Cyclic Behavior of Partially Prefabricated Steel Shape-Reinforced Concrete Composite Shear Walls: Experiments and Finite Element Analysis
Abstract
1. Introduction
2. Experimental Program
2.1. Test Specimens
2.2. Materials
2.3. Test Device and Loading Protocol
3. Results and Discussions
3.1. Failure Patterns
3.2. Hysteretic Loops
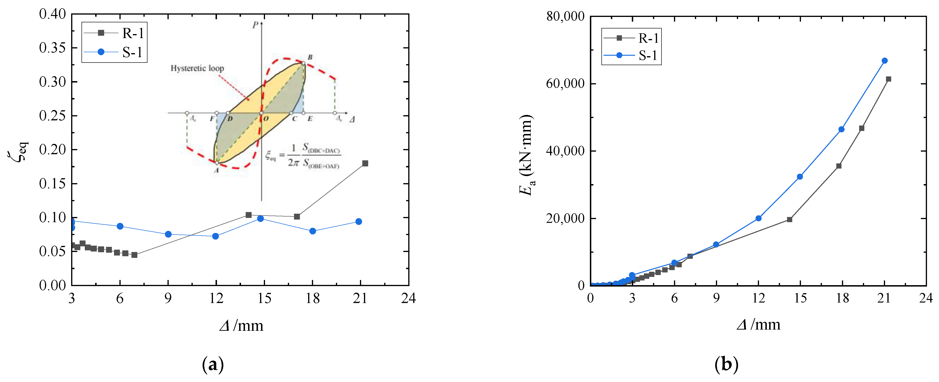
3.3. Stiffness Degradation and Energy Dissipation
3.4. Deformation Components
4. FE Analysis
4.1. Model Details
4.2. Model Validation and Parametric Study
5. Conclusions
- (1)
- All the specimens failed in typical flexure–shear failure characterized by the concrete spalling at the wall toes and the diagonal crack patterns on the wall panel. After the test, the PPSRC specimen was broken to explore the inner damage, and the steel shape in boundary elements was kept intact without any local buckling, indicating that the throat connector with the inner grout could effectively confine the steel profile.
- (2)
- The hysteretic loops of all the specimens show spindle shapes without pinching, indicating that the steel shape, prefabricated, and cast-in-place concrete could behave in compatibility without slippage. In general, the initial stiffness, cracking load, yielding load, and peak load of all the specimens were similar, indicating that the PPSRC specimen could exhibit comparative cyclic behavior with the cast-in-place specimen.
- (3)
- The values of the drifts at cracking, yielding, and maximum strength points of the PPSRC specimen were 1.4 mrad, 5.0 mrad, and 8.3 mrad, respectively. It is worth noting that the drift at the peak strength point could meet the Chinese code requirements for areas with rare earthquakes. Therefore, the PPSRC shear walls could achieve a performance equivalent to a cast-in-place wall and exhibit good deformation capability.
- (4)
- The established FE model based on multi-layer shell elements could effectively reflect the cyclic responses of SRC and PPSRC shear walls. The parametric study shows that the higher axial compression, steel ratio, rebar ratio, and concrete strength led to higher initial stiffness and maximum strength; however, the higher axial compression and the brittle characteristic of high-strength concrete also led to sharp load degradation during the post-peak load stage.
- (5)
- This paper explored the cyclic behavior of proposed PPSRC shear walls using experimental and numerical research; however, the lack of a design method limits the real-world application of PPSRC shear walls. In the future, the strength predictions and case studies should be conducted to strengthen the practical relevance of the research.
Author Contributions
Funding
Data Availability Statement
Conflicts of Interest
References
- Massone, L.M.; Sayre, B.L.; Wallace, J.W. Load-Deformation Responses of Slender Structural Steel Reinforced Concrete Walls. Eng. Struct. 2017, 140, 77–88. [Google Scholar] [CrossRef]
- Jafari, A.; Beheshti, M.; Shahmansouri, A.A.; Bengar, H.A. Cyclic Response and Damage Status of Coupled and Hybrid-Coupled Shear Walls. Structures 2024, 61, 106010. [Google Scholar] [CrossRef]
- Zhang, L.; Han, X.; Chen, X.; Ji, J. Experimental Study on the Seismic Behavior of Squat SRC Shear Walls with High Axial Load Ratio. Buildings 2022, 12, 1238. [Google Scholar] [CrossRef]
- Wang, W.; Song, J.; Hou, M.; Liu, G.; Wang, W. Experimental Study and Numerical Simulation of Replaceable Corrugated Steel Plate-Concrete Composite Shear Walls. Soil. Dyn. Earthq. Eng. 2019, 127, 105827. [Google Scholar] [CrossRef]
- Kisa, M.H.; Yuksel, S.B.; Caglar, N. Experimental Study on Hysteric Behavior of Composite Shear Walls with Steel Sheets. J. Build. Eng. 2021, 33, 101570. [Google Scholar] [CrossRef]
- Benam, M.B.; Azar, B.F.; Veladi, H. Experimental and Numerical Analyses of Seismic Behavior of Concrete Shear Wall with Opening Accompanied by Steel Frame and Eccentric Encased Steel Braces. Eng. Struct. 2022, 256, 113989. [Google Scholar] [CrossRef]
- Zhang, J.; Li, X.; Cao, W.; Yu, C. Seismic Behavior of Composite Shear Walls Incorporating High-Strength Materials and CFST Boundary Elements. Eng. Struct. 2020, 220, 110994. [Google Scholar] [CrossRef]
- Ke, X.; Li, N.; Tang, Z. Seismic Behavior of Steel Plate Concrete Composite Shear Walls with PEC Columns and WRGs. Eng. Struct. 2023, 277, 115412. [Google Scholar] [CrossRef]
- Zhou, J.; Fang, X.; Jiang, Y. Cyclic Behavior of Concrete-Encased High-Strength Concrete-Filled Steel Tube Composite Walls: An Experiment. Struct. Concr. 2021, 22, 691–708. [Google Scholar] [CrossRef]
- Chen, Z.; Xu, J.; Chen, Y.; Su, Y. Seismic Behavior of T-Shaped Steel Reinforced High Strength Concrete Short-Limb Shear Walls under Low Cyclic Reversed Loading. Struct. Eng. Mech. 2016, 57, 681–701. [Google Scholar] [CrossRef]
- Yang, Y.; Xue, Y.; Yu, Y.; Gao, F. Experimental Study on Seismic Performance of Partially Precast Steel Reinforced Concrete Columns. Eng. Struct. 2018, 175, 63–75. [Google Scholar] [CrossRef]
- Xue, Y.; Yang, Y.; Yu, Y. Cyclic Behavior of Partially Precast Steel Reinforced Concrete Short Columns: Experiment and Theoretical Analysis. Eng. Struct. 2019, 199, 109658. [Google Scholar] [CrossRef]
- Xue, Y.; Chen, Y.; Shang, C.; Yang, Y.; Yu, Y. Maximum Shear Strength of Concrete-Encased Steel Composite Beams: A novel Strength Model and FE. Verification. Eng. Struct. 2023, 291, 116490. [Google Scholar] [CrossRef]
- Liao, F.Y.; Han, L.H.; Tao, Z. Performance of Reinforced Concrete Shear Walls with Steel Reinforced Concrete Boundary Columns. Eng. Struct. 2012, 44, 186–209. [Google Scholar] [CrossRef]
- Ma, K.Z.; Ma, Y.D.; Liang, X.W. Seismic Behavior of Steel Reinforced High-Strength Concrete Composite Walls. J. Earthq. Eng. 2020, 24, 1290–1310. [Google Scholar] [CrossRef]
- Ji, X.; Leong, T.; Qian, J.; Qi, W.; Wang, W. Cyclic Shear Behavior of Composite Walls with Encased Steel Braces. Eng. Struct. 2016, 127, 117–128. [Google Scholar] [CrossRef]
- Ke, X.; Qin, Y.; Chen, S.; Li, N. Seismic Performance and Shear Lag Effect of T-shaped Steel Plate Reinforced Concrete Composite Shear Wall. Eng. Struct. 2023, 289, 116303. [Google Scholar] [CrossRef]
- Xu, G.; Wang, Z.; Wu, B.; Bursi, O.S.; Tan, X.; Yang, Q.; Wen, L. Seismic Performance of Precast Shear Wall with Sleeves Connection based on Experimental and Numerical Studies. Eng. Struct. 2017, 150, 346–358. [Google Scholar] [CrossRef]
- Smith, B.J.; Kurama, Y.C.; McGinnis, M.J. Behavior of Precast Concrete Shear Walls for Seismic Regions: Comparison of Hybrid and Emulative Specimens. J. Struct. Eng. 2013, 139, 1917–1927. [Google Scholar] [CrossRef]
- Li, W.; Gao, H.; Xiang, R.; Du, Y. Experimental Study of Seismic Performance of Precast Shear Wall with A New Bolt-Plate Connection Joint. Structures 2021, 34, 3818–3833. [Google Scholar] [CrossRef]
- Kurama, Y.C.; Sritharan, S.; Fleischman, R.B.; Restrepo, J.; Henry, R.S.; Cleland, N.M.; Ghosh, S.K.; Bonelli, P. Seismic-resistant precast concrete structures: State of the art. J. Struct. Eng. 2018, 144, 03118001. [Google Scholar] [CrossRef]
- Zhou, J.; Li, P.; Guo, N. Seismic Performance Assessment of A Precast Concrete-Encased CFST Composite Wall with Twin Steel Tube Connections. Eng. Struct. 2020, 207, 110240. [Google Scholar] [CrossRef]
- Wu, L.; Tian, Y.; Su, Y.; Chen, H. Seismic Performance of Precast Composite Shear Walls Reinforced by Concrete-Filled Steel Tubes. Eng. Struct. 2018, 162, 72–83. [Google Scholar] [CrossRef]
- Fu, Y.; Fan, G.; Tao, L.; Yang, Y.; Wang, J. Seismic Behavior of Prefabricated Steel Reinforced Concrete Shear Walls with New Type Connection Mode. Structures 2022, 37, 483–503. [Google Scholar] [CrossRef]
- Guan, D.; Li, S.; Yang, S.; Liu, J.; Guo, Z.; Wang, Y. Seismic Performance Study on A Precast Double-Skin Composite Wall with Circular CFSTs. J. Constr. Steel Res. 2023, 200, 107677. [Google Scholar] [CrossRef]
- JGJ 138-2016; Code for Design of Composite Structures. China Architecture & Building Press: Beijing, China, 2016.
- JGJ/T 101-2015; Specification for Seismic Test of Buildings. China Architecture & Building Press: Beijing, China, 2015.
- Feng, P.; Qiang, H.; Ye, L. Discussion and Definition on Yield Points of Materials, Members and Structures. Eng. Mech. 2017, 34, 36–46. [Google Scholar]
- ASCE/SEI 41-17; Seismic Evaluation and Retrofit of Existing Buildings. American Society of Civil Engineers: Reston, VA, USA, 2017.
- GB 50011-2010; Code for Seismic Design of Buildings. China Architecture & Building Press: Beijing, China, 2010.
- Faraone, G.; Hutchinson, T.C.; Piccinin, R.; Silva, J.F. Seismic Performance of Varying Aspect Ratio Full-Scale Concrete Walls. ACI Struct. J. 2022, 119, 19–34. [Google Scholar]
- Lu, X.; Xie, L.; Guan, H.; Huang, Y.; Lu, X. A Shear Wall Element for Nonlinear Seismic Analysis of Super-Tall Buildings using OpenSees. Finite Elem. Anal. Des. 2015, 98, 14–25. [Google Scholar] [CrossRef]
- Yang, Y.; Xue, Y.; Yu, Y.; Shao, Y.; Ma, N.; Guo, Y.; Yang, Y. Experimental Research on Mechanical Performance of Partially Precast Steel Reinforced Concrete Beams. China Civ. Eng. J. 2018, 51, 1–9+19. [Google Scholar]
- Xue, Y.; Yang, Y.; Yu, Y. Pseudostatic Testing for Load-Carrying Capacity of Precast Concrete-Encased Steel Composite Columns. J. Build. Eng. 2020, 29, 101189. [Google Scholar] [CrossRef]
- Menegotto, M. Method of Analysis for Cyclically Loaded R.C. Plane Frames Including Changes in Geometry and Non-Elastic Behavior of Elements under Combined Normal Force and Bending. In Proceedings of the IABSE Symposium on Resistance and Ultimate Deformability of Structures Acted on by Well Defined Repeated Loads, Lisbon, Portugal, 13–14 September 1973. [Google Scholar]
- Scott, B.D.; Park, R.; Priestley, M.J.N. Stress-Strain Behavior of Concrete Confined by Overlapping Hoops at Low and High Strain Rates. ACI Struct. J. 1982, 79, 13–27. [Google Scholar]













| I.D. | Type | Aspect Ratio | n | Steel Shape | Rebar Connecting |
|---|---|---|---|---|---|
| R-1 | CIP | 2.0 | 0.35 | HN100 × 50 × 5 × 7 | Y |
| S-1 | P | 2.0 | 0.35 | HN100 × 50 × 5 × 7 | N |
| Steel | Grade | d or t/mm | fy/MPa | fu/MPa | δ/% | Es/MPa |
|---|---|---|---|---|---|---|
| Rebar | HPB300 | 6 | 453.21 | 602.25 | 21.83 | 2.10 × 105 |
| HRB400 | 8 | 462.12 | 627.18 | 17.26 | 2.05 × 105 | |
| HRB400 | 10 | 476.62 | 642.47 | 18.62 | 2.10 × 105 | |
| HRB400 | 14 | 439.87 | 593.93 | 28.73 | 2.00 × 105 | |
| Steel shape | Q355 | 5 | 458.02 | 543.50 | 15.23 | 2.06 × 105 |
| Q355 | 7 | 433.40 | 575.45 | 15.10 | 2.05 × 105 | |
| Throat connector | Q355 | 4 | 477.23 | 532.28 | 15.88 | 2.05 × 105 |
| Specimen ID | Loading Direction | Pcr /kN | Δcr /mm | θcr | Py /kN | Δy /mm | θy | Pm /kN | Δm /mm | θm | Pu /kN | Δu /mm | θu |
|---|---|---|---|---|---|---|---|---|---|---|---|---|---|
| R-1 | Push | 280.00 | 3.13 | 0.16% | 525.91 | 9.95 | 0.50% | 621.11 | 14.18 | 0.71% | 541.55 | 21.43 | 1.07% |
| Pull | 300.00 | 3.22 | 0.16% | 522.83 | 9.04 | 0.45% | 612.36 | 12.33 | 0.62% | 520.51 | 19.15 | 0.96% | |
| AVG | 290.00 | 3.18 | 0.16% | 524.37 | 9.49 | 0.47% | 616.73 | 13.25 | 0.66% | 531.03 | 20.29 | 1.01% | |
| S-1 | Push | 260.00 | 2.63 | 0.13% | 564.06 | 10.80 | 0.54% | 660.69 | 17.97 | 0.90% | 561.59 | 24.69 | 1.23% |
| Pull | 280.00 | 3.00 | 0.15% | 544.81 | 10.01 | 0.50% | 633.65 | 15.03 | 0.75% | 538.60 | 17.68 | 0.88% | |
| AVG | 270.00 | 2.82 | 0.14% | 554.43 | 10.41 | 0.52% | 647.17 | 16.50 | 0.83% | 550.09 | 21.19 | 1.06% |
| ID | Pms /kN | Pm /kN | Pms/Pm | Pus /kN | Pu /kN | Pus/Pu | Δms /mm | Δm /mm | Δms/Δm | ξms /% | ξm /% | ξms/ξm | ξus /% | ξu /% | ξus/ξu |
|---|---|---|---|---|---|---|---|---|---|---|---|---|---|---|---|
| R-1 | 560.08 | 616.73 | 0.91 | 503.47 | 541.55 | 0.93 | 16.32 | 13.25 | 1.23 | 5.34 | 5.06 | 1.06 | 16.08 | 16.63 | 0.97 |
| S-1 | 559.79 | 647.17 | 0.86 | 549.10 | 550.09 | 1.00 | 17.80 | 16.50 | 1.08 | 5.64 | 6.56 | 0.86 | 7.55 | 9.56 | 0.79 |
Disclaimer/Publisher’s Note: The statements, opinions and data contained in all publications are solely those of the individual author(s) and contributor(s) and not of MDPI and/or the editor(s). MDPI and/or the editor(s) disclaim responsibility for any injury to people or property resulting from any ideas, methods, instructions or products referred to in the content. |
© 2024 by the authors. Licensee MDPI, Basel, Switzerland. This article is an open access article distributed under the terms and conditions of the Creative Commons Attribution (CC BY) license (https://creativecommons.org/licenses/by/4.0/).
Share and Cite
Yu, Y.; Xie, Q.; Liu, Y.; Xue, Y. Cyclic Behavior of Partially Prefabricated Steel Shape-Reinforced Concrete Composite Shear Walls: Experiments and Finite Element Analysis. Buildings 2024, 14, 2208. https://doi.org/10.3390/buildings14072208
Yu Y, Xie Q, Liu Y, Xue Y. Cyclic Behavior of Partially Prefabricated Steel Shape-Reinforced Concrete Composite Shear Walls: Experiments and Finite Element Analysis. Buildings. 2024; 14(7):2208. https://doi.org/10.3390/buildings14072208
Chicago/Turabian StyleYu, Yunlong, Qiang Xie, Yaping Liu, and Yicong Xue. 2024. "Cyclic Behavior of Partially Prefabricated Steel Shape-Reinforced Concrete Composite Shear Walls: Experiments and Finite Element Analysis" Buildings 14, no. 7: 2208. https://doi.org/10.3390/buildings14072208
APA StyleYu, Y., Xie, Q., Liu, Y., & Xue, Y. (2024). Cyclic Behavior of Partially Prefabricated Steel Shape-Reinforced Concrete Composite Shear Walls: Experiments and Finite Element Analysis. Buildings, 14(7), 2208. https://doi.org/10.3390/buildings14072208

