You are currently viewing a new version of our website. To view the old version click .
Buildings
  • Article
  • Open Access

24 August 2024

Project Performance Comparison of Public–Private Partnership (P3) Highway Projects against Design Build (DB) and Design Bid Build (DBB) Highway Projects

and
Civil & Environmental Engineering & Construction, Howard R. Hughes College of Engineering, University of Nevada, Las Vegas, 4505 S. Maryland Pkwy, Las Vegas, NV 89154, USA
*
Authors to whom correspondence should be addressed.
This article belongs to the Special Issue Life Cycle Management of Building and Infrastructure Projects

Abstract

Public–private partnerships (P3s) have gained prominence in both developed and developing nations over recent decades. P3 contracts have been used in a broad spectrum of infrastructure sectors in the United States. However, it is important to demonstrate how P3 projects compare in terms of cost and schedule to traditional project delivery methods to make more informed choices when selecting a delivery method in infrastructure construction. This research focused on benchmarking the project performances of P3 highway projects against design-build (DB) and design-bid-build (DBB) highway projects by analyzing cost growth and schedule growth for highway projects undertaken using P3, DB, and DBB project delivery. Statistical tests revealed that P3 highway projects had a mean cost growth of 2.12%, whereas DB projects experienced 8.95% growth, and DBB projects 7.27%. Furthermore, the mean schedule growth for P3 highway projects was 0.59%, compared to 37.94% for DB projects and 31.39% for DBB projects. The research results can provide valuable insights to assist decision-making processes for future projects, which can be particularly useful for government agencies, private companies, and other stakeholders involved in infrastructure development. Furthermore, the stakeholders can make more informed choices when selecting a delivery method with the identified performance comparison findings, potentially reducing the likelihood of project disputes and failures.

1. Introduction

Public–private partnerships (P3s) have gained prominence in both developed and developing nations over recent decades [1]. The rise in popularity is primarily due to the recognized advantages of P3s in the delivery of public infrastructure projects [2]. The increasing interest in P3 projects, both in developed and developing nations, is driven by their ability to access new financing sources and shift particular project risks to private agencies. Governments worldwide are increasingly embracing P3 schemes to leverage the private sector’s expertise and resources in addressing significant infrastructure gaps in public assets and services [3]. The investment in United States (US) P3 projects has surged, reaching a substantial sum of USD 83.3 billion in 2019, which is a significant increase from the USD 19.5 billion in 2018 and USD 19.7 billion in 2017 [4].
The typical criteria to determine the success of a construction project revolve around its cost performance and ability to adhere to project timelines. Therefore, factors related to cost and time are considered the most significant and critical for a project’s success [2]. In the public highway construction sector, cost growth and schedule growth have been persistent issues for the past decade [5]. The construction industry has been impacted by cost overruns, frequent change orders and schedule delays often due to low-quality construction management [6]. Consequently, the ability to complete projects within the projected budget and the allotted timeframe, while adhering to the initial scope of work, has become a crucial aspect of project management for state departments of transportation (DOTs) across the United States [7]. State agencies and stakeholders have sought to mitigate the risks associated with projects implemented through various project delivery methods [8]. In light of this, public–private partnerships (P3s) have often been explored as a potential solution to address these challenges and attain efficiency, cost savings, and timely project delivery in public infrastructure projects.
The emergence of P3s in the US is a response to the growing demands on the transportation system and limitations in public resources. This project delivery approach has the potential to significantly impact the performance of P3 projects when compared to design-build and traditional project delivery methods. Despite its growing appeal, conflicting accounts of both success and failure have surfaced in the literature [2]. While P3s have long been advocated as an effective strategy to enhance the cost and schedule efficiency of public infrastructure projects compared to traditional project delivery methods, the empirical evidence that explores this assertion is scarce. Additionally, despite numerous studies examining project performance in the United States, particularly comparing design-build (DB) and design-bid-build (DBB) project delivery methods, there is a noticeable gap in research comparing cost and schedule performances between P3 and projects using traditional project delivery approaches in the US infrastructure market.
This study aims to compare the cost and schedule performances of P3 highway projects with DB and DBB projects. This research focuses on benchmarking the project performances of P3 highway projects against DB and DBB highway projects by analyzing cost growth and schedule growth for highway projects undertaken using P3, DB, and DBB project delivery using statistical tests. The research results provide valuable insights that can inform decision-making processes for future projects, which can be particularly useful for state DOTs, transportation agencies, and other stakeholders involved in infrastructure development. Furthermore, the stakeholders can make more informed choices when selecting a delivery method with the identified performance comparison findings, potentially reducing the likelihood of project disputes and failures.

2. Literature Review

Public–private partnership (P3) project delivery has been used in various sectors, including urban development, public infrastructure, transportation, health, and education, by leveraging the expertise and resources of both public and private entities [9]. In urban development, P3 projects have led to the development of sustainable communities, while in public infrastructure, they have facilitated the construction and maintenance of facilities like roads and utilities. Transportation has seen improvements through large-scale projects such as highways and public transit systems, as highlighted by Weng et al. (2024) in their risk assessment research [10]. Healthcare and education have benefited from enhanced facilities and access to services, with studies like Castelblanco et al. (2023), in which the authors examined these partnerships’ effectiveness in healthcare [11]. Effective strategic planning and risk management, the study emphasizes, are crucial to balancing interests and ensuring financial sustainability, particularly in healthcare P3s. In addition, comparative analyses on briefing frameworks and success factors identified by Aljaber et al. (2024) for water and power P3s in developing countries provide critical insights into best practices and strategies for successful P3 implementations worldwide [12,13].
Several studies highlight that the performance of P3 projects depend on several key factors. Arce et al. (2023) focuses on the importance of technical evaluations for maintenance, to improve the assets’ conditions and the long-term performance of P3 infrastructure projects [14]. To enhance project performance and to maximize impact, integrating sustainability measures that align with the United Nations’ Sustainable Development Goals (SDGs) is essential. Akomea-Frimpong et al. (2022) emphasizes the importance of incorporating these measures to ensure that P3 projects contribute to broader social, environmental, and economic objectives [15]. In addition to sustainability, Mazher et al. (2022) emphasize the necessity of risk management and effective stakeholder collaboration to implement P3 projects successfully [16].
Previous research has also focused on investigating the cost and schedule performance of highway projects constructed using different project delivery methods, including P3s [6,17,18]. FHWA (2007) conducted an analysis of highway project data from 1990 to 2006 [4]. Its results reveal a significant increase in both highway construction and maintenance costs nationwide, which grew approximately 3 times between 2003 and 2006 compared to 1990 and 2003. Fathi et al. (2020) compare highway and wastewater projects delivered by DB with respect to their change orders and schedule performances [7]. In comparison to highway projects, the study concluded that DB wastewater projects had fewer change orders. However, when it came to schedule performance, DB highway projects exhibited faster project delivery despite having higher change orders.
Project performance comparison studies between P3s and traditional project delivery methods have been carried out in experienced P3-project delivery markets like Europe [5] and Canada [19]. However, these kinds of comparison studies are lacking in the North American P3 market [1]. Based on an analysis of 200 European Investment Bank (EIB)-financed road projects, Brude et al. (2006) found that the unit construction cost of road to the public sector when constructed using P3 project delivery is 24% higher than when using traditional project delivery methods [5]. The study concludes that the high-cost estimates originate from the transfer of construction risk, which corresponds to cost growth in traditionally procured road projects.
A Canadian study conducted for 39 traditional projects and 27 P3 projects shows that traditional projects experienced cost growth of 28.8% when compared to P3 project growth of 1.22% [19]. Similar findings were found for schedule performance, with an average delay of 4 months for traditional projects, while P3 projects were completed on time. For 12 completed P3 highway projects in North America, Chasey et al. (2012) found that P3 project cost growth averaged 0.81% compared to 1.49% growth for DB projects and 12.71% growth for DBB projects [1]. In addition, schedule growth for P3 highway projects averaged −0.30% compared to 11.04% schedule growth for DB projects and 4.34% growth for DBB projects.
Ramsey and El Asmar (2015) analyzed 25 completed mixed-type P3 projects implemented in the United States to quantify their cost and schedule performances against traditional project delivery methods [20]. The study concluded the cost growth for P3 projects averaged 3.22% and schedule growth averaged −2.97% compared to DBB cost growth ranging from 3.6% to 25% and schedule growth ranging from 4.34% to 33.5%. P3 projects were completed 3.4% ahead of time compared to traditional projects, which were completed 23.5% behind schedule, demonstrating superior performance compared to traditional project delivery methods in Australia [21].

3. Methodology

The general overview of methodology adopted for this research is provided in Figure 1.
Figure 1. Study methodology.
To accomplish the research objectives, this study followed three fundamental research steps: data collection, empirical analysis, and statistical testing. A detailed description of these steps is provided in the subsequent sections.

3.1. Data Collection

Construction costs and schedule information for highway projects completed under three project delivery methods (P3, DB, and DBB) were collected for data analysis. This information is required to evaluate the performance in terms of completing a given project within the proposed timeframe and projected budget. Given that the collected project data spanned different timeframes, data normalization was carried out, employing cost indices shown in Table 1 from the National Highway Construction Cost Index (NHCCI). This normalization process involved adjusting all cost data for equivalent costs as of December 2022, using the aforementioned indices.
Table 1. National highway construction cost index for year 2022.
Table 2 represents the number of projects, states, project size, and completion year for the collected highway projects. Information related to project location (state), type of agreement, construction completion year, estimated project cost, final completed project cost, estimated duration, and final duration for project completion were collected from various state DOTs, published reports, and web databases. The data were collected for project sizes greater than USD 25 million. Most of these projects were completed in Texas, California, Florida, and Virginia, with data collected from their respective state DOTs. During data collection, the data related to elevation, ground types, number of lanes, road length and width, etc. were not collected, because the study was focused on determining the relative performance metrics (e.g., cost growth and schedule growth). The project scope will affect the absolute cost (cost per lane mile) of a highway project but will not affect cost and schedule growth. The study focus was to determine whether the relative percentage growth in cost and schedule were higher in P3 projects compared to DB and DBB highway projects, so those project data were not collected.
Table 2. Data collection.
Empirical analysis was carried out in this study to compare project performances between P3, DB, and DBB highway projects to examine whether and by how much growth in construction costs and schedules differed between these projects. For this purpose, project cost and schedule metrics were developed to compute the performance of the different delivery methods considered in the study.
To determine the project cost metrics for P3 and DBB projects, data were gathered on the estimated and actual costs of projects under examination, whereas to determine the project schedule growth, the estimated and actual construction duration data were collected. Equations (1) and (2) were used to calculate these metrics [22].
Cost   Growth   ( % ) = T o t a l   c o m p l e t i o n   c o s t E s t i m a t e d   c o s t E s t i m a t e d   c o s t × 100 .
Schedule   Growth   ( % ) = T o t a l   c o m p l e t i o n   d u r a t i o n E s t i m a t e d   d u r a t i o n E s t i m a t e d   d u r a t i o n × 100 .

3.2. Research Hypotheses

The research hypotheses formulated for this study are outlined as follows:
Research Hypothesis 1:
Highway projects constructed using the P3 project delivery method will perform better in terms of both cost and schedule when compared to highway projects executed using the DB approach.
Research Hypothesis 2:
Highway projects constructed using the P3 project delivery method are anticipated to have less cost growth and schedule delays compared to DBB highway projects.
Research Hypothesis 3:
Highway projects constructed using the DB project delivery method will exhibit better cost and schedule performance when compared to highway projects executed using the DBB approach.
These research hypotheses were converted into a null hypothesis to determine whether there were statistically significant differences in cost and schedule performance between highway projects constructed using the project delivery methods: P3, DB, and DBB. The null hypothesis stated that there is no difference in performance metrics between P3, DB, and DBB projects.

3.3. Statistical Testing

To validate or refute the null hypothesis formulated for the research, it was necessary to conduct statistical tests. These tests often rely on assumptions to ensure the validity and reliability of their results. Since the objective of the study was to compare the project performance of P3 projects with those of DB and DBB projects, we needed to examine whether a significant difference between the datasets existed by comparing the group means. The t-test is often adopted to compare the means of two groups, and thus, it is essential to assess the assumptions that apply to this statistical test. The three major assumptions associated with the t-test are (i) dataset independence, (ii) normality assumption, and (iii) homogeneity of variances between groups [23].
The project data were sourced from various state agencies and were independent, meaning that the observations were not related to one another. To check the normality assumption, Kolmogorov–Smirnov normality tests were conducted to determine whether the data for highway projects using the P3, DB, and DBB delivery methods were normally distributed. The test results presented in the Results section revealed that cost growth and schedule growth data deviated from the standard normal curve, and their distribution was non-normal. Levene’s test was used to check whether the variances in cost and schedule growth among these three groups were equal. The findings shown in the Results section indicated that the variances in schedule growth among these three groups were not equal.
Given that the study data showed a non-normal distribution and unequal variances, and the sample sizes of these projects were relatively small, a bootstrapping t-test was chosen as the preferred statistical method to compare the performances of P3, DB, and DBB projects. When the data deviate from the normality assumption, non-parametric tests are used for data analysis, the most common being the Mann–Whitney test [24]. The Mann–Whitney U test is a non-parametric test, specifically used to compare the central tendencies of two independent groups. However, in this study, the goal was to compare means across the datasets while taking into account the full dataset’s characteristics. Therefore, the bootstrapping t-test was considered more appropriate for this study. Unlike traditional t-tests, which assume equal variances, the bootstrapping test does not adhere to the assumption of equal variances and does not necessitate an assessment of whether the considered project group variances are statistically similar [25]. By using a bootstrapping t-test, this study sought to provide insights into the cost and schedule performance differences among projects executed under different delivery methods despite the non-normality of data and the limited sample sizes.
In this study, a bootstrapping t-test was employed to examine whether a significant difference in cost and schedule growth existed for projects executed under the P3, DB, and DBB project delivery methods. This resampling technique is particularly useful in situations in which the assumptions of traditional parametric tests are not met, such as when data are not normally distributed [26]. When data deviate from the normality assumption, a bootstrapping t-test can be applied to compare the significant differences between the data groups.
The primary goal of bootstrapping is to generate a t-statistic distribution by repeatedly resampling the data under consideration, allowing for replacement. Recent research by Zhao et al. (2021) shows that the bootstrap t-test outperforms the traditional t-test in terms of different measures of the testing accuracy [27]. This technique enables the calculation of the sampling distribution of the t-test statistic, even in cases when the data’s distribution deviates from normality [27,28]. The flowchart presented in Figure 2 shows the specific methodology adopted for bootstrapping in this research.
Figure 2. Bootstrapping methodology.

4. Results

This section encompasses two sub-sections. First, the descriptive statistics provide an overview of the descriptive statistics related to the cost and schedule performance of the entire dataset for P3, DB, and DBB projects. These statistics are presented for highway projects based on their respective project delivery methods. Following this, a bootstrapping t-test was conducted to evaluate whether significant differences existed between cost growth or schedule growth within the considered project delivery groups (P3, DB, and DBB) for highway projects.

4.1. Descriptive Statistics

Descriptive statistics were computed for cost growth and schedule growth in projects that were constructed using P3, DB, and DBB project delivery methods. Figure 3 and Figure 4 illustrate the mean cost growth and schedule growth across the entire dataset for highway projects categorized by project delivery methods: P3, DB, and DBB. Based on the descriptive statistics derived from the collected data, the cost growth for highway projects executed using the P3 project delivery method amounted to 2.12%. The statistics revealed that, for DB and DBB projects, the cost increased by 8.95% and 7.27%, respectively, relative to their initial project cost estimates. Furthermore, regarding schedule growth, highway projects constructed through the P3 project delivery method experienced a 0.59% increase in their schedules. However, the average schedule growth rates for DB and DBB projects were significantly higher, amounting to 37.94% and 31.39%, respectively.
Figure 3. Mean cost growth for highway projects under three project delivery methods.
Figure 4. Mean schedule growth for highway projects under three project delivery methods.

4.2. Results for t-Test Assumptions

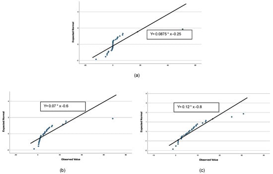
The test results from Kolmogorov–Smirnov normality tests indicate that the significance level (p-value) for highway project cost growth data was less than 0.001 for all data groups (less than a significance level of 0.05). This result suggests that the data did not follow a normal distribution and deviated from the standard normal distribution curve. The normality test results for cost growth of P3, DB, and DBB highway projects are presented in Table 3. Figure 5 presents the Q-Q plots related to this normality test.
Table 3. Normality test statistics for cost growth.
Figure 5. Q-Q plots for cost growth. (a) Public–private partnership projects. (b) Design-build projects. (c) Design-bid-build projects.
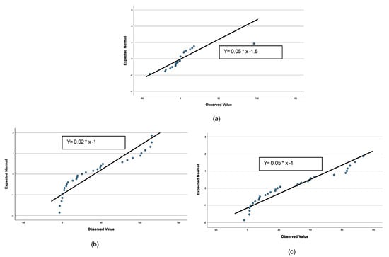
Table 4 presents the results of the normality tests for the schedule growth data of highway projects constructed using the P3, DB, and DBB project delivery methods. Figure 6 shows the corresponding Q-Q plots associated with this normality test. The results of the Kolmogorov–Smirnov normality tests reveal that the significance level (p-value) associated with the schedule growth for P3 and DB highway projects was less than 0.001, and for DBB highway projects, the p-value was 0.033 (less than a significance level of 0.05). This finding strongly indicates that the data did not adhere to a normal distribution and deviated from the standard normal distribution curve.
Table 4. Normality test statistics for schedule growth.
Figure 6. Q-Q plots for schedule growth. (a) Public–private partnership projects. (b) Design-build projects. (c) Design-bid-build projects.
To investigate the equality of variances among the groups for cost growth and schedule growth of P3, DB, and DBB projects, Levene’s test was employed, and the results are shown in Table 5. For cost growth, the test results show that variances were equal among the P3, DB, and DBB highway projects because the p-values for these tests were greater than the significance threshold of 0.05, indicating that the assumption of equal variances was satisfied [23]. However, for schedule growth, the results show that the variances were unequal among these three delivery methods because the p-values for these tests were below the significance threshold of 0.05, indicating unequal variances [23].
Table 5. Levene’s test statistics.

4.3. Bootstrapping t-Test Results

Detailed results of the bootstrapping t-test conducted for various project delivery groups are shown in Table 6 and discussed in the subsequent section.
Table 6. Bootstrapping t-test statistics.

4.4. Cost Performance Comparison

The test results for the cost performance of the P3, DB, and DBB project delivery methods are discussed below.

4.4.1. Cost Growth of Public–Private Partnerships vs. Design-Build Projects

Based on the bootstrapping results, DB highway projects exhibited mean cost growth of 8.95%, while P3 highway projects had a mean value of 2.12% for cost growth. The t-test results with a p-value of 0.017 (below the significance level of 0.05) indicate that the difference between the groups' means was statistically significant [23]. This implies that the two compared groups (P3 and DB projects) had a meaningful difference in their cost performance.

4.4.2. Cost Growth of Public–Private Partnerships vs. Design-Bid-Build Projects

According to the results, DBB highway projects showed a mean value of 7.27% for cost growth, while P3 highway projects had mean cost growth of 2.12%. From the t-test results, the p-value of 0.023 (which was below the significance level of 0.05) indicates that the difference between the groups' means was statistically significant [23]. This suggests a meaningful distinction in cost performance between the compared groups (P3 and DBB projects).

4.4.3. Cost Growth of Design-Build vs. Design-Bid-Build Projects

The results reveal that DB highway projects had mean cost growth of 8.95%, whereas DBB highway projects had a mean value of 7.27% for cost growth. In the t-test, the p-value of 0.502 (greater than the significance level of 0.05) suggests that the difference between the groups’ means was not statistically significant [23]. This indicates that the compared groups (DB and DBB projects) did not exhibit a meaningful distinction in their cost performance.

4.5. Schedule Performance Comparison

The test results for the schedule performance of the P3, DB, and DBB project delivery methods are discussed below.

4.5.1. Schedule Growth Public–Private Partnerships vs. Design-Build Projects

Based on the group statistics from the bootstrapping t-test results, DB highway projects exhibited mean schedule growth of 37.94%, and P3 highway projects had a mean schedule growth value of 0.59%. The resulting p-value of <0.001 (less than 0.05) means that the difference between the groups' means was statistically significant [23]; the two groups being compared (i.e., P3 and DB projects) had a meaningful distinction in their schedule performance.

4.5.2. Schedule Growth of Public–Private Partnerships vs. Design-Bid-Build Projects

From the test results, DBB highway projects had a mean value of 31.39% for schedule growth, while P3 highway projects exhibited mean schedule growth of 0.59%. The t-test results with the p-value of <0.001 (significantly less than 0.05) strongly indicate that there was a statistically significant difference [23] in mean schedule growth between these two groups (P3 and DBB projects), highlighting a meaningful distinction in their schedule performance.

4.5.3. Schedule Growth of Design-Build vs. Design-Bid-Build Projects

According to the group statistics derived from the bootstrapping t-test results, DB highway projects demonstrated mean schedule growth of 37.94%, while DBB highway projects exhibited a mean value of 31.39% for schedule growth. The t-test results with a p-value of 0.008 (significantly less than 0.05) strongly suggest that there was a statistically significant difference between these two groups in mean schedule growth, emphasizing a meaningful distinction in their schedule performance [23].
The study results revealed statistically significant differences between P3 and DB project data when cost analysis was performed. Specifically, cost growth and schedule growth for P3 and DB highway projects slightly exceeded the findings of Fathi and Shrestha (2022) [6]. This suggests that, while P3 and DB projects generally performed well, there may have been specific factors or recent trends contributing to higher-than-expected growth in cost and schedules for these project types. However, the study findings for cost performance are consistent with previous research by Zhang et al. (2020) and Ramsey and El Asmar (2015) [19,20]. For instance, Zhang et al. (2020) found that P3 projects in the Canadian context had cost growth averaging only 1.22% compared to 28.8% for traditional projects. Similarly, Ramsey and El Asmar (2015) concluded that P3 projects had cost growth averaging 3.22%, which was substantially lower than the cost growth range of 3.6% to 25% for DBB projects. Some of the reasons for cost growth in highway projects are due to changes in scope, design errors, material price escalations, ineffective project management, etc. However, in P3 and DB highway projects, there is a minimum probability of design error because design-builders are responsible for both tasks. This might be one of the reasons P3 and DB had lower cost growth than DBB projects.
Moreover, the analysis of highway project schedule performance closely aligns with the conclusions of Ramsey and El Asmar (2015) and Chasey et al. (2012), indicating that P3 projects tend to have better schedule performance compared to traditionally delivered projects [1,20]. This could be attributed to the integrated nature of P3 projects, in which design, construction, and often maintenance are handled by a single entity, leading to more streamlined processes and fewer delays. Although statistically significant differences were observed in comparing P3 and DBB building project data regarding schedule performance, no such differences were found between the DB and DBB data groups. This suggests that while P3 projects may have a clear advantage over DB and DBB projects in terms of schedule performance, the difference is less pronounced when comparing DB to DBB projects. Some reasons for schedule growth in highway projects are scope creep, design errors that lead to more time to design and build, ineffective project management, etc. There are fewer probabilities of scope creep and design errors in P3 projects, as the design-builder and owner work together to prepare the project scope and design. This study therefore found that P3 projects had less schedule growth compared to DB and DBB projects.

5. Conclusions

The use of the P3 delivery method in US highway projects has increased significantly in the last decade. It is therefore necessary to determine whether the highway projects delivered using the P3 method provide cost and schedule advantages compared to DB and DBB methods. To accomplish this goal, this study collected cost and schedule data from DB, DBB, and P3 highway projects completed in the United States since 2007. The projects selected for this study were from the same geographical region and had similar project costs to minimize variability. The performance metrics used by the authors and other researchers in past studies were utilized to develop research hypotheses. These research hypotheses were tested using statistical tests.
The study’s statistical test results reveal that P3 highway projects had mean cost growth of 2.12%, whereas DB projects experienced 8.95% growth, and DBB projects 7.27%. Additionally, the mean schedule growth for P3 highway projects was 0.59%, compared to 37.94% for DB projects and 31.39% for DBB projects. The study findings indicate that P3 highway projects in the United States demonstrated better cost and schedule performance compared to projects delivered through the DB and DBB methods. These results underscore the effectiveness of the P3 approach in managing costs and schedules more efficiently compared to the DB and DBB methods within the context of highway construction. This suggests that the collaborative approach of P3 project delivery between the public and private sectors offers efficiencies in managing highway construction project costs and schedules. These research outcomes hold significant practical implications for government agencies such as state departments of transportation, which may find P3s a viable option for delivering large-scale highway projects more cost-effectively and with improved schedule adherence. Furthermore, these findings could potentially drive more states across the United States to consider adopting the P3 approach for their highway construction projects. However, it is essential to acknowledge that the study’s conclusions are drawn from empirical data, and further investigation is necessary to understand the specific factors that contribute to the cost and schedule advantages of P3 projects. Moving forward, it would be valuable to explore additional factors contributing to these cost and schedule performance differences and to conduct further studies to validate these findings across different project settings and geographical regions.

Author Contributions

Conceptualization, P.P.S.; methodology, P.P.S.; software, B.S.; validation, B.S. and P.P.S..; formal analysis, B.S.; investigation, B.S.; resources, P.P.S.; data curation, B.S.; writing—original draft preparation, B.S.; writing—review and editing, B.S. and P.P.S.; visualization, B.S.; supervision, P.P.S..; project administration, P.P.S.; funding acquisition, P.P.S. All authors have read and agreed to the published version of the manuscript.

Funding

This research received no external funding.

Data Availability Statement

The raw data supporting the conclusions of this article will be made available by the authors on request.

Conflicts of Interest

The authors declare no conflict of interest.

References

  1. Chasey, A.D.; Maddex, W.E.; Bansal, A. Comparison of public-private partnerships and traditional procurement methods in north American highway construction. Transp. Res. Rec. 2012, 2268, 26–32. [Google Scholar] [CrossRef]
  2. Muhammad, Z.; Johar, F. Critical success factors of public–private partnership projects: A comparative analysis of the housing sector between Malaysia and Nigeria. Int. J. Constr. Manag. 2018, 19, 257–269. [Google Scholar] [CrossRef]
  3. Natalia, L.; Tanzil, N.D.; Sari, P.Y. Critical success factors of public-private partnership from 2000 to 2019: A literature review. J. Perspect. Financ. Reg. Dev. 2021, 8, 531–540. [Google Scholar] [CrossRef]
  4. Growth in Highway Construction and Maintenance Costs; FHWA: Washington, DC, USA, 2007.
  5. Blanc-Brude, F.; Goldsmith, H.; Valila, T. Ex Ante Construction Costs in the European Road Sector: A Comparison of Public-Private Partnerships and Traditional Public Procurement. SSRN Electron. J. 2006. [Google Scholar] [CrossRef]
  6. Shrestha, B.; Shrestha, P.P.; Maharjan, R.; Gransberg, D. Cost, Change Order, and Schedule Performance of Highway Projects. J. Leg. Aff. Disput. Resolut. Eng. Constr. 2022, 14, 04521044. [Google Scholar] [CrossRef]
  7. Fathi, M.; Shrestha, P.P.; Shakya, B. Change Orders and Schedule Performance of Design-Build Infrastructure Projects: Comparison between Highway and Water and Wastewater Projects. J. Leg. Aff. Disput. Resolut. Eng. Constr. 2020, 12, 04519043. [Google Scholar] [CrossRef]
  8. Brogan, E.; Shrestha, B.; Clevenger, C.M.; Shrestha, P.P. State Transportation Agencies’ Current Practices in Providing Design Information for Design-Build Projects during Procurement. J. Leg. Aff. Disput. Resolut. Eng. Constr. 2022, 14, 03721004. [Google Scholar] [CrossRef]
  9. Azarian, M.; Shiferaw, A.T.; Stevik, T.K.; Lædre, O.; Wondimu, P.A. Public-Private Partnership: A Bibliometric Analysis and Historical Evolution. Buildings 2023, 13, 2035. [Google Scholar] [CrossRef]
  10. Weng, X.; Yuan, C.; Li, X.; Li, H. Research on the Construction of a Risk Assessment Indicator System for Transportation Infrastructure Investment under Public–Private Partnership Model. Buildings 2024, 14, 1679. [Google Scholar] [CrossRef]
  11. Castelblanco, G.; Safari, P.; De Marco, A. Driving Factors of Concession Period in Healthcare Public Private Partnerships. Buildings 2023, 13, 2452. [Google Scholar] [CrossRef]
  12. Al Saadi, R.; Abdou, A. Exploring Briefing Processes across Mature Markets of Public–Private Partnership (PPP) Projects: Comparative Insights and Important Considerations. Buildings 2024, 14, 2125. [Google Scholar] [CrossRef]
  13. Aljaber, K.; Sohail, M.; Ruikar, K. Critical Success Factors of Water and Power Public–Private Partnerships in Developing Countries: A Systematic Review. Buildings 2024, 14, 1603. [Google Scholar] [CrossRef]
  14. Arce, L.; Delgadillo, R.; Osorio-Lird, A.; Araya, F.; Wahr, C. Asset Valuation Model for Highway Rigid Pavements Applicable in Public–Private Partnerships Projects. Infrastructures 2023, 8, 118. [Google Scholar] [CrossRef]
  15. Akomea-Frimpong, I.; Jin, X.; Osei-Kyei, R. Mapping Studies on Sustainability in the Performance Measurement of Public-Private Partnership Projects: A Systematic Review. Sustainability 2022, 14, 7174. [Google Scholar] [CrossRef]
  16. Mazher, K.M.; Chan, A.P.C.; Choudhry, R.M.; Zahoor, H.; Edwards, D.J.; Ghaithan, A.M.; Mohammed, A.; Aziz, M. Identifying Measures of Effective Risk Management for Public–Private Partnership Infrastructure Projects in Developing Countries. Sustainability 2022, 14, 14149. [Google Scholar] [CrossRef]
  17. Anastasopoulos, P.C.; Labi, S.; Bhargava, A.; Bordat, C.; Mannering, F.L. Frequency of change orders in highway construction using alternate count-data modeling methods. J. Constr. Eng. Manag. 2010, 136, 886–893. [Google Scholar] [CrossRef]
  18. Choi, K.; Lee, H.W.; Bae, J.; Bilbo, D. Time-Cost Performance Effect of Change Orders from Accelerated Contract Provisions. J. Constr. Eng. Manag. 2016, 142, 04015085. [Google Scholar] [CrossRef]
  19. Zhang, J.; Chen, F.; Yuan, X.X. Comparison of cost and schedule performance of large public projects under P3 and traditional delivery models: A Canadian study. Constr. Manag. Econ. 2020, 38, 739–755. [Google Scholar] [CrossRef]
  20. Ramsey, D.W.; El Asmar, M. Cost and schedule performance benchmarks of U.S. transportation public-private partnership projects: Preliminary results. Transp. Res. Rec. 2015, 2504, 58–65. [Google Scholar] [CrossRef]
  21. Raisbeck, P.; Duffield, C.; Xu, M. Comparative performance of PPPs and traditional procurement in australia. Constr. Manag. Econ. 2010, 28, 345–359. [Google Scholar] [CrossRef]
  22. Zeitoun, A.A. Evaluation of Cost and Schedule Growth Trends During. Master’s Thesis, Oklahoma State University, Stillwater, Oklahoma, July 1992. [Google Scholar]
  23. Laerd Statistics. One-Way ANOVA in SPSS Statistics—Step-by-Step Procedure Including Testing of Assumptions. Leard.Com. 2021. Available online: https://statistics.laerd.com/spss-tutorials/one-way-anova-using-spss-statistics.php (accessed on 19 August 2024).
  24. Johnston, M.G.; Faulkner, C. A bootstrap approach is a superior statistical method for the comparison of non-normal data with differing variances. New Phytol. 2021, 230, 23–26. [Google Scholar] [CrossRef]
  25. Walters, S.J.; Campbell, M.J. The use of bootstrap methods for analysing health-related quality of life outcomes (particularly the SF-36). Health Qual. Life Outcomes 2004, 2, 70. [Google Scholar] [CrossRef] [PubMed]
  26. Efron, B.; Tibshirani, R. An Introduction to the Bootstrap; Chapman & Hall: Boca Raton, FL, USA, 1994. [Google Scholar]
  27. Zhao, S.; Yang, Z.; Musa, S.S.; Ran, J.; Chong, M.K.C.; Javanbakht, M.; He, D.; Wang, M.H. Attach importance of the bootstrap t test against Student’s t test in clinical epidemiology: A demonstrative comparison using COVID-19 as an example. Epidemiol. Infect. 2021, 149, e107. [Google Scholar] [CrossRef]
  28. Konietschke, F.; Pauly, M. Bootstrapping and permuting paired t-test type statistics. Stat. Comput. 2014, 24, 283–296. [Google Scholar] [CrossRef]
Disclaimer/Publisher’s Note: The statements, opinions and data contained in all publications are solely those of the individual author(s) and contributor(s) and not of MDPI and/or the editor(s). MDPI and/or the editor(s) disclaim responsibility for any injury to people or property resulting from any ideas, methods, instructions or products referred to in the content.

Article Metrics

Citations

Article Access Statistics

Multiple requests from the same IP address are counted as one view.