Evaluation of Heating Time on Vacuum Preloading Treatment
Abstract
1. Introduction
2. Test Materials and Methods
3. Test Results and Analysis
3.1. Variation in Water Discharge
3.2. Pore Water Pressure Variation
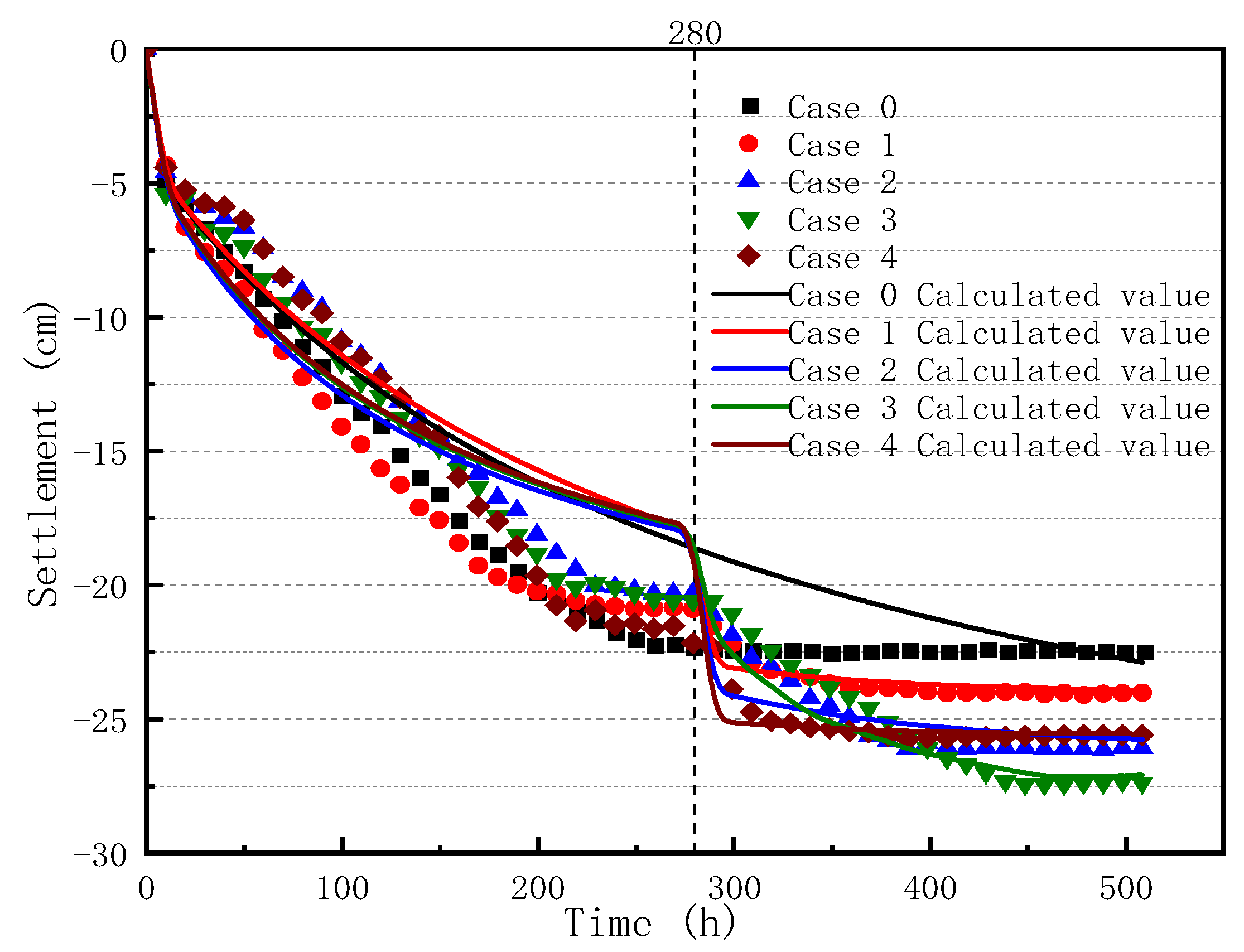
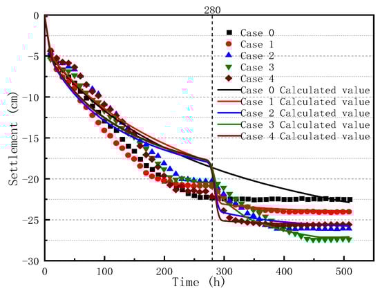
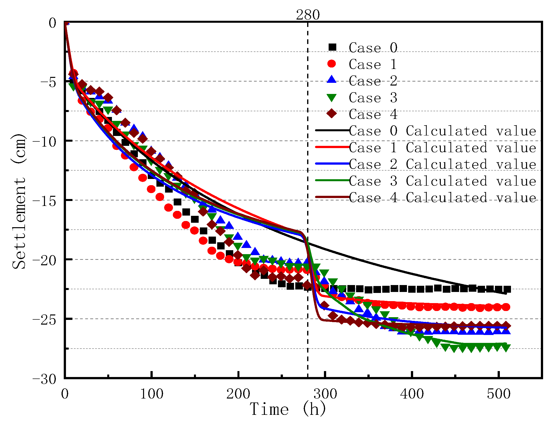
3.3. Settlement Change and Prediction
3.4. Water Content and Vane Shear Strength
4. Conclusions
- (1)
- The enhancement of the reinforcement effect is not proportional to the length of heating time—too long a heating time is not conducive to the enhancement of the reinforcement effect. Heating for 120 min and stopping for 60 min have the best effect, as the test results have a certain reference to further promote engineering waste mud reinforcement and relieve the clogging in engineering practice.
- (2)
- Compared with the conventional horizontal drainage board vacuum preloading method, vacuum preloading combined with the intermittent heating method leads to a better reinforcement effect of engineering waste mud. The test results show that the drainage volume of vacuum preloading combined with the intermittent heating method increased by 34.77% compared with the conventional vacuum preloading method; the average settlement volume increased by 22.07%; the water content decreased by 55.25%; the undrained vane shear strength increased by 279.1%.
- (3)
- Comparing the drainage consolidation effect of vacuum preloading combined with the intermittent heating method, under the same heating time ratio, vacuum preloading combined with the intermittent heating method improves the permeability of soil through the temperature effect of soil, which accelerates the reinforcement of engineering waste slurry.
Author Contributions
Funding
Data Availability Statement
Acknowledgments
Conflicts of Interest
References
- Bergado, D.T.; Balasubramaniam, A.S.; Jonathan Fannin, R.; Holtz, R.D. Prefabricated vertical drains (PVDs) in soft Bangkok clay: A case study of the new Bangkok International Airport project. Can. Geotech. J. 2002, 39, 304–315. [Google Scholar] [CrossRef]
- Bergado, D.T.; Jamsawang, P.; Jongpradist, P.; Likitlersuang, S.; Pantaeng, C.; Kovittayanun, N.; Baez, F. Case study and numerical simulation of PVD improved soft Bangkok clay with surcharge and vacuum preloading using a modified air-water separation system. Geotext. Geomembr. 2022, 50, 137–153. [Google Scholar] [CrossRef]
- Chen, Z.; Ni, P.; Mei, G.; Chen, Y. Semi-analytical solution for consolidation of ground with partially penetrating PVDs under the free-strain condition. J. Eng. Mech. 2021, 147, 04020148. [Google Scholar] [CrossRef]
- Zhang, X.; Wu, Y.; Lu, Y.; Chen, G.; Deng, Q.; Xu, Y.; Ye, P. Influence of prefabricated vertical drains spacing on FeCl3-vacuum consolidation of a landfill sludge. Soils Found. 2021, 61, 1630–1644. [Google Scholar] [CrossRef]
- Bao, S.F.; Lou, Y.; Dong, Z.L.; Mo, H.H.; Chen, P.S.; Zhou, R.B. Causes and countermeasures for vacuum consolidation failure of newly-dredged mud foundation. Chin. J. Geotech. Eng. 2014, 36, 1350–1359. (In Chinese) [Google Scholar] [CrossRef]
- Gue, S.S.; Tan, Y.C.; Liew, S.S.; Ng, H.B. Failure of an embankment treated with vacuum preloading method. In Proceedings of the 15th International Conference on Soils Mechanics and Geotechnical Engineering, Istanbul, Turkey, 27–31 August 2001; Volume 3, pp. 1749–1751. [Google Scholar]
- Lee, S.L.; Karunaratne, G.P.; Yong, K.Y.; Ganeshan, V. Layered clay-sand scheme of land reclamation. J. Geotech. Constr. 1987, 113, 984–995. [Google Scholar] [CrossRef]
- Chen, H.; Chu, J.; Guo, W.; Wu, S. Land reclamation using the horizontal drainage enhanced geotextile sheet method. Geotext. Geomembr. 2023, 50, 131–150. [Google Scholar] [CrossRef]
- Wang, J.; Wang, Y.J.; Liu, F.Y. Intermittent vacuum preloading combined with electro-osmotic reinforcement of blown soft soils. Chin. J. Highw. 2016, 29, 37–45. [Google Scholar]
- Liu, F.; Zhang, Z.; Wang, J.; Yuan, G.; Fu, H. Macro and microscopic analysis of graded vacuum preloading combined with intermittent electro-osmosis for reinforcement of dredged silt. J. Rock Mech. Eng. 2020, 39, 1893–1901. [Google Scholar]
- Wang, J.; Zhang, L.; Liu, F.; Fu, H. Experimental study of combined vacuum preloading-electrical infiltration method for strengthening soft clay foundations. J. Rock Mech. Eng. 2014, 33, 4181–4192. [Google Scholar]
- Wang, J.; Ma, J.; Liu, F.; Mi, W.; Cai, Y.; Fu, H.; Wang, P. Experimental study on the improvement of marine clay slurry by electroosmosis-vacuum preloading. Geotext. Geomembr. 2016, 44, 615–622. [Google Scholar] [CrossRef]
- Cui, Y.; Tu, J.; Wang, X.; Diao, H.; Ge, Q. Design method and verification of electroosmosis-vacuum preloading method for sand-interlayered soft foundation. Adv. Civilconstr. 2020, 2020, 1929842. [Google Scholar] [CrossRef]
- Liu, F.; Li, Z.; Yuan, G.; Wang, J. Experimental study of vacuum preloading combined with intermittent electro-osmotic reinforcement of dredged mud. J. Civ. Environ. Eng. 2021, 43, 1–9. (In English) [Google Scholar]
- Zeng, F.J.; Wei, H.X.; Wang, J.; Fu, H. Indoor model test of deep pressurized vacuum preloading method for soft ground foundation. Ind. Constr. 2014, 44, 90–94. [Google Scholar]
- Shi, L.; Hu, D.; Cai, Y.; Pan, D.; Sun, H. A preliminary investigation on the response and reinforcement mechanism of pressurized vacuum pre-pressurized blow-filled silt holes during compaction. Geotechnics 2020, 41, 185–193. [Google Scholar]
- Lei, H.; Hu, Y.; Zheng, G.; Liu, J.; Wang, L.; Liu, Y. Improved air-booster vacuum preloading method for newly dredged fills: Laboratory model study. Mar. Georesour. Geotechnol. 2020, 38, 493–510. [Google Scholar] [CrossRef]
- Feng, S.; Lei, H.; Lin, C. Analysis of ground deformation development and settlement prediction by air-boosted vacuum preloading. J. Rock Mech. Geotech. 2022, 14, 272–288. [Google Scholar] [CrossRef]
- Wang, M. Experimental Study of Air-Injected Pressurized Vacuum Preloading for Reinforcing Deep Blown Soils. Master’s Thesis, Tianjin University, Tianjin, China, 2019. [Google Scholar]
- Shen, Y.; Wang, H.; Tian, Y.; Feng, R.; Liu, J.; Wu, L. A new approach to improve soft ground in a railway station applying air-boosted vacuum preloading. Geotech. Test. J. 2015, 38, 373–386. [Google Scholar] [CrossRef]
- Shen, Y.; Liu, Y.; Geng, S.; Qi, Y.; Dong, S.; Xin, X.; Sun, J.; Zheng, H. Consolidation theory of homogeneous multilayer treatment by air-boosted vacuum preloading. Eur. J. Environ. Civ. Constr. 2022, 26, 5634–5652. [Google Scholar] [CrossRef]
- Liu, J. Indoor Model Experimental Study of Vacuum Preloading Combined with Power Compaction for Treatment of Blown Land Foundation. Ph.D. Thesis, Wenzhou University, Wenzhou, China, 2019. [Google Scholar]
- Liu, Y.L. Analysis of the effect of vacuum preloading combined with strong ramming method for treating soft ground foundation. Constr. Technol. 2016, 45, 102–106. [Google Scholar]
- He, T.-W. Vacuum preloading combined with strong ramming to strengthen deep blown land foundations. Surv. Sci. Technol. 2015, 4, 34–38. [Google Scholar]
- Wu, J.; Xuan, Y.; Deng, Y.; Li, X.; Zha, F.; Zhou, A. Combined vacuum and surcharge preloading method to improve Lianyungang soft marine clay for embankment widening project: A case. Geotext. Geomembr. 2021, 49, 452–465. [Google Scholar] [CrossRef]
- Ding, J.; Wan, X.; Zhang, C.; He, Z.; Zhao, L. Case study: Ground improvement of Yangtze river floodplain soils with combined vacuum and surcharge preloading method. Int. J. Geomech. 2019, 19, 05019008. [Google Scholar] [CrossRef]
- Xu, P.B.; Lu, S.Q.; Zhang, J.T. Research and application on laws of consolidation time calculate in saturated soft clay soil by using vacuum-surcharge combined preloading method. Adv. Mater. Res. 2012, 594, 42–45. [Google Scholar] [CrossRef]
- Zhang, W.B.; Yang, J.G.; Peng, J.; Lei, Q.; Liu, L. Experimental study on graded loading vacuum preloading reinforcement of blown flowing mud. J. Riverhead Univ. Nat. Sci. Ed. 2019, 47, 541–547. [Google Scholar]
- Shan, W.; Chen, H.; Yuan, X.; Ma, W.; Li, H. Mechanism of pore water seepage in soil reinforced by step vacuum preloading. Bull. Constr. Geol. Environ. 2021, 80, 2777–2787. [Google Scholar] [CrossRef]
- Xiong, Z.; Wang, M.; Yan, Q.; Wang, Y.; Wang, Y.; Zhu, X.; Li, Q.; Wang, Z. Model experimental study of conventional and graded vacuum preloading. Coast. Eng. 2018, 37, 43–49. [Google Scholar]
- Daraei, A.; Sherwani, A.F.H.; Faraj, R.H.; Mohammad, S.; Kurdo, S.; Zare, S.; Mahmoodzadeh, A. Stabilization of problematic soil by utilizing cementitious materials. Innov. Infrastruct. Solut. 2019, 4, 33. [Google Scholar] [CrossRef]
- Daraei, A.; Herki, B.M.; Sherwani, A.F.; Zare, S. Slope Stability in Swelling Soils Using Cement Grout: A Case Study. Int. J. Geosynth. Ground Eng. 2018, 4, 10. [Google Scholar] [CrossRef]
- Abuel-Naga, H.M.; Bergado, D.T.; Chaiprakaikeow, S. Innovative thermal technique for enhancing the performance of prefabricated vertical drain during the preloading process. Geotext. Geomembr. 2006, 24, 359–370. [Google Scholar] [CrossRef]
- Tao, H.-B.; Liu, G.-B.; Xie, K.-H.; Deng, Y.-B.; Yin, T.-F. Thermal drainage consolidation principal structure model for vertical shaft foundations and experimental validation. J. Geotech. Eng. 2015, 37, 1077–1085. [Google Scholar]
- Liu, G.; Fan, G.; Tao, H.; Yin, T.; Deng, Y. Experiments on thermal drainage consolidation model for vertical shaft foundations. J. Cent. South Univ. Nat. Sci. Ed. 2017, 48, 448–456. [Google Scholar]
- Artidteang, S.; Bergado, D.T.; Saowapakpiboon, J.; Teerachaikulpanich, N.; Kumar, A. Enhancement of efficiency of prefabricated vertical drains using surcharge, vacuum and heat preloading. Geosynth. Int. 2011, 18, 35–47. [Google Scholar] [CrossRef]
- Deng, Y.; Chen, F.; Liu, Q.; Wang, T.; Liu, G. Development of temperature-controlled soft ground model test device and its application. Waterw. Port 2018, 39, 223–229. [Google Scholar]
- Gong, Y.J. Experimental Study on Reinforcement Construction Waste Mud by Vacuum Preloading Combined with Intermittent Heating. Bachelor’s Thesis, Wenzhou University, Wenzhou, China, 2023. (In Chinese). [Google Scholar]
- Lei, H.; Liu, A.; Liu, J.; Li, C. Analysis of factors influencing the effect of alternating vacuum preloading method for reinforcement of ultra-soft ground foundation. J. Rock Mech. Eng. 2022, 41, 377–388. [Google Scholar]
- Chai, J.C.; Wang, J.; Ding, W.; Qiao, Y. Method for calculating horizontal drain induced non-linear and large strain degree of consolidation. Geotext. Geomembr. 2022, 50, 231–237. [Google Scholar] [CrossRef]








| Physical Properties | Value | |
|---|---|---|
| 2.52 | ||
| Water content, w (%) | 190.2 | |
| (%) | 43.1 | |
| (%) | 25.7 | |
| Density, d (g/cm3) | 1.34 | |
| 4.68 | ||
| 0 | ||
| Particle size distribution | <0.002 mm(%) | 26.83 |
| 0.05 mm (%) | 56.71 | |
| 2 mm (%) | 16.46 | |
| Group | Heating Time | Stopping Heating Time | Starting Heating Time |
|---|---|---|---|
| Case 0 | / | / | / |
| Case 1 | 30 min | 15 min | 280 h |
| Case 2 | 60 min | 30 min | |
| Case 3 | 120 min | 60 min | |
| Case 4 | 180 min | 90 min |
| Name/Symbol | Group | Value | Unit |
|---|---|---|---|
| Vertical consolidation coefficient of the soil/cv | T1 | 2.36 × 10−3 | m2/d |
| T2 | 2.03 × 10−3 | ||
| T3 | 2.59 × 10−3 | ||
| T4 | 2.16 × 10−3 | ||
| Modified soil consolidation factor/c*v | T1 | 1.26 × 10−3 | m2/d |
| T2 | 1.08 × 10−3 | ||
| T3 | 1.38 × 10−3 | ||
| T4 | 1.15 × 10−3 | ||
| Calculated temperature | T1 | 41.34 | °C |
| T2 | 47.22 | ||
| T3 | 56.47 | ||
| T4 | 67.03 | ||
| Vertical permeability coefficient/k | T1 | 1.31 × 10−3 | m/d |
| T2 | 1.43 × 10−3 | ||
| T3 | 1.62 × 10−3 | ||
| T4 | 1.84 × 10−3 |
Disclaimer/Publisher’s Note: The statements, opinions and data contained in all publications are solely those of the individual author(s) and contributor(s) and not of MDPI and/or the editor(s). MDPI and/or the editor(s) disclaim responsibility for any injury to people or property resulting from any ideas, methods, instructions or products referred to in the content. |
© 2024 by the authors. Licensee MDPI, Basel, Switzerland. This article is an open access article distributed under the terms and conditions of the Creative Commons Attribution (CC BY) license (https://creativecommons.org/licenses/by/4.0/).
Share and Cite
Zhang, C.; Lou, Q.; Wang, X.; Gong, Y.; Li, X.; Fu, H. Evaluation of Heating Time on Vacuum Preloading Treatment. Buildings 2024, 14, 1860. https://doi.org/10.3390/buildings14061860
Zhang C, Lou Q, Wang X, Gong Y, Li X, Fu H. Evaluation of Heating Time on Vacuum Preloading Treatment. Buildings. 2024; 14(6):1860. https://doi.org/10.3390/buildings14061860
Chicago/Turabian StyleZhang, Chaozhou, Qionghui Lou, Xiaoliang Wang, Yuanjie Gong, Xiaobing Li, and Hongtao Fu. 2024. "Evaluation of Heating Time on Vacuum Preloading Treatment" Buildings 14, no. 6: 1860. https://doi.org/10.3390/buildings14061860
APA StyleZhang, C., Lou, Q., Wang, X., Gong, Y., Li, X., & Fu, H. (2024). Evaluation of Heating Time on Vacuum Preloading Treatment. Buildings, 14(6), 1860. https://doi.org/10.3390/buildings14061860
