Abstract
Non-autoclaved pre-stressed high-strength rubber-modified concrete (NA-PHRC) pipe piles were developed to address the high energy consumption and brittleness of existing pre-stressed high-strength concrete (PHC) pipe piles. The comparative flexural test results showed that the deformation capacity of NA-PHRC pipe piles improved, which was correlated with the rubber content. However, both the cracking moment and the ultimate moment decreased. When the rubber content is 5% and 10%, the cracking moment decreases by 3.85% and 7.69%, respectively, while the ultimate moment decreases by 3.75% and 7.28%. Additionally, the theoretical calculation results of the influence of rubber on the cracking and ultimate moments were consistent with the experimental results. Thus, this innovative NA-PHRC pipe pile can be applied in environments that require high durability.
1. Introduction
Pre-stressed high-strength concrete (PHC) pipe piles are precast tubular concrete members with pre-tensioned pre-stressed centrifugal forming technology, with a concrete strength grade not under C80. PHC pipe piles are widely used in industrial and civil buildings, highways, bridges, and large-scale projects because of their wide application range, high bearing capacity, and strong adaptability to geological conditions.
With the rapid development of the economy, environmental problems in the construction industry have attracted more and more attention. Many product studies in the construction industry have focused on environmentally friendly materials [1,2,3] and novel structures [4,5,6]. These products have good mechanical properties [7,8,9] and play an active role in environmental protection. At the same time, serious problems are associated with the production and application of traditional PHC pipe piles. High-temperature and high-pressure non-autoclaved steps are adopted in the production process of traditional PHC pipe piles, requiring traditional PHC pipe piles to be cured at 85 °C for 8 h. In this step, the acceleration of cement hydration leads to further improvement in the concrete strength. The formwork can be removed when the strength of high-strength concrete reaches 45–55 MPa. After formwork removal, traditional PHC pipe piles must be cured under high-temperature and high-pressure steam in the autoclave equipment. Next, the high-temperature and high-pressure non-autoclaving process lasts approximately 8 h at a temperature and pressure of 180 °C and 1.0 MPa, respectively. After this step, the PHC pipe pile strength reaches 80 MPa. This process results in high costs, energy consumption, waste residue production, and carbon dioxide emissions, which could seriously pollute the environment.
To avoid environmental pollution, some scholars have proposed non-autoclaved pre-stressed high-strength concrete (NA-PHC) pipe piles to solve the problems of high energy consumption and low production efficiency of traditional pipe piles, and have studied the compressive strength of NA-PHC pipe piles. Liu et al. [10] studied the influence of non-autoclaved pipes on the durability of PHC pipe piles and tested the chloride ion penetration and frost resistance of NA-PHC pipe piles. The results showed that the crack width of NA-PHC pipe piles was smaller than that of traditional PHC pipe piles, and the mechanical properties and durability were improved. Yazdani et al. [11] added silica fume to concrete pipe piles and measured the compressive strength of the concrete at different non-autoclaved times to verify the feasibility of non-autoclaved concrete. The results showed that the strength of silica fume concrete meets the requirements under non-autoclaved conditions for 12 h. Liu et al. [12] studied the impact resistance of NA-PHC pipe piles and tested and discussed the impact resistance and energy absorption capacity of the new PHC pipe piles. The results showed that the impact resistance of the NA-PHC pipe piles was similar to that of traditional pipe piles and had good energy absorption capacity. Research on NA-PHC pipe piles has primarily focused on concrete materials. It was found that the mechanical properties and durability of NA-PHC pipe piles under non-autoclaved pipes were better than those of traditional PHC pipe piles, but the concrete of NA-PHC pipe piles had a high brittleness. Therefore, it is necessary to reduce the brittleness of NA-PHC pipe piles.
In contrast, some scholars have found that using rubber particles in concrete can reduce the compressive [13,14,15,16], splitting tensile [17,18,19], and flexural strength [20,21,22], but can improve the toughness [2,23,24,25] and crack resistance [2,26]. Therefore, many studies have attempted to incorporate rubber into concrete structures to improve their toughness and crack resistance. Eisa et al. [27] used waste rubber instead of fine aggregates of different weight percentages and studied the flexural behaviour of reinforced concrete beams under a four-point flexural test. The results showed that the toughness and ductility of reinforced concrete beams can be improved by replacing fine aggregates with 5% and 10% rubber. Mendis et al. [28] studied the failure modes of 12 rubber concrete beams under a two-point flexural load. The results showed that all beams with rubber exhibited typical failure modes of ordinary reinforced concrete beams, and the rubber increased the crack resistance of beams. Ismail and Hassan [29] studied the ultimate flexural strength and cracking characteristics of rubber-modified reinforced concrete beams. The results showed that rubber reduced the flexural strength of the beams but increased their ductility and cracking resistance. Guo and Zhu [30] added rubber to reinforced concrete beams and analysed the crack resistance of beams under static loads. The above-mentioned research shows that rubber can effectively improve the crack resistance of reinforced concrete.
In addition, PHC pipe piles bear the vertical load of the upper structure as well as the lateral pressure of the soil layer and horizontal load of the earthquake action [31,32,33,34]. The products of PHC pipe piles must be tested for their flexural properties before use because pipe piles are prone to flexural damage during earthquakes and construction. In the past decade, many scholars have developed new PHC pipe pile products and systematically analysed their flexural properties. For example, Akiyama et al. [35] improved the flexural resistance of PHC piles using high-strength materials. The results showed that the concrete-filling treatment improved the flexural resistance of the piles. Ren et al. [36] changed the reinforcement form of pipe piles to improve the flexural strength and control crack development in PHC pipe piles in service. Cao et al. [37] attempted to replace part of the reinforcement with steel strands and wrap PHC pipe piles with BFRP to load PHC pipe piles under a low-cycle load. The results indicated that the bearing capacity of PHC piles wrapped with BFRP was higher than that of other types of piles, and the ultimate flexural moment of PHC piles increased by increasing the reinforcement ratio. Wu et al. [38] developed pre-stressed PHC piles reinforced with glass-fibre-reinforced polymer bars and evaluated the influence of the pre-stressed reinforcement type and reinforcement ratio on the flexural resistance of new concrete pipe piles. It was found that PHC pipe piles reinforced with glass-fibre-reinforced polymer bars exhibited higher flexural resistance. Yang et al. [39] conducted flexural loading on four PHC pipe piles and studied the failure mode, ductility, and bearing capacity of the PHC pipe piles. The results showed that PHC failure was caused by the tensile fracture of pre-stressed steel bars, and the flexural bearing capacity of the pipe piles increased with an increase in the diameter and number of deformed steel bars. Therefore, previous bending resistance studies have primarily focused on traditional PHC pipe piles, while research on PHC pipe piles containing solid waste materials is relatively scarce. However, with the increase in social awareness of environmental protection and changes in the national requirements for the production and emission of pipe piles, it is necessary to study the flexural resistance of non-autoclaved concrete pipe piles.
In this study, non-autoclaved pre-stressed high-strength rubber-modified concrete pipe piles (NA-PHRC) are proposed, with four-point flexural tests conducted on the NA-PHRC pipe piles with a 0%, 5%, and 10% rubber content. The influence of different rubber contents on the cracking and ultimate moments of the NA-PHRC pipe piles is analysed, and the applicability of the existing theoretical design formula is evaluated. Standard tests are performed to determine the material properties of the constituent materials used in the beams, with all concrete material property tests performed on the same day of testing. The results of this study validate the feasibility of using recycled rubber in the production of PHC pipe piles. Additionally, non-autoclaved curing can further save energy and costs, which will promote the production and use of NA-PHRC pipe piles in environments that require high durability.
2. Experimental Methods
2.1. Specimen Material
The raw materials used for manufacturing the NA-PHRC pipe piles are listed in Table 1. Ordinary Portland cement with a strength class of P.O42.5R was used. The 3-day and 28-day compressive strength of the cement was 36.0 MPa and 82.2 MPa, respectively, and the 3-day and 28-day flexural strength of the cement was 6.3 MPa and 9.2 MPa, respectively. The fine aggregates used were natural sand with a maximum particle size and apparent density of 4.8 mm and 1552 kg/m3, respectively. The coarse aggregate used was granite gravel with a particle size and apparent density of 5–20 mm and 2650 kg/m3, respectively. The particle size and specific surface area of the silica powder were approximately 0.98 μm and 15 m2/g, respectively. The mixed water used was common tap water. To increase workability, a high performance polycarboxylic acid was used as a water reducer (manufactured by Jiangmen Qiangli Building Materials Technology Co., Ltd., Jiangmen, China), where the solid content of the water reducer was 40%. The rubber was manufactured from scrap tires with a particle size of 0.85 mm (20 mesh) and a bulk density of 539 kg/m3. A steel bar was used for the pre-stressed reinforcement in the pipe piles. The diameter of the pre-stressed reinforcement was 7.1 mm, the yield and ultimate strength were 1280 MPa and 1420 MPa, respectively, and the elongation after fracture was 7%.
Table 1.
Proportion of pipe pile (kg/m3).
2.2. Specimen Preparation
In this experiment, Ten A-type PHC pipe piles with a length of 8 m and diameter of 400 mm were prepared, including nine NA-PHRC pipe piles and one traditional PHC pipe pile. The NA-PHRC pipe piles had rubber additions of 0%, 5%, and 10%, named NA-PHRC0, NA-PHRC5, and NA-PHRC10, respectively, and three pipe piles of each type were used for the flexural tests. The traditional PHC pipe pile was used for comparison. The structural reinforcement of a pipe pile is shown in Figure 1. During the production of each proportioned pipe pile, concrete samples were reserved, and the concrete strength was tested.
Figure 1.
Reinforcement form of concrete pipe piles.
As shown in Figure 2, the production of the NA-PHRC pipe piles differed from that of other concrete members, and four steps were required in the production process. Firstly, the concrete, mineral additives, and water reducer were mixed into the steel mould together with the reinforcing cage. In this process, the concrete quality was sampled to ensure that the concrete strength met the production requirements. Secondly, tension was applied to the reinforcement in pipe piles, providing pre-stress for the concrete pipe piles and reducing cracks in the PHC pipe piles during operation. Third, the pipe piles were formed using centrifugation to improve the strength and compactness of concrete by layering the concrete of the pipe piles. In this experiment, the NA-PHRC pipe piles adopted the same centrifugal mechanism and were centrifuged at a high speed for 10 min at a speed of 100 r/min. Finally, the centrifuged PHC pipe piles were steam cured by placing the centrifuged end-pipe piles into the steam furnace using a crane. The NA-PHRC pipe piles were able to be used after 4.5 h of static shutdown at 55 °C and 2.5 h of curing at 85 °C.
Figure 2.
Production process of non-autoclaved PHC pipe piles.
2.3. Concrete Property Tests
According to the requirements of the standard [40], the concrete material must be sampled for its compressive strength to meet the qualified product standards. The design grade of the concrete for the NA-PHRC pipe piles was C80. Three 150 × 150 × 150 mm standard cubes were poured under each working condition and sent to the non-autoclaved pool under the same conditions as the pipe piles. A 5000 kN pressure testing machine was used to conduct an axial compression test on the cube, and three compressive strengths obtained from the test were tested. If the difference between the maximum and minimum values and the intermediate value did not exceed 15% of the intermediate value, the average of the three measured values was taken as the compressive strength of the concrete material. If the difference was greater than 15%, the experimental data of the material properties were invalid. The test results are listed in Figure 3 and Table 2. The strength of the NA-PHRC pipe piles satisfied the production standards and the test data were valid.
Figure 3.
Compressive strength of concrete specimens.
Table 2.
Compressive strength of concrete specimens (MPa).
2.4. Flexural Test Setup
The experiment was performed using force loading, and a simple-supported beam symmetrical loading device was used. The flexural test device is shown in Figure 4. Strain gauges of 100 mm were attached to the surface of the pipe piles. Five pieces were affixed along the circumference of the mid-span section, and four pieces were affixed at 1/2 and 1/4 of the mid-span section. Five displacement meters with a measuring range of 100 mm were prepared for the experiment: two at the support, two at 1/2 of the span, and one at the middle of the span. The length of each pipe pile was 8.0 m, the distance between the two supports was 4.8 m, and a span of 1.0 m was a pure bend. Force loading was applied by a jack, and a pressure sensor was used to detect the pressure in the experiment. Cracks in the flexural test of the pipe piles were monitored using a crack tester, and their development time and width were recorded.
Figure 4.
Schematic diagram of flexural test of concrete pipe piles.
The test procedure was as follows: (1) The theoretical crack resistance flexural moment and ultimate flexural moment were calculated according to the theoretical formula; (2) the pipe piles were loaded within 20% of the theoretical crack-resistant flexural moment, starting from 0% to 80% of the crack-resistant flexural moment for a duration of 3 min for each load level; (3) the pipe piles were loaded from 10% of the crack-resistant flexural moment to 100% of the crack-resistant flexural moment for a duration of 3 min for each load level.
The presence of cracks was determined during each loading stage. If cracks were present, the crack width was measured and recorded. After cracks occurred, loading was continued according to the range of 5% of the ultimate flexural moment until the test piles were destroyed, and the crack width under each load level was determined and recorded. The test stopping conditions were as follows: 1.5 mm cracks appeared, tensile reinforcement was broken, or concrete was crushed in the compressed area.
3. Results and Discussions
3.1. Load–Deflection Relationship
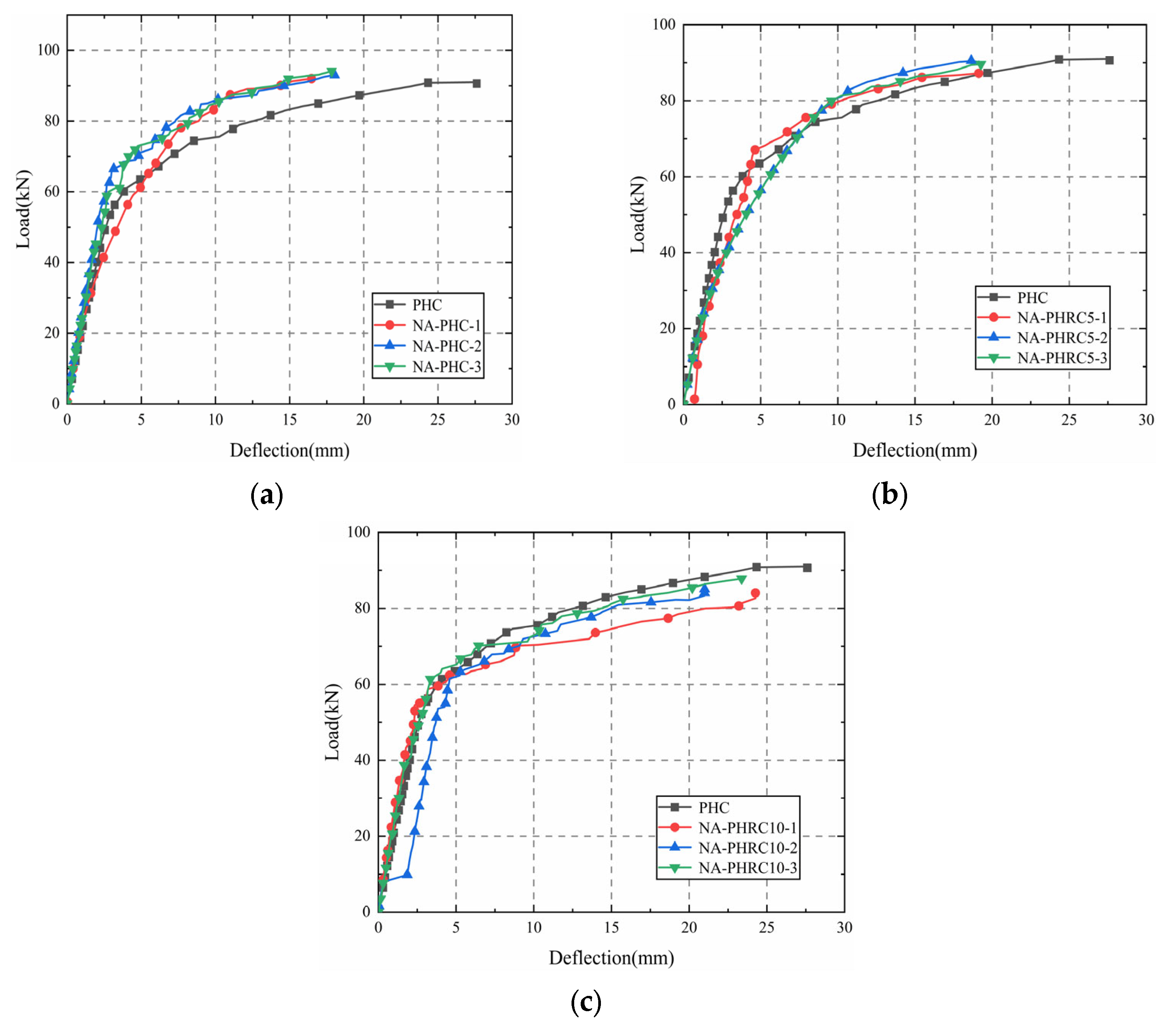
According to the load mid-span deflection curve and experimental phenomena, the flexural loading process of the pipe piles can be roughly divided into three stages. The test load–displacement curves are shown in Figure 5 and Figure 6.
Figure 5.
Force–displacement curve: (a) NA-PHRC0; (b) NA-PHRC5; (c) NA-PHRC10.
Figure 6.
PHC pipe pile deformation curve: (a) PHC; (b) NA-PHRC0; (c) NA-PHRC5; (d) NA-PHRC10.
The first stage was the initial stage of loading in the flexural test. The pile specimens were in the elastic stage, and the load was linearly related to the mid-span deflection. The flexural rigidity of the NA-PHRC pipe piles with different rubber contents was very similar. When cracks occurred at the bottom of the pipe piles, the concrete near the cracks withdrew from the work and the flexural rigidity of the pipe piles decreased to some extent. The cracking flexural moment of the NA-PHRC pipe piles was greater than that of the PHC pipe piles. This is because the rubber reduced the brittleness of the concrete and effectively inhibited crack expansion. When the loading of the concrete pipe piles failed, the pre-stressed steel bar on the tension side of the pile body entered the strengthening stage, there was a clear fracture sound inside the pipe piles, and cracks developed rapidly. There was no evident damage to the concrete in the compressed area. The failure mode of the NA-PHRC pipe piles in the experiment was brittle failure. With an increase in rubber content, the ultimate flexural strength of the NA-PHRC pipe piles decreased because of the low strength of the rubber. The addition of fine aggregates instead of concrete reduced the strength of concrete to a certain extent. However, the ultimate deflection of the NA-PHRC pipe piles increased because the rubber had better deformability and filled the gaps between the concrete aggregates. This indicates that rubber can improve the ductility and deformation capacity of PHC pipe piles.
The crack-resistant flexural moment of the NA-PHRC pipe piles was 23.8% higher than that of the PHC pipe piles, and the ultimate flexural moment was 1.13%. This is because the water–binder ratio was reduced and mineral admixture silica fume was added during the production of the NA-PHRC pipe piles, which produced a volcanic ash effect under the action of high temperature, accelerating the hydration rate of cement and improving the early strength of the concrete pipe piles. Moreover, the generated C-S-H gel filled the voids in the concrete and improved the compactness of the concrete structure. Therefore, the flexural strength of the NA-PHRC pipe piles was higher than that of traditional PHC pipe piles. The cracking flexural moment and ultimate flexural moment of the NA-PHRC pipe piles were reduced to some extent by the addition of rubber. When the rubber content was 5%, the crack-resistance flexural moment of the NA-PHRC pipe piles decreased by 3.85%, and the ultimate flexural moment decreased by 3.75%. When the rubber content was 10%, the crack resistance flexural moment of the NA-PHRC pipe piles decreased by 7.69%, and the ultimate flexural moment decreased by 7.28%.
Based on the analysis of the ultimate deflection of the NA-PHRC pipe piles, the deformation capacity of the NA-PHRC pipe piles improved when rubber was added. Compared with the NA-PHRC pipe piles without rubber, the ultimate mid-span deflection under the 5% and 10% rubber content condition was increased by 23.99% and 34.06%, respectively. This shows that the increase in rubber content improves the ductility of the NA-PHRC pipe piles because the rubber addition improves the tensile compression strength ratio of the concrete, and the low stiffness of the rubber helps to improve the energy consumption capacity of the concrete pipe piles.
The cracking flexural moment and ultimate flexural moment of NA-PHRC pipe piles are shown in Table 3. From the results obtained, it can be said that the incorporation of rubber can improve the crack resistance of NA-PHRC pipe piles. This is because the aggregates of concrete pipe piles are brittle materials and rubber can be used as a flexible filler material to generate tensile stress when pipe piles crack. Conversely, rubber can reduce the stress concentration at the tip of the concrete, which can slow crack development and improve the crack flexural moment of NA-PHRC pipe piles. However, rubber particles are hydrophobic, and the strength of rubber is much lower than that of other aggregates. Therefore, by adding rubber instead of fine aggregate, the interfacial transition zone of the NA-PHRC pipe pile material is weakened and the concrete strength is reduced, which reduces the ultimate flexural moment of NA-PHRC pipe piles.
Table 3.
Ultimate flexural capacities and cracking moments of the piles.
3.2. Load–Strain Relationship
The arrangement of the concrete strain gauges on the pipe piles of the concrete strain distribution pipe pile specimens is shown in Figure 4. The strain gauge was mainly used to monitor the development of cracks in the middle span of the pipe piles and the strain distribution in the height direction of the cross-section. It can be observed from Figure 7 that the strain value of concrete before cracking is small and increases linearly with an increase in the load level. When cracks began to appear, the concrete strain on the tension side of the pile body developed faster. The strain gauges in the tension zone were destroyed because they were located at the cracks. The strain gauge located on the neutral axis across the mid-section initially approached zero and then became tensioned, and the tensile stress continuously increased. The value of the concrete strain gauge in the compressed area of the pile body continued to increase and was considered at its maximum when the ultimate load was reached.

Figure 7.
Force–strain curve: (a) PHC; (b) NA-PHRC0; (c) NA-PHRC5; (d) NA-PHRC10.
After the addition of rubber, the strain gauge readings in the tensile zone of the pipe piles did not show significant changes. When the load reached the cracking load, the tensile strain ceased to increase. This was attributed to the development of cracks on both sides of the strain gauge, which compromised the accuracy of the readings. The strain in the compression zone was largely unaffected by the rubber content, with the primary influence being the production and curing methods. In the experiment, PHC piles cured without autoclaving exhibited no damage to the concrete in the compression zone at failure. This suggests that although the increased rubber content reduced the concrete strength, it still met the strength requirements under non-autoclaved curing. The strain gauge positioned at the neutral axis of the pipe pile’s mid-span initially recorded near-zero values. As the neutral axis moved upwards, the strain gauge began to experience tensile stress, which progressively increased with the applied load. The strain gauge readings in the compression zone of the concrete pile increased continuously from loading to failure.
The strain distribution of the concrete in the mid-span section of the pipe pile specimens is shown in Figure 8, which shows the curves of strain versus section height at different load levels. It can be observed from Figure 8 that the total strain value is relatively small before the crack appears. The overall strain of the concrete was bounded by the midpoint of the height of the cross-section of the pipe pile specimen; the upper part was under pressure and the lower part was under tension. The strain at the midpoint of the pipe piles was close to zero, and the curve was approximately an inclined straight line, which conformed to the assumption of a flat section. As the load level increased, the neutral shaft increased.
Figure 8.
Distribution of strain in PHC pipe pile span: (a) PHC; (b) NA-PHRC0; (c) NA-PHRC5; (d) NA-PHRC10.
In general, the strain of pipe pile concrete under non-autoclaved conditions is smaller than that of traditional pipe piles. From the perspective of the NA-PHRC pipe pile production process, this is because the lamellar crystals of the non-autoclaved cement hydration products are small and ordered, and there are fewer pores in the concrete structure.
3.3. Failure Pattern and Cracking Analysis
The arrangement of the crack development and failure pattern of the pipe pile specimens is shown in Table 4 and Figure 9. The crack development of the traditional PHC pipe pile specimens, shown in Figure 9, is as follows. At the beginning of loading, the displacement at each measuring point of the specimen increased slowly with the load, and there was no obvious phenomenon on the surface of the pile body. When the load was increased to 53.79 kN, the first crack appeared in the tension zone at the bottom of the span, with a crack width of about 0.01 mm. Subsequently, with the increase in load level, the original cracks continued to extend upwards along the pile body. Simultaneously, the crack width and deflection gradually increased with the load. When the load increased to 92.15 kN, the crack width of the concrete in the tension zone of the pipe piles reached 1.5 mm, the specimens were destroyed, and the loading was stopped. During failure, the cracks were approximately distributed between −1000 mm and 1000 mm, and there were eight main cracks with an average spacing of approximately 200 mm.
Table 4.
Maximum deflection and failure mode of the pipe piles.
Figure 9.
PHC pipe pile crack distribution (unit: mm): (a) PHC; (b) NA-PHRC0; (c) NA-PHRC5; (d) NA-PHRC10.
The crack development of the NA-PHRC0 pipe pile specimens is as follows. At the beginning of loading, the displacement at each measuring point of the specimen increased slowly with the load, and there was no obvious phenomenon on the surface of the pile body. When the load was 62.31 kN, the first crack appeared in the tension zone across the middle and bottom of the specimen, and the crack width was approximately 0.01 mm. Then, with an increase in the load level, the original crack continued to extend upward along the pile body and bifurcated. When the load increased to 96.42 kN, the width of the concrete crack in the tension zone of the pipe piles reached 1.5 mm, the maximum deflection reached 18 mm, the specimen was destroyed, and the loading was stopped. During failure, the cracks were approximately distributed between −1500 mm and 1500 mm, and there were four main cracks with an average spacing of 960 mm.
The displacement of each measuring point of the NA-PHRC5-1 pile sample slowly increases with the increase of load at the beginning of the load, and there is no obvious phenomenon on the surface of the pile. When the load increased to 65.15 kN, the first crack appeared in the tensile zone at the bottom of the pipe pile specimen span, with a crack width of approximately 0.05 mm. Then, as the load level increases, the original cracks continue to extend upwards and branch along the pipe pile. The main crack is located at the bottom of the span, and new cracks begin to appear along both sides of the main crack, extending towards the loading point. When the load increases to 89.15 kN, the maximum deflection of the mid span section of the pipe pile reaches 19.13 mm. At this point, the sample undergoes damage and stops loading. The crack development of the NA-PHRC10 pipe pile specimens is as follows. When the load was loaded to 68 kN, two cracks appeared in the tension zone at the bottom of the loading point, with crack widths of 0.06 mm and 0.08 mm. Then, with an increase in the load level, the original cracks continued to extend upward along the pile body and bifurcated. No other cracks were observed during the process. When the load increased to 87.89 kN, the reinforcement in the tension area of the pipe piles was destroyed, the deflection of the pipe piles in the mid-span reached 24.36 mm, the specimen was destroyed, and the loading was stopped. The cracks were roughly distributed between −500 mm and 500 mm during failure, and there were two main cracks with an average spacing of 960 mm.
During the experiment, all NA-PHRC pipe piles exhibited typical flexural failure modes of the members, and flexural moment cracks mainly occurred in pure bends. When the cracking flexural moment was reached, cracks first occurred in the tension zone of the concrete pipe piles and gradually extended to the top of the pipe piles as the load increased. From the position of the cracks, the main cracks appeared in the span of the concrete pipe piles, and the remaining cracks gradually extended from both sides of the main cracks to the supports. The overall distribution of the cracks was symmetrical. The crack opening of the NA-PHRC pipe piles increased when the crack reached the peak load. This is because the addition of rubber to concrete increases the energy absorption capacity of the concrete, allowing it to absorb the energy under loading through the expansion of cracks.
In general, the number of cracks in the NA-PHRC pipe piles is smaller than that in traditional PHC pipe piles, and with an increase in the rubber content, the number of cracks decreases, and the average spacing of cracks increases. This is due to the more thorough hydration of concrete pipe pile cement under non-autoclaved conditions, the more uniform distribution of hydration products produced in the concrete, and the more compact concrete structure. Conversely, when loaded, the rubber deforms accordingly, inhibiting the development of cracks adjacent to the cement base and providing a certain cushioning capacity.
During the test, all the non-autoclaved PHC pipe piles exhibited typical component bending failure modes, with cracks mainly occurring in the pure bending section. When the crack-resistant bending moment is reached, cracks first appear in the tensile zone of the non-autoclaved PHC pile, and gradually extend to the top of the pile as the load increases. The main crack appears in the middle section of the PHC pipe pile span, and other cracks gradually extend from both sides of the main crack to the support. The overall distribution of cracks is symmetrical, and when the load reaches the peak stress, the crack development of PHC pipe piles reaches its maximum. The addition of rubber significantly increases the branching of cracks, as it increases the energy absorption capacity of concrete, allowing it to absorb energy under load through the development of cracks. Overall, the number of cracks in non-autoclaved PHC pipe piles is smaller than that in traditional autoclaved PHC pipe piles. This is because PHC pipe pile cement undergoes more thorough hydration under non autoclaved curing conditions, resulting in a more uniform distribution of hydration products in concrete and a more compact concrete structure. After adding rubber, the deformation of the rubber during loading suppresses the development of cracks near the cementitious base and provides a certain buffering capacity.
4. Theoretical Calculation and Analysis
Traditional PHC pipe piles with a concrete strength grade of C80 are widely used in engineering. However, owing to changes in the curing method and material properties of the pipe piles, the existing theoretical results are no longer applicable to this new type of concrete pipe pile.
After the addition of rubber, the cracking moment and ultimate moment of the NA-PHRC pipe piles decrease. Combined with the flexural resistance experiment of the NA-PHRC pipe piles, the existing theoretical formula needs to be modified to analyse the impact of rubber on PHC pipe piles. Therefore, theoretical research on the flexural resistance is required to ensure the quality of pipe pile products and promote the popularisation and application of NA-PHRC pipe piles. In this study, a non-autoclaving method was used, different volumes of rubber were added to the concrete, and the cracking and ultimate moments, important indices for measuring the flexural strength of PHC pipe piles were reported.
The results of the comparison between the theoretical calculation and experimental results of the cracking moment of traditional pipe piles are listed in Table 5. The results show that the theoretical calculation value was conservative. After adding rubber, the cracking moment of the NA-PHRC pipe piles reduced to varying degrees. This is because rubber has lower strength, which will reduce the tensile strength of concrete. Overall, adding rubber will reduce the cracking flexural moment of the pipe pile, but the rubber content within 10% has little effect. Therefore, the cracking moment of the NA-PHRC pipe piles was lower than that of traditional PHC pipe piles. In Equations (1)–(3), parameter αc was introduced to consider the effect of rubber on the cracking moment, and the experimental value of the cracking moment of the NA-PHRC pipe piles was linearly fitted:
where Mcr,k represents the standard value of the cracking flexural moment of the pile body, σce represents the effective pre-compressive stress of concrete, γ represents the comprehensive coefficient considering section resistance to moment plasticity and the centrifugal process, ftk represents standard values for the tensile strength of concrete, Apy represents the cross-sectional area of the pre-stressed reinforcement, rp represents the circumferential radius of the centre of gravity of a longitudinal pre-stressed steel bar, W0 represents the section conversion resistance torque, I0 represents the inertia moment of area, D and d represent the outer and inner diameters of circular section of pipe piles, Ec represents the elastic modulus of concrete, Es represents the elastic modulus of the steel bar, αc represents the influence coefficient of rubber content on the anti-cracking moment of non-autoclaved concrete pipe piles, and x represents the rubber content.
Table 5.
Comparison of theoretical and experimental cracking moment values.
The results of the theoretical calculation and the experiment on the ultimate flexural moment of the NA-PHRC pipe piles are listed in Table 6. After the addition of rubber, the ultimate flexural moment of the NA-PHRC pipe piles was reduced to varying degrees. However, the ultimate flexural moment was higher than the theoretical value. This is the same as the test results for other rubber concrete materials, where the compressive strength of concrete is reduced, and the deformation capacity is improved after adding rubber. This is because the strength of the rubber material is low and the interface between the rubber material and mortar is weak after being combined with concrete; therefore, the ultimate flexural moment of NA-PHRC pipe piles is lower than that of traditional PHC pipe piles. In Equations (4)–(7) of the ultimate flexural moment, the negative effect of rubber on the ultimate flexural moment is considered, and the parameter is introduced.
Table 6.
Comparison of theoretical and experimental ultimate moment values.
Combined with the mechanical properties of the concrete and reinforcement materials, the cracking and ultimate moments of NA-PHRC pipe piles with different rubber contents were calculated by substituting Equations (1) and (4), and compared with the experimental results. Based on the existing experimental results, the formula for the crack resistance moment and ultimate moment of traditional PHC pipe piles was modified, as shown in Figure 10. The results show that the modified formula has good applicability and can provide a theoretical reference for practical engineering applications of NA-PHRC pipe piles.
Figure 10.
PHC pipe pile flexural moment fitting results.
5. Conclusions
In this study, the flexural behaviours of nine NA-PHRC pipe piles and one traditional PHC contrast pipe pile were studied, and the following conclusions were obtained.
(1) Traditional PHC pipe piles and NA-PHRC pipe piles were destroyed by pulling off the pre-stressed steel bar on the tension side of the pile body. There was no obvious crushing of the concrete in the compression zone, and failure without warning was the result of brittle failure.
(2) Compared with traditional PHC pipe piles, NA-PHRC pipe piles have a higher flexural strength but lower deformation capacity. Increasing the rubber content can improve the deformation capacity of NA-PHRC pipe piles, but will reduce the cracking flexural moment and ultimate flexural moment of the pipe piles.
(3) The failure modes show that when the NA-PHRC pipe piles were damaged, the number of vertical cracks was relatively small, but more transverse bifurcations developed at the crack tips to absorb more energy.
(4) The experimental results show that the mid-span strain of the cross-section of all pipe pile specimens conforms to the plane section assumption. The theoretical calculation results considering the influence parameters of rubber were in good agreement with the experimental results of the cracking and ultimate moments.
Author Contributions
Conceptualization, J.W. and D.C.; methodology, F.Y. and G.D.; software, D.C.; validation, J.L., G.X. and H.C.; formal analysis, X.L. (Xiaohui Li); investigation, X.L. (Xu Liang); resources, X.L. (Xu Liang); data curation, G.X. and H.C.; writing—original draft preparation, D.C.; writing—review and editing, X.L. (Xiaohui Li); visualization, J.W.; supervision, F.Y.; project administration, F.L.; funding acquisition, F.L., J.L. and G.D. All authors have read and agreed to the published version of the manuscript.
Funding
This research was funded by the National Natural Science Foundation of China under grant number 12072080, the Technology Plan Project of Guangzhou Municipal Construction Group Co., Ltd. under grant number [2024]-KJ072 and the Industry University Research Cooperation Foundation of Guangdong University of Technology under grant number 23HK0648.
Data Availability Statement
Data are contained within the article.
Conflicts of Interest
Authors Jia Liu, Gang Xu and Haofan Chen are employed by the Guangzhou Construction Engineering Co., Ltd., Guangzhou Municipal Construction Group Co., Ltd. and Guangzhou Research Institute of Construction Industry Co., Ltd. Authors Xu Liang and Guangcheng Ding are employed by the Guangzhou Xie’an Construction Engineering Co., Ltd. The remaining authors declare that the research was conducted in the absence of any commercial or financial relationships that could be construed as a potential conflict of interest.
References
- Feng, W.; Wang, Y.; Sun, J.; Tang, Y.; Wu, D.; Jiang, Z.; Wang, J.; Wang, X. Prediction of thermo-mechanical properties of rubber-modified recycled aggregate concrete. Constr. Build. Mater. 2022, 318, 125970. [Google Scholar] [CrossRef]
- Tang, Y.; Feng, W.; Chen, Z.; Nong, Y.; Guan, S.; Sun, J. Fracture behavior of a sustainable material: Recycled concrete with waste crumb rubber subjected to elevated temperatures. J. Clean. Prod. 2021, 318, 128553. [Google Scholar] [CrossRef]
- Xiong, Z.; Wei, W.; He, S.; Liu, F.; Luo, H.; Li, L. Dynamic bond behaviour of fibre-wrapped basalt fibre-reinforced polymer bars embedded in sea sand and recycled aggregate concrete under high-strain rate pull-out tests. Constr. Build. Mater. 2021, 276, 122195. [Google Scholar] [CrossRef]
- Fang, S.; Li, L.; Luo, Z.; Fang, Z.; Huang, D.; Liu, F.; Wang, H.; Xiong, Z. Novel FRP interlocking multi-spiral reinforced-seawater sea-sand concrete square columns with longitudinal hybrid FRP–steel bars: Monotonic and cyclic axial compressive behaviours. Compos. Struct. 2023, 305, 116487. [Google Scholar] [CrossRef]
- Guo, X.; Xiong, Z.; Luo, Y.; Qiu, L.; Liu, J. Experimental investigation on the semi-rigid behaviour of aluminium alloy gusset joints. Thin-Walled Struct. 2015, 87, 30–40. [Google Scholar] [CrossRef]
- Mai, G.; Li, L.; Chen, X.; Xiong, Z.; Liang, J.; Zhou, X.; Qiu, Y.; Qiao, S.; Liang, D.; Liu, F. Fatigue performance of basalt fibre-reinforced polymer bar-reinforced sea sand concrete slabs. J. Mater. Res. Technol. 2023, 22, 706–727. [Google Scholar] [CrossRef]
- Fang, Z.; Hu, L.; Jiang, H.; Fang, S.; Zhao, G.; Ma, Y. Shear performance of high-strength friction-grip bolted shear connector in prefabricated steel–UHPC composite beams: Finite element modelling and parametric study. Case Stud. Constr. Mater. 2023, 18, E01860. [Google Scholar] [CrossRef]
- Sun, J.; Lin, S.; Zhang, G.; Sun, Y.; Zhang, J.; Chen, C.; Morsy, A.M.; Wang, X. The effect of graphite and slag on electrical and mechanical properties of electrically conductive cementitious composites. Constr. Build. Mater. 2021, 281, 122606. [Google Scholar] [CrossRef]
- Sun, J.; Aslani, F.; Wei, J.; Wang, X. Electromagnetic absorption of copper fiber oriented composite using 3D printing. Constr. Build. Mater. 2021, 300, 124026. [Google Scholar] [CrossRef]
- Liu, Z.; Bu, L.; Wang, Z.; Hu, G. Durability and microstructure of steam cured and autoclaved PHC pipe piles. Constr. Build. Mater. 2019, 209, 679–689. [Google Scholar] [CrossRef]
- Yazdani, N.; Asce, M.F.F.; Manzur, T. Effect of steam curing on concrete piles with silica fume. Int. J. Concr. Struct. Mater. 2010, 4, 9–15. [Google Scholar] [CrossRef]
- Liu, F.; Feng, W.; Xiong, Z.; Li, L.; Yang, Y.; Lin, H.; Shen, Y. Impact performance of new prestressed high-performance concrete pipe piles manufactured with an environmentally friendly technique. J. Clean. Prod. 2019, 231, 683–697. [Google Scholar] [CrossRef]
- Prasad, M.G.; Golla, S.Y.; Prabhanjan, N.; Krishna, A.S.; Alok, G. Mechanical properties of rubberized concrete using truck scrap rubber. Mater. Today Proc. 2021, 39, 849–854. [Google Scholar] [CrossRef]
- Li, L.; Tu, G.; Lan, C.; Liu, F. Mechanical characterization of waste-rubber-modified recycled-aggregate concrete. J. Clean. Prod. 2016, 124, 325–338. [Google Scholar] [CrossRef]
- Liu, F.; Chen, G.; Li, L.; Guo, Y. Study of impact performance of rubber reinforced concrete. Constr. Build. Mater. 2012, 36, 604–616. [Google Scholar] [CrossRef]
- Thomas, B.S.; Gupta, R.C. Properties of high strength concrete containing scrap tire rubber. J. Clean. Prod. 2016, 113, 86–92. [Google Scholar] [CrossRef]
- Aslani, F. Mechanical properties of waste tire rubber concrete. J. Mater. Civ. Eng. 2016, 28, 04015152. [Google Scholar] [CrossRef]
- Feng, W.; Liu, F.; Yang, F.; Li, L.; Jing, L. Experimental study on dynamic split tensile properties of rubber concrete. Constr. Build. Mater. 2018, 165, 675–687. [Google Scholar] [CrossRef]
- Khaloo, A.R.; Dehestani, M.; Rahmatabadi, P. Mechanical properties of concrete containing a high volume of tire–rubber particles. Waste Manag. 2008, 28, 2472–2482. [Google Scholar] [CrossRef] [PubMed]
- Abdelmonem, A.; El-Feky, M.S.; Nasr, E.-S.A.R.; Kohail, M. Performance of high strength concrete containing recycled rubber. Constr. Build. Mater. 2019, 227, 116660. [Google Scholar] [CrossRef]
- Feng, W.; Liu, F.; Yang, F.; Li, L.; Jing, L.; Chen, B.; Yuan, B. Experimental study on the effect of strain rates on the dynamic flexural properties of rubber concrete. Constr. Build. Mater. 2019, 224, 408–419. [Google Scholar] [CrossRef]
- Liu, F.; Zheng, W.; Li, L.; Feng, W.; Ning, G. Mechanical and fatigue performance of rubber concrete. Constr. Build. Mater. 2013, 47, 711–719. [Google Scholar] [CrossRef]
- Feng, W.; Tang, Y.; Yang, Y.; Cheng, Y.; Qiu, J.; Zhang, H.; Isleem, H.F.; Tayeh, B.A.; Namdar, A. Mechanical behavior and constitutive model of sustainable concrete: Seawater and sea-sand recycled aggregate concrete. Constr. Build. Mater. 2023, 364, 130010. [Google Scholar] [CrossRef]
- Feng, W.; Tang, Y.; He, W.; Wei, W.; Yang, Y. Mode I dynamic fracture toughness of rubberised concrete using a drop hammer device and split Hopkinson pressure bar. J. Build. Eng. 2022, 48, 103995. [Google Scholar] [CrossRef]
- Tang, Y.; Huang, Z.; Chen, Z.; Chen, M.; Zhou, H.; Zhang, H.; Sun, J. Novel visual crack width measurement based on backbone double-scale features for improved detection automation. Eng. Struct. 2023, 274, 115158. [Google Scholar] [CrossRef]
- Fattuhi, N.I.; Clark, L.A. Cement-based materials containing shredded scrap truck tyre rubber. Constr. Build. Mater. 1996, 10, 229–236. [Google Scholar] [CrossRef]
- Eisa, A.S.; Elshazli, M.T.; Nawar, M.T. Experimental investigation on the effect of using crumb rubber and steel fibers on the structural behavior of reinforced concrete beams. Constr. Build. Mater. 2020, 252, 119078. [Google Scholar] [CrossRef]
- Mendis, A.S.M.; Al-Deen, S.; Ashraf, M. Effect of rubber particles on the flexural behaviour of reinforced crumbed rubber concrete beams. Constr. Build. Mater. 2017, 154, 644–657. [Google Scholar] [CrossRef]
- Ismail, M.K.; Hassan, A.A.A. Ductility and cracking behavior of reinforced self-consolidating rubberized concrete beams. J. Mater. Civ. Eng. 2017, 29, 04016174. [Google Scholar] [CrossRef]
- Guo, H.; Zhu, H. Study on the Structural Properties of Steel Reinforced CRC Beam-Cracking Resistance. Adv. Mater. Res. 2011, 374–377, 775–780. [Google Scholar] [CrossRef]
- Huang, F.; Qiao, H.; Zhuang, Y.; Fu, C. Experimental Study on the Dynamic Response of PHC Pipe-Piles in Liquefiable Soil. J. Test. Eval. 2017, 45, 230–241. [Google Scholar] [CrossRef]
- Lu, Z.T.; Wang, Z.L.; Liu, D.J. A study on the application of the parallel seismic method in pile testing. Soil Dyn. Earthq. Eng. 2013, 55, 255–262. [Google Scholar] [CrossRef]
- Ma, S.; Liu, W.; Hu, R. Analysis of Influence of Sand Parameters on Seismic Performance of PHC Piles. IOP Conf. Ser. Earth Environ. Sci. 2019, 233, 032042. [Google Scholar] [CrossRef]
- Zhang, X.; Niu, S.; Yan, J.-B.; Zhang, S. Seismic behaviour of prestressed high-strength concrete piles under combined axial compression and cyclic horizontal loads. Adv. Struct. Eng. 2019, 22, 1089–1105. [Google Scholar] [CrossRef]
- Akiyama, M.; Abe, S.; Aoki, N.; Suzuki, M. Flexural test of precast high-strength reinforced concrete pile prestressed with unbonded bars arranged at the center of the cross-section. Eng. Struct. 2012, 34, 259–270. [Google Scholar] [CrossRef]
- Ren, J.; Xu, Q.; Chen, G.; Liu, C.; Gong, S.; Lu, Y. Flexural performance of pretensioned centrifugal spun concrete piles with combined steel strands and reinforcing bars. Structures 2021, 34, 4467–4485. [Google Scholar] [CrossRef]
- Cao, X.; Dai, G.; Gong, W.; Zhu, M.; Tang, J. Experimental study on the seismic behavior of new PHC piles. Arab. J. Geosci. 2020, 13, 778. [Google Scholar] [CrossRef]
- Wu, Y.; Zhao, C.; Zhao, C.; Wang, Y.; Fei, Y. Effect of grout conditions on the mechanical behaviors of unloading sand-concrete interface for reinforcing bored pile foundation. Constr. Build. Mater. 2020, 243, 118218. [Google Scholar] [CrossRef]
- Yang, Z.; Li, G.; Wang, W.; Lv, Y. Study on the Flexural Performance of Prestressed High Strength Concrete Pile. KSCE J. Civ. Eng. 2018, 22, 4073–4082. [Google Scholar] [CrossRef]
- GB/T 13476-2009; Pretensioned Spun Concrete Piles. General Administration of Quality Supervision, Inspection and Quarantine: Beijing, China, 2009.
Disclaimer/Publisher’s Note: The statements, opinions and data contained in all publications are solely those of the individual author(s) and contributor(s) and not of MDPI and/or the editor(s). MDPI and/or the editor(s) disclaim responsibility for any injury to people or property resulting from any ideas, methods, instructions or products referred to in the content. |
© 2024 by the authors. Licensee MDPI, Basel, Switzerland. This article is an open access article distributed under the terms and conditions of the Creative Commons Attribution (CC BY) license (https://creativecommons.org/licenses/by/4.0/).