A Customer-Oriented Holistic Approach to Solar Shading Design: Enhancing Efficiency in an Existing Educational Building
Abstract
1. Introduction
2. Literature Review
Research Gaps and Aim of the Paper
- Limited Consideration of Customer Satisfaction: Customer needs and preferences are rarely integrated into the shading system design process. These preferences often involve qualitative, non-technical aspects and uncertainties that cannot be easily quantified. Addressing these uncertainties is crucial to ensuring a comprehensive and user-centered design approach. Incorporating these qualitative requirements into the design and selection process requires a collaborative approach between the architect and the client. It is insufficient to rely solely on technical analysis or industry standards; the designer must also consider the emotional impact and sensory experience that the design evokes.
- Interdependencies Between Design Criteria: The interrelations among design objectives or criteria can significantly impact the final weighting of each criterion in the optimization process. However, most studies overlook this factor, failing to incorporate relative weights that accurately reflect these interdependencies.
- Focus on Fixed Shading Systems: Existing hybrid approaches predominantly focus on fixed shading systems, neglecting dynamic shading solutions. However, dynamic systems offer greater adaptability and efficiency but are more complex to design and computationally intensive. A comprehensive evaluation of hybrid approaches should include both fixed and dynamic systems to ensure their generalizability.
- Comparison of Multi-Objective Optimization (MOO) Approaches: There are two primary MOO-based optimization strategies: (i) approaches that use MCDM solely for weighting, often utilizing genetic algorithms (GA), and (ii) approaches that rely entirely on MCDM for both weighting and final design selection, mainly using NSGA-II. A comparative analysis of these two methodologies is essential to provide deeper insights into their effectiveness and applicability in shading system design.
- The proposed approach effectively integrates customer requirements, captures the interdependencies among design criteria, and manages uncertainty in the shading system design process using fuzzy logic. It further enables the customization of customer input weights based on building type, supporting the creation of context-specific solutions for both fixed and dynamic shading systems.
- An efficient implementation of the Quality Function Deployment (QFD) methodology is introduced to translate customer needs into quantifiable performance measures. The use of the House of Quality (HOQ) matrix ensures a structured and reliable representation of customer priorities within the design process.
- A comparative analysis is conducted between two key optimization algorithms−the Single-Objective Genetic Algorithm (SOGA) and NSGA-II within the proposed framework. This analysis provides practical guidance for selecting suitable optimization methods in future integrated shading design studies.
3. Methodology
3.1. Fuzzy Sets
3.2. Fuzzy-AHP
- Step 1:
- Formulation of the pairwise comparison matrix.
- Step 2:
- Fuzzification of judgments.
- Step 3:
- Computation of fuzzy weights.
- Step 4:
- Consistency verification.
- Step 5:
- Adjustment and aggregation.
3.3. Fuzzy-QFD
- Step 1:
- Construction of the Fuzzy House of Quality (HOQ).
- Step 2:
- Derivation of the relative importance of performance measures.
- Step 3:
- Incorporation of interdependencies among performance measures.
3.4. Machine Learning
3.5. Optimization
3.5.1. NSGA-II
3.5.2. Single-Objective Genetic Algorithm (SOGA)
3.6. Technique for Order of Preference by Similarity to Ideal Solution (TOPSIS)
- Step 1:
- Formation of the decision matrix.
- Step 2:
- Normalization of the decision matrix.
- Step 3:
- Weighted normalization.
- Step 4:
- Determination of ideal and anti-ideal solutions.
- Step 5:
- Calculation of separation measures.
- Step 6:
- Relative closeness and ranking.
3.7. Fixed Shading Approach
- SOGA: The weighted sum of the regression functions is used as the objective function, allowing SOGA to directly determine the optimal shading design. The single optimum obtained through SOGA represents the solution corresponding to the selected set of objective weights, reflecting a specific balance among the CRs.
- NSGA-II: The regression models are used as multiple objective functions in NSGA-II, generating a Pareto-optimal set of solutions. Unlike SOGA, NSGA-II reveals the trade-offs among conflicting performance metrics by producing a spectrum of non-dominated solutions. The best design is then selected using the TOPSIS method.
3.8. Dynamic Shading Approach
4. Case Study
4.1. Assessment of the Building Current State Performance
- How many hours do you spend in the classroom daily?
- How do you rate the level of natural lighting in the classroom?
- Does the current lighting cause any discomfort, such as eye strain or headaches?
- Which type of lighting is primarily used in the classroom: natural or artificial?
- Is the current lighting sufficient for reading and writing clearly?
- What is your opinion on the paper stuck on the glass?
- What problems, if any, do you experience due to the paper on the glass?
- Would you prefer an alternative to the current paper covering?
- Do you think adding new shading systems would improve your comfort and academic performance?
4.2. Customer Requirements
4.3. Baseline Model Settings
4.4. Shading Strategies
4.5. Performance Measures
- Useful Daylight Illuminance (UDI)—Represents the percentage of time daylight levels fall within specific lighting ranges: 0–100 lux (insufficient), 100–2000 lux (optimal), and over 2000 lux (excessive). Daylight levels between 100 and 2000 lux are considered adequate for natural lighting. Therefore, in this study, UDI values within this range are used to assess daylight performance [49].
- Spatial Glare Autonomy (SGA)—Represents the percentage of test points that meet the defined minimum fraction of glare-free conditions during daylight hours over an entire year. A higher SGA value indicates improved visual comfort for occupants, as it corresponds to a lower occurrence of annual glare [50].
- Annual Sun Exposure (ASE)—his metric evaluates the proportion of floor space that experiences direct sunlight illuminance exceeding the allowable threshold during daily operational hours over the course of a year.at least 1000 lux of direct sunlight for more than a specified number of hours (typically 250 h) per year [47,51].
- Energy Use Intensity (EUI)—Defined as the annual energy consumption per square meter of the building, measured in kilowatt-hours per square meter (kWh/yr). This study considers various components of energy use, including the annual equipment load (), artificial lighting load (), heating load (), and cooling load () [52]. These factors collectively determine the overall energy performance of the building.
- Thermal Comfort Percentage (COMF)—Thermal comfort is considered based on the percentage of thermal comfort within the space, which is determined using the Predicted Mean Vote (PMV) and Predicted Percentage of Dissatisfied (PPD) indices. These indices evaluate the comfort level of the occupants, and in the results, the thermal comfort percentage reflects the extent of comfort experienced by the occupants based on these factors [53].
5. Results and Discussion
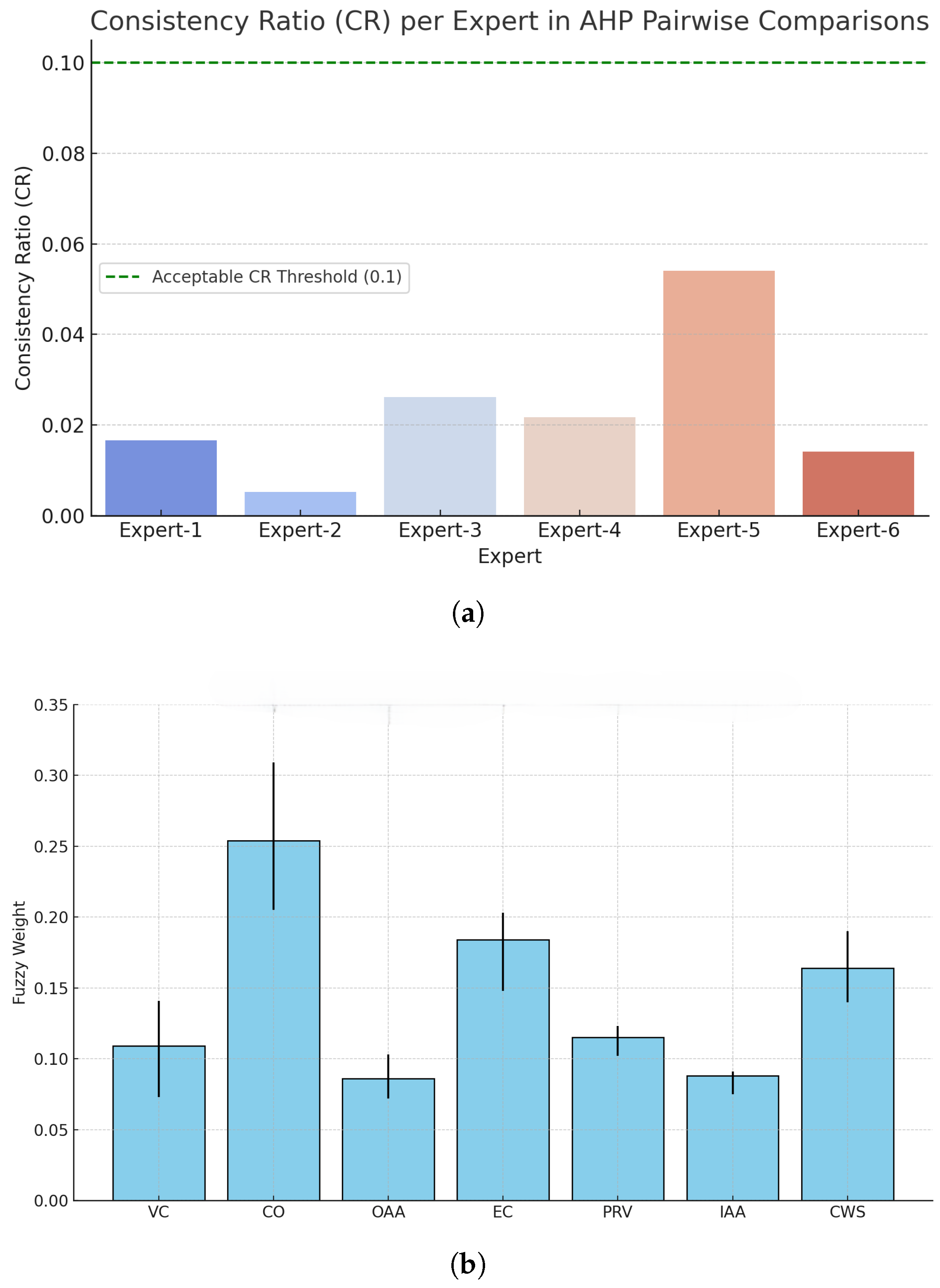
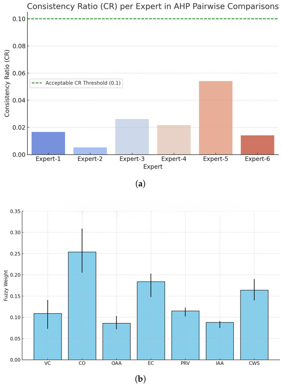
5.1. Fuzzy Weighting of CRs Using Fuzzy AHP
5.2. Weighting PMs Using Fuzzy QFD
5.3. Regression
5.4. Comparison of Optimization Approaches
5.5. Sensitivities Analysis
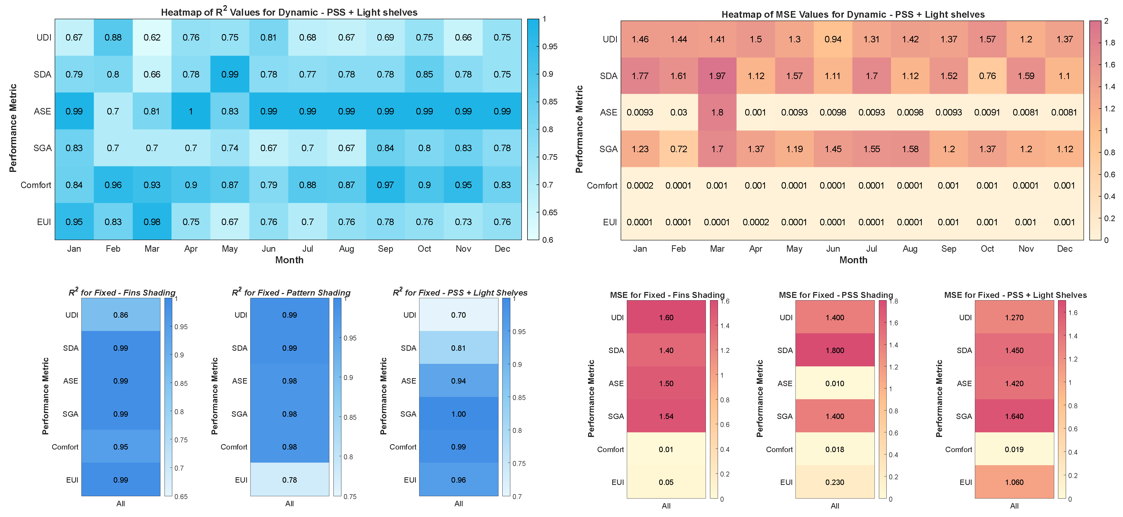
5.6. Monthly Comparative Analysis of Dynamic and Fixed Shading Systems
6. Conclusions
Author Contributions
Funding
Institutional Review Board Statement
Informed Consent Statement
Data Availability Statement
Acknowledgments
Conflicts of Interest
Abbreviations
| AHP | Analytic Hierarchy Process |
| ANN | Artificial Neural Network |
| ANP | Analytic Network Process |
| ASE | Annual Sun Exposure |
| BSR | Building Solar Radiation |
| CDA | Continuous Daylight Autonomy |
| COMF | Thermal Comfort |
| CO | Cost |
| CRs | Customer Requirements |
| CWS | Compliance With Standards |
| DA | Daylight Autonomy |
| DF | Daylight Factor |
| DT | Decision Tree |
| DSE | Design Space Exploration |
| EC | Energy Consumption |
| ENS | Ensemble Learning |
| EUI | Energy Use Intensity |
| GA | Genetic Algorithm |
| GPR | Gaussian Process Regression |
| HBAs | Heritage-Based Approach |
| HEN | Heating Energy Needs |
| HOQ | House of Quality |
| HVAC | Heating, Ventilation, and Air Conditioning |
| IAA | Indoor Aesthetic Appeal |
| LEED | Leadership in Energy and Environmental Design |
| LHS | Latin Hypercube Sampling |
| MAUT | Multi-Attribute Utility Theory |
| MCDM | Multi-Criteria Decision Making |
| MOGA | Multi-Objective Genetic Algorithm |
| MOO | Multi-Objective Optimization |
| MSE | Mean Squared Error |
| NSGA-II | Non-Dominated Sorting Genetic Algorithm II |
| OAA | Outside Aesthetic Appeal |
| PMs | Performance Measures |
| PMV | Predicted Mean Vote |
| PPD | Predicted Percentage of Dissatisfied |
| PROMETHEE | Preference Ranking Organization Method for Enrichment Evaluation |
| PRV | Privacy |
| PSS | Perforated Shading Screen |
| PV | Photovoltaic |
| PVG | Photovoltaic Generation |
| QFD | Quality Function Deployment |
| QV | Quality of View |
| R2 | Coefficient of Determination |
| SDA | Spatial Daylight Autonomy |
| SGA | Spatial Glare Autonomy |
| SINDy | Sparse Identification of Nonlinear Dynamics |
| SOGA | Single-Objective Genetic Algorithm |
| SPEA-II | Strength Pareto Evolutionary Algorithm II |
| SR | Solar Radiation |
| SVM | Support Vector Machine |
| TFN | Triangular Fuzzy Numbers |
| THC | Thermal Comfort |
| TOPSIS | Technique for Order Preference by Similarity to Ideal Solution |
| UDI | Useful Daylight Illuminance |
| VC | Visual Comfort |
| VF | View Factor |
| WWR | Window-to-Wall Ratio |
References
- Pinto, M.C.; Crespi, G.; Dell’Anna, F.; Becchio, C. Combining energy dynamic simulation and multi-criteria analysis for supporting investment decisions on smart shading devices in office buildings. Appl. Energy 2023, 332, 120470. [Google Scholar] [CrossRef]
- Yuan, J.; Jiao, Z.; Xiao, X.; Emura, K.; Farnham, C. Impact of future climate change on energy consumption in residential buildings: A case study for representative cities in Japan. Energy Rep. 2024, 11, 1675–1692. [Google Scholar] [CrossRef]
- Song, Y.; Liu, J.; Zhang, W. Design Parameters Affecting Energy Consumption of University Educational Buildings in Hot Summer and Cold Winter Area of China. Buildings 2024, 14, 1697. [Google Scholar] [CrossRef]
- Safwat, H.; Elsayed, M.A.; Alghrieb, M.; El-Mahallawi, I. Direct evaporative cooling for sustainability and environmental conservation. Innov. Infrastruct. Solut. 2024, 9, 256. [Google Scholar] [CrossRef]
- Anber, M.F. Thermal Retrofitting of Primary School Buildings in Egypt Optimizing Energy Efficiency and Thermal Comfort. Int. Des. J. 2022, 12, 325–337. [Google Scholar]
- Rajan, S.R.; Al Nuaimi, A.; Furlan, R. Qatar university campus: Built form, culture and livability. Am. J. Sociol. Res. 2016, 6, 99–110. [Google Scholar]
- Ekornes, S. The impact of perceived psychosocial environment and academic emotions on higher education students’ intentions to drop out. High. Educ. Res. Dev. 2022, 41, 1044–1059. [Google Scholar] [CrossRef]
- Mushtaha, E.; Alsyouf, I.; Hamad, R.; Elmualim, A.; Maksoud, A.; Yahia, M.W. Developing design guidelines for university campus in hot climate using Quality Function Deployment (QFD): The case of the University of Sharjah, UAE. Archit. Eng. Des. Manag. 2022, 18, 593–613. [Google Scholar] [CrossRef]
- Safwat, H.; Abdel-Rehim, A.A.; El-Mahallawi, I.; Hussein, A.A.; Amer, A.M.; Elshazly, E.; Elshamy, A.I. Guidelines for data collection on energy performance of higher-education buildings in Egypt: A case study. HBRC J. 2024, 20, 615–642. [Google Scholar] [CrossRef]
- Song, B.; Park, K. Validation of ASTER surface temperature data with in situ measurements to evaluate heat islands in complex urban areas. Adv. Meteorol. 2014, 2014, 620410. [Google Scholar] [CrossRef]
- Elshamy, A.I.; Moussa, R.R.; Alghrieb, M.; Elshazly, E.; El-Mahallawi, I.; Safwat, H. Thermal Performance Variations of Office Spaces in Educational Buildings Resulting from Façade Orientation: An Egyptian Case Study. Buildings 2025, 15, 3437. [Google Scholar] [CrossRef]
- Gaber, B.; Zhan, C.; Han, X.; Omar, M.; Li, G. A novel decision support system for designing fixed shading systems in the early design stage: A case study in Egypt. J. Build. Eng. 2024, 96, 110453. [Google Scholar] [CrossRef]
- Bellia, L.; Marino, C.; Minichiello, F.; Pedace, A. An Overview on Solar Shading Systems for Buildings. Energy Procedia 2014, 62, 309–317. [Google Scholar] [CrossRef]
- Kirimtat, A.; Manioğlu, G. A simulation-based performance evaluation of new generation dynamic shading devices with multi-objective optimization. J. Build. Eng. 2024, 90, 109322. [Google Scholar] [CrossRef]
- Khani, A.; Khakzand, M.; Faizi, M. Multi-objective optimization for energy consumption, visual and thermal comfort performance of educational building (case study: Qeshm Island, Iran). Sustain. Energy Technol. Assessments 2022, 54, 102872. [Google Scholar] [CrossRef]
- Wang, S.; Zhang, Q.; Liu, P.; Liang, R.; Fu, Z. A Parameterized Design Method for Building a Shading System Based on Climate Adaptability. Atmosphere 2022, 13, 1244. [Google Scholar] [CrossRef]
- Romani, Z.; Draoui, A.; Allard, F. Metamodeling and multicriteria analysis for sustainable and passive residential building refurbishment: A case study of French housing stock. Build. Simul. 2022, 15, 453–472. [Google Scholar] [CrossRef]
- Gaber, B.; Zhan, C.; Han, X.; Omar, M.; Li, G. Enhancing daylight and energy efficiency in hot climate regions with a perforated shading system using a hybrid approach considering different case studies. Buildings 2025, 15, 988. [Google Scholar] [CrossRef]
- Al-Saadi, S.N.; Al-Jabri, K.S. Optimization of envelope design for housing in hot climates using a genetic algorithm (GA) computational approach. J. Build. Eng. 2020, 32, 101712. [Google Scholar] [CrossRef]
- Samadi, S.; Noorzai, E.; Beltrán, L.O.; Abbasi, S. A computational approach for achieving optimum daylight inside buildings through automated kinetic shading systems. Front. Archit. Res. 2020, 9, 335–349. [Google Scholar] [CrossRef]
- Noorzai, E.; Bakmohammadi, P.; Garmaroudi, M.A. Optimizing daylight, energy and occupant comfort performance of classrooms with photovoltaic integrated vertical shading devices. Archit. Eng. Des. Manag. 2023, 19, 394–418. [Google Scholar] [CrossRef]
- Chen, P.; Tang, H. A Framework for Adaptive Façade Optimization Design Based on Building Envelope Performance Characteristics. Buildings 2024, 14, 2646. [Google Scholar] [CrossRef]
- Bustamante, W.; Uribe, D.; Vera, S.; Molina, G. An integrated thermal and lighting simulation tool to support the design process of complex fenestration systems for office buildings. Appl. Energy 2017, 198, 36–48. [Google Scholar] [CrossRef]
- de Loyola Ramos Garcia, D.; Ruttkay Pereira, F.O. Method application and analyses of visual and thermal-energy performance prediction in offices buildings with internal shading devices. Build. Environ. 2021, 198, 107912. [Google Scholar] [CrossRef]
- Wu, H.; Zhang, T. Optimal design of complex dynamic shadings: Towards sustainable built environment. Sustain. Cities Soc. 2022, 86, 104109. [Google Scholar] [CrossRef]
- Kangazian, A.; Emadian Razavi, S.Z. Multi-criteria evaluation of daylight control systems of office buildings considering daylighting, glare and energy consumption. Sol. Energy 2023, 263, 111928. [Google Scholar] [CrossRef]
- Jafari, A.; Valentin, V. Selection of optimization objectives for decision-making in building energy retrofits. Build. Environ. 2018, 130, 94–103. [Google Scholar] [CrossRef]
- Bianchi, S.; Andriotis, C.; Klein, T.; Overend, M. Multi-criteria design methods in façade engineering: State-of-the-art and future trends. Build. Environ. 2024, 250, 111184. [Google Scholar] [CrossRef]
- Yamín Garretón, J.; Villalba, A.M.; Rodriguez, R.G.; Pattini, A. Roller blinds characterization assessing discomfort glare, view outside and useful daylight illuminance with the sun in the field of view. Sol. Energy 2021, 213, 91–101. [Google Scholar] [CrossRef]
- Le, D.M.; Park, D.Y.; Baek, J.; Karunyasopon, P.; Chang, S. Multi-criteria decision making for adaptive façade optimal design in varied climates: Energy, daylight, occupants’ comfort, and outdoor view analysis. Build. Environ. 2022, 223, 109479. [Google Scholar] [CrossRef]
- Stamatakis, A.; Mandalaki, M.; Tsoutsos, T. Multi-criteria analysis for PV integrated in shading devices for Mediterranean region. Energy Build. 2016, 117, 128–137. [Google Scholar] [CrossRef]
- Li, L.; Qi, Z.; Ma, Q.; Gao, W.; Wei, X. Evolving multi-objective optimization framework for early-stage building design: Improving energy efficiency, daylighting, view quality, and thermal comfort. Build. Simul. 2024, 17, 2097–2123. [Google Scholar] [CrossRef]
- Rafati, N.; Hazbei, M.; Eicker, U. Louver configuration comparison in three Canadian cities utilizing NSGA-II. Build. Environ. 2023, 229, 109939. [Google Scholar] [CrossRef]
- Wen, S.; Hu, X.; Hua, G.; Xue, P.; Lai, D. Comparing the performance of four shading strategies based on a multi-objective genetic algorithm: A case study in a university library. J. Build. Eng. 2023, 63, 105532. [Google Scholar] [CrossRef]
- Han, Z.; Li, X.; Sun, J.; Wang, M.; Liu, G. An interactive multi-criteria decision-making method for building performance design. Energy Build. 2023, 282, 112793. [Google Scholar] [CrossRef]
- Seyed Shafavi, S.N.; Nikkhah Dehnavi, A.; Zomorodian, Z.S.; Tahsildoost, M.; Korsavi, S.S.; Mohaghegh, S. Façade design of side-lit spaces for different climates and surroundings by machine learning and NSGAIII. Build. Environ. 2023, 245, 110851. [Google Scholar] [CrossRef]
- Gaber, B.; Zhan, C.; Han, X.; Omar, M.; Li, G. Employing ANN for daylight and energy prediction of hot climate office buildings: A case study of new Cairo, Egypt. Archit. Eng. Des. Manag. 2024, 20, 1752–1776. [Google Scholar] [CrossRef]
- Zhang, W.; Ma, Z.; Qiu, H.; Pan, Y.; Shi, Y.; Zhang, L. Machine learning-boosted multi-objective optimization of integrated shading systems: Enhancing daylight availability, glare protection, and energy savings. Build. Environ. 2025, 280, 113124. [Google Scholar] [CrossRef]
- Wang, F. Preference degree of triangular fuzzy numbers and its application to multi-attribute group decision making. Expert Syst. Appl. 2021, 178, 114982. [Google Scholar] [CrossRef]
- Chakraverty, S.; Sahoo, D.M.; Mahato, N.R. Concepts of Soft Computing, 2019th ed.; Springer: Singapore, 2019. [Google Scholar]
- Huang, J.; Zhang, T.; Wang, X.; Liao, Z. TOPSIS based on the triangular fuzzy function and its application in construction scheme optimization. In Proceedings of the 2013 10th International Conference on Fuzzy Systems and Knowledge Discovery (FSKD), Shenyang, China, 23–25 July 2013; IEEE: Piscataway, NJ, USA, 2013. [Google Scholar]
- Omar, M.; Janada, K.; Soltan, H. FAQT: A precise system for welding process selection. Int. J. Fuzzy Syst. 2022, 24, 1605–1618. [Google Scholar] [CrossRef]
- Chakraborty, S. TOPSIS and Modified TOPSIS: A comparative analysis. Decis. Anal. J. 2022, 2, 100021. [Google Scholar] [CrossRef]
- ISO/CIE 19476:2014; Characterisation of the Performance of Illuminance Meters and Luminance Meters. CIE—International Commission on Illumination: Vienna, Austria, 2014.
- Tregenza, P. Uncertainty in daylight calculations. Light. Res. Technol. 2017, 49, 829–844. [Google Scholar] [CrossRef]
- Serea, E.; Donciu, C.; Temneanu, M.C. Complexities of Lighting Measurement and Calculation. Metrology 2025, 5, 61. [Google Scholar] [CrossRef]
- LEED Rating System|U.S. Green Building Council. Available online: https://www.usgbc.org/leed (accessed on 11 May 2025).
- McKay, M.D.; Beckman, R.J.; Conover, W.J. A comparison of three methods for selecting values of input variables in the analysis of output from a computer code. Technometrics 1979, 21, 239. [Google Scholar] [PubMed]
- Nabil, A.; Mardaljevic, J. Useful daylight illuminances: A replacement for daylight factors. Energy Build. 2006, 38, 905–913. [Google Scholar] [CrossRef]
- Jones, N.L. Fast climate-based glare analysis and spatial mapping. In Proceedings of the Building Simulation Conference Proceedings, IBPSA, Loughborough, UK, 21–22 September 2020. [Google Scholar]
- Pilechiha, P.; Mahdavinejad, M.; Pour Rahimian, F.; Carnemolla, P.; Seyedzadeh, S. Multi-objective optimisation framework for designing office windows: Quality of view, daylight and energy efficiency. Appl. Energy 2020, 261, 114356. [Google Scholar] [CrossRef]
- Konis, K.; Gamas, A.; Kensek, K. Passive performance and building form: An optimization framework for early-stage design support. Sol. Energy 2016, 125, 161–179. [Google Scholar] [CrossRef]
- Fanger, P. Thermal Comfort: Analysis and Applications in Environmental Engineering; Danish Technical Press: Copenhagen, Denmark, 1970; p. 244. [Google Scholar]
- Nikjow, M.A.; Liang, L.; Xijing, Q.; Sonar, H. Risk analysis of belt and road infrastructure projects using integrated ISM-MICMAC approach. J. Model. Manag. 2022, 17, 1410–1431. [Google Scholar] [CrossRef]
- Ullah, I.; Zheng, J.; Ullah, S.; Bhattarai, K.; Almujibah, H.; Alawad, H. Unraveling the Complex Barriers to and Policies for Shared Autonomous Vehicles: A Strategic Analysis for Sustainable Urban Mobility. Systems 2024, 12, 558. [Google Scholar] [CrossRef]
- Bux, H.; Zhang, Z.; Ahmad, N. Promoting sustainability through corporate social responsibility implementation in the manufacturing industry: An empirical analysis of barriers using the ISM-MICMAC approach. Corp. Soc. Responsib. Environ. Manag. 2020, 27, 1729–1748. [Google Scholar] [CrossRef]
- Iqbal, M.; Ma, J.; Ahmad, N.; Hussain, K.; Usmani, M.S.; Ahmad, M. Sustainable construction through energy management practices in developing economies: An analysis of barriers in the construction sector. Environ. Sci. Pollut. Res. 2021, 28, 34793–34823. [Google Scholar] [CrossRef]















| No. | Author | Year | Methodology | MCDM | Design Element | Performance Measures | Sustainability Pillars |
|---|---|---|---|---|---|---|---|
| 1 | [31] | 2019 | Multi criteria analysis | PROMETHEE | PV integrated in shading devices | PV power generation, Heating, Cooling, Lighting, Glare, Aesthetic View | Environmental |
| 2 | [19] | 2020 | Simulation–GA | - | Fixed shading system | EUI | Environmental |
| 3 | [20] | 2020 | Simulation–GA | - | Kinetic shading system | UDI | Environmental (visual comfort), aesthetic |
| 4 | [29] | 2021 | Experiments–MCDM | A ternary plot | Roller blinds, shading system | Glare model, View outside | Environmental (visual comfort), aesthetic |
| 5 | [21] | 2022 | Simulation–SPEA-II Pareto front | - | PV integrated vertical shading | CTR, DGP, EUI, ASE, UDI, Pout | Environmental |
| 6 | [15] | 2022 | Simulation–NSGA-II | - | Fixed shading system | UDI, SDA, PMV, PPD | Environmental |
| 7 | [17] | 2022 | Simulation–MCDM | Weighted sum, Min-Max, Pareto concept | Window shading | LCC, THC, HEN | Environmental, Economic |
| 8 | [16] | 2022 | Simulation–MOGA | - | Fixed shading system | Thermal comfort, UDI, EUI, Visual perception | Environmental |
| 9 | [30] | 2022 | Simulation–MCDM | AHP - TOPSIS | Adaptive façade | EUI, PPD, UDI, VF | Environmental |
| 10 | [33] | 2022 | Simulation–SPEA-II and NSGA-II | - | Fixed shading | EUI, UDI | Environmental |
| 11 | [34] | 2023 | Simulation–ANN - NSGA-II | - | Fixed four shading strategies | sDVA, SGA | Environmental |
| 12 | [26] | 2023 | Simulation–MCDM | MAUT | Shading systems | UDI, SDA, EUI, SGA | Environmental |
| 13 | [1] | 2023 | Simulation–MCDM | PROMETHEE II | Smart shading devices | Energy, Environment, Society | Environmental, Economic (cost) |
| 14 | [35] | 2023 | Simulation–ANN–MCDM | Sensitivity analysis–AHP | Façade form, sun shading | UDI, DF, SDA, ASE | Environmental |
| 15 | [36] | 2023 | Simulation–CatBoost ensemble NSGA-III | - | Fixed shading | EUI, SDA, ASE, UDI | Environmental |
| 16 | [37] | 2024 | Simulation–GA–ANN | - | Fixed shading systems | UDI, EUI, DA, CDA | Environmental |
| 17 | [12] | 2024 | Simulation–Metamodel NSGA-II–MCDM | AHP–TOPSIS, Entropy - TOPSIS | Fixed shading system | EUI, UDI, CDA, SG, DA | Environmental |
| 18 | [22] | 2024 | Simulation–Neural network SPEA-II, K-means clustering | - | Adaptive façade | UDI, QV, SR, PVG | Environmental |
| 19 | [32] | 2024 | Simulation–SPEA-II–MCDM | AHP–CRITIC–TOPSIS | Fixed shading | EUI, Thermal comfort, UDI, AVQ | Environmental |
| 20 | [18] | 2025 | Simulation–Multiple regression MCDM–MOGA | ANP | Perforated shading system Vertical fins | ASE, CDA, EUI, SG, UDI | Environmental, aesthetic |
| 21 | [38] | 2025 | Simulation–Neural network NSGA-II | - | Self-shading, Louver shading | sUDI, sGA, EUI, U | Environmental |
| Saaty Scale | Verbal Meaning | TFN |
|---|---|---|
| 1 | Equal importance | (1, 1, 1) |
| 2 | Weak importance | (1, 2, 3) |
| 3 | Moderate importance | (2, 3, 4) |
| 4 | Moderate plus | (3, 4, 5) |
| 5 | Strong importance | (4, 5, 6) |
| 6 | Strong plus | (5, 6, 7) |
| 7 | Very strong importance | (6, 7, 8) |
| 8 | Very very strong importance | (7, 8, 9) |
| 9 | Extreme importance | (8, 9, 9) |
| Linguistic Term | TFN |
|---|---|
| Very Weak (VW) | (0, 0.1, 0.2) |
| Weak (W) | (0.2, 0.3, 0.4) |
| Moderate (M) | (0.4, 0.5, 0.6) |
| Strong (S) | (0.6, 0.7, 0.8) |
| Very Strong (VS) | (0.8, 0.9, 1.0) |
| Category | Details | Input Value |
|---|---|---|
| Location | Mansoura weather | 31.0409° N, 31.3785° E Annual weather data EPW file from energy plus |
| Radiance | Reflectance (wall, floor, ceiling, shading) | 0.5, 0.2, 0.7, 0.3 |
| Transmittance | 0.6 | |
| Radiance parameters | IDA super high precision | |
| Annual occupancy density | From 8:00 a.m. to 6:00 p.m. | |
| Energy Plus | Analysis grid | 255 measuring points with the grid’s resolution of 0.25 m × 0.25 m at the height of 0.75 m above the floor |
| Construction Walls (south, west) | U-value: 2.57 W/K | |
| Construction (ceiling, floor, sidewalls) | Adiabatic Wall | |
| Window | U-value: 1.68 W/K SHGC: 0.42, sol: 0.35 vis: 0.63 | |
| HVAC | Ideal Air Load | |
| Natural ventilation | Not assigned | |
| Lighting control | Illuminance Setpoint = 300 lux | |
| Clothing level | Climate zone temperature |
| Fins | PSS | Light Shelves | ||||||
|---|---|---|---|---|---|---|---|---|
| Parameter | Range | Parameter | Range | Parameter | Range | |||
| Minimum | Maximum | Minimum | Maximum | Minimum | Maximum | |||
| Depth | 0.1 m | 0.2 m | Extrude boundary | 0.1 m | 0.2 m | Count | 1 | 10 |
| Angle | −45° | 45° | Point coordinate (x) | 0.1 m | 1 m | Tilt angle | −45° | 45° |
| Count | 5 | 15 | Point coordinate (y) | 0.1 m | 1 m | Depth | 0.02 m | 0.1 m |
| Opening Ratio | 0.3 | 0.9 | Location | Inside–Outside | ||||
| Model | Optimized Hyperparameters and Ranges |
|---|---|
| ANN | Activations (Relu, Tanh, Sigmoid); Standardize (true, false); Lambda (log-scaled: [0.00001, 100,000]); Layer weight initializer (Glorot, he); Layer bias initializer (zero, one); Layer sizes (1, 2, 3 layers; each layer: 1–300 neurons). |
| SVM | Box constraint (log-scaled [0.001, 1000]); Kernel scale (log-scaled [0.001, 1000]); Epsilon (log-scaled [0.001, 100] (response values)/1.349); Kernel function (gaussian, linear, polynomial); Polynomial order (2, 4); Standardize (true, false). |
| DT | Minimum leaf size (log-scaled [1, ]); Maximum number of splits (log-scaled [1, ]); Number of variables to sample (1, 12). |
| Ensemble | Method (LSBoost, Bag); Number of learning cycles (log-scaled [10, 500]); Learning rate (log-scaled [0.001, 1]); Minimum leaf size (log-scaled [1, ]); Maximum number of splits (log-scaled [1, ]); Number of variables to sample ([1, ]). |
| Fixed settings | |
| Number of objective function evaluations | 200 |
| Parallel optimization | Use parallel |
| System | South | West | ||
|---|---|---|---|---|
| Parameter | Value | Parameter | Value | |
| SOGA | Depth | 0.21 m | Depth | 0.3 m |
| Angle | 45° | Angle | 45° | |
| Count | 14 | Count | 15 | |
| NSGA-II | Depth | 0.29 m | Depth | 0.3 m |
| Angle | 6.6° | Angle | 44° | |
| Count | 15 | Count | 14 | |
| System | South | West | ||
|---|---|---|---|---|
| Parameter | Value | Parameter | Value | |
| SOGA | Extrude boundary | 0.10 m | Extrude boundary | 0.1 m |
| X | 0.54 m | X | 0.99 m | |
| Y | 0.01 m | Y | 0.03 m | |
| Opening ratio | 0.43 | Opening ratio | 0.87 | |
| NSGA-II | Extrude boundary | 0.1 m | Extrude boundary | 0.1 m |
| X | 0.01 m | X | 0.5 m | |
| Y | 0.72 m | Y | 0.78 m | |
| Opening ratio | 0.77 | Opening ratio | 0.89 | |
| System | South | West | ||
|---|---|---|---|---|
| Parameter | Value | Parameter | Value | |
| SOGA | X | 0.14 m | X | 0.47 m |
| Y | 0.80 m | Y | 0.29 m | |
| Opening ratio | 0.46 | Opening ratio | 0.53 | |
| Count | 5 | Count | 8 | |
| Depth | 0.01 m | Depth | 0.09 m | |
| Angle | 1.49° | Angle | −23.8° | |
| NSGA-II | X | 0.96 m | X | 0.94 m |
| Y | 0.09 m | Y | 0.03 m | |
| Opening ratio | 0.39 | Opening ratio | 0.87 | |
| Count | 2 | Count | 5 | |
| Depth | 0.04 m | Depth | 0.09 m | |
| Angle | −32.87° | Angle | −14.31° | |
| System | UDI (%) | SDA (%) | ASE (%) | SGA (%) | COMF (%) | EUI (kWh/yr) | LEED v4.1 Satisfaction |
|---|---|---|---|---|---|---|---|
| Baseline | 69.32 | 75.00 | 50.00 | 37.50 | 24.68 | 320.56 | Not compliant (ASE > 10) |
| Fins | 67.45 | 39.08 | 7.40 | 82.46 | 32.73 | 283.06 | Partially compliant (ASE ✓, SDA < 55) |
| PSS + Light Shelves | 40.69 | 1.65 | 0.00 | 103.57 | 26.11 | 312.55 | Not compliant (SDA < 25) |
| PSS | 62.25 | 27.82 | 0.00 | 78.68 | 29.17 | 297.16 | Partially compliant (ASE ✓, SDA < 55) |
| System | UDI (%) | SDA (%) | ASE (%) | SGA (%) | COMF (%) | EUI (kWh/yr) | LEED v4.1 Satisfaction |
|---|---|---|---|---|---|---|---|
| Baseline | 69.32 | 75.00 | 50.00 | 37.50 | 24.68 | 320.56 | Not compliant (ASE > 10) |
| Fins | 68.21 | 49.65 | 7.06 | 76.21 | 33.12 | 283.55 | Partially compliant (ASE ✓, SDA < 55) |
| PSS + Light Shelves | 63.65 | 34.04 | 0.00 | 84.01 | 26.11 | 312.22 | Partially compliant (ASE ✓, SDA < 55) |
| PSS | 61.99 | 27.98 | 0.00 | 83.35 | 29.41 | 296.21 | Partially compliant (ASE ✓, SDA < 55) |
Disclaimer/Publisher’s Note: The statements, opinions and data contained in all publications are solely those of the individual author(s) and contributor(s) and not of MDPI and/or the editor(s). MDPI and/or the editor(s) disclaim responsibility for any injury to people or property resulting from any ideas, methods, instructions or products referred to in the content. |
© 2025 by the authors. Licensee MDPI, Basel, Switzerland. This article is an open access article distributed under the terms and conditions of the Creative Commons Attribution (CC BY) license (https://creativecommons.org/licenses/by/4.0/).
Share and Cite
Gaber, B.; Zhan, C.; Han, X.; Omar, M.; Li, G. A Customer-Oriented Holistic Approach to Solar Shading Design: Enhancing Efficiency in an Existing Educational Building. Buildings 2025, 15, 4105. https://doi.org/10.3390/buildings15224105
Gaber B, Zhan C, Han X, Omar M, Li G. A Customer-Oriented Holistic Approach to Solar Shading Design: Enhancing Efficiency in an Existing Educational Building. Buildings. 2025; 15(22):4105. https://doi.org/10.3390/buildings15224105
Chicago/Turabian StyleGaber, Basma, Changhong Zhan, Xueying Han, Mohamed Omar, and Guanghao Li. 2025. "A Customer-Oriented Holistic Approach to Solar Shading Design: Enhancing Efficiency in an Existing Educational Building" Buildings 15, no. 22: 4105. https://doi.org/10.3390/buildings15224105
APA StyleGaber, B., Zhan, C., Han, X., Omar, M., & Li, G. (2025). A Customer-Oriented Holistic Approach to Solar Shading Design: Enhancing Efficiency in an Existing Educational Building. Buildings, 15(22), 4105. https://doi.org/10.3390/buildings15224105

