closer its critical load is to that of an arch subjected to a uniform radial load.
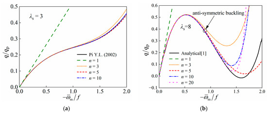
- The eigenvalue obtained using the second-order WKB method is smaller than that obtained using the third-order WKB method, consistent with the conclusions drawn from Figure 6 and their underlying reasons.
- The variation in qcr/qp with λs calculated using nonlinear axial force differs from that obtained with a linear axial force. When a linear axial force is used, the critical load decreases as λs increases, whereas with a nonlinear axial force, the critical load increases as λs increases. This difference arises because, for small values of λs, the nonlinear effects before buckling are significant, leading to lower critical loads when a nonlinear axial force is used. In contrast, the results based on a linear axial force are influenced solely by the axial component of the load, which results in higher critical loads compared to those under uniformly distributed radial loads. As λs becomes large, the difference between the critical loads calculated with nonlinear and linear axial forces diminishes.
4.3. WKB Results with Other Analytical Studies
5. Conclusions
- The parameter perturbation method is effective for snap-buckling of shallow arches, and the fifth-order solution is sufficiently accurate. For shallow arches with a large modified slenderness ratio, the influence of the axial load component cannot be neglected.
- In the anti-symmetric buckling analysis, the eigenvalue obtained using the second-order WKB method is smaller than that obtained using the third-order WKB method; therefore, the second-order solution can be used as the critical load.
- The asymptotic solution for the buckling deformation of the two-hinged circular arch is provided. For shallow arches with a small rise-to-span ratio, the critical load for anti-symmetric buckling closely matches the classical solution. For deep arches with a large rise-to-span ratio, the influence of the axial load component cannot be ignored.
Author Contributions
Funding
Data Availability Statement
Conflicts of Interest
References
- Tong, G.; Pi, Y.L.; Bradford, M.A.; Tin-Loi, F. In-Plane Nonlinear Buckling Analysis of Deep Circular Arches Incorporating Transverse Stresses. J. Eng. Mech. 2008, 134, 362–373. [Google Scholar]
- Pi, Y.L.; Bradford, M.A.; Uy, B. In-Plane Stability of Arches. Int. J. Solids Struct. 2002, 39, 105–125. [Google Scholar]
- Pi, Y.L.; Trahair, N.S. In-Plane Buckling and Design of Steel Arches. J. Struct. Eng. 1999, 125, 1291–1298. [Google Scholar]
- Pi, Y.L.; Trahair, N.S. Nonlinear Buckling and Post-Buckling of Elastic Arches. Eng. Struct. 1998, 20, 571–579. [Google Scholar]
- Bradford, M.A.; Wang, T.; Pi, Y.L.; Gilbert, R.I. In-Plane Stability of Parabolic Arches with Horizontal Spring Supports. I: Theory. J. Constr. Steel Res. 2020, 164, 1057. [Google Scholar]
- Eslami, M.R. Buckling and Post-Buckling of Curved Beams and Rings. In Buckling and Postbuckling of Beams, Plates, and Shells; Springer: Cham, Switzerland, 2018. [Google Scholar]
- Kang, Y.J.; Yoo, C.H. Thin-Walled Curved Beams. II: Analytical Solutions for Buckling of Arches. J. Eng. Mech. 1994, 120, 2102–2125. [Google Scholar] [CrossRef]
- Reddy, J.N. Theory and Analysis of Elastic Plates and Shells; CRC Press: Boca Raton, FL, USA, 2006. [Google Scholar]
- Hu, C.; Li, Z.; Hu, Q. On Non-Linear Behavior and Buckling of Arch-Beam Structures. Eng. Struct. 2021, 239, 112214. [Google Scholar] [CrossRef]
- Babaei, H.; Kiani, Y.; Eslami, M.R. Large amplitude free vibration analysis of shear deformable FGM shallow arches on nonlinear elastic foundation. Thin-Walled Struct. 2019, 144, 106237. [Google Scholar] [CrossRef]
- Babaei, H.; Eslami, M.R. On Nonlinear Vibration and Snap-Through Stability of Porous FG Curved Micro-Tubes Using Two-Step Perturbation Technique. Compos. Struct. 2020, 247, 112447. [Google Scholar]
- Babaei, H.; Eslami, M.R. On nonlinear vibration and snap-through buckling of long FG porous cylindrical panels using nonlocal strain gradient theory. Compos. Struct. 2021, 256, 113125. [Google Scholar]
- Guo, Y.; Lin, B.; Guo, Y. Theoretical and Experimental Studies of In-Plane Stability Design of Circular Arches Subjected to Axial Force and Moment. China Civ. Eng. J. 2011, 44, 8–15. (In Chinese) [Google Scholar]
- Caporale, A.; Luciano, R.; Rosati, L. Limit analysis of masonry arches with externally bonded FRP reinforcements. Comput. Methods Appl. Mech. Eng. 2006, 196, 247–260. [Google Scholar]
- Mercuri, M.; Pathirage, M.; Gregori, A.; Cusatis, G. Masonry vaulted structures under spreading supports: Analyses of fracturing behavior and size effect. J. Build. Eng. 2006, 45, 103396. [Google Scholar]
- Bender, C.M.; Orszag, S.A. Advanced Mathematical Methods for Scientists and Engineers I: Asymptotic Methods and Perturbation Theory; Springer: New York, NY, USA, 1999. [Google Scholar]
- Nayfeh, A.H. Introduction to Perturbation Techniques; John Wiley & Sons: Hoboken, NJ, USA, 2011. [Google Scholar]
- Jin, L.; Liu, Y.; Cai, Z. Asymptotic Solutions on the Circumferential Wrinkling of Growing Tubular Tissues. Int. J. Eng. Sci. 2018, 128, 31–43. [Google Scholar]
- Fu, Y. Some Asymptotic Results Concerning the Buckling of a Spherical Shell of Arbitrary Thickness. Int. J. Non-Linear Mech. 1998, 33, 1111–1122. [Google Scholar]
- Pour, M.S. WKB analysis of the buckling of a neo-Hookean cylindrical shell of arbitrary thickness subject to an external pressure. Int. J. Appl. Mech. 2010, 2, 857–870. [Google Scholar] [CrossRef]
- Wasow, W. Linear Turning Point Theory; Springer: New York, NY, USA, 1985. [Google Scholar]
- Fu, Y.; Pour, M.S. WKB Method with Repeated Roots and Its Application to the Buckling Analysis of an Everted Cylindrical Tube. SIAM J. Appl. Math. 2002, 65, 1856–1871. [Google Scholar]
- Cheng, P. In-Plane Nonlinear Theory and Elastic-Plastic Stability of Pined Circular Arches. Ph.D. Thesis, Zhejiang University, Hangzhou, China, 2005. [Google Scholar]








| Area A (mm2) | Moment of Inertia I (mm4) | Radius of Gyration r (mm) | Elastic Modulus E (GPa) | Poisson’s Ratio μ |
|---|---|---|---|---|
| 1433 | 245 × 104 | 41.4 | 206 | 0.3 |
| n | λs = 3 | λs = 8 | λs = 13 | λs = 47 | λs = 80 |
|---|---|---|---|---|---|
| δn | |||||
| 2 | 1.27 | 0.75 | 0.68 | 0.36 | 0.19 |
| 3 | 3.04 | 2.76 | 3.01 | −0.08 | −0.02 |
| 4 | 50.78 | 149.53 | −32.29 | −0.04 | −0.01 |
| 5 | 12.58 | −0.24 | −0.66 | −0.04 | −0.01 |
| 6 | −1.29 | −1.59 | −0.75 | −0.04 | −0.01 |
| 7 | −34.31 | −10.03 | −0.60 | −0.04 | −0.02 |
| 8 | 0.66 | 0.35 | −0.47 | −0.06 | −0.02 |
| 9 | −9.33 | −1.36 | −0.45 | −0.10 | −0.03 |
| 10 | 3.21 | −6.97 | −0.50 | −0.04 | 0.02 |
| α (°) | λf = 20 | λf = 50 | λf = 100 | λf = 200 | ||||
|---|---|---|---|---|---|---|---|---|
| Galerkin | WKB | Galerkin | WKB | Galerkin | WKB | Galerkin | WKB | |
| 90 | 4.1525 | 5.4697 | 4.1299 | 5.434 | 4.1270 | 5.4289 | 4.1466 | 5.4276 |
| 78.54 | 5.9379 | 6.3614 | 5.8887 | 6.3094 | 5.8814 | 6.3020 | 5.8795 | 6.3002 |
| 67.08 | 8.2705 | 7.9866 | 8.1942 | 7.9002 | 8.1817 | 7.8880 | 8.1785 | 7.8849 |
| 55.62 | 11.8221 | 11.0052 | 11.6925 | 10.8360 | 11.6693 | 10.8118 | 11.6634 | 10.8057 |
| 44.16 | 18.2921 | 17.0966 | 17.9946 | 16.6837 | 17.9391 | 16.6246 | 17.9248 | 16.6098 |
| 32.7 | 32.9204 | 31.6189 | 31.9171 | 30.2386 | 31.7297 | 30.0409 | 31.6813 | 29.9915 |
Disclaimer/Publisher’s Note: The statements, opinions and data contained in all publications are solely those of the individual author(s) and contributor(s) and not of MDPI and/or the editor(s). MDPI and/or the editor(s) disclaim responsibility for any injury to people or property resulting from any ideas, methods, instructions or products referred to in the content. |
© 2025 by the authors. Licensee MDPI, Basel, Switzerland. This article is an open access article distributed under the terms and conditions of the Creative Commons Attribution (CC BY) license (https://creativecommons.org/licenses/by/4.0/).
Share and Cite
Jin, J.; Su, M. In-Plane Stability of Circular Arch Under Uniform Vertical Load Based on the Asymptotic Method. Buildings 2025, 15, 1149. https://doi.org/10.3390/buildings15071149
Jin J, Su M. In-Plane Stability of Circular Arch Under Uniform Vertical Load Based on the Asymptotic Method. Buildings. 2025; 15(7):1149. https://doi.org/10.3390/buildings15071149
Chicago/Turabian StyleJin, Jing, and Mingzhou Su. 2025. "In-Plane Stability of Circular Arch Under Uniform Vertical Load Based on the Asymptotic Method" Buildings 15, no. 7: 1149. https://doi.org/10.3390/buildings15071149
APA StyleJin, J., & Su, M. (2025). In-Plane Stability of Circular Arch Under Uniform Vertical Load Based on the Asymptotic Method. Buildings, 15(7), 1149. https://doi.org/10.3390/buildings15071149

