Next Article in Journal
Research Progress and Trends in Urban Residential Segregation
Next Article in Special Issue
A Study on the Visual Perception of Cultural Value Characteristics of Traditional Southern Fujian Architecture Based on Eye Tracking
Previous Article in Journal
A Parametric HBIM Approach for Preservation of Bai Ethnic Traditional Timber Dwellings in Yunnan, China
 
 
Font Type:
Arial Georgia Verdana
Font Size:
Aa Aa Aa
Line Spacing:
Column Width:
Background:
Article

Data Management Framework for Highways: An Unreal Engine-Based Digital Sandbox Platform

1
Guangxi Xinfazhan Communications Group Co., Ltd., Nanning 530029, China
2
Guangxi Transportation Science and Technology Group Co., Ltd., Nanning 530007, China
3
School of Civil Engineering, Chongqing Jiaotong University, Chongqing 400074, China
*
Author to whom correspondence should be addressed.
Buildings 2024, 14(7), 1961; https://doi.org/10.3390/buildings14071961
Submission received: 29 April 2024 / Revised: 12 June 2024 / Accepted: 18 June 2024 / Published: 28 June 2024
(This article belongs to the Special Issue Towards More Practical BIM/GIS Integration)

Abstract

The problems of information isolation, inefficiency, and paper-based data archiving in traditional highway survey and design methods are investigated in this paper. A novel digital sandbox platform framework was developed to promote the efficiency of route design, model data integration, and information sharing. Under the presented framework, an integrated application method for both the Building Information Modeling (BIM) and Geographic Information System (GIS) technologies was designed by using Unreal Engine technology. Firstly, a digital base model was established by integrating multi-disciplinary BIM model data and GIS three-dimensional (3D) multi-scale scene model data. On this basis, using Unreal Engine technology for visualization development, a digital sandbox platform with the data visualization, traffic organization simulation analysis, 3D spatial analysis, component information query, and scene switching functions was developed, which satisfies the 3D visualization and digitalization needs in the current highway planning and design. Additionally, the Analytic Hierarchy Process (AHP) was employed to analyze the impact of digital base model on the development and application of platform modules, including five crucial factors: data accuracy, data representation, multi-source data fusion, data management capability, and scene semantic representation. Finally, the research results indicate that the proposed digital sandbox platform framework provides users with a platform for integrated data management, information sharing, and 3D data visualization, while reducing design time by 30%, total design cost by 12%, and land occupancy rate by 10%.

1. Introduction

The continuous advancement of urbanization presents unprecedented challenges for highway construction [1]. As the vital channel among cities, the construction of highways involves the complex terrain, cooperative operation of various transportation modes, and large-scale land usage [2]. The traditional project management method easily brings some negative issues such as high costs, information silos, and communication difficulties, which may further hinder the coordination in project planning, design, and construction. Yan et al. [3] pointed out that most existing highway infrastructure is archived using 2D drawings, which lack 3D interaction and advanced analysis capabilities, leading to isolated information and inefficient sharing. Zhou et al. [4] pointed out that traditional 2D design data fail to meet the development needs of an integrated 3D digital platform for highway design, construction, and management. Highway design process is time-consuming, inefficient, and cumbersome [5,6,7]. Highway design data typically consist of paper drawings, PDF files, and some unstructured data [8]. The increasing application of digital technology in highway engineering aims to address challenges such as intelligent and information-based design processes [9,10,11,12,13]. It is evident that traditional methods of highway survey and design are gradually being replaced by digital technology [14,15,16]. Research on the integrated management of highway planning and design data using digital technology is beneficial for promoting data sharing, improving design efficiency, and enhancing data interactivity.
Unreal Engine technology, representing digital innovation, is garnering significant attention in the current technological wave. Due to its outstanding graphic performance and robust real-time data interaction and simulation capabilities, Unreal Engine technology demonstrates significant potential across various fields, including transportation infrastructure, architecture, and education [17,18,19,20]. Utilizing the virtual scene construction capabilities of Unreal Engine, some scholars both domestically and internationally have directed their attention towards the virtual experiences. Hruby et al. [21] introduced the concept of geovisualization immersive virtual environments (GeoIVE) to cater to the specific requirements of GIS data, employing Unreal Engine to create immersive 3D experiences of coral reef ecosystems. Huo et al. [22] developed a large-scale inclined photogrammetric model visualization platform using Unreal Engine, demonstrating significant enhancements in platform smoothness and reduced memory usage. Luo et al. [23] enhanced the urban visualization by integrating the heterogeneous data from multiple sources to Unreal Engine 4. Michalík et al. [24] devised a custom vehicle driving simulator in Unreal Engine 4, facilitating the creation of various vehicle behaviors and driving scenarios for the performance data collection. Unreal Engine serves as a versatile tool for developing interactive platforms facilitating dynamic data display and management. Unreal Engine can be utilized to develop a data interaction platform that facilitates information sharing and integrated management among users. However, among numerous case studies, there is a relative scarcity of research on the 3D interaction with highway data and the visualization of results for briefing purposes.
BIM and GIS are distinct information technologies with different focuses: BIM technology emphasizes detailed building information and internal space construction, while GIS technology prioritizes large-scale geographic visualization and spatial analysis [25]. However, neither BIM nor GIS alone can fully meet the complex data needs of multi-source and multi-domain projects. Currently, the integration technology of BIM and GIS has been widely studied and applied in various fields, including the comprehensive management of transportation infrastructure [5,26,27], architectural visualization [28], intelligent railway operation and maintenance [29], and urban disaster management [30]. Ma et al. [31] utilized the Unity3D game engine for the interactive presentation of scene information models, albeit with limitations in visualization and interactivity, alongside errors in model data. Potseluyko et al. [32] focused on virtual reality applications for the timber frame self-build housing, which may not be suitable for the complex highway projects. In the design, construction, and operation phases of highways, there has been limited integration of Unreal Engine with BIM and GIS technologies to develop the digital sandbox platform. Therefore, based on the BIM and GIS integrated model as the data foundation, studying the development of digital sandbox platform using Unreal Engine technology has practical significance. This platform is expected to become an efficient method for digital design, delivery, and archiving of expressways.
Building upon this research landscape, this paper proposes a digital sandbox platform framework based on Unreal Engine, integrating BIM and GIS to address issues of paper-based data archiving, information isolation, and subpar visualization and interactivity in highway design.
Based on the above discussions, the main contributions of this paper are as follows:
(i)
By integrating multidisciplinary BIM and GIS model data, a digital base model was constructed, which provides a great foundation for the digital sandbox platform.
(ii)
A novel digital sandbox platform was developed based on Unreal Engine technology, enhancing the digitization and efficiency of both survey and design processes.
(iii)
The developed platform seamlessly integrates the business logic, data organization, and digital base model of highway survey and design, which facilitates the comprehensive data management and visualization of results delivery.

2. Materials and Methods

The digital sandbox platform was developed based on a digital base model. The research roadmap, depicted in Figure 1, is divided into three parts: Unreal Engine development, BIM and GIS integration, and platform application effectiveness analysis. First, the digital base model integrated with BIM and GIS technologies serves as the data source for development. Next, the functional modules of the digital sandbox platform are developed using Unreal Engine technology, with project design and site survey data incorporated into the platform’s front end. Finally, the application effectiveness of the platform is analyzed in terms of performance and user experience. Additionally, the Analytical Hierarchy Process (AHP) was utilized to assess the impact of the digital base model on the development of platform modules.

2.1. BIM and GIS Model Construction and Technology Integration

The application and visualization interaction of a digital sandbox platform rely on a digital base model. This model constructs the highway model and spatial data model by applying BIM and GIS technologies. By integrating the data of these two models, the platform can support visualization interaction and data analysis effectively. Here, the digital base model integrates data from two different models, thus requiring two distinct modeling methods. On the one hand, the BIM model is used to construct detailed engineering databases during the highway design phase. On the other hand, GIS 3D multiscale scene model provides the real terrain features and spatial relationship data.

2.1.1. BIM Model Construction

The BIM model integrates all professional design data and processes throughout the investigation and design phases, serving as a comprehensive and realistic information base for the project. It plays a pivotal role across various stages including bidding, design, construction, completion, operation, and maintenance [33,34,35], as shown in the Figure 2.
The mainstream software for BIM refined modeling of transportation infrastructure is concentrated on four major platforms: Autodesk, Bentley, Dassault, and Graphisoft [36]. By studying the characteristics of these platforms, as shown in Table 1 [37,38,39,40,41], and considering the complexity and large-scale requirements of highway construction projects, it was found that Bentley excels in 3D modeling capabilities, professionalism, data interoperability, and uniformity of data formats. Additionally, Bentley’s BIM model is compatible with third-party software, providing reliable data support for a “BIM+GIS” digital platform. Hence, this paper selected OpenRoads Designer (10.16 version; Bentley Systems, Incorporated, Exton, PA, USA) and OpenBridge Modeler (10.10 version; Bentley Systems, Incorporated) software within the Bentley platform for the refined modeling of the highway BIM model.

2.1.2. GIS 3D Multi-Scale Scene Modelling

The highway investigation and design phases require the utilization of real-site terrain scenes, which can be achieved through the oblique photography method based on GIS technology [42]. This method enables the construction of GIS 3D multi-scale scene model to fulfill these requirements. In this paper, the oblique photography method was chosen to acquire high-resolution image data. Combined with robust 3D modeling software, these image data were processed to create a realistic GIS 3D multi-scale scene model, as shown in the Figure 3.
The acquisition of multi-angle remote sensing image data by oblique cameras presents challenges for the accurate aerial triangulation. Consequently, it becomes necessary to process the aerial survey data using the bundle block adjustment method [43]. This approach leverages the image outer orientation elements in the Position and Orientation System (POS) data to extract feature points from the image information through the pyramid homonymous point automatic matching method. Subsequently, the bundle adjustment method is applied to adjust these feature points. The calculation formula for the adjustment is depicted as follows:
x x 0 = f a 1 ( X p X q ) + b 1 ( Y p Y q ) + c 1 ( Z p Z q ) a 3 ( X p X q ) + b 3 ( Y p Y q ) + c 3 ( Z p Z q ) y y 0 = f a 2 ( X p X q ) + b 2 ( Y p Y q ) + c 2 ( Z p Z q ) a 3 ( X p X q ) + b 3 ( Y p Y q ) + c 3 ( Z p Z q )
where ( x , y ) represents the pixel coordinates of the image point; ( X p , Y p , Z p ) denotes the object space coordinates of the ground point; ( X q , Y q , Z q ) means the object space coordinates of the photographic center; x 0 , y 0 and f represent the inner azimuthal elements of the aerial image; and a i , b i , c i (for i = 1, 2, 3) correspond to the nine directional cosine values comprising the three outer azimuthal elements.

2.1.3. BIM and GIS Integration

The integration of BIM and GIS complements each other at both micro and macro levels, facilitating information sharing and interoperability, as well as expanding the multidimensional application of data. Song et al. [44] proposed three hypotheses regarding the future trends and opportunities of BIM-GIS integration in the construction engineering industry: the Technology (Loose Integration) Hypothesis, the Science (Tight Integration) Hypothesis, and the Data Source Hypothesis. The Technology Hypothesis, in particular, is a straightforward and flexible integration method, transferring data from one system to another or using a third-party platform for integration. In current mainstream methods of BIM and GIS integration [28,30,45], three hypotheses are proposed based on the direction of data flow: from GIS to BIM, from BIM to GIS, and from both BIM and GIS to a third-party platform. In engineering practice [44,46], BIM and GIS models are typically constructed by different companies or platforms. Due to software discrepancies, there are differences in data formats and representations, making unidirectional data conversion and interoperability challenging. However, integrating BIM and GIS into a third-party platform can accommodate the data formats and representations of both systems, achieving higher levels of interoperability and data sharing [47,48]. This supports more complex and multidimensional analyses and applications. This integration method allows professionals from different fields to use their familiar tools while collaborating on a unified platform, enhancing project management efficiency and accuracy. Nevertheless, its limitations include the complexity and high cost of the integration process, as well as the stringent requirements for data formats, standards, and interoperability, which may present challenges in data conversion and management.
The integration of BIM and GIS models is a fundamental basis for developing a digital sandbox platform. In preliminary stages, we conducted integration experiments of BIM and GIS on a third-party platform using small- and medium-sized projects, building a digital base model that integrates various data of highways, as shown in the Figure 4. In this study, for highway projects, the BIM model encompasses detailed attribute information of infrastructure components such as routes, bridges, tunnels, and interchanges. The GIS 3D multi-scale scene model reflects the actual survey and design conditions, including accurate geographical information. The integration of these data will enhance the digital management level during the design phase. Despite certain limitations in integrating BIM and GIS into a third-party platform, its advantages in comprehensive data management, enhanced analytical capabilities, improved collaboration efficiency, and broader application integration make it significantly valuable in the highway design phase. This paper further explores the specific applications and practices of this integration method in highway design.

2.2. Digital Sandbox Platform Development

A digital sandbox is a simulation platform constructed using digital technology [49], designed to simulate, display, and analyze scenarios in specific fields. This platform utilizes 3D modeling, data integration, and visualization technologies to transform geographical, environmental, and dynamic data into virtual models, providing users with a technical framework that integrates multidimensional data management, visualization, information sharing, and interactive operations. Although the digital sandbox offers intuitive visualization, integrated data, and flexible scene simulation capabilities [50], it is highly dependent on data accuracy and involves high development costs and equipment requirements [51]. In the highway design phase, using Unreal Engine and integrating multidisciplinary BIM models and GIS 3D multi-scale scene models, the functional module design and visualization development can create a digital sandbox platform that significantly enhances planning and design efficiency and integrated data management. This reduces engineering costs and facilitates the digitization of survey, design, and delivery processes, enabling digital transitions between different project stages.

2.2.1. Functional Module Design

Unreal Engine technology supports the development of digital sandbox platforms. Through user experience analysis and assessing actual demands, the platform can be divided into five functional modules: data visualization, traffic organization simulation analysis, 3D spatial analysis, component information query, and scene switching. The design of these modules is illustrated in the accompanying Figure 5.
Data Visualization Module
This module integrates data from the highway survey and design stages, providing users with 3D data interaction, integrated management, and information sharing. The main functions of the data visualization module include project overview, survey conditions, drawing archiving, progress scheduling, quality management, project cost, and land use.
Traffic Organization Simulation Analysis Module
To visually understand the operation of vehicles in the road network, the platform designed a Traffic Organization Simulation Analysis Module. Based on the digital base model, this module scientifically predicts and simulates the traffic organization position, route planning, and driver’s visibility range, enabling targeted proposals for traffic diversion and routing. With 3D dynamic visualization capabilities, this simulation analysis module optimizes traffic diversion, reduces traffic accidents and congestion, and improves the efficiency of traffic organization design through data interaction.
3D Spatial Analysis Module
To enhance the platform’s capability to acquire and analyze real-time information in 3D scenes, a 3D spatial analysis module is provided. This module includes route scheme comparison analysis, measurement analysis, and section analysis. The route selection analysis function can verify route selection schemes from multiple perspectives and comprehensively consider factors such as buildings along the route, terrain, and design speed to provide visual solutions for highway route selection. The measurement analysis provides basic distance, area, and height measurements to quickly obtain relevant information from the scene. The section analysis creates a section body and automatically generates a 3D section frame, enabling users to quickly and comprehensively view the internal structure of the model from multiple angles.
Component Information Query Module
This module focuses on retrieving and presenting detailed information about various components in the highway system, including bridges, tunnels, and interchanges. It provides specific attributes, statuses, and related data for each component. Through BIM encoding, the module accurately tracks component attributes and dynamically displays their geographic location, status, and real-time data. Users can precisely query information about specific components and retrieve it at any time.
Scene Switching Module
To meet the needs of daily work such as reporting, usage, and technical briefing, the platform designed the Scene Switching Module. This module includes functions such as location identification positioning, directory tree querying, and QR code scanning for viewing. Users can quickly achieve positioning based on the key nodes of the project scene through the Scene Switching Module, making it more convenient to meet their work requirements.

2.2.2. Platform Development Design

It can be noted that Unreal Engine has been widely applied in various industries including gaming, transportation, architecture, and film and television. This is attributed to its strong compatibility, ease of compiling visualization scripts, and realistic visual effects [52,53,54]. Hence, Unreal Engine was chosen as the development software for the digital sandbox platform. The goal is to facilitate data and information interaction with users through various ways, packaging them into a visually interactive application procedure in utility and digitized engineering information. After constructing the digital base model, the DataSmith plugin is inserted into Unreal Engine. Then, the visual programming tools such as blueprints and C++ are utilized to develop the functional modules outlined in Section 2.2.1.

2.3. Impact Analysis of the Digital Base Model on Platform Modules

The goal of this paper is to establish a digital sandbox platform that integrates data, shares information, and enables interaction. The functional modules of the digital sandbox are developed based on the digital base model. Therefore, the precision and data quality of the digital base model can influence the practical effectiveness of the platform’s modules. To enhance the platform’s usability and user experience, we employed the AHP to analyze the impact of the digital base model on the platform’s functional modules. This method helps identify the primary factors affecting module development and enables continuous optimization in subsequent work. The AHP decomposes decision problems into a hierarchical structure of multiple criteria, including the goal, criteria, and alternative layers. By conducting pairwise comparisons to establish a relative weight matrix, the weights of each element are calculated, ultimately determining the comprehensive weight of alternatives [55]. This supports decision-makers in making rational trade-offs and decisions.

2.3.1. Construction of Hierarchical Structure Model

To conduct more clear and precise analysis, the AHP was chosen to divide the complex structure into three levels: the objective level, criterion level, and specific factor level. The effective evaluation of digital base model on platform functionality is set as the objective level Z. The criteria such as data visualization, traffic organization simulation analysis, 3D spatial analysis, component information query, and scene switching are designated as the criterion level (represented by B1 to B5). Combining the expert opinions, the specific factors of digital base model including the data accuracy, data representation, multi-source data fusion, data management capability, and scene semantic representation are designated as the specific factor level (represented by C1 to C5). The corresponding hierarchical structure model is constructed as shown in Figure 6.

2.3.2. Comparison Matrix Construction

Once the factor layer of the function point is delineated, a comparison matrix is created to compare and analyze the importance of each factor, which involves a pairwise comparison of the indicators for the criterion layer, typically using Santy’s 1–9 scale method, as shown in Table 2.
Using the quantitative scale for the effective evaluation of platform’s function points, the judgment matrix comparing criterion level elements to objective level elements is constructed from the comparison matrix Equation (2), as shown in Figure 7a. Similarly, the judgment matrices comparing specific factor level elements to criterion level indicators are constructed, as shown in Figure 7b–f.
Z = ( z i j ) m × n = z 11 z 12 z 1 n z 21 z 22 z 2 n z m 1 z m 2 z m m
where z i j > 0 ; z j i = 1 / z i j ; and z i i = 1 .
Based on Figure 7a, it is evident that 3D spatial analysis (B3) is noticeably more important compared to the other four primary indicators. Figure 7b–f indicate that data accuracy (C1) significantly impacts the platform development effectiveness.

2.3.3. Evaluation Criterion Weight Calculation

In this section, the effective evaluation of each module’s elements is combined with the digital base model, the judgment matrices are constructed, and the eigenvector method is chosen to calculate the indicator weight values of influencing factors at each level. The indicator weights ( W c ) of the influencing factors at each level are calculated using Equation (3), and the resulting weights are presented in Table 3.
Z c = j = 1 n z i j = ( z 11 × z 12 × L × z 1 n ) z c = Z c n = ( z 11 × z 12 × L × z 1 n ) n W c = z c i = 1 n z c
where Z c represents the value of the product of the sorting vectors of the comparison matrix; z c means the value of the nth root of the product of the sorting vectors; and W c stands for the indicator weights.

2.3.4. Consistency Test

Two-by-two judgmental comparisons were conducted for the indicator factors, potentially overlooking overall logical coherence and leading to contradictions. Therefore, the concept of a consistency matrix is introduced here to adjust the judgment matrix to a consistency matrix and define the consistency index (CI) and the consistency ratio (CR). If consistency ratio (CR) is less than a specific range, the judgment matrix is deemed valid. Using the determined weights of indicators, Equation (4) is employed to calculate the maximum eigenvalue ( λ max ) of the judgment matrix and the consistency index CI for the consistency test.
λ max = 1 n i = 1 n ( Z W ) c W c C I = λ max n n 1 C R = C I R I = λ max n R I ( n 1 )
where RI represents the values of judgment matrices at each level (as shown in Table 4); CR is the consistency ratio, and the consistency test is passed if CR < 0.1, and the weight calculation is deemed valid.
The calculation of maximum eigenvalue root of each judgment matrix and other consistency test indicators is conducted according to Equation (4), as presented in Table 5.
The analysis of Table 5 reveals that CR < 0.1, meeting the consistency test requirements and indicating the reliability, rationality, and validity of judgment matrix results.

2.3.5. Composite Weight Value Calculation and Sensitivity Analysis

After passing the consistency test, the weight value of each first-level layer is multiplied by the weight value of the corresponding element at the second level. This yields the comprehensive weight value of each second-level element relative to the first level. Following computation, the final integrated weight values of the digital base model for assessing the effectiveness of each functional module on the platform’s indicators are obtained. The results are illustrated in Figure 8.
Analysis of Figure 8 reveals that, in the impact assessment framework of the digital base model on platform module development and application, the influence of five key factors is as follows: data accuracy, data representation, multi-source data fusion, data management capability, and scene semantic representation. Among these, data accuracy stands out as the most influential factor, significantly impacting the development of platform modules. Consequently, constructing a highly refined digital base model during the data preparation phase of platform module development becomes a crucial step. We focus on verifying the modeling accuracy and data quality of the BIM model and the GIS 3D multi-scale scene model to ensure their accuracy and reliability. This critical step will help ensure the platform’s outstanding performance in all aspects, laying a solid foundation for the smooth implementation of the modules.

2.4. Verification of Platform Module Application Effectiveness

In the stability analysis of the digital sandbox platform, frame rate (FPS) and GPU rendering time are critical performance indicators. FPS reflects the number of frames the platform can process per second, while GPU rendering time measures the speed at which each frame is rendered. Detailed analysis of FPS and GPU rendering time can help the development team promptly identify and resolve performance and stability issues under different loads, thereby enhancing the stability and performance of the digital sandbox platform.
Additionally, analyzing the application effectiveness of the digital sandbox platform modules through user surveys provides a deep understanding of different users’ perceptions, experiences, and evaluations of the platform. By collecting survey data, we can quantify user feedback on satisfaction, usability, and functionality, providing strong evidence for further improvements to the digital sandbox platform.

3. Results

3.1. Case Description

This study used a highway in the Guangxi Zhuang Autonomous Region as a case study. This highway is an essential part of the “1 Ring, 12 Horizontal, 13 Vertical, 25 Link” network in the Guangxi Highway Network Plan (2018–2030), specifically the Vertical Line 8. The route runs predominantly north–south and is expected to become a key corridor connecting Nanning City, Shangsi County, and the Dongzhong Port. The project will adhere to the four-lane highway technical standard, with a total length of 83.5 km, a design speed of 100 km/h, and a roadbed width of 26 m. It includes 4 interchanges, 48 bridges, 13 overpasses, 71 culverts, and 12 tunnels. The development of the digital sandbox platform was completed by an eight-member team consisting of a BIM technology group, a GIS technology group, and an Unreal Engine technology development group. These groups were responsible for constructing the multidisciplinary BIM model for the entire route, the GIS 3D multi-scale scene model for the entire route, and the data integration and functional module development, respectively. The chosen case study is typical and closely related to the research topic, aligning with the research direction and objectives set by this study’s framework.

3.2. Base Data Integration for the Data Sandbox Platform

3.2.1. GIS 3D Multi-Scale Scene Model Construction

GIS 3D multi-scale scene model construction comprises two primary stages: external data acquisition and internal data processing. For image data acquisition, the DJI Matrice 300 RTK Unmanned Aerial Vehicle (UAV) equipped with the SHARE 102S PRO V2 tilt camera was utilized. The UAV’s flight altitude was determined using Equation (5) based on camera focal length and ground resolution, with both side and heading overlap rates set to 80%. Image control points and checkpoints were positioned along the highway, and Haixingda RTK equipment was employed to collect their coordinate data.
H = f × G S D a
where H denotes the flight height ( m ); f represents the focal length of the objective lens ( mm ); G S D means the ground resolution ( dpi ); and a is the image element size ( μ m ).
In the field data acquisition phase, UAV missions were conducted 37 times, resulting in the acquisition of 197,785 images and simultaneous collection of coordinate data for 114 image control points and 64 inspection points. During internal processing, the screened and standardized external data collection images and image control point coordinates were imported into Bentley ContextCapture 3D modeling software (Bentley Systems, Incorporated, 2020 version) to construct the GIS 3D multi-scale scene model. Airborne triangulation calculation was performed using the regional parity beam method, followed by the construction of triangular surface slices and the encapsulation of a 3D white film model. Finally, the GIS 3D multi-scale scene model was constructed using texture mapping technology. The construction process is illustrated in the accompanying Figure 9.
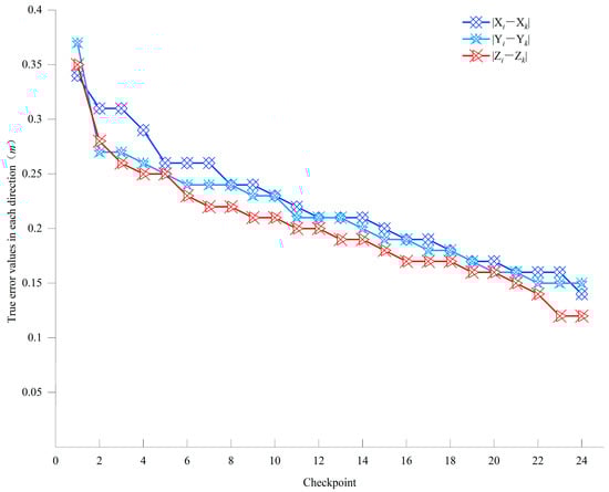
To assess the accuracy of the constructed GIS 3D multi-scale scene model, the plane and elevation accuracy were considered. Twenty-four checkpoints were randomly selected within the test area, with GPS-RTK measured control point coordinates considered as the ground truth values. Corresponding control point coordinates were then measured within the model. Absolute errors in the X , Y , and Z directions were calculated by subtracting the measured values from the true values, as shown in Figure 10. Center error values for plane and elevation were calculated using Equation (6) and are presented in Table 6.
μ s = 1 N i = 1 , k = 1 N [ ( X i X k ) 2 + ( Y i Y k ) 2 ] μ h = 1 N i = 1 , k = 1 N ( Z i Z k ) 2
where μ s and μ h denote the median errors of plane and elevation, respectively; N represents the number of control points; ( X i , Y i , Z i ) means the latitude and longitude coordinates of the true values; and ( X k , Y k , Z k ) stands for the latitude and longitude coordinates of the measured values.
According to the calculation results in Table 6, the plane error was 0.316 m, and the elevation error was 0.207 m. Both errors were within the tolerance limit of 1:1000 [56], meeting the requirements for the application of GIS 3D multi-scale scene model.

3.2.2. BIM Model Construction

This subsection employs the DGN format and WGS84 coordinates consistently for constructing the BIM model. The road plan and longitudinal section lines were drawn using Bentley’s OpenRoads Designer. Concurrently, design and BIM modeling tasks for various strip projects like roads, interchange hubs, and tunnels were accomplished. OpenBridge Modeler software was utilized for BIM model construction concerning bridge engineering components. Unit component body attribute information was provided through the BIM code identifier body. The BIM coding method primarily involves a combination of highway location element codes, classification codes, and component location codes. Finally, the two parts of the model were integrated to assemble a comprehensive highway BIM model. The overall modeling process is shown in Figure 11.

3.2.3. Digital Base Model Integration

MicroStation, as the core platform of Bentley engineering software, boasts strong compatibility and scalability, particularly excelling in handling large-scale or complex projects [57,58]. It is capable of directly importing and recognizing highway BIM models in the DGN file format and can integrate GIS 3D multi-scale scene models created by Bentley ContextCapture software [59,60]. The MicroStation platform provides a comprehensive solution to address issues such as information loss and integration failures caused by inconsistent data formats and representations, enabling the integration of BIM models and GIS 3D multi-scale scene model data. Therefore, this paper selected the third-party MicroStation platform as the integration platform for BIM and GIS 3D multi-scale scene model data.
To achieve precise integration of GIS 3D multi-scale scene models and BIM models, the coordinate systems of the two models in this study were unified as the WGS84 coordinate system, necessitating the conversion of both models’ coordinate systems to a unified one. Firstly, in the geographic coordinate system interface of the third-party MicroStation platform, clicking “From Library” and selecting the corresponding model’s geographic coordinate system will generate the corresponding coordinate system, ensuring consistency between the models and the third-party platform’s coordinate system. Secondly, the GIS 3D multi-scale scene models were converted to the 3MX file format and standardized to the unified coordinate system using Bentley ContextCapture software. Finally, importing the GIS 3D multi-scale scene models in 3MX format and the highway BIM models in DGN format into the third-party MicroStation platform, the GIS 3D multi-scale scene models were integrated with the BIM models using the masking function to produce a digital base model, as shown in the Figure 12.

3.3. Georeferencing

Jaud et al. [61] noted that when infrastructure models were placed in a geospatial environment, the transformation from the curved surface of the Earth to an orthogonal coordinate system caused distortion. This distortion issue was addressed through georeferencing. Since highway projects were mostly elongated, the impact of Earth’s curvature on positioning could not be ignored. Therefore, when importing the digital base model into Unreal Engine to develop a digital sandbox platform, it was necessary to address geodetic distortion issues. To improve the accuracy of georeferencing, recent Unreal Engine developments introduced dedicated georeferencing plugins, origin shifting methods, and 64-bit floating-point precision support [62]. The georeferencing plugin allowed developers to set the starting point of a level within a defined coordinate reference system and provided functionality for converting coordinates between different systems. In Unreal Engine, each object had coordinates defined relative to the scene’s origin. Hence, to determine a specific georeferenced location, the engine’s origin had to be positioned on the Earth.
In the georeferencing process, selecting the appropriate Projected Coordinate Reference System (PCRS) and Geographic Coordinate Reference System (GCRS) was crucial for ensuring registration accuracy. Typically, we choose WGS84 as the reference ellipsoid because it is the globally accepted standard ellipsoid, suitable for most geographic information systems. For highway projects involving large areas, we adopted the Gauss-Krüger projection (GK) as the projected coordinate reference system. This projection method was suitable for large-scale mapping and spatial data analysis, effectively meeting the needs of such projects.
This chapter studied the process of determining the project base point position of the digital base model and importing it into the Unreal Engine development platform using the DataSmith plugin, ensuring accurate model coordinates and scale. After importing, the georeferencing plugin in Unreal Engine was used to apply geographic references to the project. Given the large environment and geometric shape of the digital base model, we aimed for the geometric structure to cover the entire planet, having a spherical or ellipsoidal shape. Thus, as shown in the Figure 13. in the georeferencing plugin settings, we selected a spherical planet shape, and we set the PCRS to EPSG:4545 (GK) and the GCRS to EPSG:4326 (WGS 84). Additionally, the real geographic location of the project base point was set as the engine origin to correct for any geometric and positional distortions in the digital base model within Unreal Engine. For height distortions above the projection plane, the Z-axis scale of the terrain in Unreal Engine was adjusted. Finally, a coordinate checker auxiliary tool was used to verify real-world coordinates, ensuring that the model’s geographic location and scale matched the actual situation.

3.4. Digital Sandbox Platform Module Development and Application

3.4.1. Data Visualization Module

The data visualization module in the highway investigation and design phase integrates various data types such as project overview, investigation details, drawings, progress plans, quality management, project costs, and land use. The front-end page adopts B/S architecture and embeds web pages in Unreal Engine. It uses coding binding and parameter passing to trigger functions and events to invoke data visualization display scenarios to achieve the visualization of front-end business data. Using VUE coding, the data to be presented is rendered in the front-end interface through the front-end language. With the communication of WebRTC and Unreal Engine, Unreal Engine receives the results from the front-end through a widget. Finally, the function event is triggered by Actor to realize the visual display of business data. As shown in Figure 14, through this module’s data visualization, users gain comprehensive insights into highway project data. It supports efficient management and decision making by presenting project-related data intuitively, optimizing decision-making, and enhancing overall management efficiency.

3.4.2. Traffic Organization Simulation Analysis Module

Based on the digital base model, a highway merging and diverging area traffic organization simulation analysis module within the platform was developed, as shown in Figure 15. This module conducts the visual domain analysis of the merging and diverging areas before and after vehicle entry at specified speeds, effectively simulating the dynamic traffic safety status of these areas on the highway. Within the platform interface, users can view the current traffic organization status of the merging and diverging areas using interactive buttons and inspect the visibility range of the driving area in that direction from a first-person perspective. Results indicate that green areas represent visible areas, while red areas represent invisible areas. Through simulation analysis, comprehensive and real-time information is provided to managers, aiding in better traffic organization management and planning, thereby enhancing vehicle driving safety and road traffic efficiency.

3.4.3. 3D Spatial Analysis Module

The route scheme comparison on the platform enables real, intuitive, and accurate road optimization. Given the complex and variable geological conditions and undulating terrain, as shown in Figure 16, the K45 + 500 to K47 + 500 section is located at the tunnel exit. Scheme Oneinitially proposed a separated roadbed length of 1.640 km, with a large separation between the left and right lines, occupying significant land. Using the route scheme comparison function, real-time analysis of the terrain and design scheme was conducted. Scheme Two adjusted the left line alignment, merging the left and right lines earlier, reducing the separated roadbed length from 1.640 km in Scheme One to 0.451 km in Scheme Two. Additionally, the left line end in Scheme Two was shortened by 1.189 km compared to Scheme One. Through 3D route planning, this project achieved a 30% increase in design efficiency, a 12% reduction in total design costs, and a 10% saving in land occupation. Furthermore, the module visually highlights the advantages and disadvantages of different schemes, optimizing the route layout to save land use and prevent exceeding land use limitations.
The measurement analysis feature offers the fundamental distance, height, and area measurements, enabling users to assess the size, angle, and area of models within the platform’s digital base model scene. Users can click on the screen to specify two points or an area for size, angle, and area measurements, with real-time measurement data displayed on-screen, as depicted in Figure 17. This real-time measurement functionality aids users in swiftly obtaining component dimensions, angles, and areas, facilitating design scheme verification and adjustment.
The section analysis function allows users to conveniently inspect the internal structure of the highway digital base model. By enabling geometric cuts on vital structures like bridges, tunnels, and interchanges, users can gain the insights into their architecture. As shown in Figure 18, during the runtime, clicking the slicing analysis function with the mouse automatically generates a 3D slicing box. Users can control the slicing position by moving the arrows, allowing real-time viewing of the structure’s slicing effect (highlighted in red). This feature empowers the manager to comprehensively assess the bridge structure and equipment operation, facilitating timely issue detection and accident prevention.

3.4.4. Component Information Query Module

The component information query function is activated by the left-clicking the mouse to access the attribute details. Implemented through the Unreal Engine reflection system, each UObject class corresponds to a UClass instance for storing reflection data. Leveraging the digital base model, the module utilizes BIM codes to link and accurately track component attributes. When a model is detected by a ray, the attribute retrieval is initiated based on the BIM code, and the real-time display of component attributes is provided, as depicted in Figure 19. This enables users to precisely query and retrieve information about specific components as needed.

3.4.5. Scene Switching Module

In order to address the key node issue of highway scenes, the scene switching function module is developed, which realizes 3D switching of specific scenes along the entire route. This module provides users with a comprehensive view, enabling them to quickly switch to specific areas by querying the divided directory tree and clicking on corresponding location 3D icons, as shown in Figure 20. This allows users to view the scene model from different angles and heights, simulating various conditions. Through this module, users can more flexibly explore and understand key node components and areas in highway scenes, providing the detailed information, convenience, and efficient tools for daily work.

3.5. Analysis of Platform Application Effectiveness

3.5.1. Overview of Platform Module Development

The development and testing of the digital sandbox platform, based on Unreal Engine and integrating multidisciplinary BIM models and GIS 3D multi-scale scene models, were initially expected to take 30 weeks but were completed in 21 weeks. During the preliminary base data preparation stage, the BIM and GIS technical teams spent 10 weeks establishing and optimizing the digital base model required for the platform. In the prototype design to module development stage, the Unreal Engine development team spent 8 weeks. In the platform testing and optimization stage, both technical and non-technical personnel, along with users, spent 3 weeks testing, discussing, analyzing, and optimizing the platform. Despite the complex structure, large scale, and vast amount of data involved in the case study, the development cycle was significantly shortened. This efficiency can be attributed to (1) the strong compatibility of Unreal Engine, its support for numerous formats, and its open-source code, which accelerated the development process and lowered technical barriers, and (2) a clear organizational structure and well-defined division of labor among the development teams, which saved manpower costs.

3.5.2. Analysis of Platform Stability

In Unreal Engine, Unreal Insights stands as a robust performance analysis tool, aiding developers in monitoring and optimizing their application’s performance. Specifically, Unreal Insights is capable of logging essential performance metrics such as FPS and GPU rendering times. By enabling the Unreal Insights feature, interaction with the five modules in the digital sandbox platform is conducted, utilizing a temporal unit of 1 s. Random recordings of FPS and GPU rendering times within a continuous 30 s interval are made, followed by the computation of the average FPS and GPU rendering time over this 30 s duration.
The stability performance test results of the digital sandbox platform (as shown in Figure 21) indicate variations in average FPS and GPU rendering time across different functional modules. While the performance is optimal in non-interactive mode, the traffic organization simulation analysis module exhibits the lowest performance. This phenomenon is primarily attributed to the large volume of samples and complex traffic organization data processed by this module, along with the rendering load increase due to loading the camera to the finest level, leading to a decrease in frame rate. However, overall, the stability performance of each module remains within an acceptable range (typically defined as smooth if FPS > 30). Future work will still require further optimization of models, data, and algorithms to enhance the stability performance and user experience of the platform.

3.5.3. Analysis of Platform Application Effects

We conducted a survey involving design engineers, development engineers, platform users, and non-users to collect feedback on the practicality, innovation, and user experience of the platform’s five modules. The survey utilized a scoring system ranging from 30 to 100, with five-point intervals (poor: 30–50; average: 50–70; good: 70–80; excellent: 90–100). Participants were requested to assign scores to each module individually.
By calculating the average effectiveness scores of each module, as depicted in Figure 22, the results indicate that the data visualization module and the 3D spatial analysis module are regarded as the most practical. These two modules, compared to traditional 2D and 3D design methods, play a vital role in 3D data visualization, route design optimization, and land utilization during the highway design phase. The traffic organization simulation analysis module was rated as the most innovative. This module integrates route planning, 3D scenarios, traffic facility configuration, and driver visibility, leveraging the robust rendering and computing capabilities of Unreal Engine to conduct real-time traffic flow simulation and prediction, offering more scientific, intuitive, and efficient traffic management solutions.
Furthermore, we studied the two modules deemed to have the poorest user experience: the component information query and the scene switching modules. Users indicated that these modules had insufficient component attribute information, were cumbersome to operate, and lacked intelligent search and autocomplete functions. To address these issues, we plan to simplify the user interface and add intelligent search and autocomplete features to enhance the user experience.

3.6. Analysis of Platform Advantages and Limitations

3.6.1. Advantages

Recent research literature indicates [63,64,65,66] that infrastructure digitization research is still in the phase of integrating technologies such as BIM, GIS, VR, and Unreal Engine to develop visualization platforms. The digital sandbox platform developed in this study integrates BIM and GIS with Unreal Engine development technology, achieving integrated management and digital archiving of various data in the highway survey and design stages. This integration overcomes the issues of data isolation and difficulty in sharing inherent in traditional methods. Based on the results of the case studies, the main advantages of the platform can be summarized as follows:
(1) Compared to traditional 2D and 3D design methods, the digital sandbox provides a platform for data integration, information sharing, route optimization, and visualization for multi-disciplinary highway design teams. It significantly improves upon the issues of information isolation, inefficiency, and paper-based data archiving inherent in traditional highway survey and design processes, thereby enhancing overall work efficiency and decision-making quality.
(2) The data visualization module is integrated into the digital sandbox platform, which means that this module can effectively integrate and archive survey and design data. Multiple users can directly access the data on the platform, enhancing team collaboration and information sharing, thereby reducing the overall project design time.
(3) The 3D spatial analysis module within the digital sandbox platform allows for multi-dimensional analysis and verification of design routes. Users can quickly identify potential issues and make adjustments, improving decision accuracy, reducing overall design costs, and saving on land use.
(4) The traffic organization simulation analysis module features 3D visualization capabilities, allowing for an intuitive and vivid display of the driver’s view and the effects of traffic organization plans. This is particularly valuable for examining the rationality of layout in highway merging and diverging areas.

3.6.2. Limitations

During the integration of platform base data and module development, we also identified certain limitations of the platform:
(1) The effectiveness of the digital sandbox platform largely depends on the accuracy of the underlying data. If the underlying data contains errors or is incomplete, it may affect the accuracy and reliability of the simulation and analysis results.
(2) The digital sandbox platform, based on Unreal Engine’s rendering capabilities and physics engine, may face high hardware requirements and increased costs in practical applications. These factors limit its widespread adoption in small- to medium-sized projects with limited resources.
(3) The platform modules currently serve primarily the design phase and rely on existing digital base models and data. They do not capture and process real-time data on traffic flow or vehicle operating status, thus failing to reflect the dynamic changes in highways over different stages. Without real-time dynamic data, the platform’s application throughout the entire lifecycle of highways will be limited. This will be a key area for future optimization of the platform.

4. Discussion

Compared to existing research results [31,32,63], this paper proposes a novel digital sandbox platform framework that effectively addresses the challenge of different forms of interaction between users and real scene models and data. The integration of management and visual interaction of various data in the highway survey and design phase is realized by integrating BIM model and GIS 3D multi-scale scene model data, and a digitally immersive sandbox platform with integrated data and realistic scenes was developed by using Unreal Engine.
(1) Currently, integrating and managing diverse data sources within the digital base model presents a significant challenge. While this study achieved BIM and GIS model data integration in Microstation software through unified coordinate systems and attributes, subtle deviations in coordinates and attributes may exist. Moreover, discrepancies in the quality, representation, and format of data from various sources further complicate data integration and processing. When utilizing third-party platforms for BIM and GIS model data integration, more research should prioritize the essence of the models, focusing on interoperability, conversion processes, and detailed information handling. Additionally, the development of a standardized and automated integration platform for multi-source data is essential to ensure consistency and interoperability between the models, enabling precise model matching automatically. Simultaneously, efforts should ensure the accuracy and diversity of the original data from both models, preparing for future research on bidirectional data transformation between them.
(2) The digital sandbox platform framework proposed in this study was effectively applied to data integration management, information sharing, and design optimization in the highway survey and design process. However, the current platform primarily focuses on the survey and design phase of highway construction, limiting its application throughout the entire highway lifecycle. To broaden and deepen the platform’s utility, future efforts should expand its functionality to encompass comprehensive process management from planning and design to construction and operation maintenance. To achieve this, we plan to integrate intelligent algorithms and Internet of Things (IoT) technology to enhance the platform’s data analysis and prediction capabilities. Moreover, the development of traffic flow prediction, accident warning, and emergency response models based on big data and machine learning will enhance highway management’s predictability and responsiveness. These enhancements will drive the widespread adoption of digital technology in transportation infrastructure management, fostering intelligent and efficient lifecycle management.

5. Conclusions

In this paper, the issues of information isolation, inefficiency, and data clutter in traditional highway survey and design methods have been addressed. First, a digital sandbox platform framework was designed to integrate the business logic, data organization, and digital base models, realizing the integration of data management and visualization interaction by adopting Unreal Engine, BIM, and GIS technologies. Next, a novel digital sandbox platform was developed to offer the optimization solutions of route design and enhance the result display capabilities by utilizing the integration of BIM and GIS technologies. Additionally, the AHP was employed to analyze the impact of the digital base model on the development and application of platform modules, aiding developers in identifying key influence factors. Finally, the Guangxi highway project as a typical case was provided, and the effectiveness and superiority of the developed digital sandbox platform was demonstrated through the research results.
Future research will focus on the following areas: first, optimizing the system architecture to reduce hardware and maintenance costs while enhancing the platform’s scalability and accessibility. Second, further investigating lightweight processing techniques for multidisciplinary BIM models and GIS 3D multi-scale scene models to achieve smooth loading and rich geometric semantics of the digital base model. Additionally, we will explore the integration of artificial intelligence, IoT, and big data processing technologies to further enhance the application value and practical effectiveness of the Unreal Engine-based digital sandbox platform in highway data management.

Author Contributions

Conceptualization, H.L. and G.Y.; methodology, G.W. and J.S.; software, C.M. and X.H.; validation, G.W.; investigation, J.S.; writing—original draft preparation, C.M.; writing—review and editing, H.L.; visualization, G.Y. All authors have read and agreed to the published version of the manuscript.

Funding

This paper was supported by the Innovation and Development Joint Project of Natural Science Foundation of Chongqing, China (No. CSTB2023NSCQ-LZX0077); the Joint Training Base Construction Project for Graduate Students in Chongqing (No. JDLHPYJD2020004); the Team Building Project for Graduate Tutors in Chongqing (No. JDDSTD2022003); and the Chongqing Graduate Research Innovation Project (No. CYB23244).

Data Availability Statement

For inquiries related to the availability of the original data, please contact the corresponding author.

Conflicts of Interest

Author Huabing Lv was employed by the company Guangxi Xinfazhan Communications Group Co., Ltd. Authors Guoqiang Wu, Jianping Song and Chunhua Mo were employed by the company Guangxi Transportation Science and Technology Group Co., Ltd. The remaining authors declare that the research was conducted in the absence of any commercial or financial relationships that could be construed as a potential conflict of interest.

References

  1. Zhao, L.; Wang, Q.E.; Hwang, B. How to Promote Urban Intelligent Transportation: A Fuzzy Cognitive Map Study. Front. Neurosci. 2022, 16, 919914. [Google Scholar] [CrossRef] [PubMed]
  2. Liu, L.; Zhang, M.; Xu, T. A Conceptual Framework and Implementation Tool for Land Use Planning for Corridor Transit Oriented Development. Cities 2020, 107, 102939. [Google Scholar] [CrossRef]
  3. Yan, W.Y.; Morsy, S.; Shaker, A.; Tulloch, M. Automatic Extraction of Highway Light Poles and Towers from Mobile LiDAR Data. Opt. Laser Technol. 2016, 77, 162–168. [Google Scholar] [CrossRef]
  4. Chen, L.; Shi, P.; Tang, Q.; Liu, W.; Wu, Q. Development and Application of a Specification-compliant Highway Tunnel Facility Management System Based on BIM. Tunn. Undergr. Space Technol. 2020, 97, 103262. [Google Scholar] [CrossRef]
  5. Zhao, L.; Liu, Z.; Mbachu, J. Highway Alignment Optimization: An Integrated BIM and GIS Approach. ISPRS Int. J. Geo-Inf. 2019, 8, 172. [Google Scholar] [CrossRef]
  6. Chen, S.H.; Hu, J.P.; Ding, J.M. 3D Animation Applications in Highway Design. Adv. Mater. Res. 2012, 341, 878–882. [Google Scholar] [CrossRef]
  7. Tang, F.; Ma, T.; Zhang, J.; Guan, Y.; Chen, L. Integrating Three-dimensional Road Design and Pavement Structure Analysis Based on BIM. Autom. Constr. 2020, 113, 103152. [Google Scholar] [CrossRef]
  8. Jiang, F.; Ma, L.; Broyd, T.; Chen, W.; Luo, H. Building Digital Twins of Existing Highways Using Map Data Based on Engineering Expertise. Autom. Constr. 2022, 134, 104081. [Google Scholar] [CrossRef]
  9. Olawumi, T.O.; Chan, D.W.M. Building Information Modelling and Project Information Management Framework for Construction Projects. J. Civ. Eng. Manag. 2019, 25, 53–75. [Google Scholar] [CrossRef]
  10. Jian-wei, W.; Chao, G.; Shi, D.; Sheng, X.U.; Chang-wei, Y.; Chi, Z.; Ze-bin, H.; Shan-shan, B.U.; Qing, C.; Yue, W. Current Status and Future Prospects of Existing Research on Digitalization of Highway Infrastructure. China J. Highw. Transp. 2020, 33, 101. [Google Scholar]
  11. Costin, A.; Adibfar, A.; Hu, H.; Chen, S.S. Building Information Modelling (BIM) for Transportation Infrastructure-Literature Review, Application, Challenges, and Recommendations. Autom. Constr. 2018, 94, 257–281. [Google Scholar] [CrossRef]
  12. Gao, C.; Wang, J.; Dong, S.; Liu, Z.; Cui, Z.; Ma, N.; Zhao, X. Application of Digital Twins and Building Information Modeling in the Digitization of Transportation: A Bibliometric Review. Appl. Sci. 2022, 12, 11203. [Google Scholar] [CrossRef]
  13. Lozano-Ramírez, N.E.; Sánchez, O.; Carrasco-Beltrán, D.; Vidal-Méndez, S.; Castañeda, K. Digitalization and Sustainability in Linear Projects Trends: A Bibliometric Analysis. Sustainability 2023, 15, 15962. [Google Scholar] [CrossRef]
  14. Qi, B.; Razkenari, M.; Costin, A.; Kibert, C.; Fu, M. A Systematic Review of Emerging Technologies in Industrialized Construction. J. Build. Eng. 2021, 39, 102265. [Google Scholar] [CrossRef]
  15. Chen, S.-Y.; Zhang, J.-X.; Ni, Q.-C.; Skitmore, M.; Ballesteros-Perez, P.; Ke, Y.-J.; Zuo, J.; Sun, H.-J. Data-Driven Platform Framework for Digital Whole-Process Expressway Construction Management. Front. Neurosci. 2022, 16, 891772. [Google Scholar] [CrossRef] [PubMed]
  16. Singh, R.; Sharma, R.; Akram, S.V.; Gehlot, A.; Buddhi, D.; Malik, P.K.; Arya, R. Highway 4.0: Digitalization of Highways for Vulnerable Road Safety Development with Intelligent IoT Sensors and Machine Learning. Saf. Sci. 2021, 143, 105407. [Google Scholar] [CrossRef]
  17. Zhao, Y.; Zhong, R.; Cui, L. Intelligent Recognition of Spacecraft Components from Photorealistic Images Based on Unreal Engine 4. Adv. Space Res. 2023, 71, 3761–3774. [Google Scholar] [CrossRef]
  18. Hack, N.; Dörfler, K.; Walzer, A.N.; Wangler, T.; Mata-Falcón, J.; Kumar, N.; Buchli, J.; Kaufmann, W.; Flatt, R.J.; Gramazio, F.; et al. Structural Stay-in-place Formwork for Robotic in Situ Fabrication of Non-standard Concrete Structures: A Real Scale Architectural Demonstrator. Autom. Constr. 2020, 115, 103197. [Google Scholar] [CrossRef]
  19. Cavalcanti, J.; Valls, V.; Contero, M.; Fonseca, D. Gamification and Hazard Communication in Virtual Reality: A Qualitative Study. Sensors 2021, 21, 4663. [Google Scholar] [CrossRef]
  20. Zhang, X.; Liu, J.; Chen, Q.; Song, H.; Zhan, Q.; Lu, J. A 3D Virtual Weft-knitting Engineering Learning System Based on Unreal Engine 4. Comput. Appl. Eng. Educ. 2018, 26, 2223–2236. [Google Scholar] [CrossRef]
  21. Hruby, F.; Ressl, R.; de la Borbolla Del Valle, G. Geovisualization with Immersive Virtual Environments in Theory and Practice. Int. J. Digit. Earth 2019, 12, 123–136. [Google Scholar] [CrossRef]
  22. Huo, Y.; Yang, A.; Jia, Q.; Chen, Y.; He, B.; Li, J. Efficient Visualization of Large-Scale Oblique Photogrammetry Models in Unreal Engine. ISPRS Int. J. Geo-Inf. 2021, 10, 643. [Google Scholar] [CrossRef]
  23. Luo, H.; He, B.; Guo, R.; Wang, W.; Kuai, X.; Xia, B.; Wan, Y.; Ma, D.; Xie, L. Urban Building Extraction and Modeling Using GF-7 DLC and MUX Images. Remote Sens. 2021, 13, 3414. [Google Scholar] [CrossRef]
  24. Michalík, D.; Jirgl, M.; Arm, J.; Fiedler, P. Developing an Unreal Engine 4-Based Vehicle Driving Simulator Applicable in Driver Behavior Analysis—A Technical Perspective. Safety 2021, 7, 25. [Google Scholar] [CrossRef]
  25. Tan, Y.; Liang, Y.; Zhu, J. CityGML in the Integration of BIM and the GIS: Challenges and Opportunities. Buildings 2023, 13, 1758. [Google Scholar] [CrossRef]
  26. Darko, A.; Chan, A.P.C.; Yang, Y.; Tetteh, M.O. Building Information Modeling (BIM)-Based Modular Integrated Construction Risk Management: A Critical Survey and Future Needs. Comput. Ind. 2020, 123, 103327. [Google Scholar] [CrossRef]
  27. Wan, C.; Zhou, Z.; Li, S.; Ding, Y.; Xu, Z.; Yang, Z.; Xia, Y.; Yin, F. Development of a Bridge Management System Based on the Building Information Modeling Technology. Sustainability 2019, 11, 4583. [Google Scholar] [CrossRef]
  28. Wang, H.; Pan, Y.; Luo, X. Integration of BIM and GIS in Sustainable Built Environment: A Review and Bibliometric Analysis. Autom. Constr. 2019, 103, 41–52. [Google Scholar] [CrossRef]
  29. Liu, Y.; Lin, H.; Zhao, Z.; Bai, W.; Hu, N. Research on the Visualization of Railway Signal Operation and Maintenance Based on BIM + GIS. Sensors 2023, 23, 5984. [Google Scholar] [CrossRef]
  30. Cao, Y.; Xu, C.; Aziz, N.M.; Kamaruzzaman, S.N. BIM–GIS Integrated Utilization in Urban Disaster Management: The Contributions, Challenges, and Future Directions. Remote Sens. 2023, 15, 1331. [Google Scholar] [CrossRef]
  31. Ma, Y.-P. Extending 3D-GIS District Models and BIM-Based Building Models into Computer Gaming Environment for Better Workflow of Cultural Heritage Conservation. Appl. Sci. 2021, 11, 2101. [Google Scholar] [CrossRef]
  32. Potseluyko, L.; Rahimian, F.P.; Dawood, N.; Elghaish, F.; Hajirasouli, A. Game-like Interactive Environment Using BIM-Based Virtual Reality for the Timber Frame Self-Build Housing Sector. Autom. Constr. 2022, 142, 104496. [Google Scholar] [CrossRef]
  33. Abbasi, S.; Noorzai, E. The BIM-Based Multi-Optimization Approach for Determining the Trade-Off between Embodied and Operational Energy: Focus on Renewable Energy Use. J. Clean. Prod. 2021, 281, 125359. [Google Scholar] [CrossRef]
  34. Li, S.; Zhang, Z.; Mei, G.; Lin, D.; Yu, J.; Qiu, R.; Su, X.; Lin, X.; Lou, C. Utilization of BIM in the Construction of a Submarine Tunnel: A Case Study in Xiamen City, China. J. Civ. Eng. Manag. 2021, 27, 14–26. [Google Scholar] [CrossRef]
  35. Hegemann, F.; Stascheit, J.; Maidl, U. As-Built Documentation of Segmental Lining Rings in the BIM Representation of Tunnels. Tunn. Undergr. Space Technol. 2020, 106, 103582. [Google Scholar] [CrossRef]
  36. Fabozzi, S.; Biancardo, S.A.; Veropalumbo, R.; Bilotta, E. I-Bim Based Approach for Geotechnical and Numerical Modelling of a Conventional Tunnel Excavation. Tunn. Undergr. Space Technol. 2021, 108, 103723. [Google Scholar] [CrossRef]
  37. Song, Z.; Shi, G.; Wang, J.; Wei, H.; Wang, T.; Zhou, G. Research on Management and Application of Tunnel Engineering Based on BIM Technology. J. Civ. Eng. Manag. 2019, 25, 785–797. [Google Scholar] [CrossRef]
  38. Li, M.; Kang, J.; Liu, H.; Li, Z.; Liu, X.; Zhu, Q.; Xiao, B. Study on Parametric 3D Modeling Technology of Mine Roadway Based on BIM and GIS. Coal Sci. Technol. 2022, 50, 25–35. [Google Scholar]
  39. Elijah, O.O.; Oluwasuji, D.J. An Evaluation of Training Needs of the Nigerian Construction Professionals in Adopting Building Information Modelling. J. Constr. Dev. Ctries. 2019, 24, 63–81. [Google Scholar] [CrossRef]
  40. Zeng, S.; Li, C.; Zhang, X. Application of BIM Technology in the Construction Management of a Metro Station. Mod. Tunn. Technol. 2018, 55, 18–27. [Google Scholar]
  41. Liu, Z.; Gu, X.; Dong, Q.; Tu, S.; Li, S. 3D Visualization of Airport Pavement Quality Based on BIM and WebGL Integration. J. Transp. Eng. Part B Pavements 2021, 147, 04021024. [Google Scholar] [CrossRef]
  42. Palmer, J.F. The contribution of a GIS-based landscape assessment model to a scientifically rigorous approach to visual impact assessment. Landsc. Urban Plan. 2019, 189, 80–90. [Google Scholar] [CrossRef]
  43. Fu, X.; Ding, H.; Sheng, Q.; Chen, J.; Chen, H.; Li, G.; Fang, L.; Du, W. Reproduction Method of Rockfall Geologic Hazards Based on Oblique Photography and Three-Dimensional Discontinuous Deformation Analysis. Front. Earth Sci. 2021, 9, 755876. [Google Scholar] [CrossRef]
  44. Song, Y.; Wang, X.; Tan, Y.; Wu, P.; Sutrisna, M.; Cheng, J.C.P.; Hampson, K. Trends and Opportunities of BIM-GIS Integration in the Architecture, Engineering and Construction Industry: A Review from a Spatio-Temporal Statistical Perspective. ISPRS Int. J. Geo-Inf. 2017, 6, 397. [Google Scholar] [CrossRef]
  45. Karan, E.P.; Irizarry, J. Extending BIM interoperability to preconstruction operations using geospatial analyses and semantic web services. Autom. Constr. 2015, 53, 1–12. [Google Scholar] [CrossRef]
  46. Jiang, S.; Jiang, L.; Han, Y.; Wu, Z.; Wang, N. OpenBIM: An Enabling Solution for Information Interoperability. Appl. Sci. 2019, 9, 5358. [Google Scholar] [CrossRef]
  47. Ma, Z.; Ren, Y. Integrated Application of BIM and GIS: An Overview. Procedia Eng. 2017, 196, 1072–1079. [Google Scholar] [CrossRef]
  48. Zhu, J.; Chong, H.-Y.; Zhao, H.; Wu, J.; Tan, Y.; Xu, H. The Application of Graph in BIM/GIS Integration. Buildings 2022, 12, 2162. [Google Scholar] [CrossRef]
  49. Song, C.; Shin, S.-Y.; Shin, K.-S. Exploring the Key Characteristics and Theoretical Framework for Research on the Metaverse. Appl. Sci. 2023, 13, 7628. [Google Scholar] [CrossRef]
  50. Buyukdemircioglu, M.; Kocaman, S. Reconstruction and Efficient Visualization of Heterogeneous 3D City Models. Remote Sens. 2020, 12, 2128. [Google Scholar] [CrossRef]
  51. Laksono, D.; Aditya, T. Utilizing A Game Engine for Interactive 3D Topographic Data Visualization. ISPRS Int. J. Geo-Inf. 2019, 8, 361. [Google Scholar] [CrossRef]
  52. Xin, Y.-L.; Ge, G.-P.; Du, W.; Wu, H.; Zhao, Y. Design of an Optical Physics Virtual Simulation System Based on Unreal Engine 5. Appl. Sci. 2024, 14, 955. [Google Scholar] [CrossRef]
  53. EI-Wajeh, Y.A.; Hatton, P.V.; Lee, N.J. Unreal Engine 5 and Immersive Surgical Training: Translating Advances in Gaming Technology into Extended-Reality Surgical Simulation Training Programmes. Br. J. Surg. 2022, 109, 470–471. [Google Scholar] [CrossRef] [PubMed]
  54. Rasmussen, I.; Kvalsvik, S.; Andersen, P.-A.; Aune, T.N.; Hagen, D. Development of a Novel Object Detection System Based on Synthetic Data Generated from Unreal Game Engine. Appl. Sci. 2022, 12, 8534. [Google Scholar] [CrossRef]
  55. Alfalah, G.; Alasaibia, A.; Alshamrani, O.; Al-Sakkaf, A. A Holistic Framework for Assessing the Quality of Building Construction in Saudi Arabia. Buildings 2023, 13, 1666. [Google Scholar] [CrossRef]
  56. Sun, B.; Zhang, X.; Yao, X.; Huang, B. Multi-Platform Image Modeling Fusion Processing Method for Areas with Large Height Differences and Difficult Areas. Remote Sens. Inf. 2021, 36, 54–58. [Google Scholar]
  57. Park, S.M. Tall Building form Generation by Parametric Design Process. Ph.D. Thesis, Illinois Institute of Technology, Ann Arbor, CA, USA, 2005. [Google Scholar]
  58. Klapa, P.; Mitka, B.; Zygmunt, M. Application of Integrated Photogrammetric and Terrestrial Laser Scanning Data to Cultural Heritage Surveying. IOP Conf. Ser. Earth Environ. Sci. 2017, 95, 032007. [Google Scholar] [CrossRef]
  59. Liu, A.H.; Ellul, C.; Swiderska, M. Decision Making in the 4th Dimension—Exploring Use Cases and Technical Options for the Integration of 4D BIM and GIS during Construction. ISPRS Int. J. Geo-Inf. 2021, 10, 203. [Google Scholar] [CrossRef]
  60. Liu, J.; Dai, Z.; An, Y.; Liang, T. Highway Construction Progress Monitoring Method Combining Oblique Photography and BIM Technology. J. Shandong Univ. Sci. Technol. (Nat. Sci.) 2023, 42, 35–43. [Google Scholar]
  61. Jaud, Š.; Donauber, A.; Heunecke, O.; Borrmann, A. Georeferencing in the Context of Building Information Modelling. Autom. Constr. 2020, 118, 103211. [Google Scholar] [CrossRef]
  62. Rantanen, T.; Julin, A.; Virtanen, J.-P.; Hyyppä, H.; Vaaja, M.T. Open Geospatial Data Integration in Game Engine for Urban Digital Twin Applications. ISPRS Int. J. Geo-Inf. 2023, 12, 310. [Google Scholar] [CrossRef]
  63. Hao, Z.; Zhang, W.; Zhao, Y. Integrated BIM and VR to Implement IPD Mode in Transportation Infrastructure Projects: System Design and Case Application. PLoS ONE 2021, 11, e0259046. [Google Scholar] [CrossRef] [PubMed]
  64. Belaroussi, R.; Dai, H.; González, E.D.; Gutiérrez, J.M. Designing a Large-Scale Immersive Visit in Architecture, Engineering, and Construction. Appl. Sci. 2023, 13, 3044. [Google Scholar] [CrossRef]
  65. Panya, D.S.; Kim, T.; Choo, S. An Interactive Design Change Methodology Using a BIM-based Virtual Reality and Augmented Reality. J. Build. Eng. 2023, 68, 106030. [Google Scholar] [CrossRef]
  66. Wang, X.; Wang, J.; Zhang, Y. Research on 3D Visualization of Real Scene in Subway Engineering Based on 3D Model. Buildings 2023, 13, 2317. [Google Scholar] [CrossRef]
Figure 1. The research roadmap for this paper.
Figure 1. The research roadmap for this paper.
Buildings 14 01961 g001
Figure 2. BIM application in the lifecycle.
Figure 2. BIM application in the lifecycle.
Buildings 14 01961 g002
Figure 3. GIS 3D multi-scale scene model.
Figure 3. GIS 3D multi-scale scene model.
Buildings 14 01961 g003
Figure 4. BIM and GIS model data integration.
Figure 4. BIM and GIS model data integration.
Buildings 14 01961 g004
Figure 5. Design of platform functional modules.
Figure 5. Design of platform functional modules.
Buildings 14 01961 g005
Figure 6. Hierarchy structure model.
Figure 6. Hierarchy structure model.
Buildings 14 01961 g006
Figure 7. (a) Judgment matrix among five indicators. (b) Judgment matrix among factors of the data visualization module. (c) Judgment matrix among factors of the traffic organization simulation analysis module. (d) Judgment matrix among factors of the 3D spatial analysis module. (e) Judgment matrix among factors of the component information query module. (f) Judgment matrix among factors of the scene switching module.
Figure 7. (a) Judgment matrix among five indicators. (b) Judgment matrix among factors of the data visualization module. (c) Judgment matrix among factors of the traffic organization simulation analysis module. (d) Judgment matrix among factors of the 3D spatial analysis module. (e) Judgment matrix among factors of the component information query module. (f) Judgment matrix among factors of the scene switching module.
Buildings 14 01961 g007
Figure 8. Combined weights of indicators for assessing the effectiveness of the platform’s functional modules from the digital base model.
Figure 8. Combined weights of indicators for assessing the effectiveness of the platform’s functional modules from the digital base model.
Buildings 14 01961 g008
Figure 9. GIS 3D multi-scale scene model construction process.
Figure 9. GIS 3D multi-scale scene model construction process.
Buildings 14 01961 g009
Figure 10. Absolute error magnitude in the X , Y , and Z directions.
Figure 10. Absolute error magnitude in the X , Y , and Z directions.
Buildings 14 01961 g010
Figure 11. Overall BIM modeling process for the highway.
Figure 11. Overall BIM modeling process for the highway.
Buildings 14 01961 g011
Figure 12. Digital base model.
Figure 12. Digital base model.
Buildings 14 01961 g012
Figure 13. Georeferencing plugin parameters.
Figure 13. Georeferencing plugin parameters.
Buildings 14 01961 g013
Figure 14. Data visualization module—land use visualization.
Figure 14. Data visualization module—land use visualization.
Buildings 14 01961 g014
Figure 15. Simulation analysis traffic organization in the merging area.
Figure 15. Simulation analysis traffic organization in the merging area.
Buildings 14 01961 g015
Figure 16. Optimization of route schemes.
Figure 16. Optimization of route schemes.
Buildings 14 01961 g016
Figure 17. Measurement analysis.
Figure 17. Measurement analysis.
Buildings 14 01961 g017
Figure 18. Section analysis.
Figure 18. Section analysis.
Buildings 14 01961 g018
Figure 19. Component information query.
Figure 19. Component information query.
Buildings 14 01961 g019
Figure 20. Scene switching module—switching with 3D location icons.
Figure 20. Scene switching module—switching with 3D location icons.
Buildings 14 01961 g020
Figure 21. Stability performance test results of platform modules.
Figure 21. Stability performance test results of platform modules.
Buildings 14 01961 g021
Figure 22. Application performance test results of platform modules.
Figure 22. Application performance test results of platform modules.
Buildings 14 01961 g022
Table 1. Comparison of the four major platforms of mainstream software.
Table 1. Comparison of the four major platforms of mainstream software.
PlatformSoftware
Name
Application
Fields
AdvantagesDisadvantages
AutodeskRevit
(2020 version)
Architectural
Structural
Electromechanical
1. Large user base;
2. Rich secondary development;
3. Strong parameterization capability.
1. Lack of harmonization of data formats;
2. Poor data interactivity;
3. Poor carrying capacity of large-volume models.
Civil3D
(2022 version)
Topography
Surveys
Roads
BentleyOpenRoads
Designer
(10.16 version)
Surveys
Roads
Tunnels
1. Unified data format;
2. Powerful professional functions;
3. Strong carrying capacity of large-volume banding model;
4. Full life cycle platform.
1. Difficulty in secondary development;
2. Expensive software and training fees;
3. Few training materials.
OpenBridge
Modeler
(10.10 version)
Bridge
Microstation
(2023 version)
Transport
Architecture
DassaultCATIA
(V5-6R2021 version)
Mechanical
Architecture
Aerospace
1. Strong model modification capability;
2. Strong parameterization capability;
3. Strong platform optimization.
1. Inefficient modelling;
2. Expensive software;
3. Complicated operation.
Solidworks
(2022 version)
Mechanical
Architecture
GraphisoftArchiCAD
(27.1.2 version)
Architecture1. Strong collaboration;
2. Easy model change management;
3. Strong parametric design function.
1. Relatively small user base;
2. Relatively narrow application scope;
3. Insufficient plugin ecology.
Table 2. Quantitative scale of effect evaluation factors of platform function.
Table 2. Quantitative scale of effect evaluation factors of platform function.
ScaleHidden Meaning
1Equally important
3The former is slightly more important than the latter
5The former is clearly more important than the latter
7The former is more important than the latter
9The former is more strongly important than the latter
2, 4, 6, 8Intermediate values of the above adjacent judgements
Countdown from 1 to 9Indicates the importance of comparing the order of exchange of the corresponding two factors
Table 3. Indicator weights for the evaluation of impact factors for each module of the platform.
Table 3. Indicator weights for the evaluation of impact factors for each module of the platform.
Objective LevelLevel 1 Impact FactorsWeightsLevel 2 Impact FactorsWeights
Function point influences (Z)Data visualization module
(B1)
0.284Data accuracy (C1)0.448
Data representation (C2)0.272
Multi-source data fusibility (C3)0.153
Data management capabilities (C4)0.086
Scenario semantic representation (C5)0.041
Traffic organization
simulation analysis module (B2)
0.152Data accuracy (C1)0.415
Data representation (C2)0.252
Multi-source data fusibility (C3)0.168
Data management capabilities (C4)0.104
Scenario semantic representation (C5)0.061
3D spatial analysis module (B3)0.448Data accuracy (C1)0.411
Data representation (C2)0.262
Multi-source data fusibility (C3)0.190
Data management capabilities (C4)0.079
Scenario semantic representation (C5)0.058
Component information query module (B4)0.074Data accuracy (C1)0.402
Data representation (C2)0.145
Multi-source data fusibility (C3)0.285
Data management capabilities (C4)0.094
Scenario semantic representation (C5)0.074
Scene switching module (B5)0.043Data accuracy (C1)0.446
Data representation (C2)0.270
Multi-source data fusibility (C3)0.155
Data management capabilities (C4)0.081
Scenario semantic representation (C5)0.047
Table 4. Average random consistency indicator RI values.
Table 4. Average random consistency indicator RI values.
nRI
10
20
30.58
40.90
51.12
61.24
71.32
81.41
91.45
Table 5. Numerical values of indicators and consistency test results for each judgment matrix.
Table 5. Numerical values of indicators and consistency test results for each judgment matrix.
NormZB1B2B3B4B5
λ max 5.1425.0455.2265.2395.3305.136
CI0.0350.0110.0560.0600.0830.034
RI1.121.121.121.121.121.12
CR0.0320.0100.0500.0530.0740.030
Table 6. Results of error calculation.
Table 6. Results of error calculation.
TypologyPlane ErrorElevation Error
X Y μ s μ h
Scene model accuracy0.2280.2190.3160.207
1:1000 limit0.6000.6000.6000.260
Disclaimer/Publisher’s Note: The statements, opinions and data contained in all publications are solely those of the individual author(s) and contributor(s) and not of MDPI and/or the editor(s). MDPI and/or the editor(s) disclaim responsibility for any injury to people or property resulting from any ideas, methods, instructions or products referred to in the content.

Share and Cite

MDPI and ACS Style

Lv, H.; Wu, G.; Song, J.; Mo, C.; Yao, G.; He, X. Data Management Framework for Highways: An Unreal Engine-Based Digital Sandbox Platform. Buildings 2024, 14, 1961. https://doi.org/10.3390/buildings14071961

AMA Style

Lv H, Wu G, Song J, Mo C, Yao G, He X. Data Management Framework for Highways: An Unreal Engine-Based Digital Sandbox Platform. Buildings. 2024; 14(7):1961. https://doi.org/10.3390/buildings14071961

Chicago/Turabian Style

Lv, Huabing, Guoqiang Wu, Jianping Song, Chunhua Mo, Guowen Yao, and Xuanbo He. 2024. "Data Management Framework for Highways: An Unreal Engine-Based Digital Sandbox Platform" Buildings 14, no. 7: 1961. https://doi.org/10.3390/buildings14071961

APA Style

Lv, H., Wu, G., Song, J., Mo, C., Yao, G., & He, X. (2024). Data Management Framework for Highways: An Unreal Engine-Based Digital Sandbox Platform. Buildings, 14(7), 1961. https://doi.org/10.3390/buildings14071961

Note that from the first issue of 2016, this journal uses article numbers instead of page numbers. See further details here.

Article Metrics

Back to TopTop