Next Article in Journal
Energy Self-Sufficiency of Smaller Rural Centers: Experimental Approaches
Next Article in Special Issue
Project Performance Comparison of Public–Private Partnership (P3) Highway Projects against Design Build (DB) and Design Bid Build (DBB) Highway Projects
Previous Article in Journal
Evaluation of Heating Time on Vacuum Preloading Treatment
Previous Article in Special Issue
Procedures for Awarding Work Contracts in Europe
error_outline You can access the new MDPI.com website here. Explore and share your feedback with us.
 
 
Font Type:
Arial Georgia Verdana
Font Size:
Aa Aa Aa
Line Spacing:
Column Width:
Background:
Article

Enhancing Contractor Selection through Fuzzy TOPSIS and Fuzzy SAW Techniques

1
Department of Civil Engineering & Construction, College of Engineering and Computing, Georgia Southern University, Statesboro, GA 30458, USA
2
Durham School of Architectural Engineering & Construction, College of Engineering, University of Nebraska, Lincoln, NE 68588, USA
3
School of Design and Construction, Voiland College of Engineering and Architecture, Washington State University, Pullman, WA 99163, USA
4
Department of Engineering Technology, College of Science & Engineering, Texas State University, San Marcos, TX 78666, USA
*
Author to whom correspondence should be addressed.
Buildings 2024, 14(6), 1861; https://doi.org/10.3390/buildings14061861
Submission received: 29 April 2024 / Revised: 29 May 2024 / Accepted: 12 June 2024 / Published: 19 June 2024
(This article belongs to the Special Issue Life Cycle Management of Building and Infrastructure Projects)

Abstract

Contractors play an integral role in construction projects, and their qualifications directly impact various aspects of a project’s success. The unbiased selection of contractors is a challenge in the construction industry worldwide, particularly in public projects where impartiality in the final selection is essential. Numerous factors must be considered when evaluating contractors, making the selection process challenging for the human brain. This paper introduces and compares two methods for assessing contractor prequalification by applying the fuzzy theory. The idea is to facilitate using human judgments in a mathematical system for decision-making with regard to selecting contractors. The method is based on identifying a fuzzy weight for the selection criteria using the Buckley method. Fuzzy TOPSIS and Fuzzy SAW methods are then used for the qualification ranking of the contractors. The proposed models are assessed using a case study. A sensitivity analysis was also conducted to compare the two models. The introduced method is expected to improve the quality of the qualification-based selection of contractors and prevent possible losses from hiring unsuitable contractors.

1. Introduction

The quality of delivery for almost any construction project highly depends on the performance of the contractors [1,2]. Identifying and selecting qualified contractors has, therefore, a pivotal role in the success of construction projects [3]. Hence, contractor selection is one of the most critical decisions made by project owners and can create additional risks to projects [4]. The risk of the poor selection of contractors results from various uncertainties that are inherent in the selection process [5], as well as the lack of reliable and precise information [6] to identify the most qualified contractor among the possible options. Developing an effective method that can contribute to selecting the most appropriate contractor is therefore extremely important from an owner’s point of view.
Contractor selection was traditionally pursued based on the lowest proposed price [7]. This approach would cause various issues during the construction process, as it failed to consider critical qualification criteria that can affect the quality of project delivery. To make more reliable decisions in selecting contractors, owners need a mechanism to identify and eliminate unqualified contractors from participating in the bid process [8]. However, subjectivity and human thinking limitations in considering multiple aspects of selection simultaneously can lead to selecting less qualified contractors from the option pool.
In this study, fuzzy methods are developed for evaluating contractors. The method, in brief, is based on identifying a fuzzy weight for each selection criterion and computing the overall prequalification score of each contractor using Fuzzy TOPSIS and Fuzzy SAW methods. The outputs of the two methods are then compared in multiple aspects to identify the strengths and limitations of the two models. The study pursues the following goals: (1) considering various criteria in the selection process using a systematic and formulated method that targets not only low price, but also multiple factors that can potentially contribute to the performance and quality of project delivery by the contractor; (2) enhancing the owner’s certainty about the contractor’s qualifications and mitigating the risks associated with hiring incompetent or unfitting contractors; and (3) conducting a comparison between the two proposed methods to analyze their outputs and suggest in what aspects each of the two models is superior to the other. The proposed models are expected to be particularly useful for owners with limited experience in contractor selection, and for public projects where unbiased selection is essential.

2. Background

The tender system of selection based on the lowest bid is the most widely used approach for selecting competitive bids for public projects within the US construction sector and globally [9]. The method of determining the winner by the lowest bid is based on saving financial resources and creating equal competition for all participating contractors. This method prevents the impact of external factors and political pressures on the owner, but has significant shortcomings, as seen in Table 1 [9,10,11].
The limitations of the traditional lowest-bid selection method encouraged owners to modify the selection process significantly. Additional parameters were identified for consideration in the bidding process, which could enable a contractor who was not offering the lowest bid to win the contract. To overcome the shortcomings of low-bid selection, the best value procurement approach is used in construction projects. This method involves evaluating bids not only on the basis of cost, but also considering the quality and efficiency of the proposed work [12]. This method aims to achieve the best balance between price and performance, ensuring that the project receives the highest value for the money spent. This includes assessing which contractor can provide the highest-quality work within the budget and timeframe, along with meeting or exceeding other specified criteria. Figure 1 shows how the process of selection in this method typically unfolds.
According to the literature, selecting unsuitable contractors creates multiple issues for the project, including delays, cost overruns, poor workmanship, disputes, and even bankruptcy [13,14,15]. Conversely, incorporating non-financial criteria, such as the quality of execution in prior projects, into the contractor selection process may introduce potential biases, thereby complicating the selection methodology. This complexity is particularly evident when numerous criteria must be evaluated, necessitating that the final decision be conducted with utmost fairness and objectivity.
It is important to acknowledge that the selection of contractors can be influenced by a broader set of considerations beyond conventional metrics. These factors include the sustainability of their practices [16], their historical performance in terms of project delays [17], the incorporation of automation within their projects [18], and their dedication to safety standards and the protection of workers’ rights [19]. Broadening the criteria, on the other hand, will add to the complexity of the selection process.
The philosophy of multi-criteria contractor selection is that the offer with the best value, and not necessarily the lowest price, must be selected. In this approach, value is a combination of price and other criteria such as experience, ownership of equipment, and performance quality. This method aims to achieve the best balance between price and performance, ensuring that the project receives the highest value for the money spent. Best-value selection is based on selecting a contractor with the most reasonable price that also possesses or surpasses the expected qualifications. The significance of qualifications can vary depending on the project type and owners’ expectations. Araújo et al. [20] completed a comprehensive literature review of contractor selection criteria and found a number of papers that have addressed each criterion based on the project type, as seen in Table 2. Their findings indicate that financial stability, performance quality, and staff feature as the top three selection criteria.
As the array of selection criteria broadens, the complexity of evaluating contractors and identifying the optimal match intensifies. Consequently, there emerges a pressing requirement for a methodology capable of amalgamating contractors’ scores across various criteria to streamline the decision-making process. This entails the adoption of a sophisticated approach that enables the determination of the contractor who achieves the highest aggregate score relative to the competition. Such a methodology must not only ensure a comprehensive assessment of each criterion, but also facilitate a holistic evaluation, culminating in the selection of the most qualified contractor who exemplifies superior performance across all assessed parameters.
Challenges of multi-criteria prequalification of construction contractors. A variety of issues might occur regarding the prequalification of construction contractors, including discrimination, antitrust issues, liability, misrepresentation, and breaches of contract. Any selection criteria or requirements used in the contractor prequalification process must be applied equally to all bids. The law forbids discrimination based on race, gender, religion, or any other protected class. Additionally, programs for prequalifying construction contractors must not infringe on antitrust regulations by restricting competition or posing obstacles to entry for new or smaller firms. It is crucial to make sure the prequalification procedure is impartial, fair, and open.
The owner or other contractors working on the project may take legal action against a contractor who falsely states during the prequalification process their credentials, experience, or financial resources. For making false statements, the contractor could potentially be subject to penalties, fines, or other repercussions. If the contractor violates the conditions of the prequalification agreement or the contract, the owner or other contractors working on the project may take legal action against them.
The data supplied by contractors during the prequalification process is confidential, and it must be treated as such. Legal action against the owner or contractor may follow the release of private information. Prequalification programs must abide by all applicable laws and regulations, including those pertaining to employment, safety, and state and federal procurement legislation.
Identifying prequalification factors. The process of establishing selection criteria for contractor prequalification involves a comprehensive assessment of potential contractors’ capabilities, resources, experience, and financial stability, to name a few. According to Zhang [21], the criteria should encompass both quantitative and qualitative factors, including past performance, technical expertise, financial health, safety records, and environmental management capabilities. Elaborating on this framework, Al-Harbi [22] suggests the use of the analytic hierarchy process (AHP) as a methodological approach to weighing these criteria, thus enabling decision-makers to prioritize them based on project-specific objectives. Moreover, Luu, Kim, and Huynh [23] advocate for the integration of dynamic capabilities such as adaptability and innovation in response to changing project conditions. To ensure a comprehensive and unbiased evaluation, Kumaraswamy and Matthews [24] recommend stakeholder engagement in defining these criteria, thus reflecting a broader spectrum of expectations and requirements. These methodologies underscore the importance of a structured and inclusive approach to developing contractor selection criteria that not only align with project goals but also enhance the overall procurement strategy within the construction industry.
In the literature, many contractor qualification metrics have been addressed and studied, including financial stability [14,15,25], reputation [26], health and safety [27], resources including staff and equipment [28,29], and speed of project delivery in previous projects [13,30,31,32], to name a few. Figure 2 shows the major prequalification factors for selecting contractors. As can be seen, a significant number of factors can influence this selection. As the number of selection criteria increases, evaluating the contractors and selecting the best fit becomes more challenging. There is a need for a method that can combine contractors’ scores in each criterion and facilitate the final decision, which is selecting the contractor who has the best overall score among all the competitors.
Several studies have investigated how the contractor selection and prequalification processes can be formulated and improved. One of the most renowned methods was created by Russell [33], who developed a program called “Qualifier-1”. This software used a linear combination of decision-weighted criteria to calculate the weighted proportions of each contractor and rank them accordingly. Because of its systematic structure, the software could select the best contractor for the client. Russell and Skibniewski [34] advanced this tool and later developed the “Qualifier-2”.
Afshar et al. [35] developed a fuzzy set model for contractor prequalification to accommodate the uncertainty which is inherent in the decision-making process. The authors focused on resolving the type-1 fuzzy sets’ shortcomings in reflecting various opinions for decision-making by using type-2 fuzzy sets that accommodate both linguistic imprecision and differences in opinion. The application of fuzzy logic for contractor prequalification was previously studied by Plebankiewicz [36] and Nieto-Morote and Ruz-Vila [37]. The possibility of applying linguistic variables in evaluations is the primary advantage of these methods, making fuzzy models appropriate for simulating human thinking and judgment based on qualitative data in a multi-criteria decision-making system.
In addition to fuzzy logic, multiple kernel learning-based decision support was applied by Lam and Yu [38] to accommodate the subjectivity and non-linearity of the decision-making process. The authors showed that their multiple kernel learning method performs better than the previous artificial neural network and support vector machine (SVM) models. The SVM model was used by Lam et al. [39] for contractor prequalification. Additionally, Safa et al. [40] utilized competitive intelligence (CI) techniques for the contractor selection process. They identified the unbiased and auditable decision-making process as the main advantage of using CI techniques.
Another approach to formulating the contractor prequalification process that focused on the contractor’s financial stability was suggested by the authors of [6]. The authors developed a model that utilized cash flow data to evaluate the contractors, and addressed the elimination of subjectivity and judgment based on inexplicit qualitative information as the main benefit of using their tool.
While most of the existing research about contractor prequalification is based on meeting owners’ expectations and demands, the selection criteria can differ for consultants or sureties. Awad and Fayek [41] developed a decision support system for contractor prequalification for surety bonding and listed the evaluation criteria from the sureties’ perspective. These authors also applied fuzzy logic and expert systems for contractor and project evaluation. The fuzzy AHP method was also used by Jaskowski et al. [42], who defined criteria weights based on decision-makers’ judgments. Additionally, Juan et al. [31] combined fuzzy set theory and quality function deployment to develop a contractor selection model as an alternative analytic structure.
Numerous models have been developed for the prequalification and selection of contractors, but the majority of these models rely on intricate comparative analyses that have been met with resistance within the construction industry. The models introduced in this paper aim to bridge this gap by offering a more accessible approach to contractor selection. Furthermore, through the implementation of sensitivity analysis, the influence of individual criterion weights and expert opinions on the overall qualification score is integrated within the model, enhancing its applicability to both public and private sector proprietors. Additionally, the computational demand of these models remains relatively minimal, particularly in scenarios characterized by a limited number of criteria and contractors.

3. Methodology

One of the proposed model diagrams for the prequalification of contractors is based on the Fuzzy TOPSIS method. Fuzzy TOPSIS, which stands for Technique for Order Preference by Similarity to Ideal Solution, is an extension of the traditional TOPSIS method, integrated with fuzzy logic to handle uncertainty and imprecision in decision-making processes. This approach is particularly useful when the decision criteria and the judgments of decision-makers are not precisely defined, which is common in complex decision-making environments. The method is based on the following steps shown in Figure 3.
  • Step 1. An essential stage in the development of the model is identifying the selection criteria. The common practice of clients in the industry is developing a specific list of criteria for contractor prequalification. This list, in most cases, includes multiple criteria with high significance depending on the client’s needs and the proposed project’s conditions. The type and number of the criteria could therefore vary from one project to another. There are numerous studies that have discussed various contractor prequalification criteria in detail. Therefore, aggregating these criteria into a unified applicable model is challenging. For this purpose, first, a list of criteria according to existing regulations and research papers was prepared; then, a questionnaire was developed and the process of finding potential participants started.
Selecting construction industry professionals required a thorough and meticulous approach to ensure both the reliability of the results and the qualification of the participants as experts in the industry, representing a comprehensive nationwide perspective. The process began with searching for industry experts with educational backgrounds, professional experience, areas of specialization such as sustainable building practices or safety management, professional certifications like PMP or LEED AP, and contributions to the field such as publications related to contractor selection. A variety of channels, including professional associations, industry groups, online forums, LinkedIn groups, construction firms, academic institutions with construction management programs, and professional certification bodies, were screened with the aim of creating a diverse and extensive pool of candidates. This selection process was further refined by ensuring the diversity and representativeness among the participants, taking into account geographic location, company size, role within the industry, and area of expertise to ensure a broad spectrum of insights and perspectives.
The result of finding appropriate respondents for the survey led to the identification of 110 construction professionals who were industry experts in tendering from the procurement departments of different clients and general contractor companies, including energy companies, oil and gas companies, and water resource management clients. The respondents also comprised civil engineering faculty members from various universities, and several famous and experienced project managers. The respondents answered the questions by selecting the degree of importance for each criterion (very low = 1, low = 2, medium = 3, high = 4, very high = 5). Then, the average degree of significance was computed for each criterion. Criteria with a minimum score of three were assumed to be significant and shortlisted into a list of eight criteria. The selected criteria for evaluating contractors, and their corresponding scores, are shown in Table 3.
  • Step 2. In this step, we assigned weights to each criterion reflecting their relative importance in the decision-making process. These weights are represented as fuzzy numbers to incorporate subjective judgments and uncertainty about the importance of criteria. This task was delegated to the survey respondents who were asked to determine these weights utilizing the Buckley method [43]. The Buckley method is a technique used in the Fuzzy TOPSIS process for assigning weights to criteria, which is crucial for evaluating alternatives in decision-making problems. This method involves using fuzzy logic to handle the uncertainty and imprecision that often exist in assessing the importance of various criteria.
It is important to acknowledge that the relative importance or precedence of each criterion may vary depending on the specific demands of different projects, which in turn influences the expected qualifications from a contractor. Therefore, a significant step in applying this model is developing a pairwise comparison matrix based on the project’s needs. In this matrix, each element represents the result of comparing the importance of two criteria using fuzzy numbers. The comparison is completed in pairs to understand how much more important one criterion is compared to another. To make this happen, the survey included a pairwise comparison questionnaire. As an illustration, Table 4 presents a questionnaire designed to evaluate ‘Experience’ against ‘Financial Stability.’ According to the response obtained in this example, the expert conferred a higher priority to ‘Financial Stability’ over ‘Experience.’
In this method, predetermined fuzzy numbers are used to compare the criteria priorities, as seen in Figure 4. The four numbers in parentheses (a1, a2 a3, and a4) for each level of criteria priority or importance in the context of fuzzy TOPSIS represent a trapezoidal fuzzy number (TFN).
Equal priority or importance: (1,1,1,1).
Poor priority or importance: 3 2 , 2,2 , 5 2 .
Average priority or importance: 2 3 , 1,1 , 3 2 .
Strong priority or importance: 5 2 , 3,3 , 7 2 .
Absolute priority or importance: 7 2 , 4,4 , 9 2 .
  • Step 3. For each row in the fuzzy pairwise comparison matrix, we calculated the geometric mean. The geometric mean for a row with fuzzy numbers is also a fuzzy number, and it is calculated by multiplying the fuzzy numbers in the row and then taking the nth root, where n is the number of elements in the row. This was completed using Equation (1).
z ˜ i = ( a ˜ i 1 . a ˜ i 2 . . a ˜ i n ) 1 / n
Then, the fuzzy weight was determined using Equation (2); the total weight was computed using Equation (3). In this equation, K is the number of decision-makers. The criterion’s weight (jth) for each decision-maker is shown in Equation (3).
w ˜ i = z ˜ i z ˜ 1 + z ˜ 2 + + z ˜ n
w j = ( w j l 1 , w j l 2 , w j l 3 , w j l 4 ) l = 1,2 , , k
Then, the total weight was computed using Equations (4)–(7):
w j 1 = 1 k l = 1 k w j l 1   l = 1,2 , , k
w j 2 = 1 k l = 1 k w j l 2   l = 1,2 , , k
w j 2 = 1 k l = 1 k w j l 3   l = 1,2 , , k
w j 2 = 1 k l = 1 k w j l 4   l = 1,2 , , k
Step 4. Based on experts’ evaluations of criteria for contractors, each criterion is given a fuzzy number that is applied in the decision matrix. To undertake this, triangular and trapezoidal fuzzy numbers were used. Their fuzzy numbers are as follows. Figure 5 shows the fuzzy numbers for each criterion.
  • Very good or very important (VG/VI) fuzzy number: (0.8, 0.9, 1.0,1.0).
  • Good or important (G/V) fuzzy number: (0.6, 0.7, 0.8, 0.9).
  • Above average (AA) fuzzy number: (0.5, 0.6, 0.7, 0.8).
  • Average (A) fuzzy number: (0.4, 0.5, 0.5, 0.6).
  • Below average (BA) fuzzy number: (0.2, 0.3, 0.4, 0.5).
  • Poor or low importance (P/LI) fuzzy number: (0.1, 0.2, 0.3, 0.4).
  • Very poor or very low importance (VP/VL) fuzzy number: (0, 0, 0.1, 0.2).
The next step is to normalize the decision-making matrix. Normalizing the decision-making matrix is a crucial step that transforms the initial fuzzy evaluation matrix into a form where the performance of alternatives can be compared across different criteria. Normalization adjusts the values so that they are dimensionless, allowing for an equitable comparison and aggregation of information across criteria.
The process of normalization involves converting the fuzzy numbers in the decision-making matrix into standardized values that reflect the relative performance of alternatives with respect to each criterion. Equations (8) and (9) were used for indexes with positive and negative aspects, respectively.
n ˜ i j = a i j l a j r max , a i j m 1 a j r max , a i j m 2 a j r max , a i j r a j r max
n ˜ i j = a j l min a i j r , a j l min a i j m 2 , a j l min a i j m 1 , a j l min a i j l
The decision-making matrix serves as the basis for evaluating and comparing the alternatives across various criteria. This matrix encapsulates the performance of each alternative against all criteria, incorporating the uncertainty and ambiguity inherent in decision-making processes through the use of fuzzy numbers. To develop the decision-making matrix, the normalized values were used using Equation (10).
N ˜ = ( n ˜ i j ) m × n = A 1 A 2 A m x 1 x 2 x n n ˜ 11 n ˜ 12 n ˜ 1 n n ˜ 21 n ˜ 22 n ˜ 2 n n ˜ m 1 n ˜ m 2 n ˜ m n
Step 5. In this step, the matrix of normalized weights is developed to represent the importance of each criterion in a normalized form, using fuzzy numbers. These weights evaluate the alternatives to reflect the priorities and preferences of the decision-makers. The process involves converting the fuzzy weights assigned to each criterion into a form where the total sum of the weights equals one. In other words, it is normalized to a scale that represents their relative importance. This ensures that the impact of each criterion on the decision-making process is proportional to its significance. With the identified weights and the normalized matrix, the matrix of normalized weights was computed using Equations (11)–(13).
V ˜ = υ ˜ i j m × n i = 1 , 2 , , m j = 1,2 , , n
υ ˜ i j = n ˜ i j . w ˜ j
V ˜ = υ ˜ i j m × n = υ ˜ 11 υ ˜ 12 υ ˜ 1 n υ ˜ 21 υ ˜ 22 υ ˜ 2 n υ ˜ m 1 υ ˜ m 1 υ ˜ m n = w ˜ 1 . υ ˜ 11 w ˜ 2 . υ ˜ 12 w ˜ n . υ ˜ 1 n w ˜ 1 . υ ˜ 21 w ˜ 2 . υ ˜ 22 w ˜ n . υ ˜ 2 n w ˜ 1 . υ ˜ m 1 w ˜ 2 . υ ˜ m 1 w ˜ n . υ ˜ m n
Step 6. Identifying the fuzzy solutions involves determining the fuzzy positive ideal solution, FPIS, and the fuzzy negative ideal solution, FNIS. These solutions can evaluate how close each alternative is to the optimal choice and how far it is from the worst-case scenario. The fuzzy solutions were identified using Equations (14) and (15).
A * = υ ˜ 1 * , υ ˜ 2 * , , υ ˜ n * = max i υ ˜ i j j J 1 , min i υ ˜ i j j J 2         i = 1 , 2 , , m     }
A = υ ˜ 1 , υ ˜ 2 , , υ ˜ n = min i υ ˜ i j j J 1 , max i υ ˜ i j j J 2         i = 1 , 2 , , m     }
Step 7. The closeness of each alternative to the ideal solution is quantified through the closeness coefficient, which is calculated based on the distances to the FPIS and FNIS. This coefficient helps in ranking the alternatives, where a higher closeness coefficient indicates that an alternative is closer to the FPIS and, consequently, is a more preferred choice. In this step, the distance of choices from the fuzzy positive and negative solutions is computed using Equations (16) and (17).
d i * = j = 1 n d υ υ ˜ i j , υ ˜ j * i = 1,2 , , m
d i = j = 1 n d υ υ ˜ i j , υ ˜ j i = 1,2 , , m
Step 8. The degree of qualification for each contractor is computed by applying the closeness coefficient, CC, using Equation (18). In this equation, the closeness coefficient (CCi) for each contractor ‘i’ is calculated.
C C i = d i d i + d i *
CCi: Closeness coefficient for contractor ‘i’. This value is used to rank the alternatives: the higher the closeness coefficient, the better the alternative is considered because it is closer to the ideal solution.
d i ¯ : The distance of contractor ‘i’ from the negative ideal solution. The negative ideal solution is a hypothetical solution that has the worst performance for each criterion.
d i * : The distance of contractor ‘i’ from the positive ideal solution. The positive ideal solution is a hypothetical solution that has the best performance for each criterion.
By normalizing the distance from the negative ideal solution by the sum of the distances from both the negative and positive ideal solutions, we obtain a value between 0 and 1, where 1 indicates the alternative is coincident with the positive ideal solution, and 0 would indicate coincidence with the negative ideal solution. Thus, the contractors are ranked according to these closeness coefficients, with the highest value indicating the most preferred contractors. The results are shown in the ‘Case Study’ section.
Developing the Fuzzy-SAW model: Another model to evaluate contractor prequalification is based on the Fuzzy SAW, or Simple Additive Weighting, method. The Fuzzy SAW method is particularly useful in multi-criteria decision-making (MCDM) problems where the criteria and/or the preferences of decision-makers are not precisely defined. By using fuzzy numbers to represent evaluation scores and weights, the Fuzzy SAW method provides a more flexible and realistic approach to ranking contractors under uncertainty. The model flowchart is shown in Figure 6.
In this model, determining the main criteria and related weights, and assigning a linguistic term for contractor evaluation (Steps 1–4) are similar to the Fuzzy TOPSIS model. The remaining steps are as follows.
  • Step 5. The contractors’ evaluations of each criterion were conveyed qualitatively according to the experts’ opinions. Finally, the decision matrix was created. Once the criteria were weighted using Equation (19), the scores of the contractors were fuzzily computed.
U ˜ i = j = 1 n w ˜ j . r ˜ i j
In which
U ˜ i is the score of the i t h contractor;
w ˜ j is the weight of the j t h criterion;
r ˜ i j is the score of the points for the ith contractor in relation to the jth criterion.
In the case where the criteria were weighted with pairwise comparisons and the fuzzy numbers evaluating them were trapezoidal, the calculations were as follows (Equations (20)–(27)).
w ˜ = ( a 1 , b 1 , c 1 , d 1 )
r ˜ = ( a 2 , b 2 , c 2 , d 2 )
Then,
w ˜ . r ˜ = ( a L 1 , L 2 , b , c , d R 1 , R 2 )
in which,
a = a 1 × a 2       b = b 1 × b 2         c = c 1 × c 2         d = d 1 × d 2
L 1 = ( b 1 a 1 ) ( b 2 a 2 )
L 2 = a 2 . ( b 1 a 1 ) + a 1 . ( b 2 a 2 )
R 1 = ( d 1 c 1 ) . ( d 2 c 2 )
R 2 = d 2 . ( d 1 c 1 ) + d 1 . ( d 2 c 2 )
The multiplication of two trapezoidal fuzzy numbers to produce a new fuzzy number indicates an operation involving fuzzy quantities. Each trapezoidal fuzzy number is defined by a membership function characterized by four points, giving it a trapezoidal shape. When these two fuzzy numbers are multiplied, the result is a fuzzy number, but it generally does not retain the trapezoidal shape, because the multiplication process can distort the shape of the membership function. Thus, the resultant fuzzy number needs its own membership function to be described, which could be more complex than a simple trapezoid. This affects how the resultant fuzzy number is used in further calculations within the Fuzzy SAW methodology, as the new membership function needs to be considered for any subsequent operations or decision-making processes. Provided that M ˜ = w ˜ × r ˜ , its membership function is shown in the following equations.
μ M ˜ ( x ) = 0                                                     x a 0                                                     x d 1                                           b x c α   0,1 a x b   α 0,1       c x d  
If c x d and a x b , then
x = L 1 . α 2 + L 2 . α + a     ; α 0,1         a x b
x = R 1 . α 2 + R 2 . α + d     ; α 0,1                                 c x d
For fuzzy numbers, the addition function is
M ˜ i = ( a i L i 1 , L i 2 , b i , c i , d R i 1 , R i 2 )
With n fuzzy numbers, as presented above, their sum can be reported as follows:
Wj = (Wjl1, Wjl2 Wjl3 Wjl4)   l = 1,2,…,k
N ˜ = i = 1 n M ˜ i = ( a L 1 , L 2 , b , c , d R 1 , R 2 )
in which
a = i = 1 n a i         b = i = 1 n b i         c = i = 1 n a c i         d = i = 1 n d i
L 1 = i = 1 n l i 1     L 2 = i = 1 n l i 2     R 1 = i = 1 n R i 1     R 2 = i = 1 n R i 2
Step 6. In this step, the final utility score is calculated. The concept of “final utility” refers to the overall performance score of each alternative, derived from aggregating the weighted scores across all criteria. When using Chen’s method [44], the final utility is determined through a specific process of defuzzification that converts the fuzzy scores into crisp values, allowing for the straightforward comparison and ranking of alternatives. In other words, Chen’s method translates fuzzy numbers into single scalar values, crisp values, by calculating the centroid or the center of gravity of the fuzzy numbers. The idea is to represent the fuzzy number by a single value that best captures its “central” tendency, providing a practical way to compare fuzzy results. Following this method, the final utility was calculated as shown below:
U ( x ) = 1 2 U R x + 1 U L x
where Ur and Ul are the right- and left-side utilities and are defined as below:
U R ( x ) = max min ( μ M ( x ) , μ A i ( x ) )
U L ( x ) = max min ( μ G ( x ) , μ A i ( x ) )
where
μ M ( x ) = ( x x M I N ) / ( x M A X x M I N )   x M I N x x M A X   0                                                                                                           otherwise
μ G ( x ) = ( x x M A X ) / ( x M I N x M A X )   x M I N x x M A X   0                                                                                                           otherwise

4. Results of the Case Study

To evaluate the proposed models, a case study of contractor prequalification in a construction project was conducted. The study was performed on a mega construction project located in Iran. Seven construction firms participated in the prequalification competition. The names of the companies are shown as A to G for the confidentiality of their evaluation. Since bid price commonly acts as a key factor in selecting contractors, the proposed bid price for each contractor is also given. Table 5 shows these contractors and their bid prices.
First, by distributing the questionnaires among experts as described in the previous section and applying the mentioned method and Formulas (13)–(18), the weight of each criterion was calculated, as presented in Table 6.
In the next step, to rank the contractors, the language terms were used. Considering the experts’ opinions for each criterion and each contractor, a language term was assigned, as shown in Table 7.
The equivalent fuzzy value for each language term was identified to obtain the decision-making matrix. After normalizing the matrix of decision-making using Equations (8)–(10), the normal matrix was developed, as seen in Table 8. Then, the normal weighted matrix, which is the product of the criteria weight by the normal matrix, was obtained using Equations (11)–(13). The results are shown in Table 9.
After determining the normal weighted matrix, the positive and negative fuzzy ideal solutions were also obtained for each criterion using Equations (14) and (15). The results are shown in Table 10.
Then, by identifying FPIS and FNIS for the criteria, the distances from the mentioned boundaries were computed for each contractor using Equations (16) and (17). Afterwards, the summation of these distances was determined and also the closeness coefficient for each criterion was calculated using Equation (18). Table 11 shows the closeness coefficients for each contractor.
After assessing the contractors using these coefficients, it was necessary to examine how the evaluation’s outcome was affected by the weights assigned to each criterion. The following steps will outline a sensitivity analysis to address this aspect.
To determine the scores of contractors using the Fuzzy SAW method, the linguistic terms must be converted into fuzzy numbers and entered into the matrix, as shown in Table 7. Together with the criteria weights presented in Table 6, these values are processed using Equations (19)–(35). This calculation yields the final score for each contractor, represented as a fuzzy number. The graphical representations for the scores of the first two contractors are illustrated in Figure 7.
The evaluation of membership functions for different contractors was conducted using Chen’s approach. This required plotting all the contractors’ membership functions onto a single chart to assess the utilities on both the right and left sides. A comparative visualization is presented in Figure 8.
Eventually, using the right- and left-side utilities of each contractor, their final scores were calculated based on Chen’s method, as shown in Table 12.
Upon evaluating the bid scores relative to the proposed prices, it is observed that while companies A and D achieved the highest scores, their bid prices were not the lowest. Nevertheless, their quoted prices were reasonably close to the average price submitted by all bidding contractors.

5. Discussion

In this paper, we combined TOPSIS and SAW techniques with fuzzy set theory for an unbiased and fair evaluation of contractor prequalification. Fuzzy set theory was proposed by Zadeh in 1965 to treat fuzziness in data [45]. In crisp sets, the membership can be either zero or one. Fuzzy sets introduce the concept of partial membership. This means that elements can belong to a fuzzy set to varying degrees, rather than being simply in or out [46]. The membership function for a fuzzy set assigns to each element a value between 0 and 1, inclusive, reflecting the degree of membership of the element in the set [47]. This value, often referred to as the degree of truth or membership grade, allows for a more nuanced representation of concepts that cannot be easily categorized into binary terms, accommodating the inherent vagueness and ambiguity present in many real-world scenarios [48].
Applying Fuzzy TOPSIS for contractor prequalification was shown to be appropriate as it is a process where decision-makers assess various attributes that are not always quantifiable. For example, contractor experience and reputation may be evaluated using fuzzy numbers representing linguistic terms like ‘very experienced’ or ‘highly reputable’. By applying Fuzzy TOPSIS, these subjective assessments were systematically considered alongside quantifiable criteria such as bid amount and project completion time, leading to a more comprehensive evaluation.
Fuzzy Simple Additive Weighting (Fuzzy SAW) is also an extension of the traditional Simple Additive Weighting (SAW) method, which is a straightforward and widely used multi-criteria decision-making technique. The SAW method used in this paper operated on the premise that decision-makers can assign weights to various criteria that are significant for prequalifying contractors, and then each contractor was scored based on these criteria. The scores were then aggregated to determine the most suitable contractor. It is important to note that the traditional SAW method assumes that the decision-maker can precisely quantify the importance of criteria and the performance of alternatives, which does not apply to the criteria used in selecting contractors, which could be qualitative or linguistic.
When selecting contractors, the data available are often imprecise or vague. This is where the fuzzy set theory can be useful. The Fuzzy SAW method applied in this paper utilized the concepts of fuzzy set theory to handle uncertainty and imprecision, which are inherent in the selection process. Using this method enabled criteria weights and alternative scores for each contractor to be expressed in terms of fuzzy numbers rather than precise numerical values. This is especially useful in the prequalification process when subjective judgments, preferences, and estimations are involved, which are inherently fuzzy rather than precise.
Additionally, the application of the Fuzzy SAW method enables owners to express their evaluations in terms of linguistic variables, such as very high, high, moderate, low, and very low, which are then converted into fuzzy numbers. This helps in achieving a more accurate and agreeable prequalification process as it captures the nuances of expert opinions more effectively.
The Fuzzy SAW model’s application is not limited to construction projects. It has been successfully applied in various fields such as supplier selection, healthcare, education, and environmental management. For instance, in supplier selection, companies can use Fuzzy SAW to evaluate potential suppliers’ delivery times, quality, cost, and service based on fuzzy inputs, leading to a decision that better reflects the uncertainties involved in market conditions and supplier capabilities.
By verifying the capabilities of this method, its application can be suggested for similar decision-making processes. For instance, in healthcare, Fuzzy SAW could be utilized to make decisions about equipment purchases or service quality improvements, where patient satisfaction and treatment outcomes may not be precisely measurable. In education, institutions could apply Fuzzy SAW to evaluate and rank programs or departments, considering criteria such as student satisfaction, the employability of graduates, and research output, where direct measurement is often challenging.
The Fuzzy TOPSIS and Fuzzy SAW methods have demonstrated their usefulness across diverse applications by providing a structured yet flexible framework for handling complex decision-making problems that involve uncertainty and subjectivity. Their capacity to integrate fuzzy logic with a simple additive structure makes both methods valuable tools for decision-makers who seek to make informed and rational decisions in the face of imprecision and vagueness.
The models proposed, Fuzzy TOPSIS and Fuzzy SAW, are more accessible and user-friendly compared to other methods in the literature due to their simplicity, flexibility, and potential for software implementation. These models utilize descriptive criteria that are easily understood and applied, making them accessible to users without advanced technical knowledge. By incorporating fuzzy logic, they reduce subjectivity and bias, providing a more balanced and fair evaluation of contractors. A software application can be developed to facilitate these models, allowing users to input data and receive a ranked list of contractors with minimal effort, thereby enhancing practicality and ease of use. Additionally, the models offer sensitivity analysis to fine-tune the selection process, ensuring that critical factors are prioritized. Overall, Fuzzy TOPSIS and Fuzzy SAW provide a clear, automated, and user-friendly approach to contractor prequalification, making them valuable tools for decision-makers in the construction industry.

6. Sensitivity Analysis

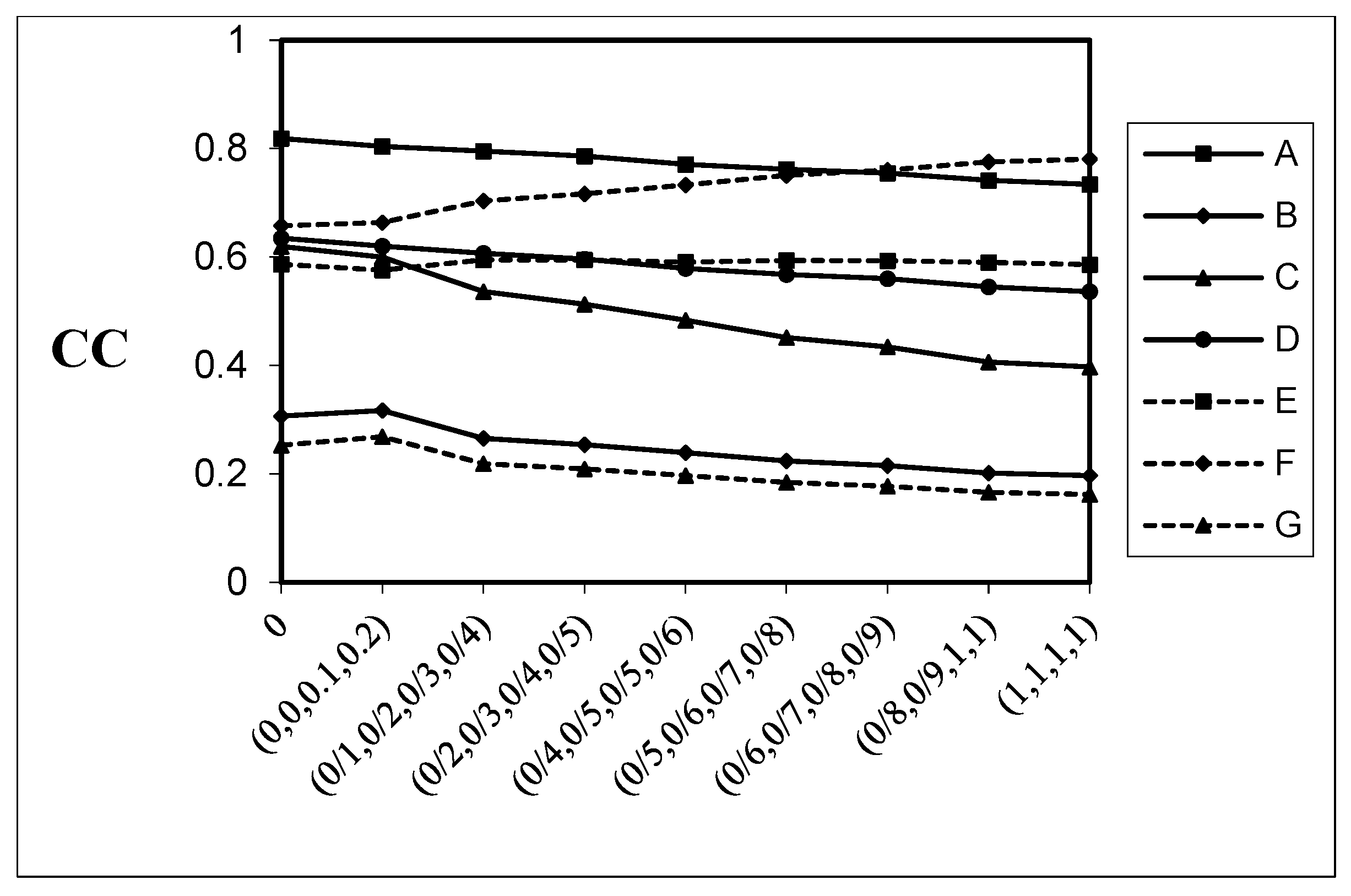
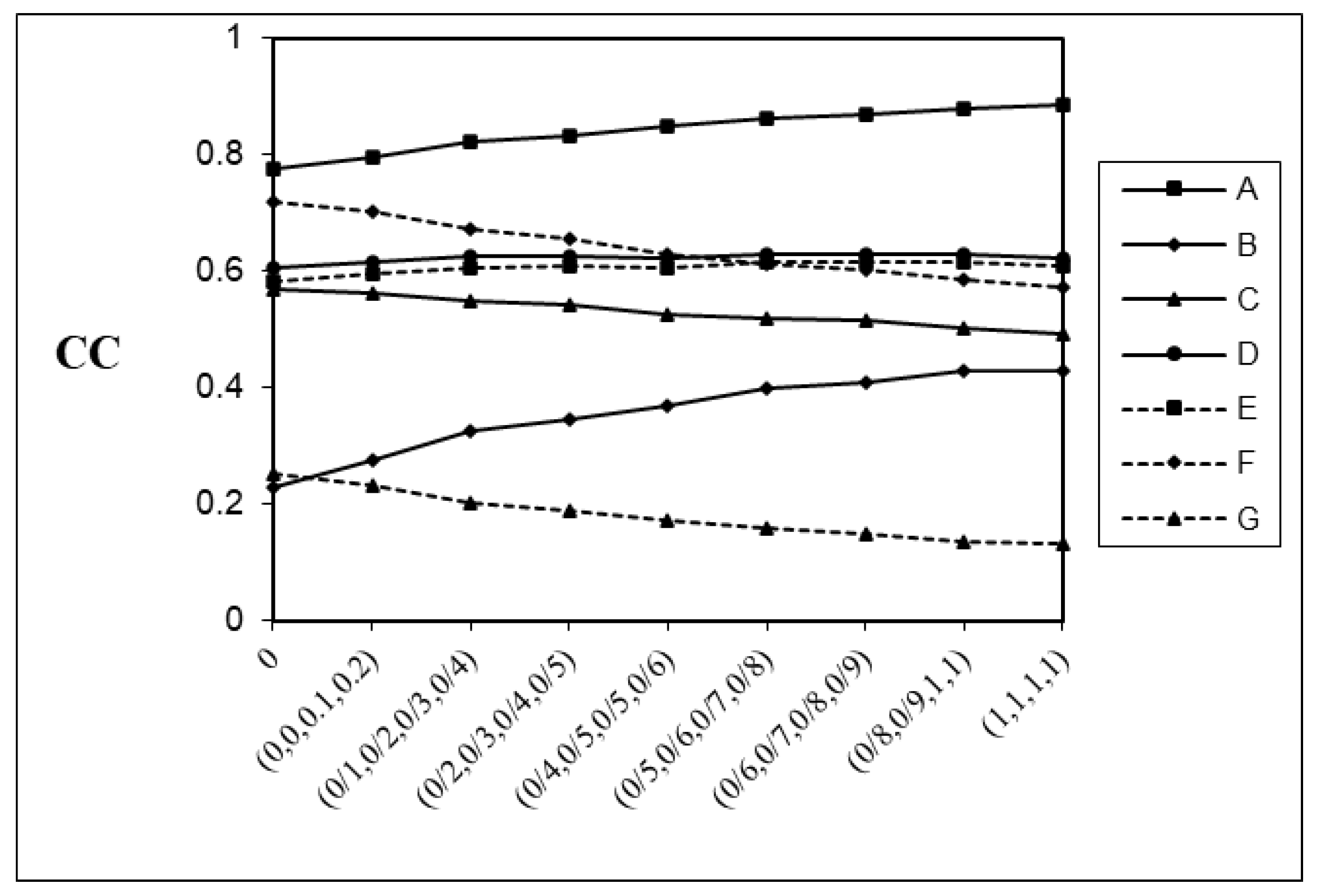
To evaluate the impact of each criterion’s weight on the contractor’s score, we varied the weight of a specific criterion from its lowest value (0,0,0,0) to its highest value (1,1,1,1), while keeping the weights of the other criteria constant. By adjusting the weights in nine increments for each criterion, we ran both models a total of 144 times. Figure 9, Figure 10, Figure 11 and Figure 12 illustrate the effects of changing the weights for “Experience” and “Financial Stability” in both models. From the sensitivity analysis results shown in these figures, we can draw the following conclusions: (1) The contractor rankings using the Fuzzy TOPSIS method are highly sensitive to the weights of the criteria. Thus, accurately determining the relative weight of each criterion is crucial for this method. (2) The sensitivity analysis of the Fuzzy SAW method indicates that the final scores of contractors are less sensitive to the weights of the criteria, especially for those with lower weights. Therefore, this method is particularly recommended when there is uncertainty about the weights of the criteria. (3) The score range in the Fuzzy TOPSIS method is nearly twice that of the Fuzzy SAW method. This suggests that when contractors’ conditions are similar or close to each other, the Fuzzy SAW method is less effective for ranking. In such cases, the Fuzzy SAW method is preferable.

7. Conclusions

The fuzzy methods of SAW and TOPSIS were applied to evaluate contractors based on multiple criteria and to select the most qualified contractor. Given the inherent complexities and uncertainties involved in evaluating contractors, traditional methods often fall short of adequately capturing the nuanced trade-offs between multiple, conflicting objectives. The application of fuzzy logic provides a strong framework for accommodating the varied and numerous criteria that influence decision-making in this context. By systematically analyzing the relative importance of common criteria used in contractor selection, our study demonstrates how fuzzy logic can offer a more nuanced, flexible, and ultimately effective approach to navigating the uncertainties of contractor prequalification. This method not only enhances the transparency and fairness of the selection process, but also ensures that the chosen contractors are well-suited to meet the specific needs and objectives of major projects and services. Therefore, the use of fuzzy logic in the contractor selection process represents promising improved outcomes and greater satisfaction for all stakeholders involved. This is because fuzzy logic addresses the inherent subjectivity and complexity of selecting a preferred contractor. The fuzzy TOPSIS and Fuzzy SAW methods applied in this study helped to reduce possible biases in the selection process, which is extremely important in public projects specifically. The results reveal the following conclusions:
  • The accuracy of contractor ranking using the Fuzzy TOPSIS method is heavily dependent on the precision with which criteria weights are identified and applied. This underscores the importance of a systematic, informed, and adaptive approach to weight determination, ensuring that the ranking process is both accurate and reflective of the project’s unique requirements and challenges.
  • The process of assigning weights to the criteria should be dynamic, allowing for adjustments as project conditions change or new information becomes available. This flexibility ensures that the contractor ranking remains aligned with the project’s evolving needs and priorities. Engaging key project stakeholders in the weight determination process can also enhance the validity and acceptance of the criteria weights, as it incorporates diverse perspectives and expertise into the decision-making process.
  • In the evaluation of contractors, it was observed that those achieving the highest scores in the prequalification process did not always present the lowest financial bids. This finding challenges the conventional assumption that price competitiveness is the primary indicator of a contractor’s suitability for a project. Instead, the analysis revealed that the prices proposed by the top-scoring contractors tended to align closely with the median price range derived from all bids received.
One significant limitation is the dependency on the accuracy of input data, as the effectiveness of the Fuzzy TOPSIS and Fuzzy SAW methods heavily relies on the quality and precision of the data provided. Additionally, there is potential for subjectivity in criteria weighting, which can influence the outcomes of the contractor selection process. To address these limitations, future research should explore more advanced fuzzy techniques that can mitigate subjectivity and improve data handling. Furthermore, applying our models to a wider variety of construction projects can validate their versatility and effectiveness in different contexts. Another important future direction is the development of a user-friendly software tool that automates the contractor selection process, making it more accessible and practical for industry professionals. This tool would allow users to input data easily and obtain ranked lists of contractors, thereby streamlining the decision-making process and reducing potential biases.

Author Contributions

Conceptualization, M.T. and A.H.; Methodology, M.T. and A.H.; Software, A.H.; Validation, K.S. and K.K.; Investigation, M.T., K.S. and K.K.; Resources, K.S. and K.K.; Data curation, K.S. and K.K.; Writing—original draft, M.T., A.H., K.S. and K.K.; Writing—review & editing, K.S. and K.K.; Visualization, M.T.; Supervision, K.S. and K.K.; Project administration, M.T. All authors have read and agreed to the published version of the manuscript.

Funding

This research received no external funding.

Data Availability Statement

Data is contained within the article.

Conflicts of Interest

The authors declare no conflict of interest.

References

  1. Alzahrani, J.I.; Emsley, M.W. The impact of contractors’ attributes on construction project success: A post construction evaluation. Int. J. Proj. Manag. 2013, 31, 313–322. [Google Scholar] [CrossRef]
  2. Bryde, D.J.; Robinson, L. Client versus contractor perspectives on project success criteria. Int. J. Proj. Manag. 2005, 23, 622–629. [Google Scholar] [CrossRef]
  3. El-Sayegh, S.M.; Basamji, M.; Haj Ahmad, A.; Zarif, N. Key contractor selection criteria for green construction projects in the UAE. Int. J. Constr. Manag. 2019, 21, 1240–1250. [Google Scholar] [CrossRef]
  4. Acheamfour, V.K.; Kissi, E.; Adjei-Kumi, T. Ascertaining the impact of contractors pre-qualification criteria on project success criteria. Eng. Constr. Archit. Manag. 2019, 26, 618–632. [Google Scholar] [CrossRef]
  5. Liang, R.; Sheng, Z.; Wang, X. Methods dealing with complexity in selecting joint venture contractors for large-scale infrastructure projects. Complexity 2018, 2018, 8705134. [Google Scholar] [CrossRef]
  6. Huang, W.H.; Tserng, H.P.; Liao, H.H.; Yin, S.Y.; Chen, P.C.; Lei, M.C. Contractor financial prequalification using simulation method based on cash flow model. Autom. Constr. 2013, 35, 254–262. [Google Scholar] [CrossRef]
  7. Decarolis, F. Awarding price, contract performance, and bids screening: Evidence from procurement auctions. Am. Econ. J. Appl. Econ. 2014, 6, 108–132. [Google Scholar] [CrossRef]
  8. Morkūnaitė, Ž.; Podvezko, V.; Kutut, V. Selection Criteria for Evaluating Contractors of Cultural Heritage Objects. Procedia Eng. 2017, 208, 90–97. [Google Scholar] [CrossRef]
  9. Awwad, R.; Ammoury, M. Owner’s perspective on evolution of bid prices under various price-driven bid selection methods. J. Comput. Civ. Eng. 2019, 33, 04018061. [Google Scholar] [CrossRef]
  10. Bergman, M.A.; Lundberg, S. Tender evaluation and supplier selection methods in public procurement. J. Purch. Supply Manag. 2013, 19, 73–83. [Google Scholar] [CrossRef]
  11. Arslan, G.; Kivrak, S.; Birgonul, M.T.; Dikmen, I. Improving sub-contractor selection process in construction projects: Web-based sub-contractor evaluation system (WEBSES). Autom. Constr. 2008, 17, 480–488. [Google Scholar] [CrossRef]
  12. Gransberg, D.D.; Shane, J.S. Defining best value for construction manager/general contractor projects: The CMGC learning curve. J. Manag. Eng. 2015, 31, 04014060. [Google Scholar] [CrossRef]
  13. Zavadskas, E.K.; Turskis, Z.; Tamošaitienė, J. Contractor selection of construction in a competitive environment. J. Bus. Econ. Manag. 2008, 9, 181–187. [Google Scholar] [CrossRef]
  14. Safa, M.; Yee, M.H.; Rayside, D.; Haas, C.T. Optimizing contractor selection for construction packages in capital projects. J. Comput. Civ. Eng. 2016, 30, 04016002. [Google Scholar] [CrossRef]
  15. Darvish, M.; Yasaei, M.; Saeedi, A. Application of the graph theory and matrix methods to contractor ranking. Int. J. Proj. Manag. 2009, 27, 610–619. [Google Scholar] [CrossRef]
  16. Tafazzoli, M.; Dang, H.; Shrestha, K. Investigating the Challenges of Maximizing Construction Automation Sustainability. Proc. 59th Annu. Assoc. Sch. 2023, 4, 479–487. [Google Scholar]
  17. Tafazzoli, M. Dynamic Risk Analysis of Construction Delays Using Fuzzy-Failure Mode Effects Analysis. Doctoral Dissertation, University of Nevada, Las Vegas, NV, USA, 2017. [Google Scholar]
  18. Tafazzoli, M.; Namian, M.; Al-Bayati, A. Workers’ Fatigue in Construction Projects, Assessment, Detection, and Mitigation, A Review. Proc. 59th Annu. Assoc. Sch. 2023, 4, 488–496. [Google Scholar]
  19. Taherpour, F.; Namian, M.; Garay, D.; Tafazzoli, M. Prevalence of Fatigue Among Construction Workers in The United States. Proc. 59th Annu. Assoc. Sch. 2023, 4, 834–841. [Google Scholar]
  20. Araújo, M.C.B.; Alencar, L.H.; Mota, C.M. Decision Criteria for Contractor Selection in Construction Industry: A Literature Review. In Proceedings of the 2018 IEEE International Conference on Industrial Engineering and Engineering Management (IEEM), Bangkok, Thailand, 16–19 December 2018; pp. 637–640. [Google Scholar]
  21. Zhang, X. Criteria for selecting the private-sector partner in public–private partnerships. J. Constr. Eng. Manag. 2005, 131, 631–644. [Google Scholar] [CrossRef]
  22. Al-Harbi, K.M.A.S. Application of the AHP in project management. Int. J. Proj. Manag. 2001, 19, 19–27. [Google Scholar] [CrossRef]
  23. Luu, D.T.; Kim, S.Y.; Huynh, T.A. Improving project management performance of large contractors using benchmarking approach. Int. J. Proj. Manag. 2008, 26, 758–769. [Google Scholar] [CrossRef]
  24. Kumaraswamy, M.M.; Matthews, J.D. Improved subcontractor selection employing partnering principles. J. Manag. Eng. 2000, 16, 47–57. [Google Scholar] [CrossRef]
  25. Hosseini Nasab, H.; Mirghani Ghamsarian, M. A fuzzy multiple-criteria decision-making model for contractor prequalification. J. Decis. Syst. 2015, 24, 433–448. [Google Scholar] [CrossRef]
  26. Plebankiewicz, E. Construction contractor prequalification from Polish clients’ perspective. J. Civ. Eng. Manag. 2010, 16, 57–64. [Google Scholar] [CrossRef]
  27. Singh, D.; Tiong, R.L. Contractor selection criteria: Investigation of opinions of Singapore construction practitioners. J. Constr. Eng. Manag. 2006, 132, 998–1008. [Google Scholar] [CrossRef]
  28. Cheng, E.W.L.; Li, H. Contractor selection using the analytic network process. Constr. Manag. Econ. 2004, 22, 1021–1032. [Google Scholar] [CrossRef]
  29. Fong, S.P.; Choi, S.K. Final contractor selection using the analytic hierarchy process. Constr. Manag. Econ. 2000, 18, 547–557. [Google Scholar] [CrossRef]
  30. Banaitis, A.; Banaitienė, N. Analysis of criteria for contractors‘ qualification evaluation. Technol. Econ. Dev. Econ. 2006, 12, 276–282. [Google Scholar] [CrossRef]
  31. Juan, Y.K.; Perng, Y.H.; Castro-Lacouture, D.; Lu, K.S. Housing refurbishment contractors selection based on a hybrid fuzzy-QFD approach. Autom. Constr. 2009, 18, 139–144. [Google Scholar] [CrossRef]
  32. Doloi, H. Analysis of pre-qualification criteria in contractor selection and their impacts on project success. Constr. Manag. Econ. 2009, 27, 1245–1263. [Google Scholar] [CrossRef]
  33. Russell, J.S.; Skibniewski, M.J. QUALIFIER-1: Contractor prequalification model. J. Comput. Civ. Eng. 1990, 4, 77–90. [Google Scholar] [CrossRef]
  34. Russell, J.S.; Skibniewski, M.J.; Cozier, D.R. Qualifier-2: Knowledge-based system for contractor prequalification. J. Constr. Eng. Manag. 1990, 116, 157–171. [Google Scholar] [CrossRef]
  35. Afshar, M.R.; Alipouri, Y.; Sebt, M.H.; Chan, W.T. A type-2 fuzzy set model for contractor prequalification. Autom. Constr. 2017, 84, 356–366. [Google Scholar] [CrossRef]
  36. Plebankiewicz, E. A fuzzy sets based contractor prequalification procedure. Autom. Constr. 2012, 22, 433–443. [Google Scholar] [CrossRef]
  37. Nieto-Morote, A.; Ruz-Vila, F. A fuzzy multi-criteria decision-making model for construction contractor prequalification. Autom. Constr. 2012, 25, 8–19. [Google Scholar] [CrossRef]
  38. Lam, K.C.; Yu, C.Y. A multiple kernel learning-based decision support model for contractor pre-qualification. Autom. Constr. 2011, 20(5), 531–536. [Google Scholar] [CrossRef]
  39. Lam, K.C.; Palaneeswaran, E.; Yu, C.Y. A support vector machine model for contractor prequalification. Autom. Constr. 2009, 18, 321–329. [Google Scholar] [CrossRef]
  40. Safa, M.; Shahi, A.; Haas, C.T.; Fiander-McCann, D.; Safa, M.; Hipel, K.; MacGillivray, S. Competitive intelligence (CI) for evaluation of construction contractors. Autom. Constr. 2015, 59, 149–157. [Google Scholar] [CrossRef]
  41. Awad, A.; Fayek, A.R. A decision support system for contractor prequalification for surety bonding. Autom. Constr. 2012, 21, 89–98. [Google Scholar] [CrossRef]
  42. Jaskowski, P.; Biruk, S.; Bucon, R. Assessing contractor selection criteria weights with fuzzy AHP method application in group decision environment. Autom. Constr. 2010, 19(2), 120–126. [Google Scholar] [CrossRef]
  43. Buckley, J.J. Fuzzy hierarchical analysis. Fuzzy Sets Syst. 1985, 17, 233–247. [Google Scholar] [CrossRef]
  44. Chen, C.T.; Lin, C.T.; Huang, S.F. A fuzzy approach for supplier evaluation and selection in supply chain management. Int. J. Prod. Econ. 2006, 102, 289–301. [Google Scholar] [CrossRef]
  45. Zadeh, L.A. Fuzzy sets. Inf. Control. 1965, 8, 338–353. [Google Scholar] [CrossRef]
  46. Singpurwalla, N.D.; Booker, J.M. Membership functions and probability measures of fuzzy sets. J. Am. Stat. Assoc. 2004, 99, 867–877. [Google Scholar] [CrossRef]
  47. Deng, J.; Deng, Y. Information volume of fuzzy membership function. Int. J. Comput. Commun. Control. 2021, 16. [Google Scholar] [CrossRef]
  48. Bai, Y.; Wang, D. Fundamentals of fuzzy logic control—Fuzzy sets, fuzzy rules, and defuzzifications. In Advanced Fuzzy Logic Technologies in Industrial Applications; Springer: Berlin/Heidelberg, Germany, 2006; pp. 17–36. [Google Scholar]
Figure 1. The selection process in the best-value method.
Figure 1. The selection process in the best-value method.
Buildings 14 01861 g001
Figure 2. Major criteria for contractor prequalification selection.
Figure 2. Major criteria for contractor prequalification selection.
Buildings 14 01861 g002
Figure 3. Stepwise stages of the Fuzzy TOPSIS model.
Figure 3. Stepwise stages of the Fuzzy TOPSIS model.
Buildings 14 01861 g003
Figure 4. Fuzzy numbers for comparing the criteria.
Figure 4. Fuzzy numbers for comparing the criteria.
Buildings 14 01861 g004
Figure 5. Fuzzy numbers for each criterion.
Figure 5. Fuzzy numbers for each criterion.
Buildings 14 01861 g005
Figure 6. Stepwise stages of the Fuzzy SAW model.
Figure 6. Stepwise stages of the Fuzzy SAW model.
Buildings 14 01861 g006
Figure 7. Evaluating membership functions of contractors A and B.
Figure 7. Evaluating membership functions of contractors A and B.
Buildings 14 01861 g007
Figure 8. Right- and left-side utilities for different contractors.
Figure 8. Right- and left-side utilities for different contractors.
Buildings 14 01861 g008
Figure 9. Fuzzy SAW sensitivity analysis—experience criterion.
Figure 9. Fuzzy SAW sensitivity analysis—experience criterion.
Buildings 14 01861 g009
Figure 10. Fuzzy TOPSIS sensitivity analysis—experience criterion.
Figure 10. Fuzzy TOPSIS sensitivity analysis—experience criterion.
Buildings 14 01861 g010
Figure 11. Fuzzy SAW sensitivity analysis—financial stability criterion.
Figure 11. Fuzzy SAW sensitivity analysis—financial stability criterion.
Buildings 14 01861 g011
Figure 12. Fuzzy TOPSIS sensitivity analysis—financial stability criterion.
Figure 12. Fuzzy TOPSIS sensitivity analysis—financial stability criterion.
Buildings 14 01861 g012
Table 1. Pros and cons of the lowest-bid contractor selection method.
Table 1. Pros and cons of the lowest-bid contractor selection method.
ProsCons
A quicker selection process that saves time and enables the owner to start the project faster, which can potentially lead to making more profit.Not addressing experience, knowledge, expertise, resources owned by the contractor, or other criteria and the consequential issues during the construction process can defeat the purpose of saving budget for the owner.
Less complexity in evaluating bidders using numbers in a method that is easy to use and understand by owners and construction professionals.Possibility of low-quality, over-budget, and delayed project delivery, as well as compromised safety measures due to overlooking criteria that impact the performance of the selected contractor.
Fewer issues for justifying the selection in terms of being fair to all bidders by removing the possibility of making biased judgments by including qualitative criteria in the selection process.Requires detailed estimating by the bidders and can be time-consuming in projects that have to be immediately built (for instance, repairing a damaged highway bridge).
Table 2. Number of citations for each contractor selection criteria based on project type.
Table 2. Number of citations for each contractor selection criteria based on project type.
Project TypeChannelBridgeGreen ConstructionRefurbishmentHydroelectricHighwayBuildingGeneralTotal
Criteria
Financial capability43389112551114
Performance quality161371152892
Staff features15-722135686
Experience121613114570
Time-52333132453
Company management22233-102345
Health and safety/environment231421102245
Relationship with stakeholders---4--53140
Bid process------72936
Technical capabilities112-1231727
Site capacity/facilities---32-10823
Supplier performance1-12-141019
Flexibility and responsiveness--1-4-5111
Market---51-2210
Reputation/image-1-2--2510
Location------279
Transport delivery and storage------538
Maintenance----1-337
Procurement process-1--1--35
Resources-11---2-4
Table 3. The selected criteria for evaluating contractors and their corresponding scores.
Table 3. The selected criteria for evaluating contractors and their corresponding scores.
Criteria IndexDescriptionAverage Significance
C1Experience4.55
C2Financial Stability4.73
C3Company Reputation4.78
C4Quality and Safety4.53
C5Current Projects4.13
C6Resources4.66
C7Company Management4.12
C8Company Technology4.51
Table 4. An example of the pairwise comparison of the criteria to determine the weights.
Table 4. An example of the pairwise comparison of the criteria to determine the weights.
CriterionEqual ImportancePoor PriorityAverage PriorityStrong PriorityAbsolute Priority
Experience
Financial Stability
Table 5. Different contractors’ bids.
Table 5. Different contractors’ bids.
No.ContractorProposed Price (Million IRR)Difference with Ave. (%)
1A85,2007.46
2B90,20013.77
3C78,460−1.04
4D76,870−3.05
5E69,940−11.79
6F71,800−9.44
7G82,5304.09
Average Proposed Price79,286
Table 6. Weights of each criterion.
Table 6. Weights of each criterion.
Prequalification CriteriaFuzzy Weights of Criteria
C1(0.28, 0.19, 0.19, 0.12)
C2(0.16, 0.12, 0.07)
C3(0.14, 0.08, 0.22, 0.14)
C4(0.07, 0.1, 0.16, 0.1)
C5(0.20, 0.12, 0.07, 0.12)
C6(0.22, 0.13, 0.08, 0.13)
C7(0.22, 0.14, 0.1, 0.14)
C8(0.12, 0.08, 0.05, 0.08)
Table 7. Assigned language terms.
Table 7. Assigned language terms.
CriteriaC1C2C3C4C5C6C7C8
AGAVGVGLGGAA
BABABAGAVPBAP
CAPGBAHAAGA
DAABAGGAAGA
EGBABAVGAAAAAA
FVGPVPGVHBAGVG
GAVPPGVLBAGVP
Table 8. Normalized matrix.
Table 8. Normalized matrix.
C1C2C3C4C5C6C7C8
A0.60.70.80.80.20.70.70.5
0.70.80.90.90.30.80.80.6
0.80.8110.40.90.90.7
0.91110.410.10.8
B0.40.30.20.60.300.20.1
0.50.50.30.70.400.30.2
0.50.70.4 0.80.60.10.40.3
0.60.80.50.90.70.20.60.4
C0.40.30.6 0.20.5 0.60.70.4
0.50.50.7 0.30.7 0.70.80.5
0.50.70.8 0.40.8 0.80.90.5
0.60.80.90.50.80.910.6
D0.50.30.6 0.60.30.40.70.4
0.60.50.7 0.7 0.40.60.80.5
0.70.70.8 0.8 0.60.60.90.5
0.80.80.90.90.70.710.6
E0.60.60.6 0.60.50.4 0.60.4
0.70.70.7 0.70.70.6 0.70.5
0.80.80.8 0.8 0.80.6 0.80.5
0.90.90.90.90.80.70.90.6
F0.80.200.610.20.70.8
0.90.30 0.710.3 0.8 0.9
10.50.1 0.810.40.9 1
10.70.20.910.611
G0.400.1 0.6 0.1 0.2 0.7 0
0.500.20.7 0.2 0.3 0.8 0
0.50.20.30.8 0.3 0.4 0.9 0.1
0.60.30.40.90.40.610.2
Table 9. Weighted normalized matrix.
Table 9. Weighted normalized matrix.
C1C2C3C4C5C6C7C8
A0.07 0.050.06 0.06 0.01 0.05 0.07 0.03
0.13 0.10.13 0.090.03 0.10.11 0.05
0.15 0.10.14 0.10.05 0.12 0.12 0.06
0.250.160.220.160.090.220.220.4
B0.050.020.02 0.040.0200.02 0.01
0.10.060.04 0.07 0.05 00.05 0.02
0.10.080.06 0.080.07 0.01 0.060.02
0.170.130.110.140.130.05 0.120.2
C0.050.010.050.010.040.040.070.02
0.10.04 0.1 0.03 0.08 0.09 0.11 0.04
0.10.060.11 0.040.09 0.1 0.12 0.04
0.170.110.20.080.16 0.20.220.4
D0.060.020.05 0.040.02 0.04 0.070.0
0.110.060.1 0.070.08 0.07 0.110.04
0.13 0.080.110.080.07 0.070.120.04
0.220.13 0.20.140.13 0.15 0.220.4
E0.070.020.02 0.060.04 0.04 0.06 0.02
0.13 0.060.04 0.090.08 0.07 0.09 0.04
0.15 0.080.060.10.09 0.07 0.11 0.04
0.250.130.110.160.160.150.20.4
F0.1 0.0100.040.070.02 0.07 0.03
0.170.040 0.07 0.120.04 0.11 0.05
0.19 0.060.010.08 0.12 0.06 0.12 0.06
0.280.11 0.04 0.140.20.120.220.4
G0.0500.010.040.010.020.07 0
0.10 0.03 0.07 0.03 0.040.11 0
0.10.020.04 0.08 0.04 0.060.12 0.01
0.170.050.09 0.14 0.08 0.120.220.1
Table 10. Positive and negative solutions for the criteria.
Table 10. Positive and negative solutions for the criteria.
C1C2C3C4
FPIS(0.19, 0.28, 0.1, 0.17)(0.1, 0.1, 0.16, 0.05)(0.06, 0.22, 0.13, 0.14)(0.1, 0.16, 0.06, 0.09)
FNIS(0.1, 0.1, 0.05, 0.17)(0.05, 0, 0, 0.02)(0, 0.01, 0, 0.04)(0.04, 0.08, 0.01, 0.03)
Fuzzy positive and negative ideal solutions for each criterion
C5C6C7C8
FPIS(0.1, 0.16, 0.05, 0.1)(0.12, 0.22)(0.22, 0.07, 0.11, 0.12)(0.06, 0.4, 0.03, 0.05)
FNIS(0.12, 0.2, 0.07, 0.12)(0, 0, 0.01, 0.05)(0.12, 0.02, 0.05, 0.06)(0.1, 0, 0, 0.01)
Table 11. Closeness coefficients (CC) for contractors.
Table 11. Closeness coefficients (CC) for contractors.
CONTRACTORABCDEFG
CC0.790.2750.550.610.590.690.22
Table 12. The final score of the contractors participating in the tender.
Table 12. The final score of the contractors participating in the tender.
CONTRACTORABCDEFG
Final Score0.5120.2620.3620.4140.3800.3500.324
Disclaimer/Publisher’s Note: The statements, opinions and data contained in all publications are solely those of the individual author(s) and contributor(s) and not of MDPI and/or the editor(s). MDPI and/or the editor(s) disclaim responsibility for any injury to people or property resulting from any ideas, methods, instructions or products referred to in the content.

Share and Cite

MDPI and ACS Style

Tafazzoli, M.; Hazrati, A.; Shrestha, K.; Kisi, K. Enhancing Contractor Selection through Fuzzy TOPSIS and Fuzzy SAW Techniques. Buildings 2024, 14, 1861. https://doi.org/10.3390/buildings14061861

AMA Style

Tafazzoli M, Hazrati A, Shrestha K, Kisi K. Enhancing Contractor Selection through Fuzzy TOPSIS and Fuzzy SAW Techniques. Buildings. 2024; 14(6):1861. https://doi.org/10.3390/buildings14061861

Chicago/Turabian Style

Tafazzoli, Mohammadsoroush, Ayoub Hazrati, Kishor Shrestha, and Krishna Kisi. 2024. "Enhancing Contractor Selection through Fuzzy TOPSIS and Fuzzy SAW Techniques" Buildings 14, no. 6: 1861. https://doi.org/10.3390/buildings14061861

APA Style

Tafazzoli, M., Hazrati, A., Shrestha, K., & Kisi, K. (2024). Enhancing Contractor Selection through Fuzzy TOPSIS and Fuzzy SAW Techniques. Buildings, 14(6), 1861. https://doi.org/10.3390/buildings14061861

Note that from the first issue of 2016, this journal uses article numbers instead of page numbers. See further details here.

Article Metrics

Back to TopTop