Enhancing Restoration in Urban Waterfront Spaces: Environmental Features, Visual Behavior, and Design Implications
Abstract
1. Introduction
- (1)
- Although existing research has extensively explored the restorative effects of semantic-level features [22,23,24,25,26,27], this approach cannot reveal all of the visual environmental features that influence environmental restorative benefits [28]. It is crucial to note that the unique environmental features of highly urbanized waterfront spaces, including the multi-element interactive features of semantic-level features and the spatial morphological and sequence dimensions of scene-level features in urban waterfront spaces, have not been sufficiently studied in terms of their differentiated effects on environmental restorative benefits. There is a lack of a systematic research framework that integrates design considerations.
- (2)
- In previous studies, the mechanism through which environmental features translate into restorative benefits has not been validated, i.e., there is a lack of intermediary tools to quantify visual perception processes, which hinders the understanding of how visual environmental stimuli attract attention and promote restoration—an inherent limitation in subjective and objective restorative assessments (subjective scales and physiological measures), and eye-tracking technology provides a scientific approach to overcoming this limitation [29,30,31,32].
2. Literature Review
3. Materials and Methods
3.1. Research Framework
3.2. Study Area
3.3. Subjects
3.4. Materials
3.4.1. Visual Stimulus Materials
3.4.2. Measurement of Psychological Data
3.4.3. Measurement of Physiological Data
3.4.4. Measurement of Eye Movement Data
3.5. Procedure
3.5.1. Experimental Environment
3.5.2. Experimental Procedure
3.6. Data Processing
4. Results
4.1. Environmental Types and Restorative Benefits
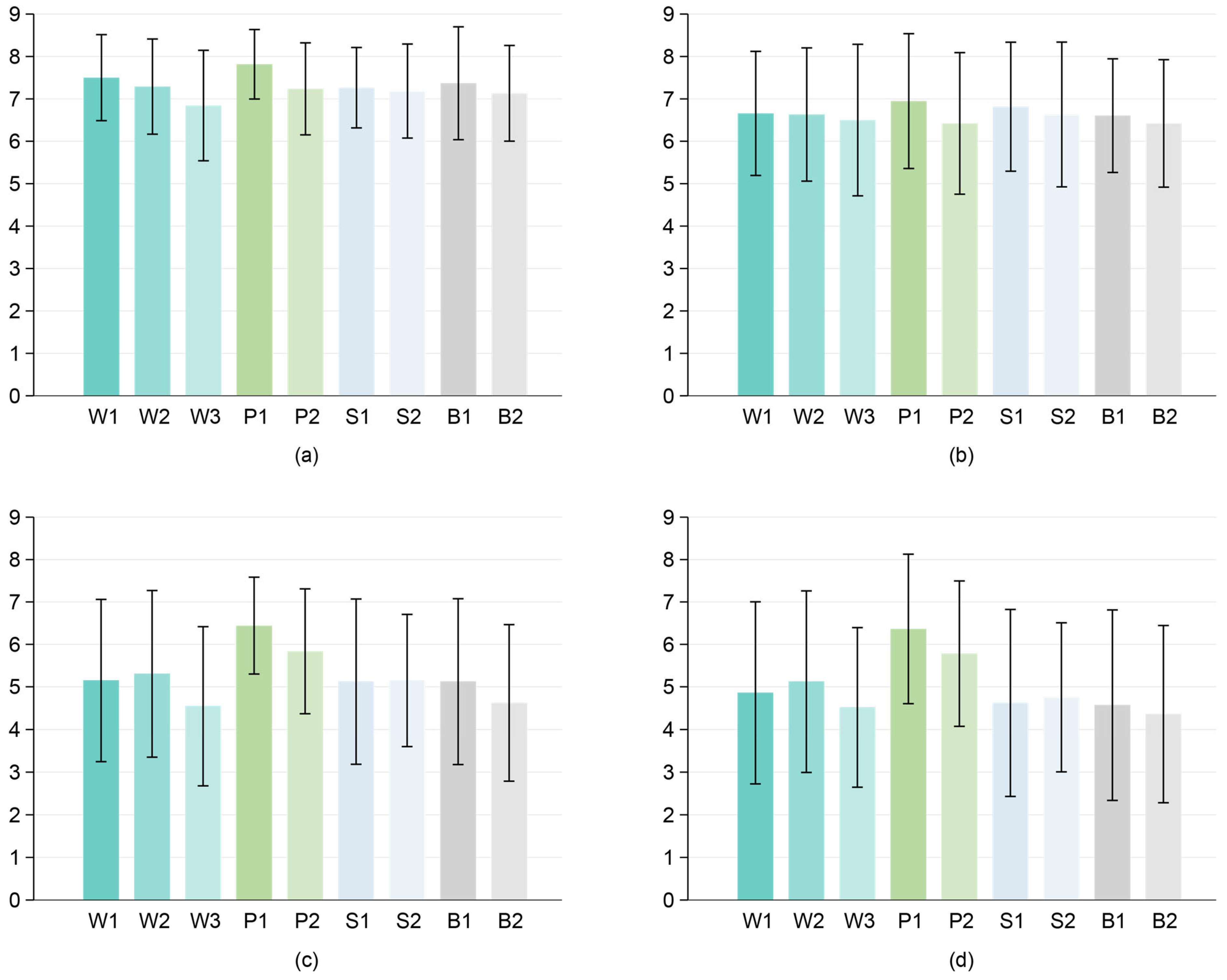
4.1.1. Results of Psychological Data
4.1.2. Results of Physiological Data
4.1.3. Ranking of Comprehensive Restorative Benefits
4.2. Environmental Features and Restorative Benefits
4.2.1. Correlation Analysis Between Element Visibility and Subjective and Objective Data
4.2.2. Correlation Analysis Between Element Visibility and Fixation Time
4.2.3. Environmental Features and Restorative Benefits
4.3. Eye Movement Behavior and Restorative Benefits
4.3.1. Spatial Distribution of Attention and Restorative Benefits
4.3.2. Distribution of Fixation Point Sequences and Restorative Benefits
- (1)
- Being attracted first by positive visual features is beneficial for the restorative benefits;
- (2)
- Reasonably arranging plant and building elements to guide the gaze to transfer between elements at different distances, creating a coherent exploration sequence composed of core focal points and secondary nodes, can effectively enhance the restorative benefits.
5. Discussion
5.1. Methodological Contribution and the Integrated Framework
5.2. Effects of Environmental Features on Restorative Benefits
5.3. Pathways of the Role of Visual Behavior in Restorative Experience
5.4. Principles for the Restorative Optimization Design of Urban Waterfront Spaces
5.5. Research Limitations
- (1)
- The use of static two-dimensional images and controlled laboratory settings may not fully replicate the complexities of perception and interaction in real-world environments. Future research could enhance the study by incorporating real-world scenarios and utilizing eye-tracking technology to provide additional validation, thus offering a more comprehensive understanding of the spatial restoration mechanism.
- (2)
- Due to the limitations of the research sample, the generalizability of our findings is limited to young adults (18–30 years) in urban settings. Future studies should examine whether similar design principles apply to other age groups.
- (3)
- Gender imbalance (with a predominance of females) is a major limitation of the representativeness of the sample in this study. Future studies should employ quota sampling to ensure balanced gender representation, allowing for more definitive conclusions and enhancing the external validity of the findings.
- (4)
- The focus of this paper is to establish and validate a research framework for restorative studies of urban waterfront spaces, rather than to provide detailed design proposals. Future research can use this as a target to refine the feasibility of these principles.
6. Conclusions
- (1)
- Clarified and quantified the complex “environmental features—restorative benefits” influence mechanism within urban waterfront spaces. Specifically, the framework enabled us to accomplish the following: identify critical proportional thresholds of elements (particularly plant and building visibility rate), pinpoint key environmental features impacting benefits across the three design dimensions, and uncover the crucial mediating role of eye movement behavior (e.g., fixation time in the middle-view focal area; balanced distribution of fixation hotspots). The findings demonstrate that element visibility rate and visual characteristics exert the most direct influence, while spatial enclosure and sequence features serve regulatory functions.
- (2)
- Revealed actionable pathways for design optimization. Based on the mechanisms elucidated by the framework, we propose the optimization principle of “regulating the visibility threshold, optimizing spatial features, and guiding visual behavior,” providing concrete theoretical guidance for restorative design.
Author Contributions
Funding
Data Availability Statement
Conflicts of Interest
Appendix A
| Feature Group | Element ID | Water | Plants | Sky | Buildings | Ground |
|---|---|---|---|---|---|---|
| The Water Visibility Gradient Set | W1 | 28.7% | 10.6% | 21.8% | 23.8% | 13.3% |
| W2 | 12.3% | 10.1% | 21.2% | 22.4% | 26.8% | |
| W3 | 2.3% | 11.2% | 24.4% | 24.3% | 31.9% | |
| The Element Dominance Set | P1 | 5.0% | 55.1% | 14.1% | 9.1% | 16.2% |
| P2 | 1.0% | 56.6% | 6.2% | 17.0% | 12.9% | |
| S1 | 1.6% | 5.8% | 41.0% | 23.8% | 22.1% | |
| S2 | 2.5% | 27.4% | 38.6% | 7.4% | 16.8% | |
| B1 | 0.8% | 23.4% | 9.8% | 39.6% | 25.5% | |
| B2 | 1.1% | 0.6% | 11.2% | 56.4% | 24.5% |
References
- Li, X.; Wang, C.; Zhang, G.; Xiao, L.; Dixon, J. Urbanisation and Human Health in China: Spatial Features and a Systemic Perspective. Environ. Sci. Pollut. Res. 2012, 19, 1375–1384. [Google Scholar] [CrossRef]
- Gong, P.; Liang, S.; Carlton, E.J.; Jiang, Q.; Wu, J.; Wang, L.; Remais, J.V. Urbanisation and Health in China. Lancet 2012, 379, 843–852. [Google Scholar] [CrossRef]
- Giles-Corti, B.; Vernez-Moudon, A.; Reis, R.; Turrell, G.; Dannenberg, A.L.; Badland, H.; Foster, S.; Lowe, M.; Sallis, J.F.; Stevenson, M.; et al. City Planning and Population Health: A Global Challenge. Lancet 2016, 388, 2912–2924. [Google Scholar] [CrossRef]
- Ventimiglia, I.; Seedat, S. Current Evidence on Urbanicity and the Impact of Neighbourhoods on Anxiety and Stress-Related Disorders. Curr. Opin. Psychiatry 2019, 32, 248–253. [Google Scholar] [CrossRef]
- Buttazzoni, A.; Doherty, S.; Minaker, L. How Do Urban Environments Affect Young People’s Mental Health? A Novel Conceptual Framework to Bridge Public Health, Planning, and Neurourbanism. Public Health Rep. 2021, 137, 48–61. [Google Scholar] [CrossRef]
- Liu, J. Urbanization and Mental Health. Highlights Sci. Eng. Technol. 2024, 123, 394–397. [Google Scholar] [CrossRef]
- McGorry, P.D.; Mei, C.; Chanen, A.; Hodges, C.; Alvarez-Jimenez, M.; Killackey, E. Designing and Scaling up Integrated Youth Mental Health Care. World Psychiatry 2022, 21, 61–76. [Google Scholar] [CrossRef] [PubMed]
- McGorry, P.; Gunasiri, H.; Mei, C.; Rice, S.; Gao, C.X. The Youth Mental Health Crisis: Analysis and Solutions. Front. Psychiatry 2025, 15, 1517533. [Google Scholar] [CrossRef] [PubMed]
- Ulrich, R.S. Aesthetic and Affective Response to Natural Environment. In Behavior and the Natural Environment; Altman, I., Wohlwill, J.F., Eds.; Springer: Boston, MA, USA, 1983; pp. 85–125. ISBN 978-1-4613-3541-2. [Google Scholar]
- Ulrich, R.S.; Simons, R.F.; Losito, B.D.; Fiorito, E.; Miles, M.A.; Zelson, M. Stress Recovery during Exposure to Natural and Urban Environments. J. Environ. Psychol. 1991, 11, 201–230. [Google Scholar] [CrossRef]
- Kaplan, R.; Kaplan, S. The Experience of Nature: A Psychological Perspective; CUP Archive; Cambridge University Press: Cambridge, UK, 1989; ISBN 978-0-521-34939-0. [Google Scholar]
- Kaplan, S. The Restorative Benefits of Nature: Toward an Integrative Framework. J. Environ. Psychol. 1995, 15, 169–182. [Google Scholar] [CrossRef]
- Kaplan, S.; Berman, M.G. Directed Attention as a Common Resource for Executive Functioning and Self-Regulation. Perspect. Psychol. Sci. 2010, 5, 43–57. [Google Scholar] [CrossRef]
- Hartig, T.; Evans, G.W.; Jamner, L.D.; Davis, D.S.; Gärling, T. Tracking Restoration in Natural and Urban Field Settings. J. Environ. Psychol. 2003, 23, 109–123. [Google Scholar] [CrossRef]
- Laumann, K.; Gärling, T.; Stormark, K.M. Selective Attention and Heart Rate Responses to Natural and Urban Environments. J. Environ. Psychol. 2003, 23, 125–134. [Google Scholar] [CrossRef]
- Berman, M.G.; Jonides, J.; Kaplan, S. The Cognitive Benefits of Interacting With Nature. Psychol. Sci. 2008, 19, 1207–1212. [Google Scholar] [CrossRef]
- Mayer, F.S.; Frantz, C.M.; Bruehlman-Senecal, E.; Dolliver, K. Why Is Nature Beneficial?: The Role of Connectedness to Nature. Environ. Behav. 2009, 41, 607–643. [Google Scholar] [CrossRef]
- Pasanen, T.; Johnson, K.; Lee, K.; Korpela, K. Can Nature Walks With Psychological Tasks Improve Mood, Self-Reported Restoration, and Sustained Attention? Results From Two Experimental Field Studies. Front. Psychol. 2018, 9, 2057. [Google Scholar] [CrossRef] [PubMed]
- Korpela, K.M.; Ylén, M.; Tyrväinen, L.; Silvennoinen, H. Favorite Green, Waterside and Urban Environments, Restorative Experiences and Perceived Health in Finland. Health Promot. Int. 2010, 25, 200–209. [Google Scholar] [CrossRef] [PubMed]
- Foley, R.; Kistemann, T. Blue Space Geographies: Enabling Health in Place. Health Place 2015, 35, 157–165. [Google Scholar] [CrossRef]
- Reeves, J.P.; Knight, A.T.; Strong, E.A.; Heng, V.; Neale, C.; Cromie, R.; Vercammen, A. The Application of Wearable Technology to Quantify Health and Wellbeing Co-Benefits From Urban Wetlands. Front. Psychol. 2019, 10, 1840. [Google Scholar] [CrossRef]
- Berman, M.G.; Hout, M.C.; Kardan, O.; Hunter, M.R.; Yourganov, G.; Henderson, J.M.; Hanayik, T.; Karimi, H.; Jonides, J. The Perception of Naturalness Correlates with Low-Level Visual Features of Environmental Scenes. PLoS ONE 2014, 9, e114572. [Google Scholar] [CrossRef]
- Kardan, O.; Demiralp, E.; Hout, M.C.; Hunter, M.R.; Karimi, H.; Hanayik, T.; Yourganov, G.; Jonides, J.; Berman, M.G. Is the Preference of Natural versus Man-Made Scenes Driven by Bottom–up Processing of the Visual Features of Nature? Front. Psychol. 2015, 6, 471. [Google Scholar] [CrossRef]
- Celikors, E.; Wells, N.M. Are Low-Level Visual Features of Scenes Associated with Perceived Restorative Qualities? J. Environ. Psychol. 2022, 81, 101800. [Google Scholar] [CrossRef]
- Ma, H.; Xu, Q.; Zhang, Y. High or Low? Exploring the Restorative Effects of Visual Levels on Campus Spaces Using Machine Learning and Street View Imagery. Urban For. Urban Green. 2023, 88, 128087. [Google Scholar] [CrossRef]
- Zhang, X.; Lin, E.S.; Tan, P.Y.; Qi, J.; Ho, R.; Sia, A.; Waykool, R.; Song, X.P.; Olszewska-Guizzo, A.; Meng, L.; et al. Beyond Just Green: Explaining and Predicting Restorative Potential of Urban Landscapes Using Panorama-Based Metric. Landsc. Urban Plan. 2024, 247, 105044. [Google Scholar] [CrossRef]
- Li, Y.; Li, W.; Liu, Y. Remedies from Nature: Exploring the Moderating Mechanisms of Natural Landscape Features on Emotions and Perceived Restoration in Urban Parks. Front. Psychol. 2025, 15, 1502240. [Google Scholar] [CrossRef] [PubMed]
- Sedghikhanshir, A.; Zhu, Y.; Beck, M.R.; Jafari, A. The Impact of Visual Stimuli and Properties on Restorative Effect and Human Stress: A Literature Review. Buildings 2022, 12, 1781. [Google Scholar] [CrossRef]
- Conniff, A.; Craig, T. A Methodological Approach to Understanding the Wellbeing and Restorative Benefits Associated with Greenspace. Urban For. Urban Green. 2016, 19, 103–109. [Google Scholar] [CrossRef]
- Martínez-Soto, J.; de la Fuente Suárez, L.A.; Gonzáles-Santos, L.; Barrios, F.A. Observation of Environments with Different Restorative Potential Results in Differences in Eye Patron Movements and Pupillary Size. IBRO Rep. 2019, 7, 52–58. [Google Scholar] [CrossRef]
- Liu, L.; Qu, H.; Ma, Y.; Wang, K.; Qu, H. Restorative Benefits of Urban Green Space: Physiological, Psychological Restoration and Eye Movement Analysis. J. Environ. Manag. 2022, 301, 113930. [Google Scholar] [CrossRef]
- Wang, M.; Zhang, S.; Zhou, X. Campus Environments and Mental Restoration: Eye-Tracking Evidence from Dynamic Stimuli. Eng. Constr. Archit. Manag. 2025; ahead-of-print. [Google Scholar] [CrossRef]
- Karmanov, D.; Hamel, R. Assessing the Restorative Potential of Contemporary Urban Environment(s): Beyond the Nature versus Urban Dichotomy. Landsc. Urban Plan. 2008, 86, 115–125. [Google Scholar] [CrossRef]
- Tsunetsugu, Y.; Lee, J.; Park, B.-J.; Tyrväinen, L.; Kagawa, T.; Miyazaki, Y. Physiological and Psychological Effects of Viewing Urban Forest Landscapes Assessed by Multiple Measurements. Landsc. Urban Plan. 2013, 113, 90–93. [Google Scholar] [CrossRef]
- Van Den Berg, A.E.; Jorgensen, A.; Wilson, E.R. Evaluating Restoration in Urban Green Spaces: Does Setting Type Make a Difference? Landsc. Urban Plan. 2014, 127, 173–181. [Google Scholar] [CrossRef]
- Wang, X.; Rodiek, S.; Wu, C.; Chen, Y.; Li, Y. Stress Recovery and Restorative Effects of Viewing Different Urban Park Scenes in Shanghai, China. Urban For. Urban Green. 2016, 15, 112–122. [Google Scholar] [CrossRef]
- Ojala, A.; Korpela, K.; Tyrväinen, L.; Tiittanen, P.; Lanki, T. Restorative Effects of Urban Green Environments and the Role of Urban-Nature Orientedness and Noise Sensitivity: A Field Experimen. Health Place 2019, 55, 59–70. [Google Scholar] [CrossRef]
- White, M.; Smith, A.; Humphryes, K.; Pahl, S.; Snelling, D.; Depledge, M. Blue Space: The Importance of Water for Preference, Affect, and Restorativeness Ratings of Natural and Built Scenes. J. Environ. Psychol. 2010, 30, 482–493. [Google Scholar] [CrossRef]
- Völker, S.; Kistemann, T. The Impact of Blue Space on Human Health and Well-Being—Salutogenetic Health Effects of Inland Surface Waters: A Review. Int. J. Hyg. Environ. Health 2011, 214, 449–460. [Google Scholar] [CrossRef]
- Völker, S.; Kistemann, T. Reprint of: “I’m Always Entirely Happy When I’m Here!” Urban Blue Enhancing Human Health and Well-Being in Cologne and Düsseldorf, Germany. Soc. Sci. Med. 2013, 91, 141–152. [Google Scholar] [CrossRef]
- White, M.P.; Alcock, I.; Wheeler, B.W.; Depledge, M.H. Coastal Proximity, Health and Well-Being: Results from a Longitudinal Panel Survey. Health Place 2013, 23, 97–103. [Google Scholar] [CrossRef]
- Nutsford, D.; Pearson, A.L.; Kingham, S.; Reitsma, F. Residential Exposure to Visible Blue Space (but Not Green Space) Associated with Lower Psychological Distress in a Capital City. Health Place 2016, 39, 70–78. [Google Scholar] [CrossRef]
- Dzhambov, A.M. Residential Green and Blue Space Associated with Better Mental Health: A Pilot Follow-up Study in University Students. Arh. Hig. Rada. Toksikol. 2018, 69, 340–349. [Google Scholar] [CrossRef]
- Roe, J.; Barnes, L.E.; Napoli, N.J.; Thibodeaux, J. The Restorative Health Benefits of a Tactical Urban Intervention: An Urban Waterfront Study. Front. Built Environ. 2019, 5, 71. [Google Scholar] [CrossRef]
- Li, S.; Chen, T.; Chen, F.; Mi, F. How Does the Urban Forest Environment Affect the Psychological Restoration of Residents? A Natural Experiment in Environmental Perception from Beijing. Forests 2023, 14, 1986. [Google Scholar] [CrossRef]
- Li, J.; Huang, Z.; Zheng, D.; Zhao, Y.; Huang, P.; Huang, S.; Fang, W.; Fu, W.; Zhu, Z. Effect of Landscape Elements on Public Psychology in Urban Park Waterfront Green Space: A Quantitative Study by Semantic Segmentation. Forests 2023, 14, 244. [Google Scholar] [CrossRef]
- Sun, D.; Zhou, F.; Lin, J.; Yang, Q.; Lyu, M. A Study on Landscape Feature and Emotional Perception Evaluation of Waterfront Greenway. Environ. Res. Commun. 2024, 6, 095023. [Google Scholar] [CrossRef]
- Cao, S.; Song, C.; Jiang, S.; Luo, H.; Zhang, P.; Huang, Y.; Yu, J.; Li, K.; Li, N.; Guo, B.; et al. Effects of Urban Greenway Environmental Types and Landscape Characteristics on Physical and Mental Health Restoration. Forests 2024, 15, 679. [Google Scholar] [CrossRef]
- Zhu, C.; Li, J.; Luo, J.; Li, X.; Li, T.; Wang, W.; Fu, S.; Zeng, W. An Investigation of the Restorative Benefits of Different Spaces in an Urban Riverside Greenway for College Students—A Simple Autumn Outdoor Experiment. Sustainability 2024, 16, 7968. [Google Scholar] [CrossRef]
- Franěk, M.; Šefara, D.; Petružálek, J.; Cabal, J.; Myška, K. Differences in Eye Movements While Viewing Images with Various Levels of Restorativeness. J. Environ. Psychol. 2018, 57, 10–16. [Google Scholar] [CrossRef]
- Zhou, X.; Cen, Q.; Qiu, H. Effects of Urban Waterfront Park Landscape Elements on Visual Behavior and Public Preference: Evidence from Eye-Tracking Experiments. Urban For. Urban Green. 2023, 82, 127889. [Google Scholar] [CrossRef]
- Evans, D.; Chamberlain, B. In Pursuit of Eye Tracking for Visual Landscape Assessments. Land 2024, 13, 1184. [Google Scholar] [CrossRef]
- Liu, Q.; Lin, X.; Wang, Q.; Lan, Y.; Zhu, Z.; Yao, X.; Gao, Y.; Shen, Y.; Huang, M.; Wang, H. How Do Nature Type and Expertise Impact Restorative Perceptions and Eye Movements? A between-Subjects Eye-Tracking Study. People Nat. 2025, 7, 1198–1210. [Google Scholar] [CrossRef]
- Fei, X.; Zhang, Y.; Kong, D.; Huang, Q.; Wang, M.; Dong, J. Quantitative Model Study of the Psychological Recovery Benefit of Landscape Environment Based on Eye Movement Tracking Technology. Sustainability 2023, 15, 11250. [Google Scholar] [CrossRef]
- Fleming, W.; Rizowy, B.; Shwartz, A. The Nature Gaze: Eye-Tracking Experiment Reveals Well-Being Benefits Derived from Directing Visual Attention towards Elements of Nature. People Nat. 2024, 6, 1469–1485. [Google Scholar] [CrossRef]
- Han, K.-T. A Reliable and Valid Self-Rating Measure of the Restorative Quality of Natural Environments. Landsc. Urban Plan. 2003, 64, 209–232. [Google Scholar] [CrossRef]










| Dimensions in Urban Waterfront Space Design | ART’s Features | SRT’s Features | Environmental Features of Urban Waterfront Spaces |
|---|---|---|---|
| Elements | Fascination | Environmental content | Five visual elements visibility thresholds and their features |
| Morphology | Fascination and extent | Gross structural and complexity properties | Degree of enclosure and interface features |
| Sequences | Fascination and extent | Depth properties and complexity properties | Hierarchical structure and depth perception |
| Total Scores | Emotional Dimension | Physiological Dimension | Cognitive Dimension | Behavioral Dimension | |
|---|---|---|---|---|---|
| F | 2.933 | 1.101 | 0.23 | 2.075 | 2.097 |
| p | 0.004 ** | 0.365 | 0.985 | 0.041 * | 0.039 * |
| SCR | LF/HF | |
|---|---|---|
| F | 0.454 | 1.123 |
| p | 0.887 | 0.350 |
| High Restorative Benefit | Medium Restorative Benefit | Low Restorative Benefit | ||||||
|---|---|---|---|---|---|---|---|---|
![]() | ![]() | ![]() | ![]() | ![]() | ![]() | ![]() | ![]() | ![]() |
| P2 | P1 | W2 | B2 | S1 | W3 | S2 | W1 | B1 |
| High Restorative Benefit | Medium Restorative Benefit | Low Restorative Benefit |
|---|---|---|
![]() | ![]() | ![]() |
| P2 | B2 | S2 |
![]() | ![]() | ![]() |
| P1 | S1 | W1 |
![]() | ![]() | ![]() |
| W2 | W3 | B1 |
| High Restorative Benefit | Medium Restorative Benefit | Low Restorative Benefit |
|---|---|---|
![]() | ![]() | ![]() |
| P2 | B2 | S2 |
![]() | ![]() | ![]() |
| P1 | S1 | W1 |
![]() | ![]() | ![]() |
| W2 | W3 | B1 |
Disclaimer/Publisher’s Note: The statements, opinions and data contained in all publications are solely those of the individual author(s) and contributor(s) and not of MDPI and/or the editor(s). MDPI and/or the editor(s) disclaim responsibility for any injury to people or property resulting from any ideas, methods, instructions or products referred to in the content. |
© 2025 by the authors. Licensee MDPI, Basel, Switzerland. This article is an open access article distributed under the terms and conditions of the Creative Commons Attribution (CC BY) license (https://creativecommons.org/licenses/by/4.0/).
Share and Cite
Zhou, S.; Lin, C.; Huang, Q. Enhancing Restoration in Urban Waterfront Spaces: Environmental Features, Visual Behavior, and Design Implications. Buildings 2025, 15, 2567. https://doi.org/10.3390/buildings15142567
Zhou S, Lin C, Huang Q. Enhancing Restoration in Urban Waterfront Spaces: Environmental Features, Visual Behavior, and Design Implications. Buildings. 2025; 15(14):2567. https://doi.org/10.3390/buildings15142567
Chicago/Turabian StyleZhou, Shiqin, Chang Lin, and Quanle Huang. 2025. "Enhancing Restoration in Urban Waterfront Spaces: Environmental Features, Visual Behavior, and Design Implications" Buildings 15, no. 14: 2567. https://doi.org/10.3390/buildings15142567
APA StyleZhou, S., Lin, C., & Huang, Q. (2025). Enhancing Restoration in Urban Waterfront Spaces: Environmental Features, Visual Behavior, and Design Implications. Buildings, 15(14), 2567. https://doi.org/10.3390/buildings15142567




























