Next Article in Journal
An Improved Gaussian Mixture Model-Based Data Normalization Method for Removing Environmental Effects on Damage Detection of Structures
Previous Article in Journal
Investigating the Mechanical Properties and Water Permeability of Recycled Pervious Concrete Using Three Typical Gradation Schemes
 
 
Due to scheduled maintenance work on our servers, there may be short service disruptions on this website between 11:00 and 12:00 CEST on March 28th.
Font Type:
Arial Georgia Verdana
Font Size:
Aa Aa Aa
Line Spacing:
Column Width:
Background:
Article

Multi-Objective Optimization Design of PCS Box Girder Bridges with Small and Medium Spans Using Genetic Algorithms

1
Key Laboratory of Concrete and Prestressed Concrete Structures of Ministry of Education, School of Civil Engineering, Southeast University, Nanjing 211189, China
2
National Key Laboratory of Safety, Durability and Healthy Operation of Long Span Bridges, Southeast University, Nanjing 211189, China
3
Bridge Engineering Research Center of Southeast University, Southeast University, Nanjing 211189, China
4
Faculty of Civil Engineering and Mechanics, Jiangsu University, Zhenjiang 212013, China
*
Author to whom correspondence should be addressed.
Buildings 2025, 15(3), 361; https://doi.org/10.3390/buildings15030361
Submission received: 29 December 2024 / Revised: 18 January 2025 / Accepted: 22 January 2025 / Published: 24 January 2025
(This article belongs to the Section Construction Management, and Computers & Digitization)

Abstract

With the development of algorithms for autonomous decision-making in the field of structural engineering, the design of precast concrete segment (PCS) box girder bridges faces new challenges. This paper proposes using a multi-objective optimization method based on genetic algorithms for the rapid design of PCS box girder bridges with small and medium spans. By considering 20 design parameters such as the physical dimensions of the box girder cross-section, material properties, and prestressing parameters, the paper formulates and quantifies three objective functions: cost, safety, and structural performance. The multi-objective optimization was conducted using four optimization algorithms (NSGA-II, NSGA-III, GDE3, and PSO). An optimization evaluation index ( φ [ F ( x ) ] ) was established and weights were assigned to different optimization objectives. A specific design case based on the general diagram of a 3 × 25 m-long continuous PCS box girder bridge was carried out. The results indicate that genetic algorithms performed exceptionally well on this problem, with the NSGA-III algorithm achieving the best φ [ F ( x ) ] value of 0.2789 among all algorithms. A performance analysis was conducted on various optimization models using box plots and sensitivity studies. Scatter plots and surface plots of the Pareto front of the optimized solutions were generated, and corresponding cross-sectional design drawings were created based on the two proposed solutions. Compared with the general graph, the design cases provided by the NSGA-III algorithm model have a change rate of 8.03%, −0.29%, and 75.49% in the three optimization objectives, respectively, indicating a significant improvement effect. The research content of this paper provides a reasonable direction for future studies on intelligent bridge design methodologies.

1. Introduction

Traditional bridge design methods are mainly based on experience and manual calculations [1,2]. A typical process of bridge design can be summarized as follows. Firstly, analyze the functional requirements of the bridge, including traffic volume, load type, and environmental conditions, and determine the location of the bridge based on geological exploration conditions. Then, based on the requirements and site conditions, select the types and layouts of bridges such as beam bridges, arch bridges, cable stayed bridges, and suspension bridges for preliminary scheme design and complete structural analyses, such as static analysis, dynamic analysis, and material selection. Finally, complete a detailed design, including the completion of structural details such as steel bar layout and prestressed steel bars, drawing construction drawings, and writing construction instructions and technical specifications.
With the rapid development of modern technology, the requirements for bridge design are becoming increasingly high, exposing several shortcomings of traditional bridge design methods. For example, (1) relying heavily on the designer’s personal experience may lead to poor consistency and reproducibility of design results, and relevant knowledge and experience may be difficult to effectively convey. (2) For more complex bridge structures, manual calculations are time-consuming and prone to errors, especially during multiple optimization iterations, resulting in extremely low efficiency. (3) Traditional design methods often struggle to optimize the use of structural materials, which can lead to overly conservative designs and unnecessary costs. Considering these drawbacks, we are considering adopting Multi-Objective Optimization (MOO) methods to assist bridge design work, aiming to achieve a universal, fast, and accurate design process. Introducing multi-objective optimization methods for mathematical design can combine advanced algorithms and computing tools to comprehensively consider multiple objectives such as cost, performance, safety, and environmental impact, achieving a comprehensive optimization design [3]. This improves the comprehensiveness and innovation of the design, effectively reduces costs and risks, and enhances decision-making efficiency and flexibility. Through MOO, bridge design can better adapt to the complex requirements of modern engineering projects, ensuring higher quality design solutions and more sustainable development directions.
MOO can help designers find the optimal design solution while meeting multiple objectives such as structural safety, economy, and aesthetics. Nowadays, more and more scholars are using MOO to help with project design and decision-making. Ref. [4] proposed a reinforced concrete bridge piers design method. They used the Simulated Annealing (SA) algorithm, with the economic cost, the reinforcing steel congestion, and the embedded CO2 emissions as optimization objectives. Ref. [5] used the Genetic Algorithm (GA) to study the geometric structure optimization of concrete arch bridges on the bridge deck, searching for the optimal profile and the lowest cost from the perspective of material volume. Ref. [6] studied the shape optimization of concrete arch bridges using the particle swarm optimization algorithm, with the concrete volume used in the construction of the bridge substructure and the maximum principal tensile stress of the concrete arch body as two objective functions. Two multi-objective decision-making methods were used to select the optimal solution from non-dominated solutions. Ref. [7] presents a shape optimization study, both single and multi-objective, for static aerodynamic forces on a streamlined box section, using computational fluid dynamics simulations based on the vortex particle method and approximating results with a Kriging surrogate for optimization purposes. Ref. [8] developed a Bayesian optimization framework based on a reinforced concrete beam structure design, with expensive constraints and low cost as optimization objectives. Ref. [9] proposed an innovative composite bridge deck that utilizes NSGA-II for multi-objective optimization, improving fatigue performance at relatively low structural weight. Ref. [10] introduced the application method of the NSGA-III in earthwork scheduling problems. Ref. [11] used Multi-Objective Harmony Search (MOHS) to conduct multi-objective optimization on steel concrete composite pedestrian bridges, aiming to minimize costs, carbon dioxide emissions, and vertical acceleration caused by human walking. Ref. [12] used the particle swarm optimization (PSO) algorithm to optimize the structure of double-walled steel cofferdams in the deep-water bridge foundation construction. Ref. [13] proposed a new method for optimizing the reasonably finished state of long-span cable-stayed bridges, considering cable forces and counterweights. Ref. [14] proposed a multi-objective maintenance optimization model for bridges, which can determine the optimal balance between minimizing maintenance costs and maximizing bridge performance. Ref. [15] proposed an improved NSGA-II-based method for optimizing the initial cable forces of arch bridges constructed using the cable-stayed cantilever cast-in-situ method, with a multi-objective optimization model targeting the maximum tensile stress of the arch ring cross-section during construction and the eccentricity of the arch ring cross-section under dead load during operation. Ref. [16] proposed the switch rail declining values of the rail expansion joint at the beam end in a long-span cable-stayed bridge. It can be seen that multi-objective optimization methods can dynamically adapt to changing needs and conditions, achieve highly customized designs, and reduce costs and risks by optimizing resource allocation and material selection.
The precast concrete segmental (PCS) box girder bridge is an advanced construction technology with advantages such as fast construction speed, easy quality control, minimal environmental impact, high safety performance, and good economic benefits. With the continuous advancement of technology and increasing demands, the research on designing lighter, stronger, and more economical segments to reduce material usage and enhance structural performance has become a hot topic in this field. Currently, scholars worldwide have conducted extensive research, encompassing material selection and mix optimization, structural design optimization, and the optimization of prestressing techniques. Ref. [17] proposed a new, efficient numerical model for analyzing the bending behavior of precast concrete segmental beams under all elastic–plastic loading states. Ref. [18] studied the effects of multiple factors, such as steel tendon force, shear span ratio, prestressed steel bar area, and number of nodes, on the bending performance of the main beam in precast concrete. Ref. [19] investigated the effect of segment length under different compressive strengths on reinforced concrete box girder bridges. Ref. [20] developed an optimization model for prestressed bridges using AASHTO LRFD bridge design specifications, minimizing the total cost of materials. Ref. [21] studied the influence of the presence of nodes on the deflection, strain, and prestress increment of precast segmental continuous beams with corrugated steel belly plates. Ref. [22] proposed an improved evidence fusion method to evaluate the safety status of prestressed concrete bridges, reducing inaccurate assessments caused by data uncertainty.
Through research, it can be found that the influence of bending performance plays an indispensable role in the design of the entire bridge to a certain extent. Therefore, we consider exploring the role of bending performance in the design process of PCS box girder bridges. To make the design of PCS box girder bridges more universal and efficient, while optimizing the materials used, we used the MOO method to study the parametric design of PCS box girder bridges. At present, the design of small- and medium-sized PCS box girder bridges often adopts the form of universal drawings, which are usually applicable to fixed spans (20, 25, 30, 35, and 40 m). When the span cannot be fixed in special situations, the design of universal drawings will be limited to a certain extent. Using the MOO method for bridge design not only allows for further optimization of dimensional parameters based on the general drawing but also enables design work when the span cannot be designed using the general drawing. In summary, the contributions of this work are as follows:
  • This study aims to establish a multi-objective optimization design method for PCS box girder bridges, which fills the gap in mathematical design in the current bridge field and provides effective ideas for further integration of artificial intelligence in the bridge field.
  • This method defines the optimization objectives of PCS box girder bridges from three perspectives: cost, safety, and structural performance. It considers the influence of 20 parameters in the design process and deduces relevant formulas, forming a complete design method for multi-objective optimization problems.
  • Four multi-objective optimization algorithm models were implemented, focusing mainly on NSGA-II and NSGA-III in genetic algorithms. The GDE3 and PSO algorithms were compared to demonstrate the excellent performance of genetic algorithms in this problem. Weight analysis was conducted on different optimization objectives, and the φ [ F ( x ) ] function was used to evaluate the model performance.
  • Performance analysis was conducted on models using box plots and sensitivity studies. The optimization results of four models were visualized using scatter plots and surface plots. A case study of a 3 × 25 m-long continuous PCS box girder bridge with three spans was presented to demonstrate the optimization results.

2. Theory of Multi-Objective Optimization

2.1. Basic Theory

In the study of MOO problems, there are conflicting relationships between the objectives, so there is no single solution that can optimize each objective simultaneously, but a set of Pareto solutions can be sought. In the absence of subjective preferences, all Pareto solutions are considered equally advantageous. There are different ways of solving multi-objective problems, such as finding only a set of Pareto-optimal solutions that satisfy the requirements in a standard library function test, quantitatively analyzing the degree of importance between different objectives, or finding a solution that meets the decision-makers’ subjective preferences as well as experience in an engineering application.
A MOO problem is described in words as an optimization problem consisting of D decision variable parameters, N objective functions, and m + n constraints, where the decision variables are functionally related to the objective functions and constraints [23]. In the non-inferior solution set, the decision maker, according to the specific requirements of the problem, can only choose a non-inferior solution to their satisfaction as the final solution. The mathematical form of a MOO problem can be described as follows:
min y = f ( x ) = [ f 1 ( x ) , f 2 ( x ) , , f n ( x ) ] , n = 1 , 2 , , N
where x is the D-dimensional decision vector, y is the objective vector, and N is the total number of optimization objectives; f n ( x ) is the n-th objective function.
The constraints in MOO problems can be divided into inequality and equality constraints. The m inequality constraints can be described as
g i ( x ) 0 , i = 1 , 2 , , m
The n equality constraints can be described as
h j ( x ) = 0 , j = 1 , 2 , , n
g i ( x ) 0 and h j ( x ) = 0 determine the feasible domain of the solution—that is,
x = [ x 1 , x 2 , , x d , , x D ]
The optimal or non-inferior optimal solution in a MOO problem can be defined as follows:
Definition 1. 
The vector x = [ x 1 , x 2 , , x D ] dominates the vector x = [ x 1 , x 2 , , x D ] for any d [ 1 , D ] satisfying x d x d , and there exists d 0 [ 1 , D ] having x d 0 < x d 0 .
The following two conditions must be satisfied for f ( x ) to dominate f ( x ) :
n , f n ( x ) f n ( x ) , n = 1 , 2 , , N n 0 , f n 0 ( x ) < f n 0 ( x ) , 1 n 0 N
The dominance relation of f ( x ) is consistent with the dominance relation of x.
Definition 2. 
A Pareto-optimal solution is a solution that is not dominated by any solution in the set of feasible solutions, and x is said to be a non-inferior optimal solution if x is a point in the search space if and only if there exists no x (in the feasible domain of the search space) such that f n ( x ) f n ( x ) holds for n = 1 , 2 , , N . Given a MOO problem f ( x ) , f ( x ) is the globally optimal solution if and only if, for any x (in the search space), there is f ( x ) f ( x ) . The set consisting of all non-inferior optimal solutions is called the Pareto-optimal set of a MOO problem, also known as the admissible solution set or the effective solution set.
Definition 3. 
The set of vectors of objective values corresponding to each solution in the set of Pareto-optimal solutions is called the Pareto-optimal front, or PF for short.
P F = { f ( x ) | x P S }
The display diagram of the PF is shown in Figure 1.

2.2. Problem Definition and Goal Settings for MOO Design of PCS Box Girder Bridges

The problem definition of MOO for bridges is a crucial step that involves accurately understanding and expressing the objectives to be optimized when designing bridges [24]. There is an inherent conflict between cost objectives, safety objectives, and structural objectives. Usually, the use of high-quality or high-performance materials can improve the structural performance and safety of bridges, but these materials often have higher costs, thereby increasing construction costs. Similarly, to improve safety, it may be necessary to add additional structural elements or adopt more conservative design standards, which can also lead to increased costs. On the other hand, excessive pursuit of cost savings may lead to the use of low-cost materials or simplified designs, which may sacrifice structural performance and safety. Therefore, we need to define quantitative indicators for these three goals and clarify possible conflicts and trade-offs between them. The following are the general expressions for these three objectives in the definition of optimization problems:
Cost optimization: The goal is to minimize all costs related to bridge construction, including initial design and construction costs as well as long-term maintenance and operation costs. The cost model needs to consider various expenses such as materials, labor, equipment, management, environmental impact, and potential future maintenance. The quantification of costs is usually expressed in monetary units, such as US dollars or euros.
Safety optimization: The goal is to ensure the safety of bridges and prevent any accidents that may cause casualties or property damage. This requires consideration of the structural strength and stability of the bridge under design loads and possible ultimate loads. The safety optimization shall also consider the durability and reliability of the bridge, including the corrosion resistance, aging resistance, and maintenance requirements of materials. The quantification of safety is usually based on safety factors, importance levels, risk assessment scores, or probability indicators.
Structural optimization: The goal is to improve the structural performance and efficiency of bridges, including strength, stiffness, stability, durability, and constructability. This requires comprehensive consideration and optimization of the shape, size, materials, and construction methods of the bridge. The quantification of structural performance is usually based on structural response, performance indicators, or usage satisfaction.
After determining the three objectives of cost, safety, and structure, the MOO problem needs to be addressed through a comprehensive framework that can handle the competitive relationship between these objectives. In practical applications, this usually involves the preferences and value judgments of decision-makers, as different stakeholders may attach varying degrees of importance to the three objectives of cost, safety, and structure. Solving such problems usually requires the use of multi-criteria decision analysis methods. In this article, we have selected the total cost of materials, the maximum bending moment of the PCS box girder under the combined action of the most unfavorable load combination and prestressing, and the overall stiffness of the PCS box girder bridge as optimization objectives to design the cross-section and prestressing of the bridge.

3. Multi-Objective Optimization Algorithms

After defining and formulating the optimization problem, the main task is to use appropriate algorithms to find the optimal solution through some solving processes. Since the problem studied in the design scenario of PCS box girder bridges is a multi-objective optimization problem, the commonly used NSGA series algorithms in multi-objective optimization are chosen to search for the optimal solution indicating the best design option. At the same time, to compare the advantages and disadvantages of algorithm optimization, differential evolution and particle swarm optimization were introduced as references for optimization results. The following is an introduction to the principles of various multi-objective optimization algorithms.

3.1. Genetic Algorithm

The genetic algorithm (GA) is an optimization algorithm derived from the idea of biological evolution, which generates new solutions through natural selection, crossover, and mutation, and gradually optimizes the final solution. In the process, the solutions are also called individuals, and the individuals form a population. Individuals in the population are genetically manipulated to produce new individuals. The multi-objective genetic algorithm (MOGA) is an algorithm developed to deal with MOO problems using genetic algorithms in recent years. While conventional methods struggle to deal with large-scale problems, MOGA not only can deal with large-scale problems but can also search for the global optimal solution of the problem regardless of the nature of the problem (linearity, continuity, microscopicity, multi-maximality, etc.). It is also independent of the shape of the Pareto-optimal frontier compared to conventional optimization methods.

3.1.1. NSGA-II

The elitist non-dominated sorting genetic algorithm, or NSGA-II for short, was developed by [25] and has become a popular method for solving multi-objective optimization problems by finding multiple Pareto solutions. Its key features include the use of elitist, diversity-preserving mechanisms and emphasis on non-dominated solutions. The main steps of NSGA-II can be summarized as follows:
1.
Create a new population W t = P t S t by combining P t and apply non-dominated sorting.
2.
Identify different fronts P F i ( i = 1 , 2 , . . . ) .
3.
Generate P t + 1 from P t + 1 = with i = 1 and fill P t + 1 = P t + 1 P F i until size n.
4.
Carry out a crowding sort using the crowd distance to sort some P F i to P t + 1 .
5.
Generate new offspring S t + 1 from P t + 1 via crowded tournament-based genetic operators: crossover, mutation, and selection.

3.1.2. NSGA-III

NSGA-III [26,27] extends NSGA-II to better handle many-objective optimization problems. By employing a reference point-based approach for diversity preservation, NSGA-III can maintain a good spread of solutions across the Pareto front even in high-dimensional objective spaces. This is particularly important in real-world applications where optimization problems often involve many conflicting objectives. The chosen reference points can either be predefined in a structured manner or supplied preferentially by the user. In [26], the authors use Das and Dennis’s systematic approach that places points on a normalized hyper-plane, the a ( M 1 ) dimensional unit simplex, which is equally inclined to all objective axes and has an intercept of one on each axis. If p divisions are considered along each objective, the total number of reference points (H) in an M-objective problem is given by
H = M + p 1 p
For example, in a three-objective problem ( M = 3 ) , the reference points are created on a triangle with an apex at ( 1 , 0 , 0 ) ,   ( 0 , 1 , 0 ) , and ( 0 , 0 , 1 ) . If four divisions ( p = 4 ) are chosen for each objective axis, H = 3 + 4 1 4 or 15 reference points will be created. These reference points are shown in Figure 2.

3.2. Differential Evolution

Differential evolution (DE) is a kind of algorithm based on population evolution, which has the characteristics of memorizing individual optimal solutions and sharing information within the population, i.e., solving the optimization problem is realized through the cooperation and competition among individuals within the population, and its essence is a kind of greedy genetic algorithm based on real-number coding with the idea of optimality preservation. Many evolutionary algorithms have been formulated by researchers to tackle multi-objective problems in the recent past. Kukkonen and Lampinen extended DE/rand/1/bin to solve multi-objective optimization problems in their approach called generalized differential evolution (GDE [28]) and an improved version called GDE3 [29] (a combination of the earlier GDE versions and the Pareto-based differential evolution algorithm). This version added a growing population size and non-dominated sorting to improve the distribution of solutions in the final Pareto front and to decrease the sensitivity of the approach to its initial parameters.

3.3. Particle Swarm Optimization

Particle swarm optimization (PSO) was developed by [30] based on swarm behavior in nature, such as fish and bird schooling. The PSO algorithm searches the space of an objective function by adjusting the trajectories of individual agents, called particles, as the piecewise paths formed by positional vectors in a quasi-stochastic manner [31,32]. The movement of a swarming particle consists of two major components: a stochastic component and a deterministic component. Each particle is attracted toward the position of the current global best g and its own best location x i in history; at the same time, it tends to move randomly. The movement of particles is schematically represented in Figure 3, where x i ( t ) is the current best for particle i, and g m i n { f ( x i ) } for ( i = 1 , 2 , . . . , n ) is the current global best at t. Let x i and v i be the position vector and velocity for particle i, respectively. The new velocity vector is determined by the following formula:
v i t + 1 = v i t + α ϵ 1 [ g x i t ] + β ϵ 2 [ x i ( t ) x i t ]
where ϵ 1 and ϵ 2 are two random vectors, and each entry takes the values between 0 and 1. The parameters α and β are the learning parameters or acceleration constants.

4. MOO Design Model of PCS Box Girder Bridges

4.1. Section Model for MOO Design

Concrete box girder is usually composed of top plate, bottom plate, web plate, and chamfer; based on this, the cross-section is simplified into the form shown in Figure 4. To simplify the subsequent model calculations and improve the computational efficiency of algorithm optimization, we have made a series of assumptions based on the cross-sectional model.
  • We assume that the bridge in this study is a small to medium span bridge (20 to 300 m).
  • The box girder adopts a single chamber structure. The dimensions of all box girder cross-sections are consistent and there is no possibility of variable cross-sectional shape.
  • The concrete of the entire bridge section adopts a unified grade, and all steel bars adopt a unified form.
  • The layout design of prestressed steel bars adopts the parameter form of average calculation height, and the prestressed steel strands formed by 7 steel wires are used as the prestressed control method.
  • Only optimization contents such as segmental beam concrete, ordinary steel bars, and prestressed steel bars are considered. The impact of embedded components such as turning blocks on cost and other optimization objectives is relatively small, so they are temporarily not included in the optimization object.
In practical situations, adjustments can be made based on the results of optimized design.
In Figure 4, l t o p is the width of the beam top plate; l b o t is the width of the beam bottom plate; h is the height of the beam; t t o p is the thickness of the beam top plate; t b o t is the thickness of the beam bottom plate; t w is the thickness of the beam web plate; θ is the slope of the beam web plate; and x 1 , x 2 , x 3 , y 1 , and y 2 represent the width and height of the three chamfers of the beam (assuming that the height of the inner and outer chamfers at the junction of the top plate and the web plate is consistent).
The parameters for MOO design of PCS box girder bridges mainly include beam size parameters, concrete parameters, steel bar parameters, etc., totaling 20 design parameters, as shown in Table 1. The table contains the meaning, symbols, range of values, and units of parameters. Due to the influence of different construction methods on the arrangement of prestressing, this article uniformly uses factory full-hole prefabrication, followed by on-site hoisting construction to transform the bridge from a simply supported beam to a continuous beam. Based on this, modeling and formula inference are carried out.

4.2. Calculation Model for Optimization Indicators

We use conventional formulas to calculate several objective functions, some of which are approximated and can be continuously updated and adjusted in subsequent research.

4.2.1. Cost Objective Function

The cost objective function is selected as the total cost of materials, including the total material cost of concrete, ordinary steel bars, and prestressed tendons. The specific calculation process is as follows:
The total cross-sectional area of reinforced concrete beams (A) is
A = l t o p t t o p + l b o t t b o t + 2 t w h t t o p t b o t s i n ( π θ ) + x 1 y 1 + x 2 y 1 + x 3 y 2
The total area of cross-section concrete ( A c ) is
A c = A 1 4 π d r 2 l r 2 l
Assuming L is the total length of the bridge, the total mass of concrete ( m c ) is
m c = L A c ρ c
where ρ c is the density of concrete, with a value of approximately f c + 2320 and a unit of kg/m3.
The total length of ordinary steel bars in a single segment ( l r ) is
l r = ( l t o p + l b o t + 4 h s i n ( π θ ) ) 2 l s r
The total mass of ordinary steel bars ( m r ) is
m r = n l r ρ r
where ρ r is the linear density of ordinary steel bars, with a value of approximately 6170 d r 2 and a unit of kg/m.
Assuming that the length of prestressed steel bars is approximately the same as the total length of the bridge, and therefore the value is L, the total mass of prestressed steel bars ( m p ) is
m p = ( n p b + n p w ) L ρ p
where ρ p is the linear density of prestressed steel bars, with a value of approximately 6170 d p 2 and a unit of kg/m.
The total cost of the PCS box girder bridge (C) is
C = C c + C r + C p = L A c c c + m r c r + m p c p
where c c is the cost per unit volume of concrete, with a value of approximately 3 f c + 255 and unit of CNY/m3. c r is the cost per unit mass of ordinary steel bars, with a value of approximately 1 11 ( f y 0.1 + 15 ) and unit of CNY/kg. c p is the cost per unit mass of prestressed steel bars, with a value of approximately 1 11 ( f y 0.1 + 15 ) and unit of CNY/kg.

4.2.2. Safety Objective Function

The safety objective function is selected as the maximum bending moment of the PCS box girder under the combined action of the most unfavorable load combination and prestressing. In small- and medium-sized span bridges, the common PCS box girder bridge adopts the form of multi-span continuous beams, and the different number of spans ( n s ) of the bridge also affects the distribution of bending moments. We analyze the most unfavorable load combinations based on bridges with spans of 2–5 as the example and determine the maximum bending moment based on the internal force envelope diagram, as shown in Figure 5. In this article, the most unfavorable load combination consists of permanent load and live load, where permanent load only considers the self-weight of the bridge, while the live load of small- and medium-sized bridges is generally defined as about 30% to 60% of the permanent load, which is calculated at 50% in this article.
In Figure 5, we adopt the following assumptions:
  • Hooke’s Law Applies: It is assumed that the material of the beam complies with Hooke’s Law in elasticity mechanics, meaning the stress is proportional to the strain.
  • Material in Elastic Stage: The deformation of the beam and the internal forces fulfill a linear relationship only within the elastic limit range of the material.
  • Plane Section Assumption: It is assumed that the cross-sections of the beam remain plane during deformation, which implies that the deformation of the cross-section is linear.
  • Linear Elasticity: The relationship between the bending deformation and the bending moment of the beam conforms to the linear elasticity theory in material mechanics.
  • Uniform Straight Beam: It is assumed that the cross-sectional shape and material properties (such as elastic modulus and moment of inertia) of the beam are uniformly distributed along its length.
  • Small Deformation Assumption: It is assumed that the deformation (deflection) of the beam is small relative to the span of the beam to ensure the linearization of geometric relations and static equations.
  • Neglecting Shear Deformation: It is assumed that the shear deformation has a negligible impact on the overall deformation of the beam, with the focus mainly on bending deformation.
  • Static Load: It is assumed that the load is static, without considering dynamic loads or vibration effects.
  • Ignoring Geometric Nonlinearity: It is assumed that the beam maintains geometric linearity under loading, without considering geometric nonlinearity due to large deformations.
The upper half of each group of Figure 5 represents the bending moment diagram of the PCS box girder bridge considering only the influence of permanent load (self-weight), and the lower half represents its bending moment envelope diagram under the most unfavorable load combination (self-weight and live load). In the numerical values in the above diagram, it is assumed that the linear stress on each section of the beam is unit 1, with a unit bending moment value of M u = m g L . Through the bending moment envelope diagram, we can obtain the positions and sizes of the maximum positive and maximum negative bending moments of the PCS box girder bridge under the most unfavorable load combination, as shown in Table 2.
From the table, we can see that the maximum positive bending moment of the PCS box girder occurs near the middle of the side span, while the maximum negative bending moment occurs at the internal support of the side span. As the number of spans increases, the corresponding maximum positive and negative bending moment values will gradually decrease. Usually, by adding prestress, the values of the maximum positive and negative bending moments tend to be the same.
The total mass of the bridge (m) is
m = m c + m r + m p
The bending moment value generated by the pre-tension stress provided by the prestressed bars ( M p ) based on the neutral axis calculation is
M p = 1 4 π d p 2 σ n p b h 0 + n p w ( h 0 h p )
The maximum bending moment of the PCS box girder under the combined action of the most unfavorable load combination and prestressing (M) can be calculated as
M = α M u M p
where M u is the bending moment value generated by the load, including permanent load (self weight load) and live load. α is the maximum bending moment coefficient, and its value can be found in Table 2.

4.2.3. Structural Objective Function

In the structural objective function, we choose the overall stiffness of the PCS box girder bridge as the optimization objective function. The specific calculation process is as follows:
The elastic modulus of the PCS box girder bridge section (E) is
E = 1 A ( E c A c + E r A r l r 2 l )
where E c is the elastic modulus of concrete, with a value of approximately ( 4.375 f c 2 + 612.5 f c + 15000 ) × 10 6 and unit N/m2. E r is the elastic modulus of steel bars, with a value of approximately 2 × 10 11 and unit N/m2.
The centroid height of a box girder section ( h 0 ) can be calculated as
h 0 = l t o p h 2 ( h t t o p ) 2 + l b o t t b o t 2 + 2 t w ( h t t o p ) 2 t b o t 2 / 2 ( A c A c h a ) sin ( π θ )
Next, calculate the moment of inertia of the box girder concerning the position of the center of mass of the section, using segmented calculation and the parallel axis theorem for composite calculation. Based on the parallel axis theorem, the moment of inertia ( I z ) of a box girder at the center of mass of the cross-section can be obtained by adding the moment of inertia of the top plate, bottom plate, and web plate. The specific calculation is
I z = I t o p + I b o t + I w = 1 12 l t o p t t o p 3 + l t o p t t o p ( h h 0 1 2 t t o p ) 2 + 1 12 l b o t t b o t 3 + l b o t t b o t ( h 0 1 2 t b o t ) 2 + 1 12 · 2 t w sin ( π θ ) ( h t t o p t b o t ) 3 + 2 t w sin ( π θ ) ( h t t o p t b o t ) h 0 1 2 ( h t t o p + t b o t ) 2
The bending stiffness of the PCS box girder bridge section (S) is
S = α s E I z
where α s is the stiffness reduction coefficient, which is related to the number of bridge segments.

4.2.4. Constraints for PCS Box Girder Bridge Design

In multi-objective optimization problems, there are usually various limitations and constraints based on actual engineering situations. The constraint conditions not only define the set of feasible solutions, and change the shape and position of the Pareto front, but also help to find feasible solutions in practice by ensuring that the solutions meet the constraints in practical applications.
According to the size form of the beam cross-section, the following can be obtained:
l t o p l b o t + 2 · ( h t t o p ) · tan ( θ π 2 )
According to the width limit requirements for the top and bottom plates of the box girder, the following can be obtained:
0.6 l t o p l b o t 0.8 l t o p
According to the height limit of the bridge beam, the following can be obtained:
L 20 n s h L 15 n s
According to the chamfer ratio required by the specifications, the following can be obtained:
1 x i y j 1.5 ; i = 1 , 2 , 3 ; j = 1 , 2
According to the structural requirements of materials such as concrete and steel bars, the following can be obtained:
f c 40 MPa f y 235 MPa
According to the deformation requirements for short-term deflection under the limited state of use, it can be concluded that
δ = k M L 2 S 1 800 L
where k is the proportion coefficient, which depends on the actual structure and load situation. In multi-span continuous beams, numerical methods or structural analysis software need to be used for solving, and this does not affect the optimization results.
In bridge design, one of the functions of prestressed steel bars is to adjust the maximum positive and negative bending moment values to a relatively consistent level, so it can be taken as
M p 1 2 ( M m a x + M m a x )
where M m a x + and M m a x are the maximum positive and negative bending moment values, respectively.

4.3. Code Environment and Hyperparameter Configuration of the Model

The multi-objective optimization algorithms in this paper are implemented on python 3.8.17 by importing the DEAP package [33], a novel evolutionary computation framework. All the algorithms have been evaluated more than 5 times because the optimization process needs to search for better generations based on the mutation and cross-over operations in evolutionary algorithms. The final result we show in the following is the best Pareto front of each algorithm. The hyperparameters used in this paper for the algorithms are shown in Table 3.

4.4. Evaluation Metrics

For models using different multi-objective optimization algorithms, we also need an evaluation metric to compare the quality of their optimization results. By constructing an evaluation function to evaluate the optimization ability of different optimization methods, this function is obtained using the ideal point method. The specific steps are as follows:
1
Establish a multi-objective optimization model for PCS box girder bridge, as shown in the following equation, which includes four optimization objectives.
min C ( X ) min M ( X ) max S ( X ) X E n
where X is an n-dimensional vector and E n is the feasible domain.
2
Calculate the optimal solution for a single optimization objective, where each optimal solution can become an independent ideal point, and all ideal points form the ideal point set.
F = { C , M , S }
In all sets of parameters to be optimized, each set of construction parameters can become a solution object, and the common element solution set can be obtained by calculating the objectives under different optimization parameters.
F A = { C , M , S }
3
The Euclidean distance is used to describe the difference between the ideal point set and the ordinary element set, and the minimum distance between the two is used as the solution objective. Based on this, an evaluation function based on the weight coefficient transformation method can be obtained.
φ [ F ( x ) ] = min ω 1 ( C C ) 2 + ω 2 ( M M ) 2 + ω 3 ( S S ) 2
where cost C, moment M, and stiffness S are all normalized. ω 1 , ω 2 , ω 3 are the importance coefficients; ω 1 + ω 2 + ω 3 = 1 . For the optimization objective variables in this article, their importance order is ω 1 = ω 2 < ω 3 and the ratio of the importance degree of adjacent optimization objectives are defined as r k , with values as shown in Table 4.
The ratio of the three indicators is 1:1:1.2; so, ω 1 = ω 2 = 0.3125 , and ω 3 = 0.375.
The evaluation indicator model formula is
φ [ F ( x ) ] = min 0.3125 ( C C ) 2 + 0.3125 ( M M ) 2 + 0.375 ( S S ) 2
Therefore, the final evaluation function is φ [ F ( x ) ] , which represents the degree of optimization results of the multi-objective algorithm model. Its value range is [ 0 , 1 ] , and the smaller the value, the better the optimization performance. At the same time, the importance of different objectives can be adjusted according to the actual needs of the project, which further increases the flexibility of the design.

5. Case Analysis and Experimental Results

5.1. Case Selection and General Diagram

We select a case with a universal design diagram for comparison of results. We proceed under the assumption that we need to design a 3 × 25 m-long continuous PCS box girder bridge and the bridge deck width is 15 m—that is, L = 3 × 25 = 75 m, n s = 3 , and W = 15 . The universal design result is shown in Figure 6. According to Figure 6, the width of the top plate of the box girder in the general drawing is 2.4 m. Therefore, we choose a scheme with the same top plate size for the design and compare the scheme designed using the MOO method with the general drawing scheme.

5.2. Optimization Result Analysis

According to the four algorithm models, each Pareto front solution set can be calculated, and the number of sample sizes in the solution set varies depending on the adaptability of different algorithms to the problem. Table 5 shows the results generated by the operation of each algorithm model, including the upper and lower bounds of three optimization objectives, the values of the performance function under the evaluation index φ [ F ( x ) ] , and the values of each objective ( C x , M x , S x ) under φ [ F ( x ) ] .
The table shows that the performance of the NSGA-III algorithm is superior to that of other algorithms, with a φ [ F ( x ) ] value of 0.2789. Among these results, the sample size generated by the GDE3 and PSO algorithm models is too small, resulting in relatively poor optimization results. The reasons for these phenomena may be the following points. Since GDE3 is a metric for evaluating the performance of MOO algorithms, it is a performance indicator used to measure the quality of a set of solutions in terms of generational distance. This means that GDE3 does not inherently balance convergence and diversity by using crowding distance to select individuals for the next generation as NSGA algorithms do. PSO uses the memory of each particle to update its position, where each particle has a velocity that determines its direction and magnitude of movement in the solution space. PSO has acceleration constants that control the convergence of particles towards their best-known positions. These constants help adjust the velocity of the particles to ensure a balance between exploration and exploitation of the search space. However, PSO still easily converges to local optima. At the same time, the NSGA series MOO algorithm is very suitable for the definition of the problem of PCS box girder bridge design, clearly demonstrating its ability to search for Pareto frontiers within the solution space specified by multidimensional parameters, thus achieving the goal of a rapid preliminary design of solutions.
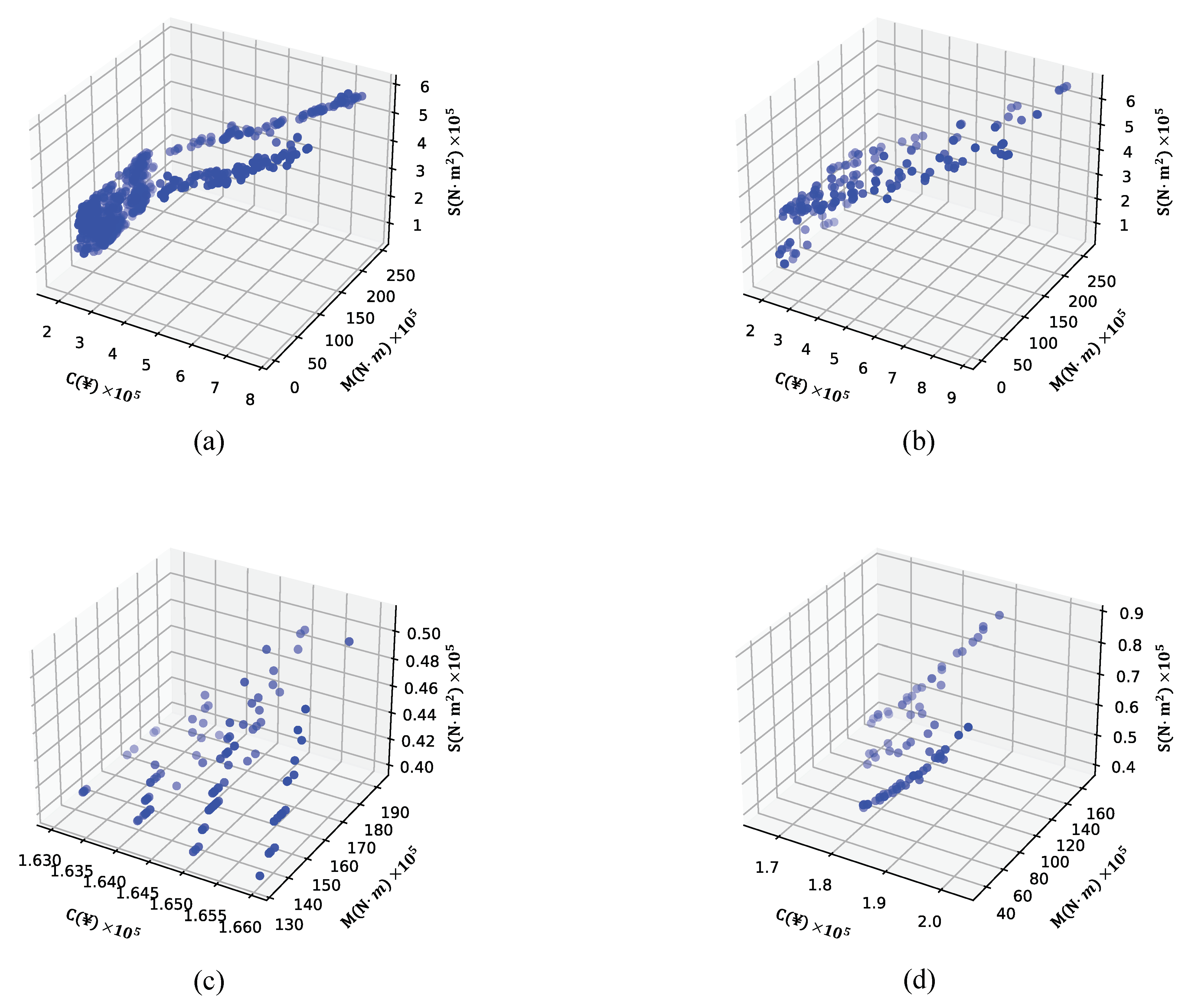
Based on the MOO algorithm model mentioned above, an optimization scatter plot can be obtained, as shown in Figure 7. In such scatter plots, the Pareto front or Pareto surface is often specifically marked to indicate the position of the solutions that balance between the objective functions. These solutions are considered “optimal” in the sense of MOO, as they represent the best trade-off between the given objective functions. Based on this, an interpolation calculation is performed on the scatter plot to form a Pareto front surface graph, as shown in Figure 8.

5.3. Model Performance Analysis

To investigate the stability of the used MMO algorithms, we run each algorithm with the same parameters 10 times, only changing the random seed for the initialization of populations. We visualize the box plot of four algorithms, as shown in Figure 9. The plot effectively highlights key statistical measures including the median, quartiles, and potential outliers. Each box represents the respective algorithm’s interquartile range, encompassing the 25th percentile at the bottom edge and the 75th percentile at the top edge.
The length of the box illustrates the spread of the middle 50% of the data. We can find that NSGA-III has the lowest median φ [ F ( x ) ] value among these algorithms and both NSGA-II and NSGA-III show higher stability compared with the others. Then, we further analyze the parameter sensitivity of NSGA-II and NSGA-III to find the best setting of the key parameters, which are the number of population, the number of generations, and the cross rate, which represent the number of individuals (solutions) in the population at any given generation, the total number of iterations (or cycles) that the algorithm will run through before stopping, and the probability that crossover will occur between two parent solutions to produce offspring during the algorithm’s reproduction phase, respectively. The best setting of these parameters is selected according to the lowest φ [ F ( x ) ] value. As shown in Figure 10, we can find that given the same parameters, NSGA-III usually performs better than NSGA-II, which shows the superiority of the NSGA-III algorithm in MMO optimization problems. The time cost of each algorithm is shown in Table 6, which shows that NSGA-III has the fastest convergence speed even when the population is twice that of NSGA-II. GDE3 has the worst convergence speed because the crossover strategy highly relies on the neighborhood relation with the existing populations, which may cause the generation of new populations near the old populations and easily plunge into local optima, or the searched population cannot meet the constraints.

5.4. Analysis and Comparison of MOO Model Design Scheme

Considering the high construction redundancy in actual engineering situations, obtaining exact optimal results is unnecessary. Therefore, approximate integer solutions for each parameter are searched in the Pareto plane solution set. This not only makes some parameters have specific practical significance but also makes the construction process more convenient and the manufacturing of segmental beams tend towards a streamlined process. By outputting the parameter values of the special solution (i.e., the solution corresponding to φ [ F ( x ) ] = 0.2789 ) of the NSGA-III algorithm with the best optimization performance, a set of design schemes can be obtained, as shown in Table 7.
Based on the obtained parameters, we can obtain a preliminary design scheme for the PCS box girder bridge, with a single beam section shown in Figure 11. Therefore, a 15 m-wide PCS box girder bridge section can comprise six single beams arranged side by side, with transverse partitions set at regular intervals and connected by pouring wet joints. Thus, the values of the three objective functions are C = 318072.9 , M = 169946.2 , and S = 387905.3 .
Except for the information in the design drawings, the design of other materials is as follows: The concrete adopted is C70. Ordinary steel bars are made of HRB335 with a diameter of 16 mm. The prestressed reinforcement is composed of seven steel strands of 12.6 mm steel wire as a bundle, with pre-tension stress of 0.8 f p k . A total of two strands of prestressed reinforcement are provided for the bottom plate, and six strands of prestressed reinforcement are provided for the web plate, with an average height of 1/2 of the beam height. We also selected a design scheme of GDE3 as the control group, and its specific parameter values are shown in Table 7.
The design schemes generated by the two algorithms are compared with the general graph scheme, and the main differences in various parameters and optimization objectives are shown in Table 8. Among the three schemes, there is not much difference in safety performance indicators. The optimization design scheme of GDE3 focuses on sacrificing bridge stiffness to save a small portion of costs, but the degree of savings is relatively low. Overall, it is not as reasonable as the design scheme of the universal drawing. On the basis of increasing the cost target by 8.03%, the optimization design scheme of the NSGA-III algorithm improved the structural optimization target by up to 75.49%, which increased the reliability of the bridge to some extent. A reasonable explanation is that the form of the bridge section has a significant impact on the stiffness of the bridge, and the reliability of the bridge can be improved by increasing the height of the beam. Meanwhile, when the bending performance indicators of the bridge have reached the requirements, choosing the appropriate section size can reduce costs. This depends on the specific requirements for bridge design in engineering practice. Here, a reasonable scheme design can be obtained by adjusting the weight ratio between the boundary conditions in the model and the optimization objectives.
In addition, this work can significantly reduce the redundant time in the design process. Designers only need to make slight modifications to the model design results to obtain a relatively complete design solution. Meanwhile, due to the validity of each result in the Pareto frontier solution set, numerous parameter combinations can be selected. Therefore, design schemes with different cross-sectional forms and material selections can also be derived. Furthermore, design schemes that meet more specific requirements can be selected, such as further limiting the width of the bridge roof by the number of lanes on the bridge surface. However, it can be seen that there are still some flaws in the current design results: (1) the inability to reflect the requirements for aesthetics through numerical means; (2) the design of the cross-section is relatively simple, and it is difficult to quantify forms such as variable cross-sections; (3) currently, the optimization of structural performance only considers the optimization design of bending capacity based on stiffness performance, without considering more optimization objectives and constraints. These shortcomings require further in-depth research in subsequent work.

6. Summary and Future Work Prospects

This study developed a multi-objective optimization design method for PCS box girder bridges with small and medium spans. Numerical reasoning was conducted on the three optimization objectives of cost, safety, and structural performance using 20 design parameters. Four multi-objective optimization algorithm models were used to form a Pareto front solution set for multi-objective optimization. The optimization results were evaluated based on the weights of the optimization objectives and the set evaluation function. Box plots and sensitivity analyses of the model performance as well as scatter plots and surface plots of the optimization results were provided.
Any multi-objective optimization model largely depends on the clarity of the problem definition, including the dimensionality of parameters, inference of formulas, and selection of constraints. This work investigates the design process of PCS box girder bridges in general scenarios, and there is still significant room for improvement in defining the details of the problem. In addition to existing costs, safety, and structural performance, conducting in-depth research on the goals of engineering progress, aesthetics, and sustainable development capabilities is a key focus of future work. In addition, based on this work, it is planned to generate automatic drawings for PCS box girder bridge section design using computer vision (CV)—that is, to automatically draw images using the Pareto frontier solution inferred by the MOO method in this paper. This is also one of the directions worth studying in the future.
At present, design intelligence in civil engineering is still in its initial stage. Although there have been many technological breakthroughs, it still faces many challenges in practical applications. Although advanced algorithms and big data analysis tools can assist in design, their comprehensive integration and popularization still require time. In the future, intelligent design will greatly revolutionize the development model of the industry. With the help of artificial intelligence and big data analysis, the design process will be more precise and efficient, achieving a seamless connection from conception to implementation.

Author Contributions

Conceptualization, Z.L.; methodology, Z.L.; software, Z.L.; validation, Z.L. and J.Q.; formal analysis, J.Q.; investigation, Z.L.; resources, J.Q.; data curation, Z.L.; writing—original draft preparation, Z.L.; writing—review and editing, J.Q.; visualization, Z.L.; supervision, J.W.; project administration, J.W.; funding acquisition, J.W. All authors have read and agreed to the published version of the manuscript.

Funding

This research was funded by the National Natural Science Foundation of China (grant numbers: 52341802, 52378136), the Innovation Program for Bridge Engineering Research Center of Southeast University (grant number: BERC-1-1), and the China Communications Construction Group academician special research funding project (grant number: YSZX-01-2022-02-B).

Data Availability Statement

Some or all data, models, or codes that support the findings of this study are available from the first author upon reasonable request (Zhijie Li).

Conflicts of Interest

The authors declare no conflicts of interest.

Abbreviations and Symbols

CVComputer vision
DEDifferential evolution
GAGenetic algorithm
GDEGeneralized differential evolution
MOGAMulti-objective genetic algorithm
MOHSMulti-objective harmony search
MOOMulti-objective optimization
NSGANon-dominated sorting genetic algorithms
PCSPrecast concrete segment
PFPareto-optimal front
PSPareto-optimal solutions
PSOParticle swarm optimization
SASimulated annealing
ATotal cross-sectional area of reinforced concrete beams
A c Total area of cross-section concrete
A c h a Total area of chamfer
A r Cross-sectional area of a single steel bar
CTotal cost of the PCS box girder bridge
C c Total cost of concrete
C r Total cost of ordinary steel bars
C p Total cost of prestressed steel bars
c c Cost per unit volume of concrete
c r Cost per unit mass of ordinary steel bars
c p Cost per unit mass of prestressed steel bars
d p Diameter of prestressed steel bars
d r Diameter of steel bars
EElastic modulus of the PCS box girder bridge section
E c Elastic modulus of concrete
E r Elastic modulus of steel bars
f c Compressive strength of concrete
f y Tensile strength of steel bars
gGravitational acceleration
hHeight of beam
h 0 Centroid height of a box girder section
h p Average height of prestressed steel
I b o t Inertia moment of bottom plate
I t o p Inertia moment of top plate
I w Inertia moment of web plate
I z Inertia moment of the cross-section
kProportion coefficient
LTotal length of the bridge
lLength of segments
l b o t Width of bottom plate
l r Total length of ordinary steel bars in a single segment
l t o p Width of top plate
MMaximum bending moment of the PCS box girder under the combined action of the most unfavorable load combination and prestressing
M p Bending moment value generated by the pre-tension stress provided by the prestressed bars
M u A unit bending moment value
M m a x +       Maximum positive bending moment values
M m a x Maximum negative bending moment values
mTotal mass of the PCS box girder
m c Total mass of concrete
m p Total mass of prestressed steel bars
m r Total mass of ordinary steel bars
n p b Quantity of bottom plate prestressed steel bars
n p w Quantity of web plate prestressed steel bars
n s Number of spans
pWeb slope ratio
SBending stiffness of the PCS box girder bridge section
t b o t Thickness of bottom plate
t t o p Thickness of top plate
t w Thickness of web plate
x 1 Length of the outer chamfer at the connection between top plate and web plate
x 2 Length of the inner chamfer at the connection between top plate and web plate
x 3 Length of the chamfer at the connection between bottom plate and web plate
y 1 Height of the chamfer at the connection between top plate and web plate
y 2 Height of the chamfer at the connection between bottom plate and web plate
α s Stiffness reduction coefficient
δ Deformation of beam
ρ c Density of concrete
ρ p Linear density of prestressed steel bars
ρ r Linear density of ordinary steel bars
σ Tension stress of prestressed steel bars
θ Inclination angle of the web plate

References

  1. Hewson, N.R. Prestressed Concrete Bridges: Design and Construction; Thomas Telford: Westerkirk, UK, 2003. [Google Scholar]
  2. Reis, A.J.; Pedro, J.J.O. Bridge Design: Concepts and Analysis; John Wiley & Sons: Hoboken, NJ, USA, 2019. [Google Scholar]
  3. Cui, Y.; Geng, Z.; Zhu, Q.; Han, Y. Multi-objective optimization methods and application in energy saving. Energy 2017, 125, 681–704. [Google Scholar] [CrossRef]
  4. Martinez-Martin, F.J.; Gonzalez-Vidosa, F.; Hospitaler, A.; Yepes, V. Multi-objective optimization design of bridge piers with hybrid heuristic algorithms. J. Zhejiang Univ. Sci. A 2012, 13, 420–432. [Google Scholar] [CrossRef]
  5. Abd Elrehim, M.Z.; Eid, M.A.; Sayed, M.G. Structural optimization of concrete arch bridges using Genetic Algorithms. Ain Shams Eng. J. 2019, 10, 507–516. [Google Scholar] [CrossRef]
  6. Pouraminian, M.; Pourbakhshian, S. Multi-criteria shape optimization of open-spandrel concrete arch bridges: Pareto front development and decision-making. World J. Eng. 2019, 16, 670–680. [Google Scholar] [CrossRef]
  7. Jaouadi, Z.; Abbas, T.; Morgenthal, G.; Lahmer, T. Single and multi-objective shape optimization of streamlined bridge decks. Struct. Multidiscip. Optim. 2020, 61, 1495–1514. [Google Scholar] [CrossRef]
  8. Mathern, A.; Steinholtz, O.S.; Sjöberg, A.; Önnheim, M.; Ek, K.; Rempling, R.; Gustavsson, E.; Jirstrand, M. Multi-objective constrained Bayesian optimization for structural design. Struct. Multidiscip. Optim. 2021, 63, 689–701. [Google Scholar] [CrossRef]
  9. Xiang, Z.; Zhu, Z. Multi-objective optimization of a composite orthotropic bridge with RSM and NSGA-II algorithm. J. Constr. Steel Res. 2022, 188, 106938. [Google Scholar] [CrossRef]
  10. Liu, Y.; You, K.; Jiang, Y.; Wu, Z.; Liu, Z.; Peng, G.; Zhou, C. Multi-objective optimal scheduling of automated construction equipment using non-dominated sorting genetic algorithm (NSGA-III). Autom. Constr. 2022, 143, 104587. [Google Scholar] [CrossRef]
  11. Tres Junior, F.L.; Yepes, V.; Medeiros, G.F.d.; Kripka, M. Multi-objective optimization applied to the design of sustainable pedestrian bridges. Int. J. Environ. Res. Public Health 2023, 20, 3190. [Google Scholar] [CrossRef]
  12. Shao, J.; Fan, Z.; Huang, Y.; Zhan, Y.; Cai, Q. Multi-objective optimization of double-walled steel cofferdams based on response surface methodology and particle swarm optimization algorithm. In Structures; Elsevier: Amsterdam, The Netherlands, 2023; Volume 49, pp. 256–266. [Google Scholar]
  13. Wang, Z.; Zhang, N.; Cheng, Q. Multi-objective optimization-based reasonable finished state in long-span cable-stayed bridge considering counterweights. In Structures; Elsevier: Amsterdam, The Netherlands, 2023; Volume 51, pp. 1497–1506. [Google Scholar]
  14. Ghafoori, M.; Abdallah, M.; Ozbek, M. Multi-Objective Maintenance Optimization Model to Minimize Maintenance Costs While Maximizing Performance of Bridges. EPiC Ser. Built Environ. 2023, 4, 523–531. [Google Scholar]
  15. Tian, Z.; Zhang, Z.; Ning, C.; Peng, T.; Guo, Y.; Cao, Z. Multi-objective optimization of cable force of arch bridge constructed by cable-stayed cantilever cast-in-situ method based on improved NSGA-II. In Structures; Elsevier: Amsterdam, The Netherlands, 2024; Volume 59, p. 105782. [Google Scholar]
  16. Zhang, Q.; Cai, X.; Xie, K.; Zhang, Y.; Wang, Q.; Wang, T. Multi-objective optimization for switch rail declining values of rail expansion joint on cable-stayed bridge. Struct. Multidiscip. Optim. 2024, 67, 1–22. [Google Scholar] [CrossRef]
  17. Yan, W.T.; Han, B.; Xie, H.B.; Li, P.F.; Zhu, L. Research on numerical model for flexural behaviors analysis of precast concrete segmental box girders. Eng. Struct. 2020, 219, 110733. [Google Scholar] [CrossRef]
  18. Chai, S.; Guo, T.; Chen, Z.; Yang, J. Flexural Behavior of Precast Concrete Segmental Box-Girders with Dry Joints. Adv. Civ. Eng. 2020, 2020, 8895180. [Google Scholar] [CrossRef]
  19. Habib, A.S.; Aziz, O.Q. The Ultimate Capacity of Post-Tensioned Segmental Box Girder Bridges with Different Lengths of Segments: An Experimental Study. J. Hunan Univ. Nat. Sci. 2021, 48. [Google Scholar]
  20. Khan, M.S.; Peng, T.; Ali, S.M.; Rehman, F.U.; Wu, Y. Cost Optimization of Prestressed U-Shaped Simply Supported Girder Using Box Complex Method. Sustainability 2023, 15, 11457. [Google Scholar] [CrossRef]
  21. Zhao, P.; Rong, X.; Shao, X.; Han, H.; Jiang, Z.; Wang, Y. Flexural performance of precast segmental continuous box girders with corrugated steel webs. J. Constr. Steel Res. 2024, 216, 108621. [Google Scholar] [CrossRef]
  22. Shu, J.; Ma, H.; Ding, W.; Jin, Z. Improved Evidence Fusion Theory for the Safety Assessment of Prestressed Concrete Bridges. Buildings 2024, 14, 1144. [Google Scholar] [CrossRef]
  23. Gunantara, N. A review of multi-objective optimization: Methods and its applications. Cogent Eng. 2018, 5, 1502242. [Google Scholar] [CrossRef]
  24. Patidar, V. Multi-Objective Optimization for Bridge Management Systems; Transportation Research Board: Washington, DC, USA, 2007; Volume 67. [Google Scholar]
  25. Deb, K.; Pratap, A.; Agarwal, S.; Meyarivan, T. A fast and elitist multiobjective genetic algorithm: NSGA-II. IEEE Trans. Evol. Comput. 2002, 6, 182–197. [Google Scholar] [CrossRef]
  26. Deb, K.; Jain, H. An evolutionary many-objective optimization algorithm using reference-point-based nondominated sorting approach, part I: Solving problems with box constraints. IEEE Trans. Evol. Comput. 2013, 18, 577–601. [Google Scholar] [CrossRef]
  27. Jain, H.; Deb, K. An evolutionary many-objective optimization algorithm using reference-point based nondominated sorting approach, part II: Handling constraints and extending to an adaptive approach. IEEE Trans. Evol. Comput. 2013, 18, 602–622. [Google Scholar] [CrossRef]
  28. Kukkonen, S.; Lampinen, J. An extension of generalized differential evolution for multi-objective optimization with constraints. In Proceedings of the Parallel Problem Solving from Nature-PPSN VIII: 8th International Conference, Birmingham, UK, 18–22 September 2004; Proceedings 8. Springer: Berlin/Heidelberg, Germany, 2004; pp. 752–761. [Google Scholar]
  29. Kukkonen, S.; Lampinen, J. GDE3: The third evolution step of generalized differential evolution. In Proceedings of the 2005 IEEE Congress on Evolutionary Computation, Edinburgh, UK, 2–5 September 2005; pp. 443–450. [Google Scholar]
  30. Kennedy, J.; Eberhart, R. Particle swarm optimization. In Proceedings of the ICNN’95-International Conference on Neural Networks, Perth, WA, Australia, 27 November–1 December 1995; pp. 1942–1948. [Google Scholar]
  31. Eberhart, R.C.; Shi, Y.; Kennedy, J. Swarm Intelligence; Elsevier: Amsterdam, The Netherlands, 2001. [Google Scholar]
  32. Engelbrecht, A.P. Fundamentals of Computational Swarm Intelligence; John Wiley & Sons, Inc.: Hoboken, NJ, USA, 2006. [Google Scholar]
  33. De Rainville, F.M.; Fortin, F.A.; Gardner, M.A.; Parizeau, M.; Gagné, C. Deap: A python framework for evolutionary algorithms. In Proceedings of the 14th Annual Conference Companion on Genetic and Evolutionary Computation, Philadelphia, PA, USA, 7–11 July 2012; pp. 85–92. [Google Scholar]
Figure 1. Pareto-optimal front.
Figure 1. Pareto-optimal front.
Buildings 15 00361 g001
Figure 2. Reference points on the normalized reference plane (p = 4).
Figure 2. Reference points on the normalized reference plane (p = 4).
Buildings 15 00361 g002
Figure 3. Schematic representation of the motion of a particle in PSO.
Figure 3. Schematic representation of the motion of a particle in PSO.
Buildings 15 00361 g003
Figure 4. Section parameter settings for PCS box girder bridge.
Figure 4. Section parameter settings for PCS box girder bridge.
Buildings 15 00361 g004
Figure 5. Bending moment diagram of PCS box girder bridge under permanent load and bending moment envelope diagram of the most unfavorable load combination under different spans. (a) n s = 2 ; (b) n s = 3 ; (c) n s = 4 ; (d) n s = 5 .
Figure 5. Bending moment diagram of PCS box girder bridge under permanent load and bending moment envelope diagram of the most unfavorable load combination under different spans. (a) n s = 2 ; (b) n s = 3 ; (c) n s = 4 ; (d) n s = 5 .
Buildings 15 00361 g005
Figure 6. Sectional design of general graphic design scheme (unit: cm).
Figure 6. Sectional design of general graphic design scheme (unit: cm).
Buildings 15 00361 g006
Figure 7. Scatter plot of optimization results. (a) NSGA-II. (b) NSGA-III. (c) GDE3. (d) PSO.
Figure 7. Scatter plot of optimization results. (a) NSGA-II. (b) NSGA-III. (c) GDE3. (d) PSO.
Buildings 15 00361 g007
Figure 8. Surface plot of optimization results. (a) NSGA-II. (b) NSGA-III. (c) GDE3. (d) PSO.
Figure 8. Surface plot of optimization results. (a) NSGA-II. (b) NSGA-III. (c) GDE3. (d) PSO.
Buildings 15 00361 g008
Figure 9. Box plot of all algorithms to evaluate the stability.
Figure 9. Box plot of all algorithms to evaluate the stability.
Buildings 15 00361 g009
Figure 10. Parameter sensitivity analysis of NSGA-II and NSGA-III. (a) Number of Population. (b) Number of Generation. (c) Cross Rate.
Figure 10. Parameter sensitivity analysis of NSGA-II and NSGA-III. (a) Number of Population. (b) Number of Generation. (c) Cross Rate.
Buildings 15 00361 g010
Figure 11. Sample of the preliminary design of PCS box girder bridge single beam section diagram. (Unit: cm) (a) NSGA-III. (b) GDE3.
Figure 11. Sample of the preliminary design of PCS box girder bridge single beam section diagram. (Unit: cm) (a) NSGA-III. (b) GDE3.
Buildings 15 00361 g011
Table 1. Parameters for MOO design of precast segmental concrete box girder bridges.
Table 1. Parameters for MOO design of precast segmental concrete box girder bridges.
NumberParameter MeaningsSymbolValue RangeUnit
1Length of segmentsl2 to 5m
2Width of bottom plate l b o t 0.8 to 1.2 m
3Height of beamh 1.2 to 2.0 m
4Thickness of top plate t t o p 18 to 25cm
5Thickness of bottom plate t b o t 18 to 25cm
6Thickness of web plate t w 18 to 25cm
7Web slope ratiop3 to 4-
8Length of the outer chamfer at the connection x 1 15 to 30cm
between top plate and web plate
9Length of the inner chamfer at the connection x 2 15 to 30cm
between top plate and web plate
10Length of the chamfer at the connection x 3 15 to 30cm
between bottom plate and web plate
11Height of the chamfer at the connection y 1 7 to 15cm
between top plate and web plate
12Height of the chamfer at the connection y 2 7 to 15cm
between bottom plate and web plate
13Compressive strength of concrete f c C 40 , C 45 , , C 80 MPa
14Tensile strength of steel bars f y 335 , 400 , 500 MPa
15Diameter of steel bars d r 12 to 25mm
16Diameter of prestressed steel bars d p 12 to 16mm
17Quantity of bottom plate prestressed steel bars n p b 7 (2 to 6)-
18Quantity of web plate prestressed steel bars n p w 7 (6 to 10)-
19Tension stress of prestressed steel bars σ ( 0.7 to 0.8 ) f p k MPa
20Ratio of the average height of prestressed steel h p / h 0.25 to 0.75 -
bars in the web to the height of the beam
f p k = 1860 MPa—the strength standard value of prestressed steel bars; h p —the average height of prestressed reinforcement in the web plate.
Table 2. The maximum positive and negative bending moments of PCS box girder bridges at different spans.
Table 2. The maximum positive and negative bending moments of PCS box girder bridges at different spans.
Number of SpansMaximum Positive Bending MomentMaximum Negative Bending Moment
ValuePositionValuePosition
2 0.551 M u Near the middle of side span 0.442 M u Middle support
3 0.514 M u Near the middle of side span 0.338 M u Internal support of side span
4 0.485 M u Near the middle of side span 0.314 M u Internal support of side span
5 0.47 M u Near the middle of side span 0.29 M u Internal support of side span
M u = mgL. m—the total mass of the PCS box girder; g—the gravitational acceleration; L—the total length of the PCS box girder.
Table 3. Hyperparameter settings for algorithms.
Table 3. Hyperparameter settings for algorithms.
AlgorithmHyperparameters
NSGA-II n = 200 , μ = 200 , λ = 100 , ρ c x = 0.7 , ρ m u t = 0.3 , n g e n = 200
NSGA-III n = 400 , μ = 400 , ρ c x = 0.7 , ρ m u t = 0.3 , n g e n = 400
GDE3 n = 500 , ρ c x = 0.9 , F m u t = 0.8 , n g e n = 100
PSO n = 500 , w = 0.2 , c 1 = 1.5 , c 2 = 1.5 , n g e n = 200
Table 4. The value of the ratio r k .
Table 4. The value of the ratio r k .
r k Explain
1.0Indicator ω k 1 and indicator ω k have the same importance
1.2Indicator ω k 1 is slightly more important than indicator ω k
1.4Indicator ω k 1 is significantly more important than indicator ω k
1.6Indicator ω k 1 is strongly more important than indicator ω k
Table 5. Numerical results of algorithm model optimization.
Table 5. Numerical results of algorithm model optimization.
AlgorithmNSGA-IINSGA-IIIGDE3PSO
sample size145540060103
C m i n 168,551.5174,721.9164,909.3174,322.1
C m a x 857,131.1867,590.0180,848.5217,372.4
M m i n 122,561.3123,560.6101,176.9123,390.2
M m a x 547,386.5578,663.1334813.5144,715.7
S m i n 46,389.839,784.539,353.336,976.3
S m a x 644,154.7641,415.874,484.786,922.9
φ [ F ( x ) ] 0.29970.27890.35370.3392
C x 311,896.7318,072.9167,260.2182,801.0
M x 168,874.7169,946.2133,245.9129,148.9
S x 381,256.1387,905.361,555.874,970.6
The unit of C is Chinese Yuan (CNY), the unit of M is N · m, and the unit of S is N · m2.
Table 6. Time cost of algorithms.
Table 6. Time cost of algorithms.
AlgorithmTime (s)No. PopulationAver. Time/GEN (s)
NSGA-II13.712000.069
NSGA-III7.534000.019
GDE344.2510000.885
PSO5.135000.025
Table 7. Parameter values in the case optimized by NSGA-III and GDE3 algorithm model.
Table 7. Parameter values in the case optimized by NSGA-III and GDE3 algorithm model.
NumberNSGA-IIIGDE3
Parameter Value Parameter Value
1l5 ml5 m
2 l b o t 0.8 m l b o t 0.8 m
3h1.6 mh1.4 m
4 t t o p 18 cm t t o p 18 cm
5 t b o t 18 cm t b o t 18 cm
6 t w 25 cm t w 25 cm
7 θ 4 θ 3
8 x 1 15 cm x 1 15 cm
9 x 2 15 cm x 2 15 cm
10 x 3 15 cm x 3 15 cm
11 y 1 7 cm y 1 7 cm
12 y 2 7 cm y 2 7 cm
13 f c 70 MPa f c 40 MPa
14 f y 335 MPa f y 335 MPa
15 d r 16 mm d r 12 mm
16 d p 12 mm d p 12 mm
17 n p b 7 2 n p b 2 7
18 n p w 7 6 n p w 6 7
19 σ 0.8 f p k σ 0.7 f p k
20 h p / h 0.50 h p / h 0.50
Table 8. Comparison of optimization objectives for three design schemes.
Table 8. Comparison of optimization objectives for three design schemes.
ParameterNSGA-IIIGDE3General Graph
C296,004.0172,046.9274,000.3
M168,173.9149,463.8168,665.5
S321,599.768,244.4183,261.3
δ c 8.03%−37.21%-
δ w −0.29%−11.38%-
δ s 75.49%−62.76%-
The unit of C is Chinese Yuan (CNY), the unit of M is N · m, and the unit of S is N · m2. δ c , δ w , δ s represent the rates of change of the three optimization objectives relative to the general graph, with positive values indicating an increase and negative values indicating a decrease.
Disclaimer/Publisher’s Note: The statements, opinions and data contained in all publications are solely those of the individual author(s) and contributor(s) and not of MDPI and/or the editor(s). MDPI and/or the editor(s) disclaim responsibility for any injury to people or property resulting from any ideas, methods, instructions or products referred to in the content.

Share and Cite

MDPI and ACS Style

Li, Z.; Qi, J.; Wang, J. Multi-Objective Optimization Design of PCS Box Girder Bridges with Small and Medium Spans Using Genetic Algorithms. Buildings 2025, 15, 361. https://doi.org/10.3390/buildings15030361

AMA Style

Li Z, Qi J, Wang J. Multi-Objective Optimization Design of PCS Box Girder Bridges with Small and Medium Spans Using Genetic Algorithms. Buildings. 2025; 15(3):361. https://doi.org/10.3390/buildings15030361

Chicago/Turabian Style

Li, Zhijie, Jianan Qi, and Jingquan Wang. 2025. "Multi-Objective Optimization Design of PCS Box Girder Bridges with Small and Medium Spans Using Genetic Algorithms" Buildings 15, no. 3: 361. https://doi.org/10.3390/buildings15030361

APA Style

Li, Z., Qi, J., & Wang, J. (2025). Multi-Objective Optimization Design of PCS Box Girder Bridges with Small and Medium Spans Using Genetic Algorithms. Buildings, 15(3), 361. https://doi.org/10.3390/buildings15030361

Note that from the first issue of 2016, this journal uses article numbers instead of page numbers. See further details here.

Article Metrics

Back to TopTop