Impact of Water Content and Stone Content on the Shear Strength of Soil–Rock Mixtures: An Experimental Study
Abstract
1. Introduction
2. Large-Scale Direct Shear Tests of SRMs
2.1. Test Equipment
2.2. Selection of Raw Materials
2.3. Preparation of SRMs Samples
2.3.1. Preparation of Samples with Various Stone Contents
2.3.2. Preparation of Samples with Various Water Contents
2.3.3. Requirements for Preparation of SRMs Samples
2.4. Test Plan
3. Results and Analysis
3.1. Shear Stress–Shear Displacement Curves of SRMs
3.1.1. Shear Stress–Shear Displacement Curves Characterization Under Different Conditions
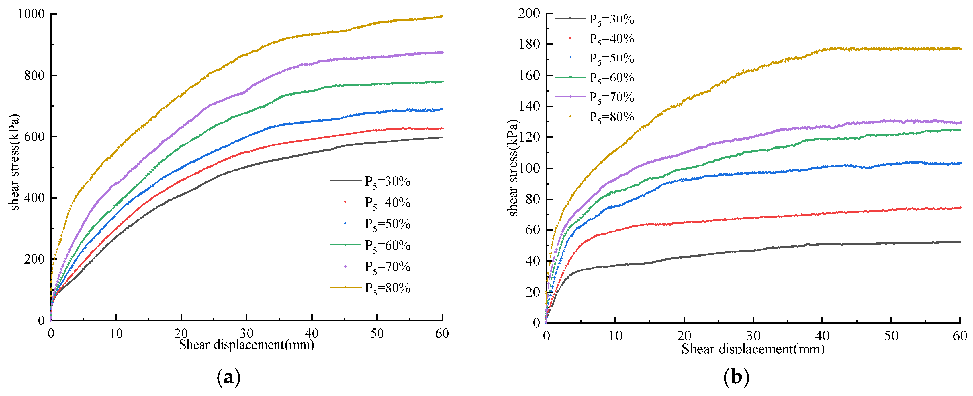
3.1.2. Impact of Stone Content on the Shear Stress–Shear Displacement Curve
3.1.3. Impact of Normal Stress on the Shear Stress–Shear Displacement Curve
3.1.4. Impact of Water Content on the Shear Stress–Shear Displacement Curve
3.2. Impact of Water Content and Stone Content on the Shear Strength of SRMs
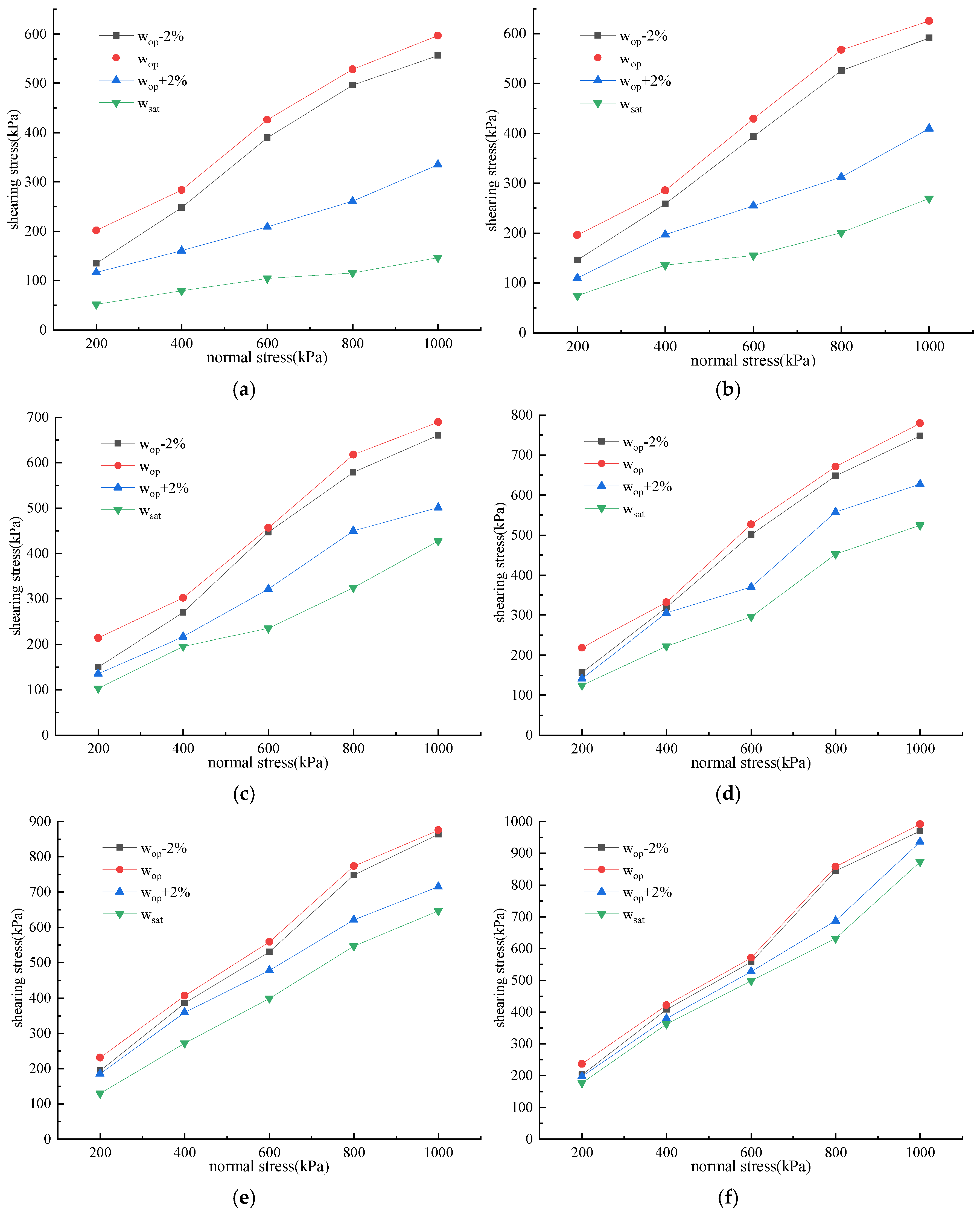
3.2.1. Impact of Stone Content on the Shear Strength of SRMs
3.2.2. Impact of Water Content on Coarse-Grained Soil Shear Strength
3.2.3. Shear Strength Constitutive Model for SRMs
3.3. Impact of Water Content and Stone Content on Internal Friction Angle of SRMs
3.4. Impact of Water Content and Stone Content on the Cohesion of SRMs
4. Conclusions
- (1)
- The SRM’s shear stress–shear displacement curves exhibited a similar trend across different conditions. The shear stress exhibited an increase in conjunction with the shear displacement. SRMs with higher stone content demonstrated a more rapid increase in shear stress, which was further accelerated under greater normal stress. Additionally, the shear stress demonstrated an initial increase that was then followed by a subsequent decrease as the water content rose. The presence of a higher stone content, coupled with increased normal stress, led to a more significant enhancement in shear stress relative to shear displacement.
- (2)
- The SRM’s shear strength increased with higher stone content under various conditions. At low normal stress levels, the shear strength displayed a gradual improvement with an increase in stone content. However, as normal stress increased, the rate and amplitude of shear strength exhibited a significant rise as stone content was elevated. The shear strength of the SRMs initially increased and subsequently decreased as the water content increased across different stone content levels. The shear strength peaked at optimal water content. The shear strength of SRMs characterized with higher stone content exhibited reduced sensitivity to variations in water content. The SRM’s shear strength aligned with the Mohr–Coulomb criterion.
- (3)
- The internal friction angle of the SRMs exhibited an increasing trend with elevated stone content across different water content conditions. Conversely, for SRMs with identical stone content, an elevation in water content resulted in a concomitant decrease in the internal friction angle. The SRMs that contained a lower percentage of stone exhibited a more pronounced reduction in internal friction angle, indicating a greater influence of water content on internal friction angle in these mixtures.
- (4)
- The cohesion of the SRMs decreased as the stone content increased, regardless of the water content conditions. The initial rise was succeeded by a drop as the water content grew, with the greatest decrease happening at the optimal water level. The cohesion of the SRMs containing low stone content was notably affected by the water content.
Author Contributions
Funding
Data Availability Statement
Conflicts of Interest
References
- You, X. Stochastic Structure Model of the Earth-Rock Aggretage and Its Application; Beijing Jiaotong University: Beijing, China, 2001. [Google Scholar]
- You, X.; Tang, J. Research on horizontal push-shear in-situ test of soil and rock-mixture. Chin. J. Rock Mech. Eng. 2002, 1537–1540. [Google Scholar]
- Xu, W.; Hu, R.; Tan, R. Some geomechanical properties of soil–rock mixtures in the Hutiao Gorge area, China. Géotechnique 2007, 57, 255–264. [Google Scholar] [CrossRef]
- Xu, W.; Hu, R.; Tan, R.; Zeng, R.; Yu, H. Study on field test of rock-soil aggregate on right band of longpan in tiger-leaping gorge area. Chin. J. Rock Mech. Eng. 2006, 25, 1270–1277. [Google Scholar] [CrossRef]
- Li, X.; Liao, Q.; He, J. In-situ tests and a stochastic structural model of rock and soil aggregate in the three gorges reservoir area, China. Int. J. Rock Mech. Min. Sci. 2004, 41, 702–707. [Google Scholar] [CrossRef]
- Li, X.; Liao, Q.; He, J.; Chen, J. Study on in-situ tests of mechanical characteristics on soil-rock aggregate. Chin. J. Rock Mech. Eng. 2007, 26, 2377–2384. [Google Scholar] [CrossRef]
- Coli, N.; Berry, P.; Boldini, D. In situ non-conventional shear tests for the mechanical characterisation of a bimrock. Int. J. Rock Mech. Min. Sci. 2011, 48, 95–102. [Google Scholar] [CrossRef]
- Savely, J.P. Determination of shear strength of conglomerates using a caterpillar D9 ripper and comparison with alternative methods. Geotech. Geol. Eng. 1990, 8, 203–225. [Google Scholar] [CrossRef]
- Zhang, Z.; Xu, W.; Xia, W.; Zhang, H. Large-scale in-situ test for mechanical characterization of soil–rock mixture used in an embankment dam. Int. J. Rock Mech. Min. Sci. 2016, 86, 317–322. [Google Scholar] [CrossRef]
- Hou, H.; Zhao, D.; Cai, X.; Chen, Z.; Li, S. Study on dilatancy characteristics of alluvial gravel soil in the secondary step of Yellow River. West-China Explor. Eng. 2006, 18, 22–24. [Google Scholar]
- Liu, L.; Mao, X.; Xiao, Y.; Wu, Q.; Nie, M. Effect of Water Content on Shear Characteristics of Landslide Deposit Subgrade Fillers. China J. Highw. Transp. 2020, 33, 126–135. [Google Scholar] [CrossRef]
- Jalili, J.; Jafari, M.K.; Shafiee, A.; Koseki, J.; Sato, T. An investigation on effect of inclusions on heterogeneity of stress, excess pore pressure and strain distribution in composite soils. Int. J. Civ. Eng. 2012, 10, 124–138. [Google Scholar]
- Du, C.; Han, T.; Fu, Y.; Meng, X.; Sun, D. Study of Shear Properties and Shear Model of Soil-Rock Mixture. PLoS ONE 2023, 18, 19. [Google Scholar] [CrossRef] [PubMed]
- Salimun, N.; Mohamad, H. Effect of Particle Gradation and Rock Block Content on Soil-Rock Mixture Shear Strength Parameters. Bull. Geol. Soc. Malays. 2024, 78, 29–37. [Google Scholar] [CrossRef]
- Salimun, N.; Mohamad, H. Investigation of Particle Gradation Effect on Soil-Rock Mixture Using Direct Shear Test. Int. J. Integr. Eng. 2024, 16, 23–30. [Google Scholar] [CrossRef]
- He, Z.; Zhang, J.; Sun, T. Influence of Maximum Particle Diameter on the Mechanical Behavior of Soil-Rock Mixtures. Adv. Civ. Eng. 2020, 2020, 8850221. [Google Scholar] [CrossRef]
- Li, T.; Tian, J.; Pei, X.; Guo, J.; Chen, M.; Yuan, X.; Meng, M. Shear Strength Indices Predication Model for Coarse-Grained Soil Based on Particle Gradation and Moisture Content Information. Bull. Eng. Geol. Environ. 2025, 84, 344. [Google Scholar] [CrossRef]
- Liu, G.; Wang, K.; Xia, Z. Experimental Study on Shear Properties and Resistivity Change of Soil-Rock Mixture. J. Mt. Sci. 2024, 21, 3930–3944. [Google Scholar] [CrossRef]
- Tang, J.; Xu, D.; Liu, H. Effect of gravel content on shear behavior of sand-gravel mixture. Rock Soil Mech. 2018, 39, 93–102. [Google Scholar] [CrossRef]
- Wang, J.; Cao, W.; Zhang, C.; Wang, H. Large-scale direct shear tests on soil-rock aggregate mixture under complicated environment based on orthogonal design. Chin. J. Geotech. Eng. 2013, 35, 1849–1856. [Google Scholar]
- Zhang, Y.; Lu, J.; Han, W.; Xiong, Y.; Qian, Q. Effects of Moisture and Stone Content on the Shear Strength Characteristics of Soil-Rock Mixture. Materials 2023, 16, 567. [Google Scholar] [CrossRef] [PubMed]
- Tian, H.; Xue, Y. Experimental Research on Shear Behavior of Soil-rock Mixture for Road Construction. Chin. J. Undergr. Space Eng. 2014, 10, 30–35. [Google Scholar] [CrossRef]
- Tu, Y.; Liu, X.; Ren, Q.; Cai, H.; Wang, J.; Yu, J. Effects of rock contents and particle breakage on strength characteristics of soil-rock aggregate. Rock Soil Mech. 2020, 41, 3919–3928. [Google Scholar] [CrossRef]
- Wang, S.; Zhu, Y.; Ma, W.; Li, G. Effects of rock block content and confining pressure on dynamic characteristics of Soil-Rock Mixtures. Eng. Geol. 2021, 280, 105963. [Google Scholar] [CrossRef]
- García-Rojo, R.; Herrmann, H.J. Shakedown of unbound granular material. Granul. Matter 2005, 7, 109–118. [Google Scholar] [CrossRef]
- Werkmeister, S. Permanent Deformation Behaviour of Unbound Granular Materials in Pavement Constructions; Technische Universität Dresden: Dresden, Germany, 2003; Available online: https://d-nb.info/968400930/34 (accessed on 15 May 2020).
- Werkmeister, S.; Dawson, A.R.; Wellner, F. Permanent Deformation Behavior of Granular Materials and the Shakedown Concept. Transp. Res. Rec. J. Transp. Res. Board 2001, 1757, 75–81. [Google Scholar] [CrossRef]
- Voznesensky, E.A.; Funikova, V.V.; Babenko, V.A. Deformability properties of model granular soils under true triaxial compression conditions. Mosc. Univ. Geol. Bull. 2013, 68, 253–259. [Google Scholar] [CrossRef]
- Feda, J. Notes on the effect of grain crushing on the granular soil behavior. Eng. Geol. 2002, 63, 93–98. [Google Scholar] [CrossRef]
- Donaghe, R.T.; Torrey, V.H. Scalping and Replacement Effects on Strength Parameters of Earth-Rock Mixtures. In Design Parameters in Geotechnical Engineering: 7th European Conference on Soil Mechanics & Foundation Engineering; British Geotechnical Society: London, UK, 1979. [Google Scholar]
- Dupla, J.C.; Pedro, L.S.; Canou, J.; Dormieux, L. Mechanical behavior of coarse-grained soils reference. Bull. Liaison Lab. Ponts Chaussees 2007, 268, 1–58. [Google Scholar]
- Amini, Y.; Hamidi, A. Triaxial shear behavior of a cement-treated sand–gravel mixture. J. Rock Mech. Geotech. Eng. 2014, 6, 455–465. [Google Scholar] [CrossRef]
- Miller, E.A.; Sowers, G.F. The strength characteristics of soil-aggregate mixtures. Highw. Res. Board Bull. 1957, 183, 16–23. Available online: http://onlinepubs.trb.org/Onlinepubs/hrbbulletin/183/183-003.pdf (accessed on 15 May 2020).
- Gong, J.; Liu, J. Analysis on the Mechanical Behaviors of Soil-Rock Mixtures Using Discrete Element Method. Procedia Eng. 2015, 102, 1783–1792. [Google Scholar] [CrossRef]
- Xu, W.; Zhang, H.; Xu, Q.; Yu, Y. Numerical simulations of direct shear test with soil-rock mixture using discrete element method. Chin. J. Comput. Mech. 2014, 31, 228–234. [Google Scholar]
- Xu, W.; Wang, S. Meso-mechanics of soil-rock mixture with real shape of rock blocks based on 3D numerical direct shear test. Chin. J. Comput. Mech. 2016, 35, 2152–2160. [Google Scholar] [CrossRef]
- Xiao, J.; Ma, Y.; Zhou, J.; Cai, H.; Wei, Y.; Liu, C. Numerical simulation of shear strength of rock-soil mixtures by using PFC2D. Chin. J. Geotech. Eng. 2020, 42, 123–128. [Google Scholar]
- Xu, W.; Yue, Z.; Hu, R. Study on the mesostructure and mesomechanical characteristics of the soil-rock mixture using digital image processing based finite element method. Int. J. Rock Mech. Min. Sci. 2008, 45, 749–762. [Google Scholar] [CrossRef]
- Wang, S.; Li, Y.; Gao, X.; Xue, Q.; Wu, Z. Influence of volumetric block proportion on mechanical properties of virtual soil-rock mixtures. Eng. Geol. 2020, 278, 105850. [Google Scholar] [CrossRef]
- Zhao, L.; Huang, D.; Zhang, S.; Cheng, X.; Luo, Y.; Deng, M. A new method for constructing finite difference model of soil-rock mixture slope and its stability analysis. Int. J. Rock Mech. Min. Sci. 2021, 138, 104605. [Google Scholar] [CrossRef]
- Jiang, C.; Zeng, L.; Liu, Y.; Yu, M.; Dong, W. A DEM Study on the Macro- and Micro-Mechanical Characteristics of an Irregularly Shaped Soil–Rock Mixture Based on the Analysis of the Contact Force Skeleton. Appl. Sci. 2025, 15, 7978. [Google Scholar] [CrossRef]
- Chen, X.; Cui, K.; Wang, Y.; Zhou, J.; Yang, X.; Qi, S. Decoding Multi-Scale Stochastic Mechanics of Soil-Rock Mixtures: A DEM-Based Investigation. Mech. Mater. 2025, 209, 105446. [Google Scholar] [CrossRef]
- Li, J.; Wang, B.; Wang, D.; Zhang, P.; J Vardon, P. A Coupled MPM-DEM Method for Modelling Soil-Rock Mixtures. Comput. Geotech. 2023, 160, 105508. [Google Scholar] [CrossRef]
- An, N.; Ma, G.; Zhou, H.; Wang, D.; Lu, X.; Zhou, W. DEM Investigation of the Microscopic Mechanism of Scale Effect of Sandy Gravel Material. Acta Geotech 2022, 18, 1373–1390. [Google Scholar] [CrossRef]
- Li, J.; Yang, Y.; Yang, X.; Zheng, H.; Wang, S. Investigation of Equivalent Strength Parameters of Soil-Rock Mixture Using Numerical Manifold Method. J. Rock Mech. Geotech. Eng. 2025, in press. [Google Scholar] [CrossRef]
- Wu, W.; Yang, Y.; Zheng, H.; Wang, S.; Zhang, N.; Wang, Y. Investigation of the Effective Hydro-Mechanical Properties of Soil-Rock Mixtures Using the Multiscale Numerical Manifold Model. Comput. Geotech. 2023, 155, 105191. [Google Scholar] [CrossRef]
- Yang, Y.; Sun, G.; Zheng, H.; Qi, Y. Investigation of the sequential excavation of a soil-rock-mixture slope using the numerical manifold method. Eng. Geol. 2019, 256, 93–109. [Google Scholar] [CrossRef]
- BSI.BS1377:1990. Methods of Test for Soils for Civil Engineering Purposes, Part 2: Classification Tests. British Standards Institution: London, UK, 1990.
- Indraratna, B.; Salim, W. Modeling of particle breakage of coarse aggregates incorporating strength and dilatancy. Geotech. Eng. 2002, 155, 243–252. [Google Scholar] [CrossRef]
- Indraratna, B.; Gasson, I.; Chowdhury, R.N. Utilization of compacted coal tailings as a structural fill. Can. Geotech. J. 2011, 31, 614–623. [Google Scholar] [CrossRef]
- Chai, H.; Yan, Z.; Jia, X. Construction Technology of Soil-Stone Mixed Fill Subgrades; People’s Communications Press: Beijing, China, 2009. [Google Scholar]
- Shu, Z.; Liu, X.; Liu, B.; Guo, Z. Study of Strength Properties of Earth-Rock Aggregate Based on Fractals. Chin. J. Rock Mech. Eng. 2009, 28, 2652–2656. [Google Scholar]
- Shu, Z.; Liu, B.; Liang, N.; Li, Y.; Wang, D. Study on the Fractal Characteristics of Earth-rock Coarse Grain Based on Digital Image Processing. Chin. J. Undergr. Space Eng. 2012, 8, 511–516. [Google Scholar] [CrossRef]
- Kong, X.; Wang, J.; Liu, X. Experiment and Research on Vibrating Compaction Properties of Soil-aggregate Mixture. Chin. J. Undergr. Space Eng. 2007, 1, 55–61. [Google Scholar] [CrossRef]
- Dong, Y.; Chai, H. Study on engineering synthetical classification of rock-soil aggregate mixture. Rock Soil Mech. 2007, 28, 179–184. [Google Scholar] [CrossRef]
- Indraratna, B.; Nimbalkar, S.; Coop, M.; Sloan, S.W. A constitutive model for coal-fouled ballast capturing the effects of particle degradation. Comput. Geotech. 2014, 61, 96–107. [Google Scholar] [CrossRef]
- Selig, E.T.; Waters, J.M.; Ayers, M.E.; Aziz, C.N.; Best, M.G. Track geotechnology and substructure management. Life 1994, 8, 16–26. [Google Scholar] [CrossRef]
- Medley, E.W. The Engineering Characterization of Melanges and Similar Block-In-Matrix Rocks (Bimrocks); University of California, Berkeley: Berkeley, CA, USA, 1994. [Google Scholar]
- Lindquist, E.S.; Goodman, R.E. Strength and Deformation Properties of a Physical Model Melange. In Proceedings of the ARMA North America Rock Mechanics Symposium, Austin, TX, USA, 1–3 June 1994. [Google Scholar]
- GB/T 50123-2019. Chinese MWR (2019) Standard for Geotechnical Testing Method. China Planning Press: Beijing, China, 2019.
- JTG 3430-2020; Test Methods of Soils for Highway Engineering. Ministry of Transport of the People’s Republic of China: Beijing, China, 2020.
- Yang, Z.; Tian, X.; Lei, X.; Jiang, Y.; Liu, X.; Hu, Y. Particle discrete element numerical study on factors of shear strength characteristics for soil-rock mixture. J. Eng. Geol. 2020, 28, 39–50. [Google Scholar] [CrossRef]
- Yang, Z.; Zhao, Y.; Hu, Y.; Li, S.; Lei, X.; Li, X. Effect of the strength of rock blocks on the shear characteristics of soil-rock mixtures. Chin. J. Rock Mech. Eng. 2021, 40, 814–827. [Google Scholar] [CrossRef]
- Lei, X.; Yang, Z.; Zhang, X.; Tu, Y.; Liu, S.; Hu, Y. Shear properties and rock block breakage characteristics of soil-rock mixtures. Rock Soil Mech. 2018, 39, 899–908. [Google Scholar] [CrossRef]
- Zhang, M.; Zhang, S.; Zhang, S.W. Study on Shear Failure and Crack Propagation Characteristics of Soil-Rock Mixture. Environ. Earth Sci. Res. J. 2021, 8, 153–158. [Google Scholar] [CrossRef]
- Yang, S.; Li, X. Simulation Analysis of Large Direct Shear Test of Soil and Rock Mixture Based on PFC3D. Adv. Eng. Sci. 2020, 52, 8. [Google Scholar] [CrossRef]
- Xu, X.; Wei, H.; Meng, Q.; Wei, C.; Ai, D. Effects of shear rate on shear strength and deformation characteristics of coarse-grained soils in large-scale direct shear tests. Chin. J. Geotech. Eng. 2013, 35, 728–733. [Google Scholar]
- Tang, L.; Sun, S.; Zheng, J.; Jin, L.; Yu, Y.; Luo, T.; Duan, X. Pore evolution and shear characteristics of a soil-rock mixture upon freeze-thaw cycling. Res. Cold Arid. Reg. 2023, 15, 179–190. [Google Scholar] [CrossRef]











| Stone Content | Water Content | Fitting Equation | Correlation Coefficient | Stone Content | Water Content | Fitting Equation | Correlation Coefficient |
|---|---|---|---|---|---|---|---|
| 30% | wop − 2% | Y = 0.54x + 41.22 | 0.97 | 60% | wop − 2% | Y = 0.75x + 24.61 | 0.99 |
| wop | Y = 0.52x + 98.53 | 0.98 | wop | Y = 0.74x + 64.25 | 0.99 | ||
| wop + 2% | Y = 0.27x + 55.51 | 0.98 | wop + 2% | Y = 0.62x + 30.60 | 0.98 | ||
| wsat | Y = 0.11x + 32.41 | 0.97 | wsat | Y = 0.52x + 16.91 | 0.98 | ||
| 40% | wop − 2% | Y = 0.58x + 36.51 | 0.99 | 70% | wop − 2% | Y = 0.85x + 17.90 | 0.98 |
| wop | Y = 0.57x + 81.21 | 0.98 | wop | Y = 0.85x + 54.87 | 0.99 | ||
| wop + 2% | Y = 0.35x + 45.46 | 0.99 | wop + 2% | Y = 0.71x + 20.29 | 0.98 | ||
| wsat | Y = 0.23x + 31.07 | 0.97 | wsat | Y = 0.66x + 9.91 | 0.99 | ||
| 50% | wop − 2% | Y = 0.66x + 25.74 | 0.98 | 80% | wop − 2% | Y = 0.98x + 7.19 | 0.98 |
| wop | Y = 0.64x + 76.52 | 0.98 | wop | Y = 0.97x + 28.79 | 0.98 | ||
| wop + 2% | Y = 0.49x + 33.63 | 0.99 | wop + 2% | Y = 0.88x + 13.20 | 0.98 | ||
| wsat | Y = 0.39x + 23.14 | 0.98 | wsat | Y = 0.81x + 6.12 | 0.98 |
Disclaimer/Publisher’s Note: The statements, opinions and data contained in all publications are solely those of the individual author(s) and contributor(s) and not of MDPI and/or the editor(s). MDPI and/or the editor(s) disclaim responsibility for any injury to people or property resulting from any ideas, methods, instructions or products referred to in the content. |
© 2025 by the authors. Licensee MDPI, Basel, Switzerland. This article is an open access article distributed under the terms and conditions of the Creative Commons Attribution (CC BY) license (https://creativecommons.org/licenses/by/4.0/).
Share and Cite
Wang, J.; Jiang, Y.; Tang, X.; Wang, Y.; Zhao, Z.; Jin, B.; Yu, H.; Liao, S. Impact of Water Content and Stone Content on the Shear Strength of Soil–Rock Mixtures: An Experimental Study. Buildings 2025, 15, 4119. https://doi.org/10.3390/buildings15224119
Wang J, Jiang Y, Tang X, Wang Y, Zhao Z, Jin B, Yu H, Liao S. Impact of Water Content and Stone Content on the Shear Strength of Soil–Rock Mixtures: An Experimental Study. Buildings. 2025; 15(22):4119. https://doi.org/10.3390/buildings15224119
Chicago/Turabian StyleWang, Jinhua, Yongliang Jiang, Xiaolin Tang, Yulin Wang, Zemeng Zhao, Biao Jin, Hanchao Yu, and Shaojie Liao. 2025. "Impact of Water Content and Stone Content on the Shear Strength of Soil–Rock Mixtures: An Experimental Study" Buildings 15, no. 22: 4119. https://doi.org/10.3390/buildings15224119
APA StyleWang, J., Jiang, Y., Tang, X., Wang, Y., Zhao, Z., Jin, B., Yu, H., & Liao, S. (2025). Impact of Water Content and Stone Content on the Shear Strength of Soil–Rock Mixtures: An Experimental Study. Buildings, 15(22), 4119. https://doi.org/10.3390/buildings15224119
