Investigating the Mechanical Properties and Water Permeability of Recycled Pervious Concrete Using Three Typical Gradation Schemes
Abstract
1. Introduction
2. Experimental Methods
2.1. Raw Materials
2.2. Preparation of Recycled Coarse Aggregate with Different Grades
2.3. Mix Proportion and Preparation Process
2.4. Test Method
2.4.1. Compressive and Flexural Strengths
2.4.2. Connected Porosity Test
2.4.3. Permeability
2.4.4. Microstructure
3. Results and Discussion
3.1. Mechanical Properties
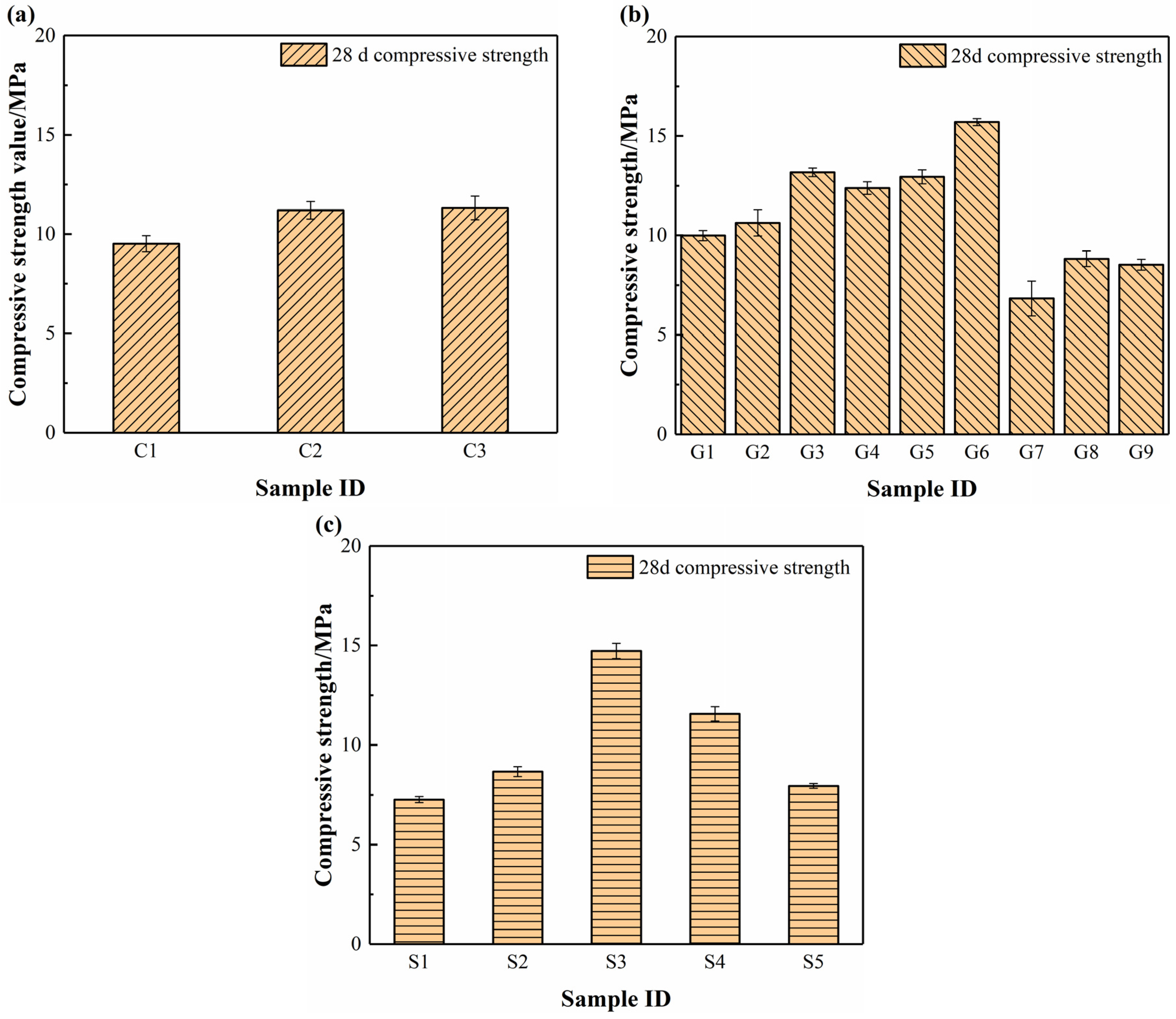
3.1.1. Compressive Strength
3.1.2. Flexural Strength
3.1.3. Failure Modes
3.2. Connected Porosity
3.3. Permeability Coefficient
3.4. Correlation Analysis
3.5. SEM Analysis
3.6. Discussion
4. Conclusions
- (1)
- RPC prepared with discontinuous gradation RCA exhibited higher compressive and flexural strength compared to those prepared with continuous gradation and single gradation RCA. The compressive strength and flexural strength of the optimal group (sample G6) were measured at 15.70 and 4.22 MPa, respectively.
- (2)
- The RPC prepared with continuous gradation RCA primarily develops longitudinal cracks under the compressive loads. In contrast, when RPC is formulated using discontinuous gradation and single gradation RCA, concrete scaling is observed. In the case of bending loads, damage in RPC prepared with the three different gradation schemes typically propagates along the aggregate interfaces.
- (3)
- The connected porosity of RPC prepared using discontinuous gradation and single gradation RCA is higher than the design porosity, which is advantageous for reducing water penetration resistance. However, the RPC produced with continuous gradation RCA exhibits a relatively dense structure, resulting in lower connectivity porosity. Additionally, the permeability coefficient of RPC demonstrates a strong positive correlation with its connected porosity, with RPC prepared using discontinuous gradation RCA exhibiting the best permeability.
- (4)
- The correlation between density, connected porosity, and the permeability coefficient reveals that RPC prepared using multi-gradation RCA contributes to the stability of changes in the connected porosity and permeability coefficient. Furthermore, the nonlinear fitting method effectively characterizes the relationship between connected porosity and the permeability coefficient of RPC using different gradation schemes.
Author Contributions
Funding
Data Availability Statement
Conflicts of Interest
References
- Machado, R.C.; de Souza, H.A.; de Souza Veríssimo, G. Analysis of guidelines and identification of characteristics influencing the deconstruction potential of buildings. Sustainability 2018, 10, 2604. [Google Scholar] [CrossRef]
- Shi, X.; Mukhopadhyay, A.; Zollinger, D. Sustainability assessment for portland cement concrete pavement containing reclaimed asphalt pavement aggregates. J. Clean. Prod. 2018, 192, 569–581. [Google Scholar] [CrossRef]
- An, R.; Guo, Y. Estimating construction and demolition waste in the building sector in China: Towards the end of the century. Waste Manag. 2024, 190, 285–295. [Google Scholar] [CrossRef] [PubMed]
- Yi, Y.; Liu, J.; Lavagnolo, M.C.; Manzardo, A. Evaluating the carbon emission reduction in construction and demolition waste management in China. Energy Build. 2024, 324, 114932. [Google Scholar] [CrossRef]
- Lee, S.; Chang, H.; Lee, J. Construction and demolition waste management and its impacts on the environment and human health: Moving forward sustainability enhancement. Sustain. Cities Soc. 2024, 115, 105855. [Google Scholar] [CrossRef]
- Balali, A.; Gholami, S.; Javanmardi, M.; Valipour, A.; Yunusa-Kaltungo, A. Assessment of heavy metal pollution in the soil of a construction and demolition waste landfill. Environ. Nanotechnol. Monit. Manag. 2023, 20, 100856. [Google Scholar] [CrossRef]
- Zhang, T.; Cui, J.; Chen, M.; Yang, J.; Yan, Z.; Zhang, M. Durability of concrete containing carbonated recycled aggregates: A comprehensive review. Cem. Concr. Compos. 2025, 156, 105865. [Google Scholar] [CrossRef]
- Morgado, J.; Rosales, J.; de Brito, J.; Mendes, M.P.; Machini, B.; Bravo, M. Performance of concrete with treated wastewater and recycled aggregates. J. Build. Eng. 2024, 98, 111343. [Google Scholar] [CrossRef]
- Stochino, F.; Alibeigibeni, A.; Zucca, M.; Valdes, M.; Concu, G.; Simoncelli, M.; Pisani, M.A.; Bernuzzi, C. Mechanical behavior of composite slabs with recycled concrete aggregates: A preliminary study. Structures 2024, 70, 107838. [Google Scholar] [CrossRef]
- Al-Kheetan, M.J.; Rahman, M.M.; Chamberlain, D.A. Optimum mix design for internally integrated concrete with crystallizing protective material. J. Mater. Civ. Eng. 2019, 31, 04019101. [Google Scholar] [CrossRef]
- Guo, S.; Ding, Y.; Xu, P.; Wu, J.; Bao, J. Stress-strain relationship of steel fiber reinforced fully recycled coarse/fine aggregate concrete under cyclic loading. Case Stud. Constr. Mater. 2024, 22, e04139. [Google Scholar] [CrossRef]
- Kim, J. Influence of quality of recycled aggregates on the mechanical properties of recycled aggregate concretes: An overview. Constr. Build. Mater. 2022, 328, 127071. [Google Scholar] [CrossRef]
- Kasulanati, M.L.; Pancharathi, R.K. Optimizing multi-recycled concrete for sustainability: Aggregate gradation, surface treatment methods and life cycle impact assessment. Constr. Build. Mater. 2024, 449, 138510. [Google Scholar] [CrossRef]
- Sha, F.; Zhang, S.-M.; Sun, X.-C.; Fan, G.-X.; Diao, Y.; Duan, X.-F.; Qiao, A.L.; Wang, H. Mechanical performance and pore characteristics of pervious concrete. Case Stud. Constr. Mater. 2024, 21, e03674. [Google Scholar] [CrossRef]
- Goede, W.; Haselbach, L. Investigation into the Structural Performance of Pervious Concrete. J. Transp. Eng. 2012, 138, 98–104. [Google Scholar] [CrossRef]
- Zhu, P.; Shi, Z.; Zong, M.; Wang, H.; Jin, Y.; Shi, H.; Qian, Y. Effect of Flexural Fatigue Loading on Mechanical Properties, Permeability, and Rainstorm Resistance of Novel Pervious Concrete. J. Mater. Civ. Eng. 2024, 36, 04024296. [Google Scholar] [CrossRef]
- Yavuz, D.; Gultekin, A. Mechanical and porosity properties of recycled pervious concrete aggregate-bearing pervious concretes. J. Sustain. Cem.-Based Mater. 2024, 13, 1289–1300. [Google Scholar] [CrossRef]
- Anwar, F.H.; El-Hassan, H.; Hamouda, M.; El-Mir, A.; Mo, K.H. Performance evaluation of pervious geopolymer concrete incorporating recycled concrete aggregate. Int. J. Sustain. Eng. 2024, 17, 908–925. [Google Scholar] [CrossRef]
- Nazeer, M.; Kapoor, K.; Singh, S.P. Impact of recycled concrete aggregates on the strength and durability properties of pervious concrete. Mag. Concr. Res. 2023, 76, 272–291. [Google Scholar] [CrossRef]
- Singh, D.; Singh, S.P. Properties of pervious concrete with recycled concrete aggregates and cement replacements. Proc. Inst. Civ. Eng.-Constr. Mater. 2022, 176, 242–254. [Google Scholar] [CrossRef]
- Vieira, G.L.; Schiavon, J.Z.; Borges, P.M.; da Silva, S.R.; de Oliveira Andrade, J.J. influence of recycled aggregate replacement and fly ash content in performance of pervious concrete mixtures. J. Clean. Prod. 2020, 271, 122665. [Google Scholar] [CrossRef]
- El-Hassan, H.; Kianmehr, P.; Zouaoui, S. Properties of pervious concrete incorporating recycled concrete aggregates and slag. Constr. Build. Mater. 2019, 212, 164–175. [Google Scholar] [CrossRef]
- Aliabdo, A.A.; Elmoaty, A.E.M.A.; Fawzy, A.M. Experimental investigation on permeability indices and strength of modified pervious concrete with recycled concrete aggregate. Constr. Build. Mater. 2018, 193, 105–127. [Google Scholar] [CrossRef]
- Brasileiro, K.P.T.V.; Nahime, B.D.O.; Lima, E.C.; Alves, M.M.; Ferreira, W.P.; Santos, I.S.D.; Filho, C.P.B.; Reis, I.C.D. Influence of recycled aggregates and silica fume on the performance of pervious concrete. J. Build. Eng. 2024, 82, 108347. [Google Scholar] [CrossRef]
- Mehrabi, P.; Shariati, M.; Kabirifar, K.; Jarrah, M.; Rasekh, H.; Trung, N.T.; Shariati, A.; Jahandari, S. Effect of pumice powder and nano-clay on the strength and permeability of fiber-reinforced pervious concrete incorporating recycled concrete aggregate. Constr. Build. Mater. 2021, 287, 122652. [Google Scholar] [CrossRef]
- Dai, Z.; Li, H.; Zhao, W.; Wang, X.; Wang, H.; Zhou, H.; Yang, B. Multi-modified effects of varying admixtures on the mechanical properties of pervious concrete based on optimum design of gradation and cement-aggregate ratio. Constr. Build. Mater. 2020, 233, 117178. [Google Scholar] [CrossRef]
- Yogesh, R.V.; Santha, G.K.; Ganesh, K.S. Synergistic effect of aggregate gradation band and cement to aggregate ratio on the performance of pervious concrete. J. Build. Eng. 2023, 73, 106718. [Google Scholar]
- Chen, S.; Liu, X.; Guo, L.; Wang, L. Influence of recycle aggregate proportion on performance of recycle pervious concrete. Acta Mater. Compos. Sin. 2018, 35, 1590–1598. [Google Scholar]
- Anburuvel, A.; Subramaniam, D.N. Influence of aggregate gradation and compaction on compressive strength and porosity characteristics of pervious concrete. Int. J. Pavement Eng. 2023, 24, 2055022. [Google Scholar] [CrossRef]
- Song, H.; Fan, S.; Che, J.; Yao, J.; Lee, Y. Physical & mechanical properties of pervious concrete incorporating municipal solid waste incineration bottom ash. J. Build. Eng. 2024, 96, 110599. [Google Scholar]
- AlShareedah, O.; Nassiri, S. Pervious concrete mixture optimization, physical, and mechanical properties and pavement design: A review. J. Clean. Prod. 2021, 288, 125095. [Google Scholar] [CrossRef]
- Sun, R.; Wang, D.; Cao, H.; Wang, Y.; Lu, Z.; Xia, J. Ecological pervious concrete in revetment and restoration of coastal Wetlands: A review. Constr. Build. Mater. 2021, 303, 124590. [Google Scholar] [CrossRef]
- Li, Y.; Sheng, J.; Li, W.; Yu, M.; Zheng, X.; Wang, F. Effect of a novel spherical tailings aggregate on the macro- and mesoscopic properties of pervious concrete. Cem. Concr. Compos. 2023, 144, 105311. [Google Scholar] [CrossRef]
- C.T. 2016; Technical Specification for Application of Recycled Aggregate Pervious Concrete. Standardization Administration of China: Beijing, China, 2016.
- G.T. 50081-2019; Standard for Test Methods of Concrete Physical and Mechanical Properties. Standardization Administration of China: Beijing, China, 2019.
- C.T. 2009; Technical Specifications for Pervious Concrete Pavement. Standardization Administration of China: Beijing, China, 2009.
- Yuan, S.; Li, K.; Luo, J.; Yin, W.; Chen, P.; Dong, J.; Liang, W.; Zhu, Z.; Tang, Z. Research on the frost resistance performance of fully recycled pervious concrete reinforced with fly ash and basalt fiber. J. Build. Eng. 2024, 86, 108792. [Google Scholar] [CrossRef]
- Xia, D.; Xia, P.; Hu, J.; Li, X.; Zhan, Z. Optimization of mechanical properties of pervious recycled concrete using polypropylene fiber and waterborne epoxy resin. Structures 2024, 63, 106372. [Google Scholar] [CrossRef]
- Silva, R.V.; De Brito, J.; Dhir, R.K. Establishing a relationship between modulus of elasticity and compressive strength of recycled aggregate concrete. J. Clean. Prod. 2016, 112, 2171–2186. [Google Scholar] [CrossRef]
- Fořt, J.; Afolayan, A.; Medveď, I.; Scheinherrová, L.; Černý, R. A review of the role of lightweight aggregates in the development of mechanical strength of concrete. J. Build. Eng. 2024, 89, 109312. [Google Scholar] [CrossRef]
- Fan, M.; Tang, B.; Sun, X.; He, X.; Yuan, L. Experimental study on the water purification performance of carbonated recycled aggregate pervious concrete. Constr. Build. Mater. 2023, 406, 133392. [Google Scholar] [CrossRef]
- Xu, C.; Li, Q.; Wang, P.; Fan, Q.; Kong, Z.; Wang, L.; Yue, G.; Zheng, S.; Shao, C.; Guo, Y. Theoretical porosity design; mechanical properties, and durability of large-pore sandy recycled concrete. Case Stud. Constr. Mater. 2024, 21, e03655. [Google Scholar] [CrossRef]
- Luo, Y.; Lv, Y.; Wang, D.; Jiang, Z.; Xue, G. The influence of coarse aggregate gradation on the mechanical properties, durability, and plantability of geopolymer pervious concrete. Constr. Build. Mater. 2023, 382, 131246. [Google Scholar] [CrossRef]
- Chandrappa, A.K.; Biligiri, K.P. Comprehensive investigation of permeability characteristics of pervious concrete: A hydrodynamic approach. Constr. Build. Mater. 2016, 123, 627–637. [Google Scholar] [CrossRef]
- Akkaya, A.; Çağatay, İ.H. Investigation of the density, porosity, and permeability properties of pervious concrete with different methods. Constr. Build. Mater. 2021, 294, 123539. [Google Scholar] [CrossRef]
- Sahdeo, S.K.; Ransinchung, G.; Rahul, K.L.; Debbarma, S. Reclaimed asphalt pavement as a substitution to natural coarse aggregate for the production of sustainable pervious concrete pavement mixes. J. Mater. Civ. Eng. 2021, 33, 04020469. [Google Scholar] [CrossRef]
- Song, H.; Yao, J.; Xiang, J. The role of aggregate and cement paste in the deterioration of the transitional interface zone of pervious concrete during freeze-thaw cycles. Case Stud. Constr. Mater. 2022, 16, e01086. [Google Scholar] [CrossRef]
- Du, T.; Xiao, J.; Li, C.; Gan, Y.; Jiang, X. Experimental and numerical study on the chloride ions penetration in recycled aggregate concrete. Constr. Build. Mater. 2024, 451, 138702. [Google Scholar] [CrossRef]
- Weymouth, C.A.G. A study of fine aggregate in freshly mixed mortars and concretes. Proc. Am. Soc. Test. Mater. Part II 1938, 38, 354–393. [Google Scholar]
- Fang, M.; Park, D.; Singuranayo, J.L.; Chen, H.; Li, Y. Aggregate gradation theory, design and its impact on asphalt pavement performance: A review. Int. J. Pavement Eng. 2019, 20, 1408–1424. [Google Scholar] [CrossRef]
- Xiang, X.; Chen, W.; Huang, Y.; Wang, P.; Wang, G.; Wu, J.; Tian, W. Application of recycled concrete aggregates in continuous-graded cement stabilized macadam. Case Stud. Constr. Mater. 2024, 21, e03918. [Google Scholar] [CrossRef]
- Mistri, A.; Bhattacharyya, S.K.; Dhami, N.; Mukherjee, A.; Barai, S.V. Petrographic investigation on recycled coarse aggregate and identification the reason behind the inferior performance. Constr. Build. Mater. 2019, 221, 399–408. [Google Scholar] [CrossRef]













| Specific Area (m2·kg−1) | Setting Time (min) | Compressive Strength (MPa) | Flexural Strength (MPa) | |||
|---|---|---|---|---|---|---|
| 357 | Initial | Final | 3 d | 28 d | 3 d | 28 d |
| 115 | 320 | 33.0 | 52.9 | 6.3 | 9.1 | |
| Gradation (mm) | Bulk Density (kg·m−3) | Apparent Density (kg·m−3) | Porosity (%) | Absorption (%) | Strength (MPa) |
|---|---|---|---|---|---|
| 3–5 | 1380 | 2530 | 45 | 9.8 | 5.36 |
| 5–10 | 1295 | 2585 | 50 | 9.6 | 6.22 |
| 10–13.2 | 1290 | 2612 | 51 | 7.2 | 6.98 |
| 13.2–16 | 1310 | 2630 | 50 | 6.3 | 6.59 |
| 16–20 | 1300 | 2642 | 51 | 6.1 | 6.63 |
| Sample ID | Cement (kg/m3) | RCA (kg/m3) | Water (kg·m3) | ||||
|---|---|---|---|---|---|---|---|
| 3–5 mm | 5–10 mm | 10–13.2 mm | 13.2–16 mm | 16–20 mm | |||
| C1 | 500 | 210 | 180 | 130 | 130 | 650 | 140 |
| C2 | 500 | 270 | 180 | 130 | 130 | 590 | 140 |
| C3 | 500 | 330 | 180 | 130 | 130 | 530 | 140 |
| G1 | 500 | 270 | 0 | 200 | 0 | 830 | 140 |
| G2 | 500 | 330 | 0 | 200 | 0 | 780 | 140 |
| G3 | 500 | 390 | 0 | 200 | 0 | 720 | 140 |
| G4 | 500 | 0 | 160 | 0 | 1140 | 0 | 140 |
| G5 | 500 | 0 | 220 | 0 | 1080 | 0 | 140 |
| G6 | 500 | 0 | 290 | 0 | 1010 | 0 | 140 |
| G7 | 500 | 270 | 0 | 1030 | 0 | 0 | 140 |
| G8 | 500 | 390 | 0 | 910 | 0 | 0 | 140 |
| G9 | 500 | 520 | 0 | 780 | 0 | 0 | 140 |
| S1 | 500 | 1300 | 0 | 0 | 0 | 0 | 140 |
| S2 | 500 | 0 | 1300 | 0 | 0 | 0 | 140 |
| S3 | 500 | 0 | 0 | 1300 | 0 | 0 | 140 |
| S4 | 500 | 0 | 0 | 0 | 1300 | 0 | 140 |
| S5 | 500 | 0 | 0 | 0 | 0 | 1300 | 140 |
| Gradation Schemes | Residual Sum of Squares | R2 | Adjusted R2 |
|---|---|---|---|
| Continuous gradation RCA | 0.03761 | 0.97262 | 0.94524 |
| Discontinuous gradation RCA | 1.07104 | 0.66223 | 0.61398 |
| Single gradation RCA | 0.14533 | 0.86806 | 0.82408 |
| Gradation Schemes | Linear Regression Equation |
|---|---|
| Continuous gradation RCA | |
| Discontinuous gradation RCA | |
| Single gradation RCA |
| Sample ID | Density (kg/m3) |
|---|---|
| C1 | 1835.33 |
| C2 | 1840.67 |
| C3 | 1870.36 |
| G1 | 1807.00 |
| G2 | 1835.67 |
| G3 | 1825.00 |
| G4 | 1750.67 |
| G5 | 1749.33 |
| G6 | 1786.67 |
| G7 | 1763.33 |
| G8 | 1774.33 |
| G9 | 1792.34 |
| S1 | 1853.33 |
| S2 | 1836.33 |
| S3 | 1786.67 |
| S4 | 1743.67 |
| S5 | 1759.33 |
Disclaimer/Publisher’s Note: The statements, opinions and data contained in all publications are solely those of the individual author(s) and contributor(s) and not of MDPI and/or the editor(s). MDPI and/or the editor(s) disclaim responsibility for any injury to people or property resulting from any ideas, methods, instructions or products referred to in the content. |
© 2025 by the authors. Licensee MDPI, Basel, Switzerland. This article is an open access article distributed under the terms and conditions of the Creative Commons Attribution (CC BY) license (https://creativecommons.org/licenses/by/4.0/).
Share and Cite
Lv, H.; Xiong, Z.; Li, H.; Liu, J.; Xu, G.; Chen, H. Investigating the Mechanical Properties and Water Permeability of Recycled Pervious Concrete Using Three Typical Gradation Schemes. Buildings 2025, 15, 358. https://doi.org/10.3390/buildings15030358
Lv H, Xiong Z, Li H, Liu J, Xu G, Chen H. Investigating the Mechanical Properties and Water Permeability of Recycled Pervious Concrete Using Three Typical Gradation Schemes. Buildings. 2025; 15(3):358. https://doi.org/10.3390/buildings15030358
Chicago/Turabian StyleLv, Hongjie, Zhe Xiong, Huawei Li, Jia Liu, Gang Xu, and Haofan Chen. 2025. "Investigating the Mechanical Properties and Water Permeability of Recycled Pervious Concrete Using Three Typical Gradation Schemes" Buildings 15, no. 3: 358. https://doi.org/10.3390/buildings15030358
APA StyleLv, H., Xiong, Z., Li, H., Liu, J., Xu, G., & Chen, H. (2025). Investigating the Mechanical Properties and Water Permeability of Recycled Pervious Concrete Using Three Typical Gradation Schemes. Buildings, 15(3), 358. https://doi.org/10.3390/buildings15030358

