Optimization of Cast-Steel Tubular Circular-Hollow-Section Connections Based on Depth-First Search Algorithm
Abstract
1. Introduction
2. Optimization Methodology
- The selection module determines the fundamental 2D linear shape by analyzing the impact of stress distribution on two-dimensional simple line shapes.
- The optimization algorithm module utilizes a depth-first search algorithm to generate optimized combinations and exports the optimized geometric parameters as a “.py” file to determine the coordinates of control points.
- Subsequently, the module for geometric modeling carries out the processing of the “.py” file and generates the joint model as a “.x_t” file, following the specific guidelines provided in Section 2.2.
- A module for conducting numerical simulation analysis is employed, and the outcomes are exported in the format of “.xls” files to be utilized in the SCF analysis module (see Section 2.3).
- The applicability of the optimization framework is analyzed based on a comprehensive analysis of the stress concentration factor analysis module (refer to Section 3.2 for detailed information).
2.1. Module Selection
2.2. Optimization Algorithm
2.3. Geometric Model Construction
- (a)
- Firstly, separately establish the outer surface of the chord, the outer surface of the transition zone, the outer surface of the brace, and the end face. Then, stitch these three parts together and fill them internally to obtain a solid model X. Similarly, construct a solid model Y consisting of the inner surface of the chord, the inner surface of the optimized zone, the inner surface of the brace, and the end face. Perform Boolean operations on these two models to generate cast-steel nodes.
- (b)
- A cast-steel node comprises three components: the chord, the brace, and the optimized zone. Since both the chord and the brace are made from steel tubes, which can be generated based on their axis lines and diameter and wall thickness parameters, only the part inside the optimized area should be cut off for both the chord and the brace. The components in the optimized area can be generated by constructing their inner and outer surfaces and end face and then stitching them together. The latter approach was employed in this study for the purpose of geometric modeling.
3. Numerical Example
3.1. T-Joint
3.1.1. Joint Configuration
3.1.2. Solid Modeling
3.1.3. FE Modeling
3.2. Modeling Results and Discussion
3.2.1. Axial Load
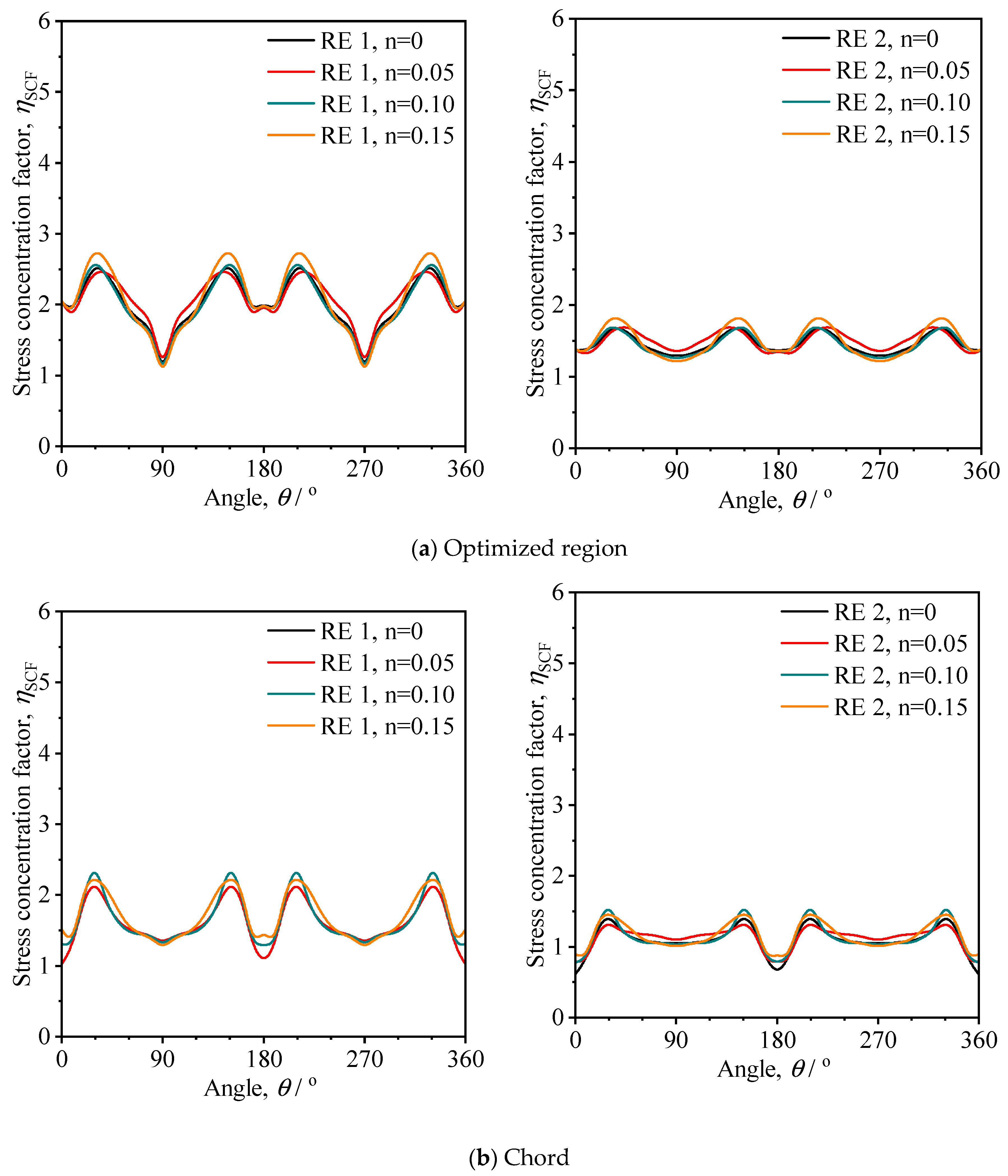
3.2.2. The Effect of the Axial Compression Ratio on ηSCF
3.2.3. Max Stress Concentration Factor, ηSCF,max, of Joints
4. Conclusions
- (1)
- The method proposed incorporates five fundamental modules: a selection module, an optimization algorithm module, a geometric modeling module, and a numerical analysis module. A basic connection method for joints was determined using a depth-first search algorithm, while parameterized modeling and analysis were conducted using Solidworks and Abaqus.
- (2)
- Compared to welded T-joints, this optimized method offers several advantages. It can significantly reduce stress concentration factors and create a more uniform stress distribution in the optimized zone, thereby facilitating efficient design solutions.
- (3)
- Under axial tensile loading, increasing the axial compression ratio slightly decreases the stress concentration factor of the chord in the optimized joint. Conversely, under axial compressive loading, increasing the axial compression ratio slightly increases this factor.
- (4)
- The optimization algorithm for 2D curves has demonstrated benefits; however, further research is required to comprehend the impact of optimizing these curves on stress effects in a three-dimensional space, aiming to achieve more efficient solutions.
Author Contributions
Funding
Data Availability Statement
Conflicts of Interest
References
- Xia, Q.; Ma, L.; Li, G.; Hu, C.; Zhang, L.; Xu, F.; Liu, Z.H. Stress Concentration Factors of Concrete-Filled Double-Skin Tubular K-Joints. Buildings 2024, 14, 1363. [Google Scholar] [CrossRef]
- Zheng, J.; Nakamura, S.; Ge, Y.; Chen, K.; Wu, Q. Formulation of stress concentration factors for concrete-filled steel tubular (CFST) T-joints under axial force in the brace. Eng. Struct. 2018, 170, 103–117. [Google Scholar] [CrossRef]
- Xu, F.; Zhou, X.; Chen, J.B.; Wang, Y.H.; Zhao, J. Plastic and punching shear strengths of concrete-filled steel tubular gapped K-joints without noding eccentricity under brace axial loading. Thin-Walled Struct. 2024, 112139. [Google Scholar] [CrossRef]
- Xu, F.; Chen, J.; Jin, W.-L. Experimental investigation of SCF distribution for thin-walled concrete-filled CHS joints under axial tension loading. Thin-Walled Struct. 2015, 93, 149–157. [Google Scholar] [CrossRef]
- Wei, Z.; Pei, X.; Jin, H. Evaluation of welded cast steel joint fatigue data using structural stress methods. J. Constr. Steel Res. 2021, 186, 106895. [Google Scholar] [CrossRef]
- Du, W.; Sun, Y.; Yang, M. Bearing capacity of the cast-steel joint with branches under eccentric load. J. Constr. Steel Res. 2017, 135, 285–291. [Google Scholar] [CrossRef]
- Zhu, J.H.; Zhang, W.H.; Xia, L. Topology optimization in aircraft and aerospace structures design. Arch. Comput. Methods Eng. 2016, 23, 595–622. [Google Scholar] [CrossRef]
- Shi, G.; Guan, C.; Quan, D.; Wu, D.; Tang, L.; Gao, T. An aerospace bracket designed by thermo-elastic topology optimization and manufactured by additive manufacturing. Chin. J. Aeronaut. 2020, 33, 1252–1259. [Google Scholar] [CrossRef]
- Hadjipantelis, N.; Weber, B.; Buchanan, C.; Gardner, L. Description of anisotropic material response of wire and arc additively manufactured thin-walled stainless steel elements. Thin-Walled Struct. 2022, 171, 108634. [Google Scholar] [CrossRef]
- Yan, J.J.; Chen, M.T.; Quach, W.M.; Yan, M.; Young, B. Mechanical properties and cross-sectional behavior of additively manufactured high strength steel tubular sections. Thin-Walled Struct. 2019, 144, 106. [Google Scholar] [CrossRef]
- Buchanan, C.; Gardner, L. Metal 3D printing in construction: A review of methods, research, applications, opportunities and challenges. Eng. Struct. 2019, 180, 332–348. [Google Scholar] [CrossRef]
- Zuo, W.K.; Chen, M.T.; Chen, Y.Y.; Zhao, O.; Cheng, B.; Zhao, J.C. Additive manufacturing oriented parametric topology optimization design and numerical analysis of steel joints in gridshell structures. Thin-Walled Struct. 2023, 188, 110817. [Google Scholar] [CrossRef]
- Chen, M.-T.; Zuo, W.; Huang, Y.; Cheng, B.; Zhao, J. Novel Paradigm for Steel Joints in Gridshell Structures: From Structural Optimization to Advanced Construction. Ce/Papers 2023, 6, 781–787. [Google Scholar] [CrossRef]
- Chen, M.-T.; Zuo, W.; Chen, Y.; Zhao, O.; Cheng, B.; Zhao, J. Parametric topology optimization design and analysis of additively manufactured joints in spatial grid structures. Eng. Struct. 2024, 300, 117123. [Google Scholar] [CrossRef]
- Wang, L.; Du, W.; He, P.; Yang, M. Topology optimization and 3D printing of three-branch joints in treelike structures. J. Struct. Eng. 2020, 146, 04019167. [Google Scholar] [CrossRef]
- Subedi, S.C.; Verma, C.S.; Suresh, K. A review of methods for the geometric post-processing of topology optimized models. J. Comput. Inf. Sci. Eng. 2020, 20, 060801. [Google Scholar] [CrossRef]
- Xia, L.; Zhang, L.; Xia, Q.; Shi, T. Stress-based topology optimization using bi-directional evolutionary structural optimization method. Comput. Methods Appl. Mech. Eng. 2018, 333, 356–370. [Google Scholar] [CrossRef]
- Fan, Z.; Xia, L.; Lai, W.; Xia, Q.; Shi, T. Evolutionary topology optimization of continuum structures with stress constraints. Struct. Multidiscip. Optim. 2019, 59, 647–658. [Google Scholar] [CrossRef]
- Seifi, H.; Rezaee Javan, A.; Xu, S.; Zhao, Y.; Xie, Y.M. Design optimization and additive manufacturing of nodes in gridshell structures. Eng. Struct. 2018, 160, 161–170. [Google Scholar] [CrossRef]
- Li, G.; Li, Z.; Zeng, Q.; Guo, X. Shape optimization of cast steel tubular joints based on subdivision surface and genetic algorithm. Thin-Walled Struct. 2024, 204, 112258. [Google Scholar] [CrossRef]
- Wang, Z.; Yuan, Y.; Zhang, S.; Lin, Y.; Tan, J. A multi-state fusion informer integrating transfer learning for metal tube bending early wrinkling prediction. Appl. Soft Comput. 2024, 151, 110991. [Google Scholar] [CrossRef]
- Wang, Z.; Wang, C.; Zhang, S.; Qiu, L.; Lin, Y.; Tan, J.; Sun, C. Towards high-accuracy axial springback: Mesh-based simulation of metal tube bending via geometry/process-integrated graph neural networks. Expert Syst. Appl. 2024, 255, 124577. [Google Scholar] [CrossRef]
- ABAQUS, Version 6.14; ABAQUS Standard User’s Manual; Dassault Systèmes Corporation: Providence, RI, USA, 2014.
- Xu, F. Mechanical Behaviour of Concrete-Filled Thin-Walled Steel Tube Members and Connections. Ph.D. Thesis, Zhejiang University, Hangzhou, China, 2016. [Google Scholar]
- Chen, J.; Nie, J.G.; Zhou, C.Y. Study on stress concentration factor of concrete-filled steel tubular T-joints. J. Build. Struct. 2018, 39, 149–157. (In Chinese) [Google Scholar]
- Pandey, M.; Young, B. Stress concentration factors of cold-formed high strength steel tubular T-joints. Thin-Walled Struct. 2021, 166, 107996. [Google Scholar] [CrossRef]
- API American Petroleum Institute. Recommended Practice for Planning, Designing and Constructing Fixed Offshore Platforms; API RP2A-LRFD; API American Petroleum Institute: Washington, DC, USA, 1993. [Google Scholar]
- Smedley, P.A.; Fisher, P.J. A review of stress concentration factors for tubular complex joints. Integr. Offshore Struct. 1990, 4, 279. [Google Scholar]
- Smedley, P.A.; Fisher, P.J. Stress concentration factors for simple tubular joints. In Proceedings of the First International Offshore and Polar Engineering Conference, ISOPE, Edinburgh, UK, 11–16 August 1991. [Google Scholar]
- DNV. DNV Recommended Practice RP-C203, Fatigue Strength Analysis of Offshore of Steel Structures; Det Norske Veritas: Bærum, Norway, 2005. [Google Scholar]















| ID | Chord | Brace | Type | ||||
|---|---|---|---|---|---|---|---|
| D0 (mm) | t0 (mm) | l0 (mm) | D1 (mm) | t1 (mm) | l1 (mm) | ||
| T | 300 | 8 | 540 | 113 | 8 | 350 | Welded T-joint |
| RE 1 | 300 | 8 | 540 | 113 | 8 | 237 | Optimized T-joint |
| RE 2 | 300 | 8 | 540 | 113 | 6 | 237 | Optimized T-joint |
| Type | Elastic Modulus (MPa) | Yield Strength (MPa) | Density (kg/m3) | Poisson’s Ratio |
|---|---|---|---|---|
| Cast steel | 2.06 × 105 | 235 | 7850 | 0.3 |
| ID | FE | API | DNV | LR |
|---|---|---|---|---|
| T | 16.3 | 11.8 | 16.4 | 9.0 |
| ID | Load Type | Axial Compression Ratio on the Chord | ηSCF,Max |
|---|---|---|---|
| T | Compression | 0 | 16.3 |
| Tension | 0 | 13.4 | |
| RE 1 | Compression | 0 | 2.58 |
| 0.05 | 2.47 | ||
| 0.10 | 2.64 | ||
| 0.15 | 2.80 | ||
| Tension | 0 | 1.93 | |
| 0.05 | 2.07 | ||
| 0.10 | 1.79 | ||
| 0.15 | 1.69 | ||
| RE 2 | Compression | 0 | 1.68 |
| 0.05 | 1.70 | ||
| 0.10 | 1.72 | ||
| 0.15 | 1.82 | ||
| Tension | 0 | 1.68 | |
| 0.05 | 1.74 | ||
| 0.10 | 1.70 | ||
| 0.15 | 1.56 |
Disclaimer/Publisher’s Note: The statements, opinions and data contained in all publications are solely those of the individual author(s) and contributor(s) and not of MDPI and/or the editor(s). MDPI and/or the editor(s) disclaim responsibility for any injury to people or property resulting from any ideas, methods, instructions or products referred to in the content. |
© 2025 by the authors. Licensee MDPI, Basel, Switzerland. This article is an open access article distributed under the terms and conditions of the Creative Commons Attribution (CC BY) license (https://creativecommons.org/licenses/by/4.0/).
Share and Cite
Jiang, K.; Yang, Z.; Chen, J.; Lv, G.; Yu, H. Optimization of Cast-Steel Tubular Circular-Hollow-Section Connections Based on Depth-First Search Algorithm. Buildings 2025, 15, 286. https://doi.org/10.3390/buildings15020286
Jiang K, Yang Z, Chen J, Lv G, Yu H. Optimization of Cast-Steel Tubular Circular-Hollow-Section Connections Based on Depth-First Search Algorithm. Buildings. 2025; 15(2):286. https://doi.org/10.3390/buildings15020286
Chicago/Turabian StyleJiang, Kaien, Ziming Yang, Ju Chen, Guoer Lv, and Huafeng Yu. 2025. "Optimization of Cast-Steel Tubular Circular-Hollow-Section Connections Based on Depth-First Search Algorithm" Buildings 15, no. 2: 286. https://doi.org/10.3390/buildings15020286
APA StyleJiang, K., Yang, Z., Chen, J., Lv, G., & Yu, H. (2025). Optimization of Cast-Steel Tubular Circular-Hollow-Section Connections Based on Depth-First Search Algorithm. Buildings, 15(2), 286. https://doi.org/10.3390/buildings15020286

