Occupant-Centric Control of Split Air Conditioners, Personal Desktop Fans and Lights Based on Wi-Fi Probe Technology
Abstract
1. Introduction
2. Methodology
2.1. Experimental Setting and Data Collection
2.1.1. Overview of the Case Room and Experimental Devices
2.1.2. Collection of Wi-Fi Signal Data
2.2. Occupancy Detection Model Development
2.2.1. Occupancy Detection Modeling Based on CNN-GBC-RF
2.2.2. Model Performance Evaluation
2.3. Control System Establishment
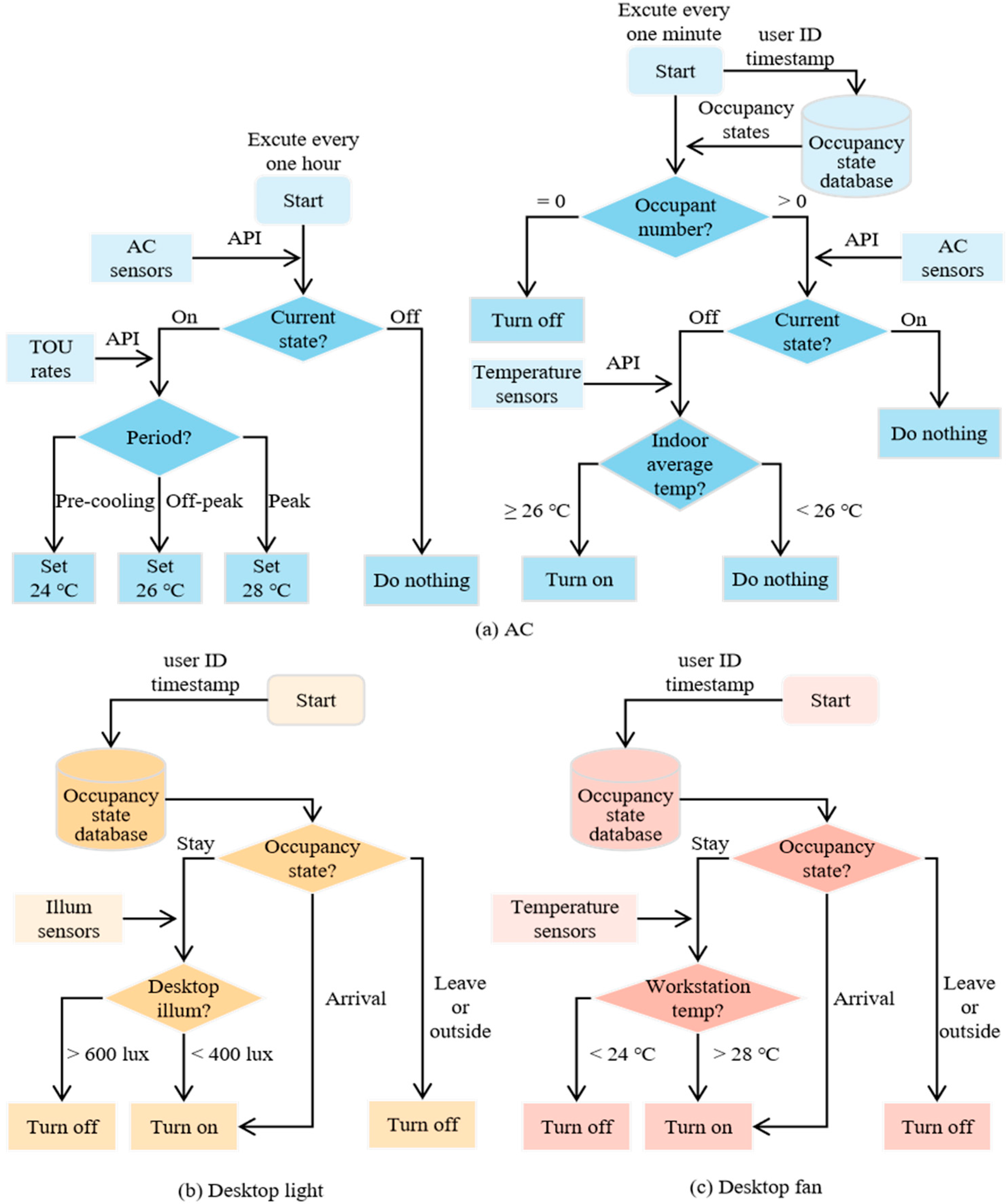
2.3.1. Workflow of the Control System
2.3.2. Control Scenarios
- (1)
- Baseline scenario
- (2)
- OCC scenario
2.4. Result Evaluation
2.4.1. Cooling Degree-Day Normalization
2.4.2. Statistical Analysis
2.4.3. Subjective Occupant Feedback
3. Results
3.1. Accuracy of the CNN-GBC Model
3.2. Practical Performance of the CNN-GBC-RF Model
3.2.1. The Signal Loss During Real Operation
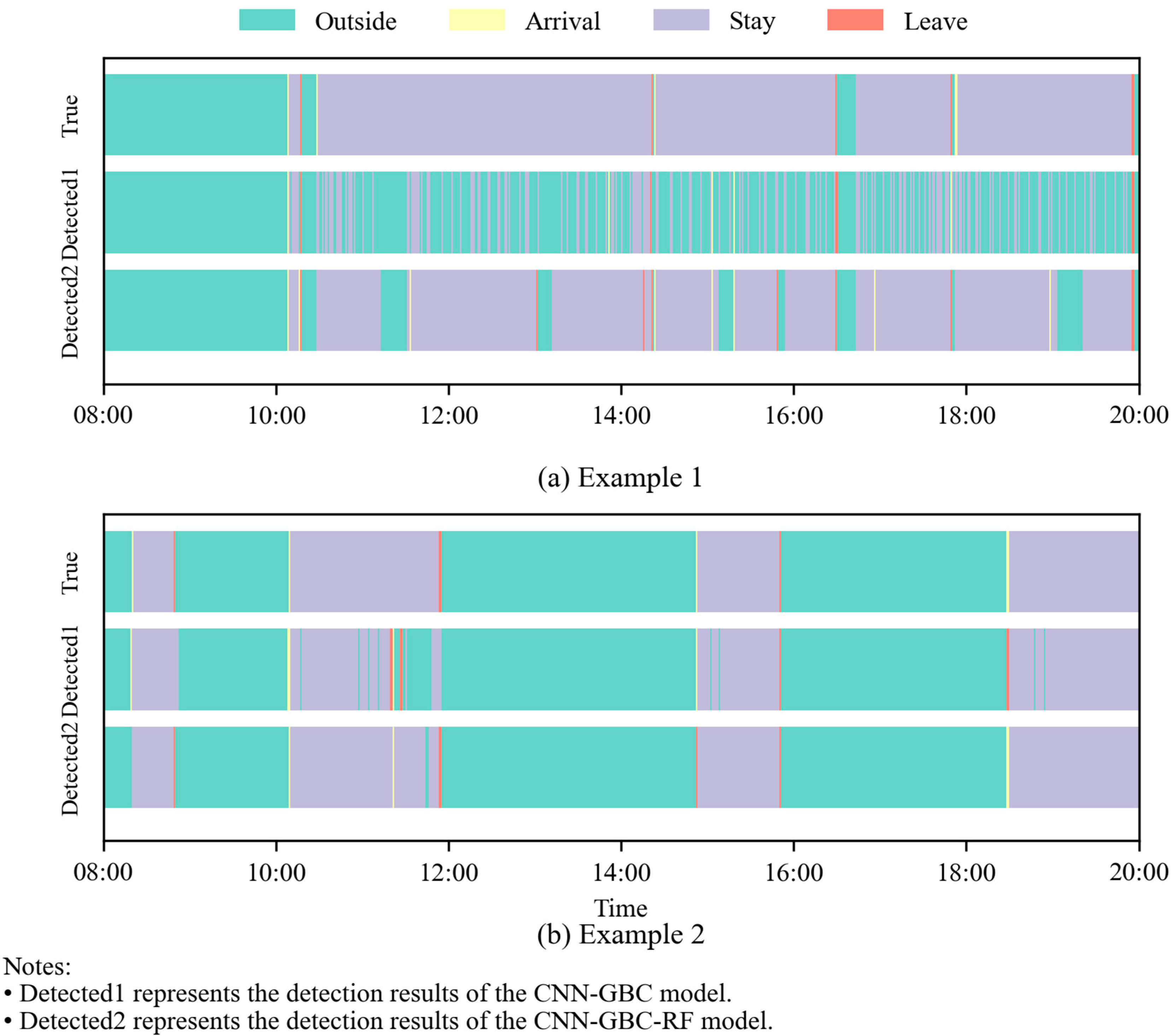
3.2.2. Integration of RF Model with CNN-GBC Model to Solve Signal Loss Problem
3.2.3. The Comparison of the CNN-GBC Model and the CNN-GBC-RF Model
3.3. Experimental Results from OCC and Baseline Scenarios
3.3.1. Effectiveness of AC Switch and Setpoint Control
3.3.2. Effectiveness of Desktop Lights and Fans Control
3.3.3. AC Energy Consumption Analysis
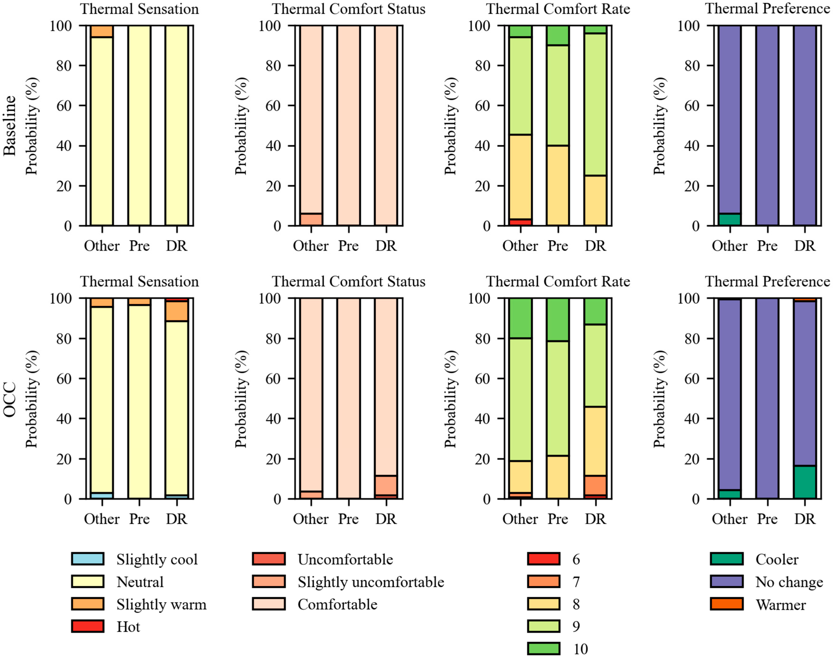
3.3.4. Thermal Comfort Analysis
3.3.5. Overall Performance of the OCC Scenario
4. Discussion
5. Conclusions
- This study improved the occupancy detection model by incorporating a RF model. During real operation, the improved CNN-GBC-RF model achieved a robust overall accuracy of 97.0%, demonstrating that the introduction of the RF model effectively enhances the occupancy detection.
- This study developed an IoT-enabled online control system, incorporating an occupancy detection model. The system achieved an 84.6% accuracy in switching the AC on or off, and a 96.7% accuracy in setting the AC temperature. After the occupants left, the probabilities of turning off the desktop lights and desktop fans were 81.8% and 88.4%, respectively. These results indicate that the control system is capable of switching off devices when occupants are absent to achieve energy savings.
- Compared to the baseline scenario, the proposed OCC scenario achieves an energy-saving rate of 39.9%, a cost-saving rate of 41.6%, and a similar thermal comfort level. These results indicate that the online control system contributes to improving building energy efficiency while maintaining the occupant thermal comfort.
Author Contributions
Funding
Institutional Review Board Statement
Informed Consent Statement
Data Availability Statement
Acknowledgments
Conflicts of Interest
References
- Hu, S.; Zhang, Y.; Yang, Z.; Yan, D.; Jiang, Y. Challenges and Opportunities for Carbon Neutrality in China’s Building Sector—Modelling and Data. Build. Simul. 2022, 15, 1899–1921. [Google Scholar] [CrossRef]
- Lima Azevedo, I.; Morgan, M.G.; Palmer, K.; Lave, L.B. Reducing U.S. Residential Energy Use and CO2 Emissions: How Much, How Soon, and at What Cost? Environ. Sci. Technol. 2013, 47, 2502–2511. [Google Scholar] [CrossRef]
- Meimand, M.; Jazizadeh, F. A Personal Touch to Demand Response: An Occupant-Centric Control Strategy for HVAC Systems Using Personalized Comfort Models. Energy Build. 2024, 303, 113769. [Google Scholar] [CrossRef]
- Xu, D.; Zhong, F.; Bai, Z.; Wu, Z.; Yang, X.; Gao, M. Real-Time Multi-Energy Demand Response for High-Renewable Buildings. Energy Build. 2023, 281, 112764. [Google Scholar] [CrossRef]
- Hu, M.; Xiao, F.; Wang, L. Investigation of Demand Response Potentials of Residential Air Conditioners in Smart Grids Using Grey-Box Room Thermal Model. Appl. Energy 2017, 207, 324–335. [Google Scholar] [CrossRef]
- Peng, C.; Chen, Z.; Yang, J.; Liu, Z.; Yan, D.; Chen, Y. Assessment of Electricity Consumption Reduction Potential for City-Scale Buildings under Different Demand Response Strategies. Energy Build. 2023, 297, 113473. [Google Scholar] [CrossRef]
- You, Z.; Sun, Y.; Mo, S.; Zou, W.; Zhang, X.; Gao, D. Experimental Evaluation of the Effects of Passive Phase Change Material Walls on the Building Demand Response for Smart Grid Applications. Buildings 2022, 12, 1830. [Google Scholar] [CrossRef]
- Sun, Y.; Zhao, T.; Lyu, S. Model-Based Investigation on Building Thermal Mass Utilization and Flexibility Enhancement of Air Conditioning Loads. Build. Simul. 2024, 17, 1289–1308. [Google Scholar] [CrossRef]
- Nelson, J.; Johnson, N.G.; Chinimilli, P.T.; Zhang, W. Residential Cooling Using Separated and Coupled Precooling and Thermal Energy Storage Strategies. Appl. Energy 2019, 252, 113414. [Google Scholar] [CrossRef]
- Dehwah, A.H.A.; Krarti, M. Performance of Precooling Strategies Using Switchable Insulation Systems for Commercial Buildings. Appl. Energy 2021, 303, 117631. [Google Scholar] [CrossRef]
- Jiang, Y.; Andrew Ejenakevwe, K.; Wang, J.; Tang, C.Y.; Song, L. Development, Implementation, and Impact Analysis of Model Predictive Control-Based Optimal Precooling Using Smart Home Thermostats. Energy Build. 2024, 303, 113790. [Google Scholar] [CrossRef]
- Hong, T.; Yan, D.; D’Oca, S.; Chen, C. fei Ten Questions Concerning Occupant Behavior in Buildings: The Big Picture. Build. Environ. 2017, 114, 518–530. [Google Scholar] [CrossRef]
- Yuan, Y.; Song, C.; Gao, L.; Zeng, K.; Chen, Y. A Review of Current Research on Occupant-Centric Control for Improving Comfort and Energy Efficiency. Build. Simul. 2024, 17, 1675–1692. [Google Scholar] [CrossRef]
- Yuan, Y.; Gao, L.; Zeng, K.; Chen, Y. Space-Level Air Conditioner Electricity Consumption and Occupant Behavior Analysis on a University Campus. Energy Build. 2023, 300, 113646. [Google Scholar] [CrossRef]
- Um-e-Habiba; Ahmed, I.; Asif, M.; Alhelou, H.H.; Khalid, M. A Review on Enhancing Energy Efficiency and Adaptability through System Integration for Smart Buildings. J. Build. Eng. 2024, 89, 109354. [Google Scholar] [CrossRef]
- Yuan, Y.; Song, C.; Zeng, K.; Gao, L.; Huang, Y.; Chen, Y. An Occupant-Centric Control Case Study Based on Internet of Things and Data Mining for an Office Space. J. Build. Eng. 2025, 101, 111925. [Google Scholar] [CrossRef]
- Mahmud, A.; Dhrubo, E.A.; Ahmed, S.S.; Chowdhury, A.H.; Hossain, M.F.; Rahman, H.; Masood, N.-A. Energy Conservation for Existing Cooling and Lighting Loads. Energy 2022, 255, 124588. [Google Scholar] [CrossRef]
- He, L.; Liu, Y.; Zhang, J. An Occupancy-Informed Customized Price Design for Consumers: A Stackelberg Game Approach. IEEE Trans. Smart Grid 2022, 13, 1988–1999. [Google Scholar] [CrossRef]
- Sun, K. DMFF: Deep Multimodel Feature Fusion for Building Occupancy Detection. Build. Environ. 2024, 253, 111355. [Google Scholar] [CrossRef]
- Tan, S.Y.; Jacoby, M.; Saha, H.; Florita, A.; Henze, G.; Sarkar, S. Multimodal Sensor Fusion Framework for Residential Building Occupancy Detection. Energy Build. 2022, 258, 111828. [Google Scholar] [CrossRef]
- Li, L.; Li, X.; Yang, Y.; Dong, J. Indoor Tracking Trajectory Data Similarity Analysis with a Deep Convolutional Autoencoder. Sustain. Cities Soc. 2019, 45, 588–595. [Google Scholar] [CrossRef]
- Jin, Y.; Yan, D.; Zhang, X.; An, J.; Han, M. A Data-Driven Model Predictive Control for Lighting System Based on Historical Occupancy in an Office Building: Methodology Development. Build. Simul. 2021, 14, 219–235. [Google Scholar] [CrossRef]
- Banihashemi, F.; Weber, M.; Deghim, F.; Zong, C.; Lang, W. Occupancy Modeling on Non-Intrusive Indoor Environmental Data through Machine Learning. Build. Environ. 2024, 254, 111382. [Google Scholar] [CrossRef]
- Wang, C.; Jiang, J.; Roth, T.; Nguyen, C.; Liu, Y.; Lee, H. Integrated Sensor Data Processing for Occupancy Detection in Residential Buildings. Energy Build. 2021, 237, 110810. [Google Scholar] [CrossRef]
- Salman, M.; Caceres-Najarro, L.A.; Seo, Y.D.; Noh, Y. WiSOM: WiFi-Enabled Self-Adaptive System for Monitoring the Occupancy in Smart Buildings. Energy 2024, 294, 130420. [Google Scholar] [CrossRef]
- Samareh Abolhassani, S.; Zandifar, A.; Ghourchian, N.; Amayri, M.; Bouguila, N.; Eicker, U. Occupant Counting Model Development for Urban Building Energy Modeling Using Commercial Off-the-Shelf Wi-Fi Sensing Technology. Build. Environ. 2024, 258, 111548. [Google Scholar] [CrossRef]
- Zou, H.; Zhou, Y.; Jiang, H.; Chien, S.-C.; Xie, L.; Spanos, C.J. WinLight: A WiFi-Based Occupancy-Driven Lighting Control System for Smart Building. Energy Build. 2018, 158, 924–938. [Google Scholar] [CrossRef]
- Wang, W.; Hong, T.; Li, N.; Wang, R.Q.; Chen, J. Linking Energy-Cyber-Physical Systems with Occupancy Prediction and Interpretation through WiFi Probe-Based Ensemble Classification. Appl. Energy 2019, 236, 55–69. [Google Scholar] [CrossRef]
- Gao, L.; Yuan, Y.; Xiao, L.; Li, W.; Qin, J.; Wu, J.; Chen, Y. Occupant-Based Control of Lighting System for Multi-Person Office Rooms Based on WiFi Probe Technology. Build. Environ. 2025, 269, 112421. [Google Scholar] [CrossRef]
- Tanasiev, V.; Pluteanu, Ș.; Necula, H.; Pătrașcu, R. Enhancing Monitoring and Control of an HVAC System through IoT. Energies 2022, 15, 924. [Google Scholar] [CrossRef]
- Carli, R.; Cavone, G.; Othman, S.B.; Dotoli, M. IoT Based Architecture for Model Predictive Control of HVAC Systems in Smart Buildings. Sensors 2020, 20, 781. [Google Scholar] [CrossRef] [PubMed]
- Li, W.; Li, H.; Wang, S. An Event-Driven Multi-Agent Based Distributed Optimal Control Strategy for HVAC Systems in IoT-Enabled Smart Buildings. Autom. Constr. 2021, 132, 103919. [Google Scholar] [CrossRef]
- Png, E.; Srinivasan, S.; Bekiroglu, K.; Chaoyang, J.; Su, R.; Poolla, K. An Internet of Things Upgrade for Smart and Scalable Heating, Ventilation and Air-Conditioning Control in Commercial Buildings. Appl. Energy 2019, 239, 408–424. [Google Scholar] [CrossRef]
- Malkawi, A.; Ervin, S.; Han, X.; Chen, E.X.; Lim, S.; Ampanavos, S.; Howard, P. Design and Applications of an IoT Architecture for Data-Driven Smart Building Operations and Experimentation. Energy Build. 2023, 295, 113291. [Google Scholar] [CrossRef]
- Zhang, X.; Pipattanasomporn, M.; Chen, T.; Rahman, S. An IoT-Based Thermal Model Learning Framework for Smart Buildings. IEEE Internet Things J. 2020, 7, 518–527. [Google Scholar] [CrossRef]
- ASHRAE Standard 55; Thermal Environmental Conditions for Human Occupancy. American Society of Heating, Refrigerating and Air-Conditioning Engineers (ASHRAE): Atlanta, GA, USA, 2017.
- Wang, J.; Wei, Z.; Zhu, Y.; Zheng, C.; Li, B.; Zhai, X. Demand Response via Optimal Pre-Cooling Combined with Temperature Reset Strategy for Air Conditioning System: A Case Study of Office Building. Energy 2023, 282, 128751. [Google Scholar] [CrossRef]
- Wang, N.; Makhmalbaf, A.; Srivastava, V.; Hathaway, J.E. Simulation-Based Coefficients for Adjusting Climate Impact on Energy Consumption of Commercial Buildings. Build. Simul. 2017, 10, 309–322. [Google Scholar] [CrossRef]
- Wang, Y.; Han, Y.; Wu, Y.; Korkina, E.; Zhou, Z.; Gagarin, V. An Occupant-Centric Adaptive Façade Based on Real-Time and Contactless Glare and Thermal Discomfort Estimation Using Deep Learning Algorithm. Build. Environ. 2022, 214, 108907. [Google Scholar] [CrossRef]
- Chen, Y.; Raphael, B.; Sekhar, S.C. Experimental and Simulated Energy Performance of a Personalized Ventilation System with Individual Airflow Control in a Hot and Humid Climate. Build. Environ. 2016, 96, 283–292. [Google Scholar] [CrossRef]
















| Reference | Occupancy Type | Controlled Device | Type |
|---|---|---|---|
| Sun et al. [19], Tan et al. [20] | Presence | No | Intrusive |
| Li et al. [21] | Location | No | |
| Banihashemi et al. and Wang et al. [23,24] | Presence | No | Non-intrusive |
| Salman et al. [25] | Presence | No | |
| Abolhassani et al. [26] | Occupant numbers | No | |
| Zou et al. [27] | Presence and location | Lighting | |
| Wang et al. [28] | Occupant numbers | HVAC systems | |
| Gao et al. [29] | Enter, stay, and leave | Lighting |
| Device | Number | Function | Installation Location |
|---|---|---|---|
| Temperature and humidity sensor | 8 | Monitor environmental temperature and humidity data | Workstation |
| Illuminance sensor | 8 | Monitor the desktop illuminance | Desk |
| Air conditioner companion | 3 | Monitor the power consumption and control the operation of the AC | Plug |
| Desktop light | 8 | Adjust the desktop illuminance | Workstation |
| Personal desktop fan | 8 | Deliver air to the workstation | Workstation |
| Wireless switch | 8 | Enable occupants to manually override device controls | Desk |
| Camera | 1 | Record ground-truth occupancy states | Door |
| Wi-Fi probes | 10 | Collect Wi-Fi signal data | Wall |
| Outdoor weather station | 1 | Collect the historical outdoor weather parameters | Rooftop |
| Labels | Arrival | Stay | Leave | Outside | Total |
|---|---|---|---|---|---|
| Number | 914 | 3260 | 1200 | 1689 | 7063 |
| Tariff Type | Time | Electricity Price (RMB/kWh) |
|---|---|---|
| Valley | 0:00–7:00 23:00–24:00 | 0.345 |
| Flat | 7:00–11:00 14:00–18:00 | 0.801 |
| Peak | 11:00–14:00 22:00–23:00 | 1.254 |
| Critical peak | 18:00–22:00 | 1.496 |
| No. | Questions | Responses |
|---|---|---|
| 1 | What is your position number? | 1 to 8 |
| 2 | What is your current thermal sensation? | Hot, warm, slightly warm, neutral, cool, cold |
| 3 | What is your current thermal comfort state? | Comfortable, slightly uncomfortable, uncomfortable, very uncomfortable, intolerable |
| 4 | Please rate the current thermal environment. | 1 to 10 |
| 5 | What is your current thermal preference? | Warmer, no change, cooler |
| Position | Number of Signal Loss | Occupied Hours | Signal Loss Rate/ (Times per Hour) |
|---|---|---|---|
| 1 | 336 | 50.4 | 6.67 |
| 2 | 250 | 5.77 | 43.33 |
| 3 | 40 | 47.62 | 0.84 |
| 4 | 1121 | 25.68 | 43.65 |
| 5 | 35 | 30.63 | 1.14 |
| 6 | 48 | 39.58 | 1.21 |
| 7 | 1817 | 40.45 | 44.92 |
| 8 | 21 | 25.65 | 0.82 |
| Total | 3668 | 265.78 | 13.80 |
| Position | Signal Loss Detected as Stay | Signal Loss Detected as Outside | True Outside Detected as Stay | True Outside Detected as Outside |
|---|---|---|---|---|
| 1 | 307 | 29 | 74 | 2288 |
| 2 | 220 | 30 | 34 | 5020 |
| 3 | 39 | 4 | 20 | 2514 |
| 4 | 821 | 298 | 53 | 3786 |
| 5 | 33 | 4 | 107 | 3438 |
| 6 | 45 | 5 | 35 | 2979 |
| 7 | 1535 | 277 | 73 | 2872 |
| 8 | 20 | 1 | 63 | 3788 |
| Total | 3020 | 648 | 459 | 26,685 |
| Turn on When First Arrival | Turn off When Last Departure | Turn off (Occupied to Unoccupied) | Turn on (Unoccupied to Occupied) | |
|---|---|---|---|---|
| Expected times | 10 | 10 | 3 | 3 |
| Actual times | 6 | 10 | 3 | 3 |
| Expected Setpoint | Actual Setpoint | |||
|---|---|---|---|---|
| 24 °C | 26 °C | 28 °C | 30 °C | |
| 24 °C | 4 | 1 | 0 | 0 |
| 26 °C | 1 | 63 | 0 | 2 |
| 28 °C | 0 | 1 | 21 | 0 |
| 30 °C | 0 | 3 | 0 | 144 |
| Position | E < 400 lux (Occupied) | 400 lux < E < 600 lux (Occupied) | E > 600 lux (Occupied) | Unoccupied | |||
|---|---|---|---|---|---|---|---|
| Observed Hours | Hours of on | Observed Hours | Observed Hours | Hours of off | Observed Hours | Hours of off | |
| 1 | 5.2 | 0.5 | 39.4 | 5.8 | 1.7 | 189.6 | 150.1 |
| 2 | 0.6 | 0.2 | 5.1 | 0.0 | 0.0 | 234.2 | 206.2 |
| 3 | 21.0 | 19.3 | 26.3 | 0.4 | 0.1 | 192.4 | 152.6 |
| 4 | 23.5 | 22.2 | 2.2 | 0.0 | 0.0 | 214.3 | 173.3 |
| 5 | 21.1 | 20.9 | 9.6 | 0.0 | 0.0 | 209.4 | 169.8 |
| 6 | 37.2 | 36.9 | 2.4 | 0.0 | 0.0 | 200.4 | 159.9 |
| 7 | 14.7 | 3.6 | 18.9 | 6.9 | 2.1 | 199.6 | 161.0 |
| 8 | 22.2 | 22.1 | 3.5 | 0.0 | 0.0 | 214.4 | 180.5 |
| Total | 145.5 | 125.6 | 107.2 | 13.1 | 3.9 | 1654.2 | 1353.5 |
| Position | T < 24 °C (Occupied) | 24 °C < T < 28 °C (Occupied) | T > 28 °C (Occupied) | Unoccupied | |||
|---|---|---|---|---|---|---|---|
| Observed Hours | Hours of off | Observed Hours | Observed Hours | Hours of on | Observed Hours | Hours of off | |
| 1 | 0.0 | 0.0 | 42.0 | 8.4 | 6.9 | 189.6 | 160.4 |
| 2 | 0.0 | 0.0 | 3.8 | 2.0 | 2.0 | 234.2 | 225.4 |
| 3 | 0.0 | 0.0 | 39.6 | 8.0 | 6.5 | 192.4 | 161.8 |
| 4 | 0.0 | 0.0 | 25.7 | 0.0 | 0.0 | 214.3 | 188.8 |
| 5 | 0.0 | 0.0 | 30.2 | 0.5 | 0.0 | 209.4 | 186.6 |
| 6 | 0.0 | 0.0 | 38.3 | 1.3 | 1.3 | 200.4 | 175.7 |
| 7 | 0.0 | 0.0 | 28.8 | 11.6 | 9.4 | 199.6 | 174.7 |
| 8 | 0.0 | 0.0 | 25.7 | 0.0 | 0.0 | 214.4 | 187.9 |
| Total | 0.0 | 0.0 | 234.0 | 31.8 | 26.1 | 1654.2 | 1461.5 |
| Scenario | Energy Consumption kWh/(°C·Day) | Electricity Cost RMB/(°C·Day) | Average Thermal Comfort Rates |
|---|---|---|---|
| Baseline | 39.95 | 41.59 | 8.66 |
| OCC | 23.98 | 24.28 | 8.86 |
| Difference | 39.9% | 41.6% | 2.3% |
Disclaimer/Publisher’s Note: The statements, opinions and data contained in all publications are solely those of the individual author(s) and contributor(s) and not of MDPI and/or the editor(s). MDPI and/or the editor(s) disclaim responsibility for any injury to people or property resulting from any ideas, methods, instructions or products referred to in the content. |
© 2025 by the authors. Licensee MDPI, Basel, Switzerland. This article is an open access article distributed under the terms and conditions of the Creative Commons Attribution (CC BY) license (https://creativecommons.org/licenses/by/4.0/).
Share and Cite
Zeng, K.; Yuan, Y.; Gao, L.; Chen, Y. Occupant-Centric Control of Split Air Conditioners, Personal Desktop Fans and Lights Based on Wi-Fi Probe Technology. Buildings 2025, 15, 4285. https://doi.org/10.3390/buildings15234285
Zeng K, Yuan Y, Gao L, Chen Y. Occupant-Centric Control of Split Air Conditioners, Personal Desktop Fans and Lights Based on Wi-Fi Probe Technology. Buildings. 2025; 15(23):4285. https://doi.org/10.3390/buildings15234285
Chicago/Turabian StyleZeng, Kejun, Yue Yuan, Liying Gao, and Yixing Chen. 2025. "Occupant-Centric Control of Split Air Conditioners, Personal Desktop Fans and Lights Based on Wi-Fi Probe Technology" Buildings 15, no. 23: 4285. https://doi.org/10.3390/buildings15234285
APA StyleZeng, K., Yuan, Y., Gao, L., & Chen, Y. (2025). Occupant-Centric Control of Split Air Conditioners, Personal Desktop Fans and Lights Based on Wi-Fi Probe Technology. Buildings, 15(23), 4285. https://doi.org/10.3390/buildings15234285

