The Effect of Volcanic Stone and Metakaolin on the Compressive Properties of Ultrahigh-Performance Concrete Cubes
Abstract
1. Introduction
2. Experimental Program
2.1. Material Selection
2.2. Mix Proportion Design
2.3. Test Specimens
2.4. Microscopic Test Method
3. Test Results and Analysis
3.1. Experimental Phenomenon
3.2. Test Results
4. Micro Analysis
4.1. SEM Image of the “Interlock Effect”
4.2. XRD Comparative Analysis
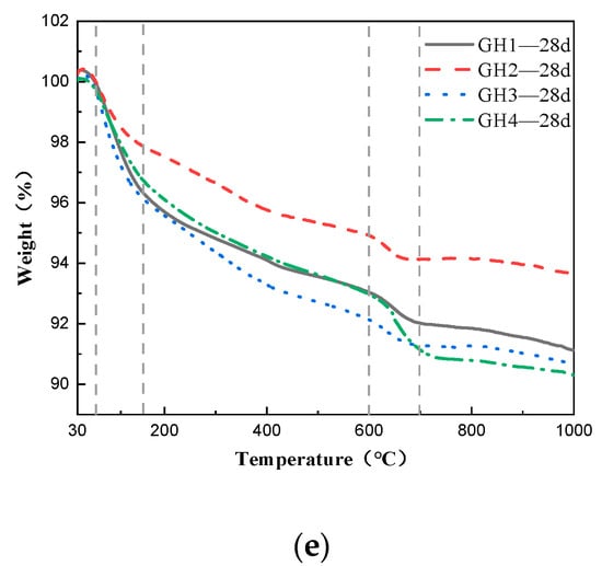
4.3. TG/DTG Analysis
5. Conclusions
- (1)
- Volcanic rocks as a new type of coarse aggregate for UHPC were used not only to maintain the compressive strength of UHPC but also to significantly reduce the construction cost of UHPC projects, resulting in the development of a new type of high-strength engineering material. The conclusions of this research provide reliable data support for the UHPC theoretical framework.
- (2)
- The volcanic stone pore structure and the mortar matrix form a mechanical “interlocking effect” structure, which can effectively improve the interfacial shear resistance of CA-UHPC. At the same time, the filling interface of volcanic stone pores was one of the main reasons for the decrease in the compressive strength of CA-UHPC, and the combined effect of the two was that the latter dominated.
- (3)
- The crystallinity of C-S-H was greater for both UHPC and CA-UHPC with MK added at a dispersion ratio of 4%. MK at a content of 4% promoted the crystallization of C-S-H, which increased the strength of UHPC. On the one hand, the incorporation of volcanic stone coarse aggregate retained more free water and bound water, and on the other hand, it also increased the crystallization of CaCO3. The combined effect of MK with a high dispersion ratio and volcanic stone promoted the crystallization of CaCO3.
- (4)
- When the MK dispersion ratio was less than 4%, the contents of CaCO3 crystals, C-S-H gel and calcium vanadium increased with an increasing MK dispersion ratio. At the age of 28 days, an MK dispersion ratio of 4% improved the quality of the C-S-H gel and ettringite by 24.82% compared with an MK dispersion ratio of 1%. A high content of C-S-H, ettringite and CaCO3 caused the cubic compressive strength of the GH4 specimen to be higher.
Author Contributions
Funding
Data Availability Statement
Conflicts of Interest
References
- Zhang, L.F.; Wang, H.C. Study on the influence of metakaolin and silica fume on the strength and microstructure of cement concrete. Transp. Technol. 2017, 31, 133–137. [Google Scholar]
- Wille, K.; Naaman, A.E.; Parra-Montesinos, G.J. Ultra-High Performance Concrete with Compressive Strength Exceeding 150 MPa. ACI Mater. J. 2011, 108, 189–203. [Google Scholar]
- Chen, B.C.; Ji, T.; Huang, Q.W. Review of research on ultra high performance concrete. J. Build. Sci. Eng. 2014, 3, 11–24. [Google Scholar]
- Pyo, S.; Kim, H.K.; Lee, B.Y. Effects of coarser fine aggregate on tensile properties of ultra high performance concrete. Cem. Concr. Compos. 2017, 84, 28–35. [Google Scholar] [CrossRef]
- Meng, W.; Valipour, M. Optimazation and performance of cost-effective ultra-high performance concrete. Mater. Struct. 2017, 50, 29–41. [Google Scholar] [CrossRef]
- Yu, R.; Spiesz, P.; Brouwers, H. Mix design and propeties assessment of ultra-high performance fibre reinforced concrete. Cem. Concr. Res. 2014, 56, 29–39. [Google Scholar] [CrossRef]
- Xiao, J.F. Preparation and Performance Research of Ultra High Performance Concrete under Conventional Technology. Ph.D. Thesis, Hunan University, Changsha, China, 2013. [Google Scholar]
- Wang, Y.; Shao, X.D.; Cao, J.H. Experimental study on basic performances of reinforced UHPC bridge deck with coarse aggregates. J. Bridge Eng. 2019, 24, 04019119. [Google Scholar] [CrossRef]
- Shi, Z.C.; Su, Q.T.; Shao, C.Y.; Chen, L. Evaluation method of basic mechanical properties and bending toughness of coarse aggregate UHPC. J. Civ. Eng. 2020, 53, 86–97. [Google Scholar]
- Orgass, M.; Dehn, F. Comparative investigations on ultra-high performance concrete with and without coarse aggregates. Proceedings of International Symposium on Ultra High Performance Concrete (UHPC), Kassel, Germany, 13–15 September 2004; Kassel University Press: Kassel, Germany, 2004; pp. 205–212. [Google Scholar]
- Cheng, J.; Liu, J.P.; Liu, J.Z.; Zhang, Q.Q.; Zhang, L.H.; Lin, W.; Han, F.Y. Study on mechanical properties and mechanism analysis of ultra-high performance concrete containing coarse aggregate. Mater. Guide 2017, 31, 115–119+131. [Google Scholar]
- Zhang, X.B.; Han, F.Y.; Liu, J.Z. Influence of metakaolin on rheology and fiber distribution of ultra high performance concrete. J. Silic. 2021, 49, 2375–2383. [Google Scholar]
- Shen, C.Q.; Li, B.X. Influence of coarse aggregate on mechanical properties of ultra-high performance concrete and its fitting analysis. J. Mater. Sci. Eng. 2021, 39, 35–40. [Google Scholar]
- Huang, Z.Y.; Li, S.G. Study on mechanical properties of ultra high performance concrete containing coarse aggregate. J. Hunan Univ. (Nat. Sci. Ed.) 2018, 45, 47–54. [Google Scholar]
- Li, N.; Mo, L.; Unluer, C. Emerging CO2 utilization technologies for construction materials: A review. J. CO2 Util. 2022, 65, 102237. [Google Scholar] [CrossRef]
- Siddique, R. Properties of concrete made with volcanic ash. Resour. Conserv. Recycl. 2012, 66, 40–44. [Google Scholar] [CrossRef]
- Deveshan; Pillay, L.; Oladimeji; Olalusi, B.; Moses; Kiliswa, W.; Awoyera, P.O.; Kolawole, J.T.; Babafemi, A.J. Engineering performance of metakaolin based concrete. Clean. Eng. Technol. 2022, 6, 100383. [Google Scholar]
- Massazza, F. Pozzolana and Pozzolanic Cements. In Lea’s Chemistry of Cement and Concrete, 4th ed.; Hewlett, P.C., Ed.; Elsevier: Amsterdam, The Netherlands, 1998; pp. 471–635. [Google Scholar]
- Dilaria, S.; Secco, M.; Bonetto, J.; Ricci, G.; Artioli, G. Making Ancient Mortars Hydraulic. How to Parametrize Type and Crystallinity of Reaction Products in Different Recipes. In Conservation and Restoration of Historic Mortars and Masonry Structures; Bokan Bosiljkov, V., Padovnik, A., Turk, T., Eds.; Springer: Berlin/Heidelberg, Germany, 2023; p. 42. [Google Scholar] [CrossRef]
- Biljana, I.; Vlastimir, R.; Miodrag, Z. Effects of mechanical and thermal activation on pozzolanic activity of kaolin containing mica. Appl. Clay Sci. 2016, 19, 135–147. [Google Scholar]
- Dinakar, P.; Pradosh, K.S. Effect of Metakaolin Content on the Properties of High Strength Concrete. Int. J. Concr. Struct. Mater. 2013, 7, 135–146. [Google Scholar] [CrossRef]
- Mo, Z.Y.; Bai, L.G.; Wang, D.G. Study on the influence of metakaolin on the performance of ultra-high performance concrete. Nonmet. Ore 2018, 41, 30–42. [Google Scholar]
- Mo, Z.Y.; Liu, Y.L.; Wang, D.G. Research Progress on mechanical properties of metakaolin cement-based materials. Silic. Bull. 2018, 37, 911–917. [Google Scholar]
- Mo, Z.Y. Strength Development and Rehydration Characteristics of UHPC Matrix Doped with Metakaolin. Ph.D. Thesis, Harbin Institute of Technology, Harbin, China, 2021. [Google Scholar]
- Ahmed, T.; Gilles, E.; Soltane, L. Metakaolin in the formulation of UHPC. Constr. Build. Mater. 2008, 23, 1440–1454. [Google Scholar]
- Fang, Y.H.; Zheng, B. Metakaolin and its application in high performance concrete. J. Silic. 2003, 8, 801–805. [Google Scholar]
- Jiang, G.W.; Lv, G.Y. Study on the mechanical properties and durability of metakaolin on concrete. ZheJiang Archit. 2019, 36, 56–59+63. [Google Scholar]









| Raw Material | SiO2 | Al2O3 | Fe2O3 | CaO | MgO | Na2O | SO3 | K2O | TiO2 | The Others |
|---|---|---|---|---|---|---|---|---|---|---|
| Cement | 23.22 | 4.51 | 2.33 | 60.47 | 1.16 | 0.87 | 4.22 | 1.23 | - | 1.99 |
| MK | 51.92 | 44.52 | 0.42 | - | - | - | - | - | 1.23 | 1.91 |
| Levels | Parameters | |
|---|---|---|
| A: MK Dispersion Ratio/% | B: Volcanic Stone Granular Formation/mm | |
| 1 | 1 | 9.5–16 |
| 2 | 2 | 16–19 |
| 3 | 3 | 19–31.5 |
| 4 | 4 | - |
| No. | Mass Fraction/% | Water–Binder Ratio | Particle Size of Volcanic Stone/mm | ||||||
|---|---|---|---|---|---|---|---|---|---|
| Cement | Silica Fume | MK | Volcanic Stone | River Sand | Steel Fiber | Water-Reducing Agent | |||
| U | 35.46 | 8.00 | 0 | 0 | 40.0 | 6.28 | 0.87 | 0.18 | 0 |
| G1 | 35.46 | 8.00 | 0.43 | 0 | 40.0 | 6.28 | 0.87 | 0.18 | 0 |
| G2 | 35.46 | 8.00 | 0.86 | 0 | 40.0 | 6.28 | 0.87 | 0.18 | 0 |
| G3 | 35.46 | 8.00 | 1.30 | 0 | 40.0 | 6.28 | 0.87 | 0.18 | 0 |
| G4 | 35.46 | 8.00 | 1.73 | 0 | 40.0 | 6.28 | 0.87 | 0.18 | 0 |
| H1 | 29.79 | 6.72 | 0 | 16 | 33.6 | 5.28 | 0.73 | 0.18 | 9.5–16 |
| H2 | 29.79 | 6.72 | 0 | 16 | 33.6 | 5.28 | 0.73 | 0.18 | 16–19 |
| H3 | 29.79 | 6.72 | 0 | 16 | 33.6 | 5.28 | 0.73 | 0.18 | 19–31.5 |
| GH1 | 29.79 | 6.72 | 0.36 | 16 | 33.6 | 5.28 | 0.73 | 0.18 | 9.5–16 |
| GH2 | 29.79 | 6.72 | 0.73 | 16 | 33.6 | 5.28 | 0.73 | 0.18 | 9.5–16 |
| GH3 | 29.79 | 6.72 | 1.09 | 16 | 33.6 | 5.28 | 0.73 | 0.18 | 9.5–16 |
| GH4 | 29.79 | 6.72 | 1.46 | 16 | 33.6 | 5.28 | 0.73 | 0.18 | 9.5–16 |
| No. | U | G4 | H3 | GH4 |
|---|---|---|---|---|
| Description of failure mode | There are many penetrating vertical cracks on the front and side. | There are two thick vertical through-cracks on the front, which divide the specimen into three pieces, and many crushed stones and steel fibers collapse around. | The test piece is broken into several pieces, and the whole piece has been seriously deformed. The internal volcanic stone is seriously broken, and there is a volcanic stone peeling phenomenon. | Similar to H3, but without H3, the overall deformation is serious, and the degree of peeling for the volcanic rock coarse aggregate is weaker than that for the H3 specimen. |
| Damage pattern picture | ![]() | ![]() | ![]() | ![]() |
Disclaimer/Publisher’s Note: The statements, opinions and data contained in all publications are solely those of the individual author(s) and contributor(s) and not of MDPI and/or the editor(s). MDPI and/or the editor(s) disclaim responsibility for any injury to people or property resulting from any ideas, methods, instructions or products referred to in the content. |
© 2024 by the authors. Licensee MDPI, Basel, Switzerland. This article is an open access article distributed under the terms and conditions of the Creative Commons Attribution (CC BY) license (https://creativecommons.org/licenses/by/4.0/).
Share and Cite
Yin, Y.; Ma, Z. The Effect of Volcanic Stone and Metakaolin on the Compressive Properties of Ultrahigh-Performance Concrete Cubes. Buildings 2024, 14, 2024. https://doi.org/10.3390/buildings14072024
Yin Y, Ma Z. The Effect of Volcanic Stone and Metakaolin on the Compressive Properties of Ultrahigh-Performance Concrete Cubes. Buildings. 2024; 14(7):2024. https://doi.org/10.3390/buildings14072024
Chicago/Turabian StyleYin, Yushi, and Zeyu Ma. 2024. "The Effect of Volcanic Stone and Metakaolin on the Compressive Properties of Ultrahigh-Performance Concrete Cubes" Buildings 14, no. 7: 2024. https://doi.org/10.3390/buildings14072024
APA StyleYin, Y., & Ma, Z. (2024). The Effect of Volcanic Stone and Metakaolin on the Compressive Properties of Ultrahigh-Performance Concrete Cubes. Buildings, 14(7), 2024. https://doi.org/10.3390/buildings14072024




