Life Cycle Perspectives of Fixed and Operable Wooden Windows
Abstract
1. Introduction
- Quantify the relative contribution of window elements such as glazing, frame material, surface coatings, and aluminium cladding to overall impacts;
- Compare the environmental impacts of operable and fixed windows;
- Evaluate how coating amount and type influence embodied impacts;
- Identify design configurations that reduce environmental burdens in wood-based window systems.
2. Materials and Methods
2.1. General Inventory
2.2. Product Stage Modelling Assumptions
2.3. Characteristics of the Maintenance Modelling
2.4. Study Assumptions
- Influence of paint quantity
- 2.
- Influence of paint type
- 3.
- Addition of aluminium cladding
- 4.
- Comparison of operable and fixed windows
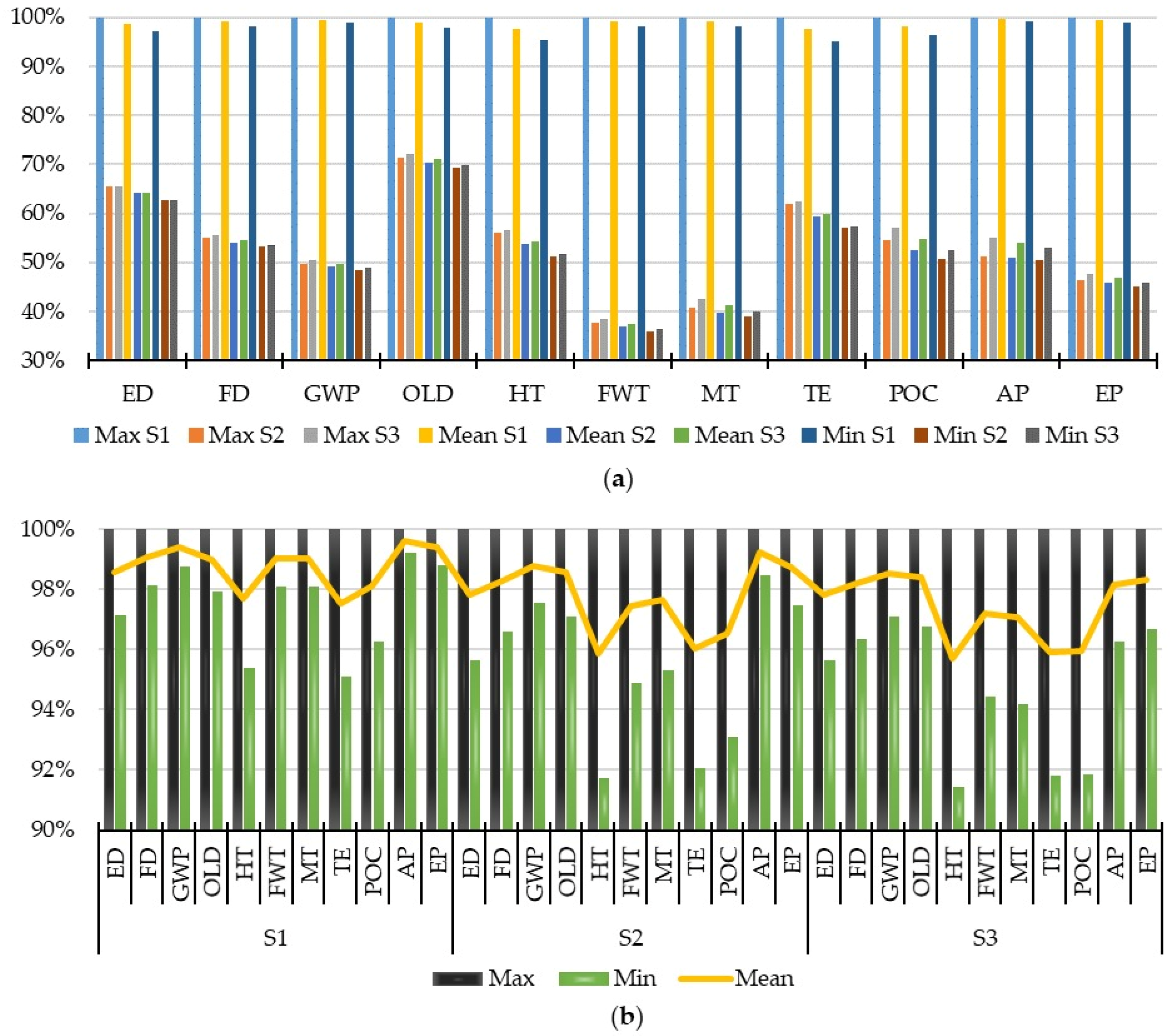
3. Results
3.1. Impact Comparison of the Production and Maintenance Stages
3.2. Influence of Coating System on Window Environmental Performance
3.3. Effect of Frame, Glazing and Varnish Components on Environmental Performance
4. Discussion
Limitations and Future Perspectives
5. Conclusions
Author Contributions
Funding
Data Availability Statement
Conflicts of Interest
Abbreviations
| RER | Rest of Europe dataset geographical coverage |
| GLO | Global dataset geographical coverage |
| Cut-Off | System model using allocation with a cut-off by classification |
| U | Unit dataset model applied |
Appendix A
| Part | Parameter | Dataset | Type of Data |
|---|---|---|---|
| Wood Frame | Wood | Glued solid timber {RER}|market for glued solid timber|Cut-off, U | Primary |
| Sealing | Synthetic rubber {GLO}|market for synthetic rubber|Cut-off, U | Primary | |
| Cladding | Aluminium, wrought alloy {GLO}|market for aluminium, wrought alloy|Cut-off, U | Primary | |
| Fixing | Steel, chromium steel 18/8, hot rolled {GLO}|market for steel, chromium steel 18/8, hot rolled|Cut-off, U | Primary | |
| Electricity and heat | Electricity, medium voltage {RER}|market group for electricity, medium voltage|Cut-off, U | Secondary | |
| Heat, central or small-scale, other than natural gas {RER}|market group for heat, central or small-scale, other than natural gas|Cut-off, U | Secondary | ||
| Other | Melamine formaldehyde resin {RER}|market for melamine formaldehyde resin|Cut-off, U | Secondary | |
| Packaging film, low density polyethylene {GLO}|market for packaging film, low density polyethylene|Cut-off, U | Secondary | ||
| Carbon dioxide, non-fossil, resource correction | Secondary | ||
| Triple Glazing | Glass | Flat glass, coated {RER}|market for flat glass, coated|Cut-off, U | Primary |
| Flat glass, uncoated {RER}|market for flat glass, uncoated|Cut-off, U | Primary | ||
| Sealing | Polysulfide, sealing compound {GLO}|market for polysulfide, sealing compound|Cut-off, U | Primary | |
| Spacer bar | Aluminium, wrought alloy {GLO}|market for aluminium, wrought alloy|Cut-off, U | Primary | |
| Desiccant | Zeolite, powder {GLO}|market for zeolite, powder|Cut-off, U | Primary | |
| Argon | Argon, liquid {RER}|market for argon, liquid|Cut-off, U | Primary | |
| Electricity and heat | Electricity, low voltage {RER}|market group for electricity, low voltage|Cut-off, U | Secondary | |
| Wastes | Waste glass {RER}|market group for waste glass|Cut-off, U | Secondary | |
| Wastewater, unpolluted {CH}|market for wastewater, unpolluted|Cut-off, U | Secondary | ||
| Varnish | First-layer | Acrylic varnish, with water, in 53% solution state {RER}|acrylic varnish production, with water, in 53% solution state|Cut-off, U—adjusted to be ethylene glycol and titanium dioxide free | Secondary |
| Second-layer | Acrylic varnish, with water, in 53% solution state {RER}|acrylic varnish production, with water, in 53% solution state|Cut-off, U—adjusted to be ethylene glycol and titanium dioxide free | Secondary | |
| Third-layer | Acrylic varnish, with water, in 53% solution state {RER}|acrylic varnish production, with water, in 53% solution state|Cut-off, U | Secondary | |
| Emissions | Ethylene glycol | Secondary | |
| Ammonia | Secondary | ||
| Butyl acrylate | Secondary | ||
| VOC, volatile organic compounds, unspecified origin | Secondary | ||
| Vinyl acetate | Secondary |
References
- Yang, F.; Yang, B.; Guo, X.Z.; Yang, T.G. Energy-saving doors and windows and current technology research status. New Build. Mater. 2012, 1056, 84–89. [Google Scholar]
- Marinello Jorba, V.; Palumbo, E.; del Rosario, P.; Traverso, M. Interpreting environmental impacts of wooden windows based on existing EPDs: An application in Italy. Energy Build. 2025, 326, 114987. [Google Scholar] [CrossRef]
- Arici, M.; Kan, M. An investigation of flow and conjugate heat transfer in multiple pane windows with respect to gap width, emissivity and gas filling. Renew. Energy 2015, 75, 249–256. [Google Scholar] [CrossRef]
- Grynning, S.; Gustavsen, A.; Time, B.; Jelle, B.P. Windows in the buildings of tomorrow: Energy losers or energy gainers? Energy Build. 2013, 61, 185–192. [Google Scholar] [CrossRef]
- Monteiro, H.; Freire, F.; Soares, N. Life cycle assessment of a south European house addressing building design options for orientation, window sizing and building shape. J. Build. Eng. 2021, 39, 102276. [Google Scholar] [CrossRef]
- Rabbani, M.; Tahti, O.; Essel Arthur, S.; Hopping, M.A.; Barile, C.J.; Hassan Karim, M.; Fahimi, A.; Vahidi, E. Assessing the environmental footprint of electrochromic windows: A comparative LCA with AI-based forecasting. RSC Sustain. 2025, 3, 5653–5664. [Google Scholar] [CrossRef]
- Kowalczyk, Z.; Twardowski, S.; Malinowski, M.; Kuboń, M. Life cycle assessment (LCA) and energy assessment of the production and use of windows in residential buildings. Sci. Rep. 2023, 13, 19752. [Google Scholar] [CrossRef]
- Sällström Eriksson, L.; Lidelöw, S. Maintaining or replacing a building’s windows: A comparative life cycle study. Int. J. Build. Pathol. 2024, 43, 766–786. [Google Scholar] [CrossRef]
- Pushkar, S. Life-cycle assessment of windows in Israel. Proc. Inst. Civ. Eng. Eng. Sustain. 2016, 171, 296–303. [Google Scholar] [CrossRef]
- European Aluminium. Environmental Profile Report 2024 v.2.0 Executive Summary. 2025. Available online: https://european-aluminium.eu/wp-content/uploads/2025/07/Environmental-Profile-Report_2024-V20.pdf (accessed on 26 November 2025).
- Nasiri, B.; Roy, S.; Hughes, M. Determining the quantity and quality of wood recovered from building demolitions to enable effective allocation. Eur. J. Wood Prod. 2025, 83, 33. [Google Scholar] [CrossRef]
- Geboes, E.; Galle, W.; De Temmerman, N. Make or break the loop: A cross-practitioners review of glass circularity. Glass Struct. Eng. 2023, 8, 193–210. [Google Scholar] [CrossRef]
- ISO 14040:2006; Environmental Management—Life Cycle Assessment—Principles and Framework. International Organization for Standardization: Geneva, Switzerland, 2006.
- Souviron, J.; van Moeseke, G.; Khan, A.Z. Analysing the environmental impact of windows: A review. Build. Environ. 2019, 161, 106268. [Google Scholar] [CrossRef]
- Salazar, J.; Sowlati, T. A review of life-cycle assessment of windows. For. Prod. J. 2008, 58, 91–96. [Google Scholar]
- Saadatian, S.; Freire, F.; Simões, N. Embodied impacts of window systems: A comparative assessment of framing and glazing alternatives. J. Build. Eng. 2021, 35, 102042. [Google Scholar] [CrossRef]
- Asif, M. An empirical study on life cycle assessment of double-glazed aluminium-clad timber windows. Int. J. Build. Pathol. 2019, 37, 547–564. [Google Scholar] [CrossRef]
- Agliata, R.; Di Giuseppe, E.; Favi, C.; Munafò, P. Technical and environmental analysis of an innovative window concept based on a hidden frame: Insights from a life cycle perspective. J. Clean. Prod. 2024, 485, 144424. [Google Scholar] [CrossRef]
- Feist, W.C.; Hon, D. The chemistry of solid wood. In Chemistry of Weathering and Protection; Rowel, R., Ed.; American Chemical Society: Washington, DC, USA, 1984; pp. 401–450. [Google Scholar]
- Yildiz, S.; Tomak, E.D.; Yildiz, U.C.; Ustaomer, D. Effect of artificial weathering on the properties of heat treated wood. Polym. Degrad. Stab. 2013, 98, 1419–1427. [Google Scholar] [CrossRef]
- Vidmar, G.; Repič, R.; Lesar, B.; Humar, M. Crack size in coating and moisture problems comparing thermally modified and native spruce window frame profiles using hygrothermal simulations. Eur. J. Wood Prod. 2024, 82, 2109–2119. [Google Scholar] [CrossRef]
- Wang, Z.; Yao, L.; Shi, Y.; Zhao, D.; Chen, T. Optimizing the Performance of Window Frames: A Comprehensive Review of Materials in China. Appl. Sci. 2024, 14, 6091. [Google Scholar] [CrossRef]
- Sandin, G.A.; Peters, G.; Svanström, M.; Pilgård, A.; Ahniyaz, A.; Fornara, A.; Johansson Salazar-Sandoval, E.; Xu, Y. Environmental evaluation of a clear coating for wood: Toxicological testing and life cycle assessment. In Proceedings of the PRA’s 8th International Woodcoatings Congress, Amsterdam, The Netherlands, 30–31 October 2012. [Google Scholar]
- Strömberg, L. Integrated life-cycle design of coatings on exterior wood: Part 2: Life-cycle assessment. Surf. Coat. Int. Part B Coat. Trans. 2004, 87, 211–220. [Google Scholar] [CrossRef]
- Raoufi, F.; Montazeri, S.; Rastegar, S.; Asadi, S.; Ranjbar, Z. Optimizing thermal insulation of waterborne acrylic coatings through controlled integration of hydrophobic silica aerogel: Experimental insights and advanced modeling. J. Mater. Res. Technol. 2025, 38, 5630–5638. [Google Scholar] [CrossRef]
- Karimzadeh, Z.; Shariatinia, Z. Environmental wood protection against fire, swelling, and degradation using acrylic paint coatings containing ZrO2 nanoparticle. Mater. Today Commun. 2025, 47, 112981. [Google Scholar] [CrossRef]
- Puyadena, M.; Etxeberria, I.; Martin, L.; Mugica, A.; Agirre, A.; Cobos, M.; Gonzalez, A.; Barrio, A.; Irusta, L. Polyurethane/acrylic hybrid dispersions containing phosphorus reactive flame retardants as transparent coatings for wood. Prog. Org. Coat. 2022, 170, 107005. [Google Scholar] [CrossRef]
- Búryová, D.; Sedlák, P. Life Cycle Assessment of Coated and Thermally Modified Wood Façades. Coatings 2021, 11, 1487. [Google Scholar] [CrossRef]
- Menzies, G. Life Cycle Assessment of Timber, Modified Timber and Aluminium-Clad Timber Windows; Institute for Building and Urban Design, Heriot Watt University: Edinburgh, UK, 2013; 24p. [Google Scholar]
- Wernet, G.; Bauer, C.; Steubing, B.; Reinhard, J.; Moreno-Ruiz, E.; Weidema, B. The ecoinvent database version 3 (part I): Overview and methodology. Int. J. LCA 2016, 21, 1218–1230. Available online: http://link.springer.com/10.1007/s11367-016-1087-8 (accessed on 9 October 2025). [CrossRef]
- Goedkoop, M.; Oele, M.; Leijting, J.; Ponsioen, T.; Meijer, E. Introduction to LCA with SimaPro; PRé Consultants: Amersfoort, The Netherlands, 2013; 80p, Available online: https://pre-sustainability.com/files/2014/05/SimaPro8IntroductionToLCA.pdf (accessed on 20 October 2025).
- de Bruijn, J.A.; Gorrée, M.; Heijungs, R.; Huppes, G.; Kleijn, E.G.M.; Sleeswijk, A.W.; de Haes, H.U.; van Duin, J.H.R.; Huijbregts, M.A.J. Handbook on Life Cycle Assessment: Operational Guide to the ISO Standards; Kluwer Academic Publishers: Dordrecht, The Netherlands; Boston, MA, USA, 2002; p. 390. [Google Scholar]
- EN 15804:2012+A2:2019; Sustainability of Construction Works—Environmental Product Declarations—Core Rules for the Product Category of Construction Products. iTeh Standards: Newark, NJ, USA, 2019.
- EN 338:2016; Structural Timber. Strength Classes. iTeh Standards: Newark, NJ, USA, 2016.
- GEOMET Technologies, Inc. Wall Paint Exposure Model (WPEM) Version 3.2 User’s Guide; GEOMET Technologies, Inc.: Germantown, MD, USA, 2001. Available online: https://www.epa.gov/sites/default/files/2015-05/documents/wpemman_0.pdf (accessed on 20 October 2025).
- Neumann, D.; Wienbrenner, U.; Hestermann, U.; Rongen, L. Frick/Knöll Baukonstructionslehre 1, 34th ed.; Vieweg + Teubner Verlag: Wiesbaden, Germany, 2006. [Google Scholar] [CrossRef]
- Dinh, T.V.; Kim, S.Y.; Son, Y.S.; Choi, I.Y.; Park, S.R.; Sunwoo, Y.; Kim, J.C. Emission characteristics of VOCs emitted from consumer and commercial products and their ozone formation potential. Environ. Sci. Pollut. Res. 2015, 22, 9345–9355. [Google Scholar] [CrossRef] [PubMed]
- Zhou, X.; Zhou, X.; Wang, C.; Zhou, H. Environmental and human health impacts of volatile organic compounds: A perspective review. Chemosphere 2023, 313, 137489. [Google Scholar] [CrossRef] [PubMed]
- Grüll, G.; Truskaller, M.; Podgorski, L.; Bollmus, S.; Tscherne, F. Maintenance procedures and definition of limit states for exterior wood coatings. Eur. J. Wood Prod. 2011, 69, 443–450. [Google Scholar] [CrossRef]
- U.S. Department of Housing and Urban Development. Durability by Design: A Guide for Residential Builders and Designers, 1st ed.; U.S. Department of Housing and Urban Development: Washington, DC, USA, 2002. Available online: https://www.huduser.gov/portal/Publications/pdf/durability_by_design.pdf (accessed on 28 November 2025).
- Bonales-Revuelta, J.; Musule, R.; Navarro-Pineda, F.S.; García, C.A. Evaluating the environmental performance of orange production in Veracruz, Mexico: A life cycle assessment approach. J. Clean. Prod. 2022, 343, 131002. [Google Scholar] [CrossRef]
- Khadim, N.; Agliata, R.; Han, Q.; Mollo, L. From circularity to sustainability: Advancing the whole building circularity indicator with Life Cycle Assessment (WBCI-LCA). Build. Environ. 2025, 269, 112413. [Google Scholar] [CrossRef]
- Carlisle, S.; Friedlander, E. The influence of durability and recycling on life cycle impacts of window frame assemblies. Int. J. Life Cycle Assess. 2016, 21, 1645–1657. [Google Scholar] [CrossRef]






| Coating System | Amount Applied (g) | Operable Window | Fixed Window |
|---|---|---|---|
| First-layer varnish | Minimum | 396.1 | 199.5 |
| Mean | 435.7 | 181.4 | |
| Maximum | 475.3 | 217.6 | |
| Second-layer varnish | Minimum | 792.2 | 362.7 |
| Mean | 891.2 | 408.1 | |
| Maximum | 990.3 | 453.4 | |
| Third-layer varnish (option with or without paint) | Minimum | 1584.4 | 725.5 |
| Mean | 1980.5 | 906.8 | |
| Maximum | 2376.6 | 1088.2 |
| Dataset | Amount | Unit |
|---|---|---|
| Linseed oil | 0.59 | kg |
| Triethyl amine {GLO}|market for triethyl amine|Cut-off, U | 0.05 | kg |
| Chemical factory, organics {RER}|chemical factory construction, organics|Cut-off, U | 4 × 10−10 | p |
| Ethanol, without water, in 95% solution state, from fermentation {RoW}|market for ethanol, without water, in 95% solution state, from fermentation|Cut-off, U | 0.05 | kg |
| Titanium dioxide {RER}|market for titanium dioxide|Cut-off, U | 0.26 | kg |
| Glycerine {RER}|market for glycerine|Cut-off, U | 0.05 | kg |
| Electricity, medium voltage {RER}|market group for electricity, medium voltage|Cut-off, U | 0.3 | kWh |
| Ethanol emissions to the air | 25% of applied amount | |
| Triethylamine emissions to air | ||
| Impact Category | Unit | Impact Value | Stage/Highest Impact | |
|---|---|---|---|---|
| ED | Elements’ depletion | g Sb eq | 1.08 | A1–A3 Operable window/Scenario 1 |
| FD | Fossils’ depletion | GJ | 2.30 | |
| GWP | Global warming potential | kg CO2 eq | 213.56 | |
| OLD | Ozone layer depletion | mg CFC-11 eq | 2.11 | |
| HT | Human toxicity | kg 1,4-DB eq | 600.09 | |
| FWT | Freshwater toxicity | kg 1,4-DB eq | 238.80 | |
| MT | Marine toxicity | t 1,4-DB eq | 623.88 | |
| TE | Terrestrial ecotoxicity | kg 1,4-DB eq | 10.56 | B2 Operable window/Natural varnish |
| POC | Photochemical ozone creation | g C2H4 eq | 178.89 | |
| AP | Acidification potential | kg SO2 eq | 1.25 | A1–A3 Operable window/Scenario 1 |
| EP | Eutrophication potential | kg PO43− eq | 0.39 | |
Disclaimer/Publisher’s Note: The statements, opinions and data contained in all publications are solely those of the individual author(s) and contributor(s) and not of MDPI and/or the editor(s). MDPI and/or the editor(s) disclaim responsibility for any injury to people or property resulting from any ideas, methods, instructions or products referred to in the content. |
© 2025 by the authors. Licensee MDPI, Basel, Switzerland. This article is an open access article distributed under the terms and conditions of the Creative Commons Attribution (CC BY) license (https://creativecommons.org/licenses/by/4.0/).
Share and Cite
Búryová, D.; Vaňová, R.; Gregor, M.; Uhrín, R.; Sedlák, P. Life Cycle Perspectives of Fixed and Operable Wooden Windows. Buildings 2025, 15, 4490. https://doi.org/10.3390/buildings15244490
Búryová D, Vaňová R, Gregor M, Uhrín R, Sedlák P. Life Cycle Perspectives of Fixed and Operable Wooden Windows. Buildings. 2025; 15(24):4490. https://doi.org/10.3390/buildings15244490
Chicago/Turabian StyleBúryová, Dominika, Rozália Vaňová, Michal Gregor, Róbert Uhrín, and Pavol Sedlák. 2025. "Life Cycle Perspectives of Fixed and Operable Wooden Windows" Buildings 15, no. 24: 4490. https://doi.org/10.3390/buildings15244490
APA StyleBúryová, D., Vaňová, R., Gregor, M., Uhrín, R., & Sedlák, P. (2025). Life Cycle Perspectives of Fixed and Operable Wooden Windows. Buildings, 15(24), 4490. https://doi.org/10.3390/buildings15244490

