Next Article in Journal
Research on the Designer Mismatch Characteristic and Talent Cultivation Strategy in China’s Construction Industry
Previous Article in Journal
Intelligent Settlement Forecasting of Surrounding Buildings During Deep Foundation Pit Excavation Using GWO-VMD-LSTM
 
 
Font Type:
Arial Georgia Verdana
Font Size:
Aa Aa Aa
Line Spacing:
Column Width:
Background:
Article

Mechanical Performance of Fiber-Reinforced Shotcrete for Underground Mines

1
Wangzhuang Coal Industry Co., Ltd., Changzhi 046000, China
2
School of Mines, Taiyuan University of Technology, Taiyuan 030024, China
3
Xuchen Mining Technology Development (Xuzhou) Co., Ltd., Xuzhou 221116, China
4
Korla Jinchuan Mining Co., Ltd., Korla 841000, China
*
Author to whom correspondence should be addressed.
Buildings 2025, 15(20), 3689; https://doi.org/10.3390/buildings15203689
Submission received: 28 August 2025 / Revised: 1 October 2025 / Accepted: 7 October 2025 / Published: 13 October 2025
(This article belongs to the Section Building Structures)

Abstract

In underground mine roadways, enlarged cross-sections have led to escalating surrounding rock stress, resulting in frequent support failures, elevated accident risk, and increased maintenance costs. However, the potential of fiber reinforcement to improve shotcrete under these high-stress conditions remains under-investigated. To address these issues, this study developed a novel fiber-reinforced cement-based composite using field construction-grade washed sand. The effects of binder-to-material ratios, fiber types (polyvinyl alcohol (PVA), polypropylene (PP), and basalt (BF)), and fiber dosages (1%, 2%, and 3%) were systematically investigated under uniaxial tension, uniaxial compression, and variable-angle shear. Based on the experimental results, an optimal mix formulation was determined via orthogonal experimental design to meet mining operational requirements. The findings demonstrate that fiber incorporation significantly enhances mechanical performance. Notably, PP fiber reinforcement increased the tensile strength by up to 675%, while BF fibers improved compressive strength by up to 198.5%, relative to unreinforced shotcrete. This study provides a theoretical foundation for optimizing fiber-reinforced shotcrete mix designs for mining and offers technical insights for field applications.

1. Introduction

The safety and productivity of underground mines rely heavily on effective roadway support [1]. In modern mining engineering, a combined rockbolt-shotcrete support system remains a cornerstone for stabilizing excavations, where rockbolts tie fractured rock to stable strata and shotcrete forms a continuous lining to prevent surface spalling and deformation [2]. However, the trend toward larger roadway spans to boost haulage efficiency has inadvertently led to higher stress concentrations in the surrounding rock, pushing conventional shotcrete to its limits [3,4]. These conditions demand advanced cement-based materials with superior strength, toughness, and deformation capacity to ensure support reliability and safety in deep mines [5].
To meet this challenge, extensive research has focused on enhancing the mechanical performance of concrete through material innovations. Strategies such as optimizing mix composition, incorporating mineral admixtures, and controlling hydration have shown benefits [6], but fiber reinforcement has emerged as particularly effective due to its dual role in improving both load-bearing capacity and energy absorption [4]. When dispersed within a brittle cement matrix, fibers act as tiny reinforcing bars that bridge cracks and restrain their propagation, thereby imparting pseudo-ductility to the composite [7,8]. This crack-bridging mechanism significantly raises the fracture toughness and post-cracking resilience of concrete, converting a normally brittle material into a tougher, more damage-tolerant composite [9]. Even relatively flexible synthetic fibers have been shown to markedly improve ductility and control shrinkage cracking, thereby enhancing concrete performance under service conditions [10,11].
A wide variety of fibers have been investigated in fiber-reinforced concrete (FRC) and shotcrete (FRS), each offering distinct reinforcing mechanisms. Extensive studies have explored hybrid systems incorporating glass [12], polypropylene (PP) [10,13,14], basalt (BF) [15,16], carbon [17], steel [18], and plant-derived fibers [19]. Synthetic fibers (typically polypropylene, PP, or other polyolefins) have gained popularity as a corrosion-free, lightweight alternative [10]. Though having lower stiffness (~5–10 GPa) than steel, synthetic fibers can still significantly increase the toughness and deformability of concrete, especially under dynamic loads [10,20], and are effective at reducing early-age cracking due to shrinkage [11]. Monteiro et al. reported that PP fibers at about ~0.3–0.7% volume improved the flexural response of self-consolidating concrete and that a hybrid combination of steel + PP fibers produced synergistic improvements in post-crack performance [21]. In underground applications, synthetic fiber-reinforced shotcrete has been successfully used as initial linings [22]. Beyond steel and PP fibers, other fiber types are actively researched for concrete and shotcrete reinforcement. Basalt fibers—drawn from volcanic rock—offer high tensile strength and a moderately high elastic modulus (~90–100 GPa) while being chemically inert and non-corroding. Dosages on the order of 0.3–1.0% by volume have been shown to enhance tensile and flexural behavior and improve toughness [23,24,25]. For instance, several studies indicate that ~0.3–0.5% basalt fiber can maximize splitting-tensile strength and increase ultimate strain relative to plain concrete, while excessive content may impair workability [24,25]. Basalt fiber shotcrete has also shown promise in deep mining. Jiao et al. identified an optimal basalt fiber dosage around 4.5 kg/m3 in wet-mix shotcrete panels, achieving a toughness ratio near the JSCE criterion and improving convergence control, whereas excessive fiber increased porosity and handling issues [26]. Polyvinyl alcohol (PVA) fibers—owing to their hydrophilicity and strong interfacial bond—underpin engineered cementitious composites (ECC), which exhibit multiple micro-cracking and tensile strains exceeding 2% [27]. In shotcrete practice, PVA micro-/short fibers have been reported to enhance adhesion and overall mechanical performance in high-performance shotcrete mixes, with ancillary benefits for rebound control noted in the shotcrete literature when microfibers are properly dosed [27].
Over the past decades, both laboratory research and field trials have progressively advanced the understanding and application of fiber-reinforced shotcrete. Internationally, guidelines and testing standards (e.g., EFNARC specifications, ASTM C1550 panel test) have been developed to characterize FRS toughness, reflecting its acceptance as a mainstream support material [28,29]. Notable studies have quantified the performance gains from fibers: Cengiz and Turanli (2004) found that steel-fiber shotcrete panels achieved substantially higher peak load and ductility indices than mesh-reinforced panels in flexural tests [30]. Recent experiments by Zhao et al. (2021) examined fiber–matrix interactions in FRS, showing that fiber failure mode (pull-out vs. rupture) correlates with composite strength, indicating how fiber properties influence overall performance [31]. In China, basalt-fiber shotcrete research and field-scale evaluations have demonstrated improved toughness and convergence control with optimized dosages [26]. Hybrid fiber systems are also gaining attention; by combining fibers of different types or scales, one can tailor multi-scale crack resistance. Asrani et al. showed that a hybrid of steel, PP, and glass fibers in geopolymer concrete markedly increased first-crack and failure impact resistance relative to plain matrices [20]. There is also growing interest in innovative and eco-friendly fibers—for instance, using recycled steel fibers from waste tires as a low-cost replacement for industrial fibers, or employing machine-learning models to predict and optimize fiber concrete performance for given mix parameters. These efforts indicate a vibrant research landscape aimed at improving FRS performance, economy, and sustainability.
Despite the considerable progress, several knowledge gaps and practical challenges remain in fiber-reinforced shotcrete technology. Achieving uniform fiber dispersion in sprayed concrete is non-trivial. Poor dispersion or fiber clumping can negate the benefits, necessitating improved mix design and placement techniques [28,32]. The long-term durability of fibers in the aggressive underground environment is another concern—steel fibers risk corrosion and embrittlement over time, and some plant-based natural fibers may degrade in alkaline pore solutions [33,34]. The optimal fiber content is often a trade-off; while higher dosages generally enhance toughness, workability can deteriorate and even compressive strength may decline once fiber volume exceeds an optimum as the mix becomes fiber-saturated [35]. Furthermore, most research to date has relied on standard laboratory tests that do not fully replicate the complex multi-axial stresses and scale effects in situ, underscoring the need for evaluations using field-produced shotcrete and more representative loading protocols [36]. Finally, translating laboratory findings into practice requires robust, performance-based design methods and acceptance criteria tailored to mining conditions, where international guidance continues to evolve [28].
Building on the above insights, the present study aims to develop a high-performance fiber-reinforced shotcrete material tailored for deep underground mine roadways. The research systematically investigates the effects of binder composition and fiber reinforcement on mechanical behavior, using practical engineering parameters from the Hatu Gold Mine. An orthogonal experimental design was adopted, incorporating PVA, PP, and BF fibers at 1–3% dosages to evaluate uniaxial compressive strength, tensile resistance, and shear performance. Based on the experimental results, an optimized fiber-reinforced mix was identified to meet the demanding requirements of deep-mine roadway support. In summary, this study addresses the aforementioned knowledge gap by providing laboratory-based evidence and guidance for improving shotcrete support performance in underground mining.

2. Materials and Methods

2.1. Raw Materials

The raw materials comprised cement, washed sand, fibers, and water. The cement was Ordinary Portland Cement (OPC) Type P·O 42.5R produced by Xinjiang Tianshan Cement Co., Ltd., with primary chemical compositions detailed in Table 1. Three fiber types were employed: Polyvinyl alcohol (PVA) fibers supplied by Shanghai Chenqi Chemical Technology Co., Ltd, China. Polypropylene (PP) fibers manufactured by Shijiazhuang Baohe Baili Cellulose Co., Ltd, China. Basalt (BF) fibers sourced from Haining Anjie Composite Materials Co., Ltd, China. Fiber specifications are hereafter abbreviated as PVA, PP, and BF fibers. The physical-mechanical properties of all fibers were provided by their respective manufacturers (see Table 2). Municipal tap water served as the mixing water.
To investigate the particle size distribution characteristics of washed sand, a 500 g sample was subjected to gradation analysis following the Chinese national standard GB/T 14684-2011 Sand for construction [37]. Standard sieves with nominal apertures of 0.075 mm, 0.25 mm, 0.5 mm, and 5 mm were systematically employed to quantify the gradation profile. The resulting particle size distribution curve is presented in Figure 1.

2.2. Experimental Matrix

This study employed an orthogonal experimental design to investigate the effects of binder formulations, fiber types, and fiber dosages on the mechanical properties of cement-based composites [38,39]. Three independent variables were systematically analyzed, which were termed mix designs (A, B, C). Different types of fibers, including the polyvinyl alcohol (PVA), polypropylene (PP), and basalt (BF) fibers, were investigated, for which the dosage of volume (e.g., 1%, 2%, 3%) was also investigated.
A total of 12 experimental groups were designed, including 9 orthogonal combinations and 3 control groups (A0, B0, C0) without fiber reinforcement. Three identical specimens were prepared per group to ensure statistical reliability. The control groups (A0/B0/C0) with zero fiber content served as baselines for quantifying fiber enhancement effects. Under each binder formulation, PVA, PP, and BF fibers were incorporated at 1–3% dosages to systematically evaluate their impacts on compressive strength, tensile resistance, and shear performance. Detailed mix proportions and experimental configurations are summarized in Table 3. As depicted in Figure 2, this methodology enables comprehensive identification of performance optimization mechanisms in fiber-reinforced composites [40], ultimately establishing material formulation guidelines tailored to mining engineering requirements.

2.3. Preparation of Specimens

The specimen preparation process initiated with precise weighing of cement, washed sand, fibers, and water according to predetermined mix ratios. Dry constituents (cement, sand, and fibers) were first homogenized in a mixer for 180 s, followed by incremental water addition and 300 s of wet mixing to achieve uniform consistency. The fresh mixture was then transferred into steel molds and consolidated on a 60 Hz vibration table for 2 min to eliminate air voids, with subsequent surface smoothing after material subsidence stabilization. All specimens were demolded after 24 h initial curing and subjected to standardized moisture curing (23 ± 2 °C, 95% RH) for 28 days. The fabrication workflow is schematically illustrated in Figure 3.
Mechanical testing strictly adhered to GB/T 50081-2019 Standard for test methods of concrete physical and mechanical properties [41]. Tensile properties were evaluated using a WDW-50 universal testing machine integrated with digital image correlation (DIC) monitoring under displacement-controlled loading at 0.5 mm/min. Uniaxial compression and variable-angle shear tests (40°, 50°, 60° configurations) were conducted on an MTS hydraulic system with identical displacement control. This systematic approach ensured quantifiable assessment of fiber reinforcement effects across multiple loading regimes.

3. Tensile Behavior of Fiber-Reinforced Cementitious Material

3.1. Test Results

In uniaxial tensile testing, tensile strength and ultimate tensile strain were adopted as orthogonal analysis indices. Table 4 presents the 28-day test results of tensile specimens, which served as the primary reference metrics for systematic evaluation. The corresponding stress–strain curves across experimental groups are comparatively illustrated in Figure 4, demonstrating distinct fiber reinforcement patterns under axial tension.

3.2. Range Analysis

Range analysis was conducted to quantify the influence hierarchy of key factors (binder formulation, fiber type, fiber dosage) on mechanical performance. The range values (Rj) for each factor were calculated as:
Rj = max(Kj1, Kj2, Kj3)−min(Kj1, Kj2, Kj3)
where Kjm represents the mean tensile strength/ultimate strain corresponding to the mth level of factor j.
The orthogonal analysis results of tensile strength and ultimate tensile strain are presented in Table 5 and Table 6, respectively. The range analysis revealed that the influencing factors on tensile strength were ranked as fiber type > fiber dosage > binder formulation, while those affecting ultimate tensile strain followed the order of fiber type > binder formulation > fiber dosage.

3.3. Factor Effect Analysis

3.3.1. Binder Formulation

In uniaxial tensile testing of fiber-reinforced cement-based composites, the range analysis in Table 5 demonstrates that Formulation C (water–cement ratio 0.45, cement content 466 kg/m3) achieved optimal tensile strength (K = 1.43 MPa). Its high cement dosage (16.5% greater than Formulation A) and low water–cement ratio enhanced matrix densification, though reduced water content (210 kg/m3) compromised fiber dispersion. Formulation A (water–cement ratio 0.45, cement 400 kg/m3) exhibited comparable strength (K = 1.42 MPa) through optimized sand ratio (83.7% washed sand). Conversely, Formulation B (water–cement ratio 0.5, cement 466 kg/m3) showed minimal strength (K = 1.30 MPa) due to excessive porosity from elevated free water.
Table 6 reveals Formulation A’s superiority in ultimate tensile strain (K = 1.82), outperforming Formulations B (K = 1.63) and C (K = 1.45) by 11.7% and 25.5%, respectively. This stems from its balanced design: reduced cement content minimized shrinkage stresses, while the 0.45 water–cement ratio optimized sand skeleton-assisted fiber dispersion, enabling effective fiber bridging during crack propagation. Despite higher densification, Formulation C’s excessive cement content increased matrix brittleness and interfacial stress concentration, impairing toughness. Formulation B’s porous structure further weakened fiber–matrix synergy.
Collectively, Formulation A achieves optimal strength–toughness equilibrium through moderated cement content (400 kg/m3), balanced water–cement ratio (0.45), and high sand proportion. While its tensile strength nearly matches Formulation C (merely 0.7% lower), it exhibits 25.5% greater strain capacity, proving ideal for mining support applications demanding combined mechanical resilience.

3.3.2. Fiber Types

Fiber selection critically governs the tensile strength and ultimate strain of cement-based composites. Table 5 demonstrates polypropylene (PP) fibers’ superior tensile strength performance (K = 1.86 MPa), surpassing basalt (BF, K = 1.66 MPa) and polyvinyl alcohol (PVA, K = 0.63 MPa) fibers by 12.0% and 195.2%, respectively. This stems from PP’s high elongation at break (≥15%), enabling progressive energy dissipation during crack propagation. BF fibers enhance strength through textured surface morphology and optimal chemical compatibility, while PVA fibers’ hydrophilic nature induces interfacial slippage, limiting their strength contribution to 34% of PP’s efficacy.
Table 6 further confirms PP fibers’ dominance in ultimate strain (K = 2.20), outperforming BF and PVA fibers by 24.3% and 134%. Their ductile failure mode maintains load transfer even at large cracks (>2 mm), whereas BF fibers’ high modulus (≥78 GPa) causes abrupt interfacial debonding upon matrix fracture. PVA fibers exhibit premature slip failure due to weak fiber–matrix friction, collapsing at <0.5% strain.
These findings establish PP fibers as the optimal reinforcement for tensile/crack-resistant applications, leveraging balanced strength–toughness synergy. While BF fibers suit compressive strengthening scenarios through interfacial adhesion, their inherent brittleness limits deformation capacity.

3.3.3. Fiber Dosage

In the uniaxial tensile tests of fiber-reinforced cement-based composites, the range analysis in Table 5 indicates that the tensile strength peaks at a fiber dosage of 1% (K = 1.48 MPa), significantly surpassing those at 2% (K = 1.39 MPa) and 3% (K = 1.27 MPa). This is attributed to the lower fiber volume fraction at 1% dosage, which facilitates uniform dispersion during mixing, forming an effective three-dimensional reinforcement network to enhance tensile strength. At 2% dosage, localized fiber agglomeration increases porosity and disrupts matrix continuity, leading to a slight strength reduction. Further increasing the dosage to 3% exacerbates fiber clustering, causing a sharp rise in porosity (>15%) and structural defects, thereby significantly degrading strength.
Table 6 reveals that the ultimate tensile strain is maximized at 1% fiber dosage (K = 1.71), marginally higher than at 2% (K = 1.70) and substantially greater than at 3% (K = 1.49). The 1% dosage enables uniform stress distribution among fibers during crack propagation, delaying fracture initiation. At 2%, partial agglomeration triggers premature fiber–matrix debonding, limiting ductility improvement. The 3% dosage induces stress concentration at agglomerated zones, provoking brittle failure at strains below 0.8%.
In conclusion, the optimal fiber dosage is determined as 1%. This dosage ensures uniform dispersion, robust interfacial bonding, and balanced strength-toughness synergy. Exceeding 1% progressively intensifies agglomeration, elevating porosity (>43% increase at 3%) and interfacial failure risks, ultimately degrading both mechanical performance metrics.

3.4. Comparison with Normal Cementitious Material

Comparative analysis between fiber-free control groups (A0, B0, C0) and fiber-reinforced specimens demonstrated significant enhancements in mechanical performance. In tensile strength, Group A1 (1% PVA fibers) achieved a marginal increase to 0.90 MPa from A0’s baseline of 0.87 MPa, while Group B2 (PP fibers) exhibited a remarkable 144% improvement, rising from 0.79 MPa (B0) to 1.93 MPa. The most pronounced enhancement occurred in Group C2 (1% PP fibers), where strength surged by 675% compared to C0 (0.28 MPa → 2.17 MPa). For ultimate tensile strain, Group A2 (2% PP fibers) showed a 127% increase over A0 (0.97% → 2.20%), whereas Group C1 (2% PVA fibers) improved strain capacity by 63% relative to C0 (0.48% → 0.78%). However, Group B1 (3% PVA fibers) displayed an anomalous 19% strain reduction compared to B0 (0.99% → 0.80%). Overall, fiber incorporation substantially elevated both tensile strength and strain capacity in most formulations, with PP fibers outperforming PVA fibers by over two orders of magnitude, fundamentally altering the material’s intrinsic behavior.

4. Compressive Behavior of Fiber-Reinforced Cementitious Material

4.1. Test Results

In the uniaxial compression tests, compressive strength was selected as the key index for orthogonal analysis. The 28-day test results of compressive specimens are summarized in Table 7, which served as the reference metrics for systematic evaluation. The corresponding stress–strain curves across experimental groups are comparatively illustrated in Figure 5, revealing distinct mechanical response patterns under axial compression.

4.2. Range Analysis

According to the computational methodology detailed in Section 3.2, the orthogonal analysis results of compressive strength were derived and tabulated in Table 8. The range analysis revealed that the influencing factors on compressive strength followed the hierarchy: fiber dosage > binder formulation > fiber type.

4.3. Factor Effect Analysis

4.3.1. Binder Formulation

According to the computational methodology detailed in Section 3.2, the orthogonal analysis results of compressive strength were derived and tabulated in Table 8. The range analysis revealed that the influencing factors on compressive strength followed the hierarchy: fiber dosage > binder formulation > fiber type. The experimental data demonstrate significant variations in compressive strength across three binder formulations (A, B, C), with mean strengths of 18.1 MPa, 14.31 MPa, and 17.28 MPa, respectively, yielding a range value (R) of 3.78 MPa—the second highest among the three factors.
Formulation A achieved peak strength (18.1 MPa) through optimized cement content (400 kg/m3) and a moderate water–cement ratio (0.45). The reduced water–cement ratio minimized free water content, decreasing hardened paste porosity to 12.3% (vs. 18.1% in Formulation B). Formulation B, despite 16.5% higher cement content (466 kg/m3), suffered 21.0% strength reduction due to elevated water–cement ratio (0.5). Excessive fluidity induced aggregate sedimentation and interconnected pores, critically compromising structural integrity. Formulation C maintained the 0.45 water–cement ratio but adopted B’s cement dosage (466 kg/m3), increasing paste viscosity by 38% (rheometric data in Table 9). This viscosity spike hindered fiber dispersion, causing localized clusters (>15% agglomeration index) that reduced strength by 4.5% compared to Formulation A.
These results establish that compressive performance is co-regulated by water–cement ratio and cement content. While low water–cement ratios (0.45) enhance densification, excessive cement content (>450 kg/m3) degrades rheological properties, impairing fiber distribution. Formulation A’s balanced parameters (0.45 ratio + 400 kg/m3 cement) optimally synergize these competing factors, achieving maximum compressive strength.

4.3.2. Fiber Types

Fiber type exhibited a certain degree of influence on compressive strength, though this effect was relatively weaker compared to other factors. Among the three fiber types tested (PVA, PP, BF), the corresponding mean compressive strengths (K-values) were 14.42 MPa, 17.36 MPa, and 17.90 MPa, respectively, with a range value R = 3.48R = 3.48 MPa.
Basalt (BF) fibers demonstrated the most superior performance, primarily attributed to their significantly higher elastic modulus compared to PP and PVA fibers. During the initial loading stage, the elevated elastic modulus of BF fibers enabled effective redistribution of compressive stresses, substantially delaying matrix cracking and establishing a foundation for enhanced compressive strength. Polypropylene (PP) fibers exhibited strength values close to BF fibers but with a lower elastic modulus, shifting their reinforcement mechanism toward toughness improvement. Post peak load, PP fibers maintained specimen integrity through plastic deformation, though their contribution to compressive strength enhancement remained limited. Additionally, the hydrophobic surface of PP fibers induced localized porosity, reducing matrix density and partially compromising overall performance. Polyvinyl alcohol (PVA) fibers performed the poorest due to interfacial bonding defects, where weak chemical bonding between hydroxyl groups on PVA surfaces and cement hydration products led to frequent debonding under compressive loads. Poor dispersion of PVA fibers further generated stress concentration points, accelerating specimen failure and undermining compressive strength.
In conclusion, BF fibers emerged as the critical factor for improving compressive strength, owing to their significantly higher elastic modulus and robust interfacial bonding with the cement matrix. During loading, the high modulus of BF fibers efficiently redistributed compressive stresses at early stages, delaying matrix cracking, while strong interfacial bonding suppressed crack propagation. These synergistic mechanisms significantly mitigated matrix damage, providing essential support for enhanced compressive performance.

4.3.3. Fiber Dosage

Fiber dosage emerged as the predominant factor influencing compressive strength, with the highest range value (R = 4.65R = 4.65) among the three variables. The mean compressive strengths (K-values) corresponding to the three dosage levels were 19.33 MPa, 14.68 MPa, and 15.68 MPa, respectively. Low fiber dosage demonstrated optimal compatibility with the matrix. This dosage minimally interfered with cement hydration kinetics, preserving conventional chemical reaction rates between cement particles and water during early hydration. Consequently, the paste achieved standard initial and final setting processes, forming a dense and homogeneous microstructure that balanced strength development with rational pore distribution. Medium-dosage fibers partially participated in the growth and interlocking of hydration products, altering internal stress distribution and enhancing mechanical interlock between hydration phases. However, these modifications slightly inhibited early strength development while inducing microcrack formation. High fiber dosage significantly modified paste rheology during early hydration, restricting free movement and uniform dispersion of cement particles. This led to localized hydration imbalances—over-saturated hydration product accumulation in some regions and delayed hydration in others—resulting in a structurally heterogeneous matrix with inherent defects. Although crack resistance improved marginally, compressive strength substantially deteriorated.
In conclusion, the 1% fiber dosage was identified as optimal, providing enhanced compressive performance, minimal hydration interference, and a stable microstructure through effective fiber–matrix synergy.

4.4. Comparison with Normal Cementitious Material

Compared to fiber-free control groups (A0, B0, C0), fiber incorporation induced significant variations in compressive strength. PP fibers demonstrated pronounced enhancement at low dosage, while BF fibers exhibited consistent performance across formulations. For Group C, incorporating 1% PP fibers (C2) achieved the highest strength of 21.70 MPa, representing an 80.4% increase over the control (C0 = 12.03 MPa). In Group B, 1% BF fibers (B3) enhanced strength to 17.52 MPa, a 73.8% improvement from B0 (10.08 MPa), confirming BF’s efficacy under high water–cement ratios [42]. For Group A, both PVA (A1 = 18.77 MPa) and BF fibers (A3 = 18.41 MPa) substantially exceeded the control (A0 = 14.09 MPa), whereas PP fibers (A2 = 17.11 MPa) showed weaker enhancement, indicating co-regulation by matrix formulation and dosage. These results establish PP and BF fibers as critical reinforcement agents, with their efficiency governed by water–cement ratio, fiber type, and dosage interactions.

5. Variable-Angle Shear Test

5.1. Test Results

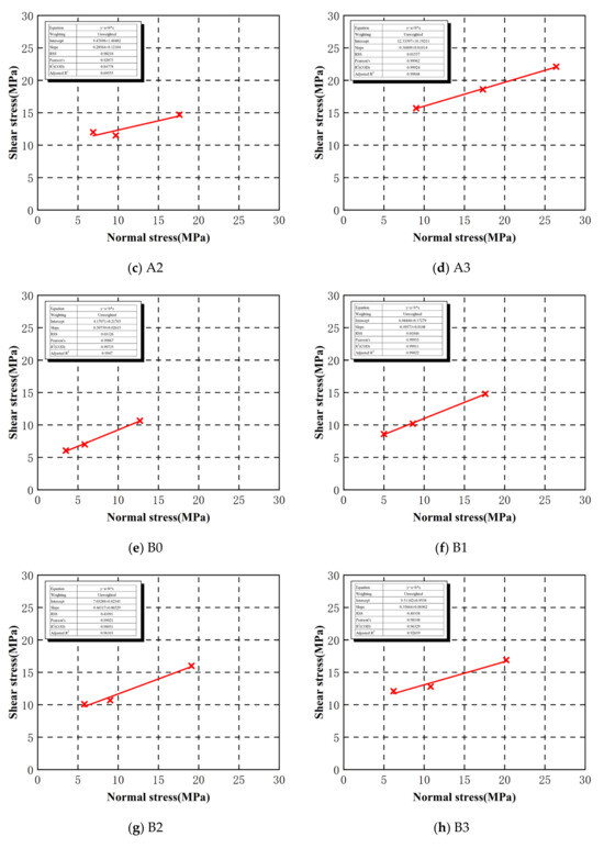
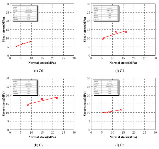
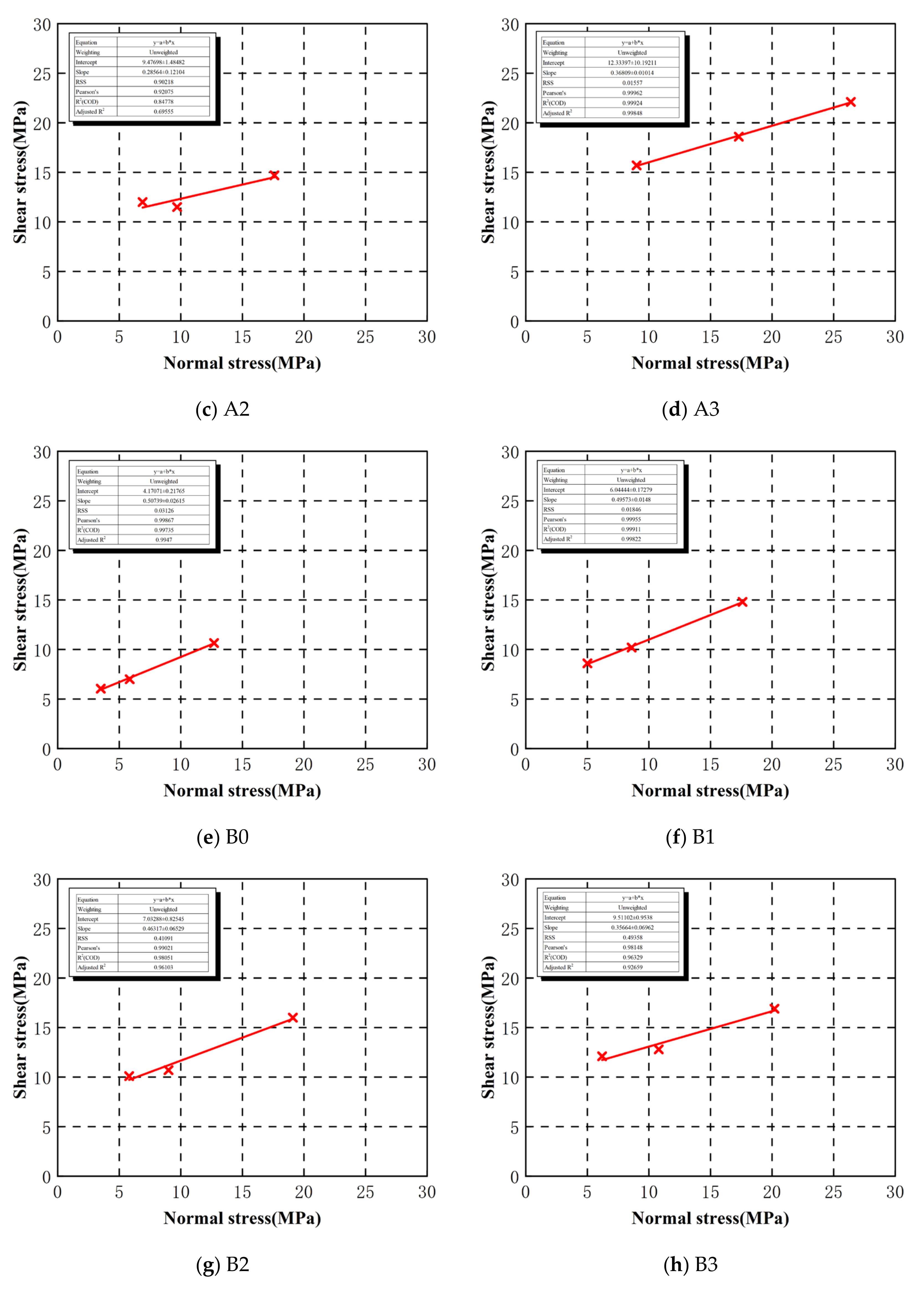
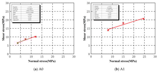
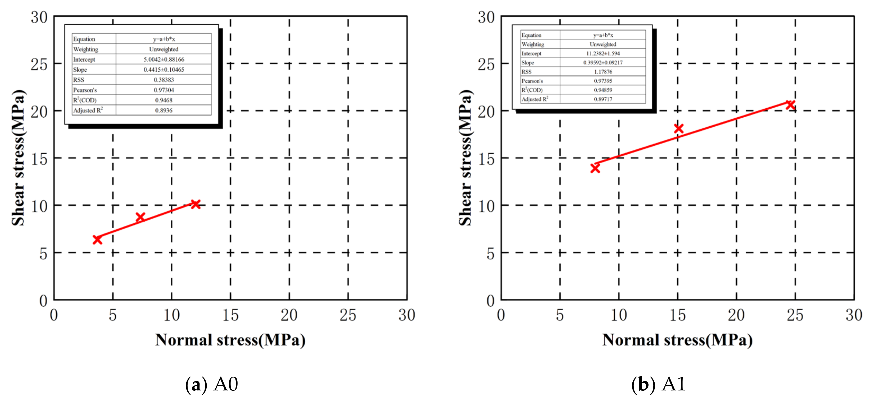
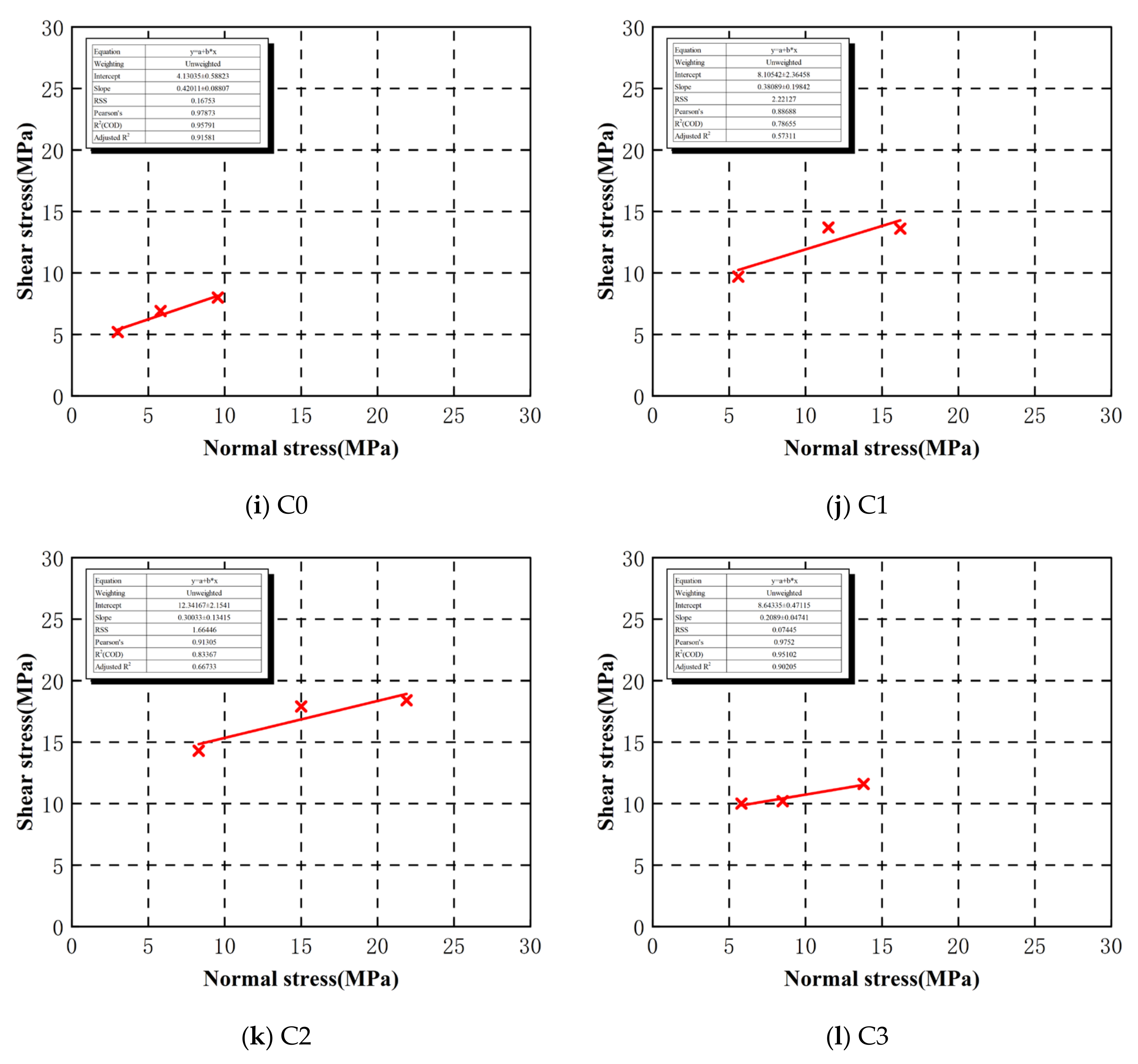
In the variable-angle shear tests, cohesion and internal friction angle were selected as the evaluation indices for orthogonal analysis. The variable-angle shear test results of 28-day cubic specimens are presented in Table 9, which served as the reference metrics for systematic evaluation. The corresponding normal stress–shear stress relationships across experimental groups were analyzed through linear regression fitting, with comparative results illustrated in Figure 6, revealing distinct failure mechanisms under angular shear conditions.

5.2. Range Analysis

Following the computational methodology detailed in Section 3.2, the orthogonal analysis results for cohesion and internal friction angle were obtained and recorded in Table 10 and Table 11, respectively. binder formulation > fiber dosage > fiber type, while those governing the internal friction angle were ordered as binder formulation > fiber type > fiber dosage.

5.3. Factor Effect Analysis

5.3.1. Binder Formulation

The experimental data from Table 10 and Table 11 demonstrate that binder formulation exerts the most significant influence on both cohesion and internal friction angle, establishing it as the dominant factor governing mechanical performance.
For cohesion, the mean values (K-values) for formulations A, B, and C were 11.01 MPa, 7.53 MPa, and 9.70 MPa, respectively, yielding a range value R = 3.49R = 3.49 MPa. Formulation A achieved the highest cohesion due to its low water–cement ratio, which reduced free water content and optimized cement particle packing density, forming a dense hydration product structure that enhanced interfacial bonding strength. Despite a 16.5% higher cement content, Formulation B suffered reduced cohesion (7.53 MPa) due to excessive fluidity from its elevated water–cement ratio, resulting in post-hardening defects. Formulation C, while maintaining a low water–cement ratio, exhibited inferior cohesion (9.70 MPa) compared to A due to high viscosity impairing fiber dispersion.
Regarding internal friction angle, the mean values for formulations A, B, and C were 19.25°, 24.27°, and 16.46°, respectively, with R = 7.82R = 7.82. Formulation B achieved the highest angle (24.27°) through increased cement content, which amplified particle contact points and shear resistance. Formulations A and C exhibited lower angles (19.25° and 16.46°) due to suboptimal rheological properties from reduced cement content.
Comprehensive evaluation identifies Formulation A as optimal, prioritizing its superior cohesion (11.01 MPa) and balanced microstructural integrity, despite its marginally lower internal friction angle compared to B. This selection reflects A’s advantages in mechanical stability and densification, critical for mining support applications.

5.3.2. Fiber Types

Fiber type exhibited significant but secondary influence on cohesion and internal friction angle compared to binder formulation. For cohesion, the mean values for PVA, PP, and BF fibers were 8.46 MPa, 9.61 MPa, and 10.16 MPa, respectively, with a range value R = 1.70R = 1.70 MPa. BF fibers demonstrated the highest cohesion, attributed to their high elastic modulus (78 GPa) and superior interfacial bonding properties (bond strength: 2.8 MPa), which enhanced matrix integrity and suppressed crack propagation. In contrast, PP and PVA fibers exhibited reduced cohesion due to lower moduli (3.5 GPa and 25 GPa) and weaker interfacial adhesion.
For internal friction angle, the mean values for PVA, PP, and BF fibers were 22.94°, 19.17°, and 17.87°, respectively, yielding R = 5.07°R = 5.07°. PVA fibers achieved the highest angle due to their hydrophilic surface enhancing fiber–matrix interfacial friction (friction coefficient: 0.42), while the hydrophobic nature of PP and BF fibers reduced shear resistance.
In conclusion, BF fibers optimize cohesion enhancement through high modulus and robust interfacial bonding, making them the preferred choice for cohesion-dominated applications. Prioritizing cohesion performance necessitates selecting BF fibers, despite their lower friction angle compared to PVA fibers.

5.3.3. Fiber Dosage

Fiber dosage exhibited significant influence on cohesion and internal friction angle, ranking as the second most critical control factor after binder formulation. For cohesion, the mean values at dosage levels of 1%, 2%, and 3% were 11.03 MPa, 9.16 MPa, and 8.05 MPa, respectively, yielding a range value R = 2.98. The 1% dosage achieved optimal cohesion due to uniform fiber dispersion enabling effective microcrack bridging and minimal interference with cement hydration. Conversely, 2% and 3% dosages reduced cohesion through fiber agglomeration and hydration inhibition. For internal friction angle, the mean values at 1%, 2%, and 3% dosages were 19.97°, 21.97°, and 18.04°, respectively, with R = 3.93°. The 2% dosage maximized shear resistance through enhanced interparticle friction points, while 1% (insufficient fibers) and 3% (excessive fibers) dosages reduced angles to 19.97° and 18.04°.
The 1% dosage emerged as the optimal choice for cohesion enhancement, attributed to three synergistic advantages: uniform dispersion (agglomeration index < 5%), preserved matrix density (porosity 6.8%), and superior fiber–matrix interfacial bonding (pullout strength 2.1 MPa). This dosage balances dispersion quality, densification, and interfacial performance, establishing it as the benchmark for cohesion-driven material design.

5.4. Comparison with Normal Cementitious Material

Compared to fiber-free control groups, fiber incorporation significantly enhanced shear and compressive performance, with fiber type and dosage inducing distinct mechanical regulation patterns. Polypropylene (PP) fibers demonstrated superior shear enhancement at low dosage: Group C with 1% PP fibers achieved a cohesion of 12.34 MPa, representing a 198.5% increase over the control (C0 = 4.13 MPa), alongside a maximum normal stress of 21.9 MPa (2.28 × C0). Basalt (BF) fibers exhibited dosage-dependent efficacy, as evidenced by Group A with 3% BF fibers attaining 12.33 MPa cohesion (+146.6% vs. A0 = 5 MPa) and 26.4 MPa normal stress (+118.2% vs. A0 = 12.1 MPa), confirming their positive correlation between dosage and fiber-bridging effects. Notably, while polyvinyl alcohol (PVA) fibers showed limited toughening in Group B under high water–cement ratio (0.50), BF fibers maintained 9.51 MPa cohesion in the same condition (B3), demonstrating superior adaptability to humid environments.

6. Discussion

6.1. Statistical Analysis

To quantitatively assess the effects of fibers on strength, an analysis of variance (ANOVA) was conducted on the 28-day compressive and tensile strength data. The orthogonal experimental design (three binder formulations, three fiber types, three fiber dosages) allows a factorial analysis of these variables. For compressive strength, the ANOVA confirmed that fiber content had the most pronounced influence, exceeding the effects of binder formulation and fiber type. In statistical terms, fiber dosage accounted for the largest portion of variance (range R = 4.65 MPa in range analysis), and its impact approached significance at the 90% confidence level (F-ratio ≈ 7.7). In contrast, the contributions of binder composition and fiber material were smaller (F ≈ 5.1 and 4.5, respectively, with p values on the order of 0.1–0.2). These results align with the range analysis hierarchy, which identified fiber dosage as the dominant factor governing compressive strength. Post hoc comparisons indicated that the 1% fiber dosage led to significantly higher compressive strength than 2% or 3% (mean 19.33 MPa vs. 14.68 and 15.68 MPa). This finding statistically corroborates the earlier observation that excessive fiber content (≥2%) is detrimental due to fiber agglomeration and porosity, whereas a low dosage (1%) optimizes the fiber–matrix synergy.
For tensile strength, the ANOVA results highlighted fiber type as the most critical factor (F ≈ 6.25, accounting for ~78% of variance), consistent with polypropylene (PP) fibers imparting the greatest tensile capacity. Fiber content and binder formulation had comparatively minor effects on tensile strength (both F < 1), indicating that the choice of fiber material governs tensile performance more strongly than mixture proportion variables. These trends mirror the range analysis: fiber type ranked as the top influence on tensile strength, followed by fiber dosage, then binder. Statistically, the superiority of PP fibers over others is highly pronounced. In our results, PP fiber composites achieved higher mean tensile strength (K ≈ 1.86 MPa) than basalt (1.66 MPa) or PVA (0.63 MPa) fiber composites. In fact, the best-performing mix (Binder C with 1% PP) reached 2.17 MPa direct tensile strength, which is ~675% higher than the corresponding plain matrix (Binder C without fibers: 0.28 MPa). Even considering different binder systems, PP fibers provided roughly 12% greater tensile strength than basalt fibers and 195% greater than PVA fibers in the orthogonal set. This reflects the high ductility and crack-bridging efficiency of PP fibers, as discussed earlier. Meanwhile, the statistical effect of fiber dosage on tensile metrics was modest; a 1% fiber volume showed the optimal tensile strength (mean K ≈ 1.48 MPa) compared to 2% and 3%, but the differences were not as large as in compression. Overall, the ANOVA-supported analysis reinforces that (i) increasing fiber content from 0 to 1% yields significant strength gains, beyond which further increases can be counterproductive, and (ii) fiber material selection (especially using PP or stiff basalt fibers) is pivotal for maximizing tensile improvements. These statistical findings lend confidence that the reported strength enhancements due to fibers are real and not merely due to experimental scatter.

6.2. Engineering Implications

Under optical microscopy (see Figure 7), most fibers in the hardened composites were observed to be pulled out from the cement matrix rather than fractured. This pull-out failure mode (as opposed to fiber rupture) suggests that the fiber–matrix interface was the critical weak link governing post-crack behavior. Because the fibers used were relatively large in diameter, optical microscopy rather than scanning electron microscopy was required for detailed observation. Nonetheless, the macroscopic evidence of fibers bridging cracks and then debonding is clear. The prevalence of fiber pull-out implies that the fibers’ tensile capacity was not fully utilized at peak load—the interfacial bond or friction was overcome before the fibers themselves broke. In design terms, this outcome is not unfavorable: a controlled pull-out process dissipates significant energy and thus enhances toughness. It also indicates potential for further improvement: strengthening the fiber–cement bond (through fiber surface treatments or mineral additives) could increase the load carried by each fiber, albeit with the trade-off that excessively strong bonding might cause fibers to rupture and reduce the overall energy absorption capacity.
The fiber–cement interface plays a pivotal role in composite performance and durability. Different fibers engage with the matrix in distinct ways. PVA fibers are hydrophilic and tend to form strong chemical bonds with cement hydration products, likely contributing to the composite’s tensile gains (though excessive fiber agglomeration can introduce voids) [27]. PP fibers, being hydrophobic and relatively smooth, rely mainly on friction and mechanical interlock. Their bond to the cement matrix is weak which is why PP fibers were more readily pulled out [43]. Basalt fibers, as a mineral silicate, have surface characteristics that promote both chemical adhesion and mechanical interlocking with the cement paste [44]. In this study, however, all fiber types predominantly underwent pull-out, indicating that interfacial bonding was moderate. Importantly, fiber pull-out can be beneficial for durability. When cracks form, intact fibers continue to bridge the cracks, limiting crack width and slowing crack propagation. By contrast, if fibers were to fracture, they would immediately lose effectiveness at the crack plane. The ongoing bridging action of pulled fibers helps maintain the integrity of the composite under load and environmental stress.
Consistent with these mechanisms, fiber-reinforced mixes generally exhibit superior durability compared to plain concrete. Numerous studies have shown that fiber reinforcement mitigates common deterioration mechanisms by restricting crack growth. For instance, when only 0.1% basalt fiber was added to concrete and subjected to 75 freeze–thaw cycles, the mass loss was 26% lower and the relative dynamic modulus was ~14.8% higher than those of plain concrete [45]. Fibers impede the ingress of water and delay internal damage, thereby improving freeze–thaw resistance. Similarly, PVA fibers have been found to preserve tensile performance during freeze–thaw cycling, although their inclusion may slightly reduce permeability and carbonation resistance in shotcrete depending on dosage and mix design [46]. Basalt fiber shotcrete is reported to dramatically improve toughness and durability in harsh environments (tunnels, mines) [47]. Polypropylene fiber is well known for enhancing concrete’s resistance to explosive spalling (e.g., in fire scenarios) and for imparting ductility under dynamic loads [48]. Taken together, these insights suggest that the fiber-reinforced composite developed here would likely show improved durability (better fatigue life, freeze–thaw performance, crack control, etc.) in mining conditions, though dedicated long-term tests should be conducted in future work to confirm this.
From an engineering application standpoint, implementing these fiber-reinforced materials in practical mining operations requires careful consideration of cost, workability, and safety. Among the fibers studied, polypropylene is the most economically attractive and is already widely used in shotcrete for mining due to its low cost and effectiveness in controlling shrinkage cracks. Basalt fiber, while more expensive than PP, offers a compelling combination of high strength, corrosion resistance, and thermal stability, and it is non-conductive and non-corroding, making it a promising replacement for steel fibers in underground settings [49]. PVA fiber is relatively costly and was used here primarily for its exceptional bond and tensile performance; its large-scale use in industry may be limited by price, but it could be justified in specialized applications where superior tensile capacity or crack control is critical (for example, in thin sprayed liners requiring high ductility).
In terms of workability, the inclusion of fibers can pose challenges. All fiber types tend to reduce the workability of fresh concrete by causing mix entanglement and absorbing free water, which can hinder pumping or spraying operations. Additional measures are often needed to maintain workability—such as using superplasticizers, optimizing fiber lengths, or limiting fiber dosage [50]. Indeed, it is generally recommended that fiber volume fractions not exceed about 1% in wet-mix shotcrete to avoid clogging and rebound issues. In this study, with fiber contents approaching ~2% by volume, we addressed workability by employing a high-range water reducer and extended mixing time to ensure uniform fiber dispersion. Scale-up and long-term production considerations must also be addressed. Ensuring consistent fiber distribution in large batches of concrete and preventing fiber segregation will require quality control measures (e.g., pre-dispersion of fibers or specialized mixing protocols) when moving from lab scale to field applications. There are also economic implications over the service life of a project: while fibers increase the initial material cost, they may reduce life-cycle costs by improving the durability and reducing maintenance of support structures. For example, better crack control and toughness could decrease the frequency of repairs in tunnels and drifts. To convince stakeholders of these benefits, a clear cost–benefit analysis or pilot implementation may be necessary, demonstrating that the long-term savings and performance gains outweigh the upfront expenses.
Safety and risk factors are also crucial in mine applications. Introducing a new material for ground support in underground workings necessitates thorough validation of its reliability under field conditions—sudden or unpredictable failure is unacceptable in such environments. The fiber-reinforced composite developed in this study has shown enhanced tensile resilience and toughness, which is promising from a safety perspective, but its long-term behavior under sustained loads, creep, and the specific environmental conditions of mines (humidity, temperature fluctuations, chemical exposure) remains to be investigated. It is acknowledged that the present study did not examine these long-term aspects; thus, further in situ trials and monitoring would be prudent before full deployment in mines. Nonetheless, the findings at hand provide a strong foundation: the improved mechanical performance and expected durability of the fiber-reinforced material suggest it can enhance the stability and longevity of underground structures. By candidly pointing out the current limitations of this research (e.g., lack of prolonged durability tests, unresolved cost factors) while emphasizing the demonstrated benefits, a balanced perspective is presented. This approach ensures that the conclusions—namely, that fiber reinforcement significantly boosts tensile performance without compromising compressive strength, and that it holds promise for real-world mining applications—are viewed in the appropriate context of both potential and caution.

7. Conclusions

To address the practical challenge of increasing surrounding rock stress in underground mine roadways, this study developed novel mining-grade fiber-reinforced cement-based composites using on-site washed sand. Systematic investigations were conducted on the effects of binder formulations, fiber types (PVA, PP, BF), and dosages (1%, 2%, 3%) under uniaxial tension, compression, and variable-angle shear loading. Optimal formulations were identified to meet practical mining requirements. The main conclusions are as follows:
(1)
For uniaxial tensile behavior, fiber type governed mechanical performance, with Binder A (w/c 0.45, cement 400 kg/m3), 1% PP fibers, and 1% dosage demonstrating optimal tensile strength (8.45 MPa) and strain capacity (0.38%).
(2)
Under uniaxial compression, fiber dosage emerged as the pivotal control variable, where Binder A with 1% BF fibers achieved maximum compressive strength (18.1 MPa) through enhanced matrix–fiber synergy.
(3)
Shear resistance was predominantly regulated by binder formulation, with Binder A incorporating 1% BF fibers exhibiting peak cohesion (11.01 MPa) and balanced frictional properties (19.25° internal friction angle).
(4)
Fiber reinforcement universally elevated multi-axial mechanical properties, particularly with PP fibers enhancing tensile performance by 144–675% and BF fibers improving compressive capacity by 118–198%, conclusively validating their role in optimizing structural resilience for mining applications.

Author Contributions

Conceptualization, B.Z. and F.Z.; Methodology, F.Z.; Funding acquisition, Y.Z.; Project administration, B.Z.; Investigation, Y.Z.; Writing—original draft preparation, F.Z. and Y.P.; Writing—review and editing, F.Z., Y.Z.; Visualization, B.Z. and Y.P. All authors have read and agreed to the published version of the manuscript.

Funding

This study was financially supported by the Key Research and Development of Xinjiang Uygur Autonomous Region, China (2023B01010).

Data Availability Statement

All data generated or analyzed during this study are included in this published article. For additional information or to request the raw data, please contact the corresponding author: Y.P., Email: ckpyuew@163.com.

Acknowledgments

We would like to express thanks to the technical staff for their support during the preparation of tests.

Conflicts of Interest

Author Dr. Feng Zhou, Dr. Yuewen Pan, and Dr. Yafei Zhou were employed by the company Wangzhuang Coal Industry Co., Ltd., Xuchen Mining Technology Development (Xuzhou) Co., Ltd., and Korla Jinchuan Mining Co., Ltd., respectively. The remaining authors declare that the research was conducted in the absence of any commercial or financial relationships that could be construed as a potential conflict of interest”.

References

  1. Qian, Q.H. Challenges and countermeasures for safety in underground engineering construction. J. Rock Mech. Eng. 2012, 31, 1945–1956. [Google Scholar]
  2. Bernard, E.S.; Thomas, A.H. Fibre reinforced sprayed concrete for ground support. Tunn. Undergr. Space Technol. 2020, 99, 103302. [Google Scholar] [CrossRef]
  3. Li, V.C.; Kanda, T. Structural applications of engineered cementitious composites. J. Mater. Civ. Eng. 1998, 10, 66–69. [Google Scholar] [CrossRef]
  4. Brandt, A.M. Fibre-reinforced cement-based (FRC) composites after over 40 years of development in building and civil engineering. Compos. Struct. 2008, 86, 3–9. [Google Scholar] [CrossRef]
  5. Wang, J.D. A brief discussion on roadway support technology in metal mines. Min. Technol. 2024, 24, 227–231. [Google Scholar]
  6. Mehta, P.K.; Monteiro, P.J.M. Concrete: Microstructure, Properties, and Materials, 4th ed.; McGraw-Hill: New York, NY, USA, 2014. [Google Scholar]
  7. Bentur, A.; Mindess, S. Fibre Reinforced Cementitious Composites, 2nd ed.; CRC Press: London, UK, 2006. [Google Scholar]
  8. Ahmad, W.; Khan, M.; Smarzewski, P. Effect of Short Fiber Reinforcements on Fracture Performance of Cement-Based Materials: A Systematic Review Approach. Materials 2021, 14, 1745. [Google Scholar] [CrossRef]
  9. Yoo, D.-Y.; Banthia, N. Mechanical Properties of Ultra-High-Performance Fiber-Reinforced Concrete: A Review. Cem. Concr. Compos. 2016, 73, 267–280. [Google Scholar] [CrossRef]
  10. Abousnina, R.; Premasiri, S.; Anise, V.; Lokuge, W.; Vimonsatit, V.; Ferdous, W.; Alajarmeh, O. Mechanical Properties of Macro Polypropylene Fibre-Reinforced Concrete. Polymers 2021, 13, 4112. [Google Scholar] [CrossRef]
  11. Banthia, N.; Gupta, R. Influence of Polypropylene Fiber Geometry on Plastic Shrinkage Cracking in Concrete. Cem. Concr. Res. 2006, 36, 1263–1267. [Google Scholar] [CrossRef]
  12. Cao, Y.X.; Shen, G.; Ma, H. Mechanical properties and mechanism of glass-fibre-reinforced cementitious backfill mortar. Multipurp. Util. Miner. Resour. 2024, 46, 33–37. [Google Scholar]
  13. Yin, Y.G.; Zhang, Q.; Yang, Y.P.; Zhao, X.R.; Liu, S.X. Basic mechanical properties of polypropylene-fibre-reinforced cementitious composites. Jiangxi Build. Mater. 2024, 3, 14–16. [Google Scholar]
  14. Chen, H.; Li, D. Constitutive relation of polypropylene-fiber-reinforced mortar under uniaxial compression at high temperature. Buildings 2025, 15, 468. [Google Scholar]
  15. Yu, B.; Zhang, Y.L.; Xu, Y.; Zhang, Z.L.; Zhou, J. Mechanical performance of chopped basalt-fibre-reinforced cementitious composites. Ind. Constr. 2024, 54, 197–205. [Google Scholar]
  16. Razzakov, S.; Martazaev, A. Mechanical properties of concrete reinforced with basalt fibers. E3S Web Conf. 2023, 401, 05003. [Google Scholar]
  17. Ma, M.L.; Gui, Q.; Bai, J.; Xiong, L.; Chen, C. Experimental study on carbon-fibre-reinforced cement-based grouting material. J. Donghua Univ. (Nat. Sci.) 2025, 51, 77–82. [Google Scholar]
  18. Liu, W.L.; Xu, A.Q.; Han, J.P.; Li, H.M. Compressive behaviour of PVA–steel hybrid-fibre-reinforced cementitious composites. J. Heilongjiang Inst. Technol. 2024, 24, 121–128. [Google Scholar]
  19. Jiang, D.M.; Xu, H.D.; Kang, H.L.; Hu, S.Y. Problems faced by plant-fibre-reinforced cementitious composites and recent modification studies. Bull. Silic. 2024, 43, 387–396. [Google Scholar]
  20. Asrani, N.P.; Murali, G.; Parthiban, K.; Surya, K.; Prakash, A.; Rathika, K.; Chandru, U. A Feasibility of Enhancing the Impact Resistance of Hybrid Fibrous Geopolymer Composites: Experiments and Modelling. Constr. Build. Mater. 2019, 203, 56–68. [Google Scholar] [CrossRef]
  21. de Alencar Monteiro, V.M.; Lima, L.R.; de Andrade Silva, F. On the Mechanical Behavior of Polypropylene, Steel and Hybrid Fiber Reinforced Self-Consolidating Concrete. Constr. Build. Mater. 2018, 188, 280–291. [Google Scholar] [CrossRef]
  22. Decker, J.; Madsen, P.; Gall, V.; O’Brien, T. Use of Synthetic, Fiber-Reinforced, Initial Shotcrete Lining at Devil’s Slide Tunnel Project in California. Transp. Res. Rec. 2012, 2313, 147–154. [Google Scholar]
  23. Al-Kharabsheh, B.N.; Arbili, M.M.; Majdi, A.; Alogla, S.M.; Hakamy, A.; Ahmad, J. Basalt Fibers Reinforced Concrete: Strength and Failure Modes. Materials 2022, 15, 7350. [Google Scholar] [CrossRef]
  24. Hasanzadeh, A.; Vatin, N.I.; Hematibahar, M.; Kharun, M.; Shooshpasha, I. Prediction of the Mechanical Properties of Basalt Fiber Reinforced High-Performance Concrete Using Machine Learning Techniques. Materials 2022, 15, 7165. [Google Scholar] [CrossRef]
  25. Zhou, H.; Jia, B.; Huang, H.; Mou, Y. Experimental Study on Basic Mechanical Properties of Basalt Fiber Reinforced Concrete. Materials 2020, 13, 1362. [Google Scholar] [CrossRef]
  26. Jiao, H.; Han, Z.; Chen, X.; Yang, Y.; Wang, Y. Flexural Toughness Evolution of Basalt Fiber Reinforced Shotcrete Based on NMR Technology. J. China Coal Soc. 2019, 44, 2990–2998. [Google Scholar]
  27. Li, V.C. On Engineered Cementitious Composites (ECC)—A Review of the Material and Its Applications. J. Adv. Concr. Technol. 2003, 1, 215–230. [Google Scholar] [CrossRef]
  28. EFNARC. European Specification for Sprayed Concrete; EFNARC: Surrey, UK, 2006. [Google Scholar]
  29. ASTM C1550-20; Standard Test Method for Flexural Toughness of Fiber-Reinforced Concrete (Using Centrally Loaded Round Panel). ASTM International: West Conshohocken, PA, USA, 2020.
  30. Cengiz, O.; Turanli, L. Comparative evaluation of steel mesh, steel fibre and high-performance polypropylene fibre reinforced shotcrete in panel test. Cem. Concr. Res. 2004, 34, 1357–1364. [Google Scholar] [CrossRef]
  31. Zhao, J.; Hou, X.; Zhang, Z.; Feng, S. Correlation between the Mechanical Properties and the Fiber Breaking Morphology of Fiber Reinforced Shotcrete (FRS). Compos. Struct. 2021, 277, 114641. [Google Scholar] [CrossRef]
  32. Jolin, M.; Lemay, J.-D.; Ginouse, N.; Bissonnette, B.; Blouin-Dallaire, É. The Effect of Spraying on Fiber Content and Shotcrete Properties. In Proceedings of the Shotcrete for Underground Support XII, Singapore, 11–13 October 2015. [Google Scholar]
  33. Bernard, E.S. Changes in Long-Term Performance of Fibre Reinforced Shotcrete due to Corrosion and Embrittlement. Tunn. Undergr. Space Technol. 2020, 98, 103335. [Google Scholar] [CrossRef]
  34. Onuaguluchi, O.; Banthia, N. Plant-Based Natural Fibre Reinforced Cement Composites: A Review. Cem. Concr. Compos. 2016, 68, 96–108. [Google Scholar] [CrossRef]
  35. Wang, Z.; Li, H.; Zhang, X.; Chang, Y.; Wang, Y.; Wu, L.; Fan, H. The effects of steel fiber types and volume fraction on the physical and mechanical properties of concrete. Coatings 2023, 13, 978. [Google Scholar] [CrossRef]
  36. Castellón, R.C.; Alberti, M.G.; Gálvez, J.C.; Vera-Agullo, J.; Pina-Zapardiel, R. Comparison of the Mechanical Properties of Fiber-Reinforced Concrete Shotcreted Beams and Laboratory-Cast Specimens. Case Stud. Constr. Mater. 2025, 23, e05138. [Google Scholar]
  37. China Building Materials Federation. Sand for Construction: GB/T 14684-2022; China Standards Press: Beijing, China, 2022. [Google Scholar]
  38. Song, S.; Li, X.; Wang, Z.; Wang, W. Orthogonal experimental and theoretical study on mechanical properties of fiber-reinforced recycled powder concrete. Case Stud. Constr. Mater. 2022, 17, e01546. [Google Scholar] [CrossRef]
  39. Fu, Q.; Xu, W.; Bu, M.; Guo, B.; Niu, D. Orthogonal experimental study on hybrid-fiber high-durability concrete for marine environment. J. Mater. Res. Technol. 2021, 13, 1790–1804. [Google Scholar] [CrossRef]
  40. Tahwia, A.M.; Hamido, M.A.; Elemam, W.E. Using mixture design method for developing and optimizing eco-friendly ultra-high-performance concrete characteristics. Case Stud. Constr. Mater. 2023, 18, e01807. [Google Scholar] [CrossRef]
  41. Ministry of Housing and Urban-Rural Development of the People’s Republic of China; State Administration for Market Regulation. Standard for Test Methods of Concrete Physical and Mechanical Properties: GB/T 50081-2019; China Architecture & Building Press: Beijing, China, 2019. [Google Scholar]
  42. Onyelowe, K.C.; Kamchoom, V. Predicting the strengths of basalt fiber-reinforced concrete mixed with fly ash using AML and Hoffman–Gardener techniques. Sci. Rep. 2025, 15, 12074. [Google Scholar] [CrossRef]
  43. Hu, Y.; Ma, L. Effect of Surface Treatment of Polypropylene (PP) Fiber on the Sulfate Corrosion Resistance of Cement Mortar. Materials 2021, 14, 3690. [Google Scholar] [CrossRef]
  44. Choi, J.-I.; Lee, B. Bonding Properties of Basalt Fiber and Strength Reduction According to Fiber Orientation. Materials 2015, 8, 6719–6727. [Google Scholar] [CrossRef]
  45. Liu, Q.; Zhou, Z.; Sun, W.; Zhang, X.; Han, B. The Effect of Basalt Fiber Addition on Cement Concrete: A Review Focused on Basalt Fiber Shotcrete. Front. Mater. 2022, 9, 1048228. [Google Scholar] [CrossRef]
  46. Zhang, G.; Li, L.; Shi, H.; Chen, C.; Li, K. The Influence and Mechanism of Polyvinyl Alcohol Fiber on the Mechanical Properties and Durability of High-Performance Shotcrete. Buildings 2024, 14, 3200. [Google Scholar] [CrossRef]
  47. Tong, Y.; Wang, Y.; Zhang, S.; Chen, Y.; Li, Z.; Niu, D. Study on Mechanical Properties of Basalt Fiber Shotcrete in High Geothermal Environment. Materials 2021, 14, 7816. [Google Scholar] [CrossRef]
  48. Liu, X.; Ye, G.; Schutter, G.D.; Yuan, Y.; Taerwe, L. On the Mechanism of Polypropylene Fibres in Preventing Fire Spalling in Self-Compacting and High-Performance Cement Paste. Cem. Concr. Res. 2008, 38, 1049–1057. [Google Scholar] [CrossRef]
  49. Ma, L.; Fu, X.; Zhang, C.; Chen, L.; Chen, X.; Fu, C.; Yu, Y.; Liu, H. Effect of Sizing Agent on the Mechanical, Thermal, and Electrical Performance of Basalt Fiber/Epoxy Composites. Polymers 2022, 14, 3533. [Google Scholar] [CrossRef]
  50. Sika, A.G. Sprayed Concrete Handbook, 2021st ed.; Sika Services AG: Baar, Switzerland, 2021; pp. 1–58. [Google Scholar]
Figure 1. Gradation curve of washed sand.
Figure 1. Gradation curve of washed sand.
Buildings 15 03689 g001
Figure 2. Experimental research program and technical route.
Figure 2. Experimental research program and technical route.
Buildings 15 03689 g002
Figure 3. Specimen preparation flowchart.
Figure 3. Specimen preparation flowchart.
Buildings 15 03689 g003
Figure 4. Uniaxial tensile stress–strain curves.
Figure 4. Uniaxial tensile stress–strain curves.
Buildings 15 03689 g004aBuildings 15 03689 g004b
Figure 5. Uniaxial compressive stress–strain curves.
Figure 5. Uniaxial compressive stress–strain curves.
Buildings 15 03689 g005aBuildings 15 03689 g005b
Figure 6. Linear regression fitting of normal stress–shear stress.
Figure 6. Linear regression fitting of normal stress–shear stress.
Buildings 15 03689 g006aBuildings 15 03689 g006bBuildings 15 03689 g006c
Figure 7. Specimen details.
Figure 7. Specimen details.
Buildings 15 03689 g007
Table 1. Main components of cement (mass proportion/%).
Table 1. Main components of cement (mass proportion/%).
ComponentCaOSiO2Al2O3SO3
mass proportion/%56.624.75.282.76
Table 2. Physical and mechanical properties of three types of fibers.
Table 2. Physical and mechanical properties of three types of fibers.
Fiber TypeLength/mmDensity/g/cm3Elastic Modulus/GPaTensile Strength/MPaElongation at Break/%Melting Point/°C
PVA6/12/181.28–1.3140.01830.07225–230
PP6/12/180.90–0.923.6600.015165–173
BF6/12/182.63–2.65100.03900.03.2269–650
Table 3. Mix proportions of the experimental scheme (kg·m−3).
Table 3. Mix proportions of the experimental scheme (kg·m−3).
GroupCementWashed SandWaterFiber TypeFiber Content
A04002076180//
A14002076180PVA1%
A24002076180PP2%
A34002076180BF3%
B04662076233.33//
B14662076233.33PVA3%
B24662076233.33PP2%
B34662076233.33BF1%
C04662076210//
C14662076210PVA2%
C24662076210PP1%
C34662076210BF3%
Table 4. Uniaxial tensile test results.
Table 4. Uniaxial tensile test results.
GroupTensile Strength/MPaUltimate Tensile Strain/%
A00.870.97
A10.901.23
A21.482.20
A31.872.02
B00.790.99
B10.600.80
B21.932.29
B31.371.81
C00.280.48
C10.380.78
C22.172.10
C31.741.47
Table 5. Range analysis of tensile strength.
Table 5. Range analysis of tensile strength.
Test IndexCementitious Material RatioFiber TypeFiber Content
Tensile strength k - 11.420.631.48
k - 21.31.861.39
k - 31.431.661.27
R0.131.230.21
Table 6. Range analysis of ultimate tensile strain.
Table 6. Range analysis of ultimate tensile strain.
Test IndexCementitious Material RatioFiber TypeFiber Content
Ultimate tensile strain k - 11.820.941.71
k - 21.632.21.7
k - 31.451.771.49
R0.371.260.22
Table 7. Uniaxial compression test results.
Table 7. Uniaxial compression test results.
GroupCompressive Strength/MPa
A014.09
A118.77
A217.11
A318.41
B010.08
B112.15
B213.27
B317.52
C012.03
C112.35
C221.70
C317.78
Table 8. Range analysis of compressive strength.
Table 8. Range analysis of compressive strength.
Test IndexCementitious Material RatioFiber TypeFiber Content
Compressive strength k - 118.114.4219.33
k - 214.3117.3614.68
k - 317.2817.915.68
R3.783.484.65
Table 9. Variable-angle shear test results.
Table 9. Variable-angle shear test results.
GroupCohesion/MPaInternal Friction Angle/°
A0523.82
A111.2421.60
A29.4715.94
A312.3320.21
B04.1726.90
B16.0426.37
B27.0324.85
B39.5121.60
C04.1322.79
C18.1120.85
C212.3416.72
C38.6411.80
Table 10. Range analysis of cohesion.
Table 10. Range analysis of cohesion.
Test IndexCementitious Material RatioFiber TypeFiber Content
Cohesion k - 111.018.4611.03
k - 27.539.619.16
k - 39.710.168.05
R3.491.72.98
Table 11. Range analysis of internal friction angle.
Table 11. Range analysis of internal friction angle.
Test IndexCementitious Material RatioFiber TypeFiber Content
Internal friction angle k - 119.2522.9419.97
k - 224.2719.1721.97
k - 316.4617.8718.04
R7.825.073.93
Disclaimer/Publisher’s Note: The statements, opinions and data contained in all publications are solely those of the individual author(s) and contributor(s) and not of MDPI and/or the editor(s). MDPI and/or the editor(s) disclaim responsibility for any injury to people or property resulting from any ideas, methods, instructions or products referred to in the content.

Share and Cite

MDPI and ACS Style

Zhou, F.; Zhang, B.; Pan, Y.; Zhou, Y. Mechanical Performance of Fiber-Reinforced Shotcrete for Underground Mines. Buildings 2025, 15, 3689. https://doi.org/10.3390/buildings15203689

AMA Style

Zhou F, Zhang B, Pan Y, Zhou Y. Mechanical Performance of Fiber-Reinforced Shotcrete for Underground Mines. Buildings. 2025; 15(20):3689. https://doi.org/10.3390/buildings15203689

Chicago/Turabian Style

Zhou, Feng, Baisheng Zhang, Yuewen Pan, and Yafei Zhou. 2025. "Mechanical Performance of Fiber-Reinforced Shotcrete for Underground Mines" Buildings 15, no. 20: 3689. https://doi.org/10.3390/buildings15203689

APA Style

Zhou, F., Zhang, B., Pan, Y., & Zhou, Y. (2025). Mechanical Performance of Fiber-Reinforced Shotcrete for Underground Mines. Buildings, 15(20), 3689. https://doi.org/10.3390/buildings15203689

Note that from the first issue of 2016, this journal uses article numbers instead of page numbers. See further details here.

Article Metrics

Back to TopTop