Settlement Forecast of Marine Soft Soil Ground Improved with Prefabricated Vertical Drain-Assisted Staged Riprap Filling
Abstract
1. Introduction
2. Methodology
2.1. Case Study
2.1.1. Project Description
2.1.2. In Situ Settlement Monitoring
2.2. Empirical Formula Method (EFM)
2.2.1. Hyperbolic Method (HM)
2.2.2. Exponential Curve Method (ECM)
2.3. Growth Curve Modeling (GCM)
2.3.1. Pearl Growth Curve Modeling (PGCM)
2.3.2. Gompertz Growth Curve Modeling (GGCM)
2.4. Grey Prediction Model (GPM)
2.4.1. Grey (1, 1) Model (GM)
2.4.2. Grey Verhulst Model (GVM)
2.5. Back Propagation of Artificial Neural Network (BPANN)
2.5.1. BPANN with Levenberg–Marquardt Algorithm (BPLM)
2.5.2. BPANN with Gradient Descent of Momentum and Adaptive Learning Rate (BPGD)
3. Results
3.1. Curve Fitting and Training Results
3.2. Comparison of Settlement Forecast Results
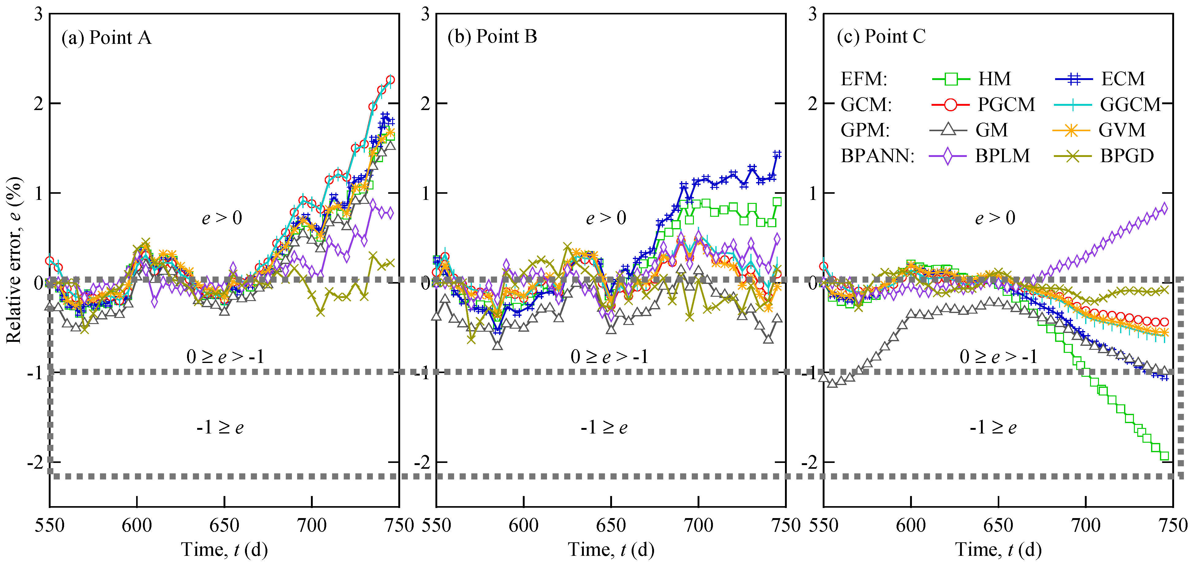
3.3. Error Analysis
3.4. Evaluation Metrics Analysis in Regression
3.5. Final Settlement Forecast
4. Discussion
5. Conclusions
- (1)
- For different time periods during the settlement process and different locations of marine soft soil foundation, the appropriate and reliable forecast methods were different. Only BPGD was appropriate for settlement forecasting at different time periods and at different locations. This may be due to the fact that the BPANN can feed error rates back through a neural network to make the forecasting more accurate than other methods. Furthermore, the BPGD can solve some shortcomings associated with the BPLM, such as falling into local minimum and the error of artificially choosing the learning rate before training.
- (2)
- For short-term and medium-term settlement forecasts, the forecast methods can be evaluated by relative errors and evaluation metrics analysis in regression, scilicet when 0 ≥ e > −1%, both the forecasting accuracy and engineering safety are appropriate and reliable. Therefore, for settlement forecasting at the edge of the berm (Point A), only BPGD was available. Moreover, PGCM, GGCM, GM, GVM, and BPGD were available for settlement forecasting at the center of the berm (Point B). In addition, for forecasting at the center of the embankment (Point C), PGCM, GGCM, GVM, and BPGD were available.
- (3)
- For long-term and final settlement forecasts, at the edge of the berm (Point A), ECM, GM, GVM, and BPGD were available. ECM, PGCM, GGCM, GVM, and BPGD were available for Point B at the center of the berm. Furthermore, at the center of the embankment (Point C), ECM, PGCM, GGCM, GM, GVM, and BPGD were available. In addition to the BPGD, ECM and GVM were also appropriate for long-term and final settlement forecasts at different locations, because they have an exponential shape with a saturation region, which can well describe the long-term and final settlements.
- (4)
- Since this study was a case study of Lingni Seawall, its applicability needs to be further verified based on more engineering cases in order to form a complete methodology and provide a reference for the selection of forecast models for different ground soils under various hydrogeological conditions. For deep soft soil ground with high water content, high compressibility, and high organic content, the forecast method can be selected by referring to the above results, because these soils have creep characteristics and non-negligible secondary consolidation settlement. However, for silty and sandy soil grounds with low water content and low compressibility, the HM may be not suitable, because the predicted values of HM are too large even for soft clay grounds. On the contrary, for silty and sandy soil grounds, BPLM and GVM may be more suitable due to their smaller predicted values for soft clay grounds.
Author Contributions
Funding
Data Availability Statement
Acknowledgments
Conflicts of Interest
Abbreviations
| EFM | Empirical Formula Method |
| 3PM | Three-Point Method |
| AM | Asaoka Method |
| HNM | Hoshino Nori Method |
| HM | Hyperbolic Method |
| ECM | Exponential Curve Method |
| GCM | Growth Curve Modeling |
| WGCM | Weibull Growth Curve Modeling |
| PGCM | Pearl Growth Curve Modeling |
| GGCM | Gompertz Growth Curve Modeling |
| GPM | Grey Prediction Model |
| GM | Grey (1, 1) Model |
| GVM | Grey Verhulst Model |
| ANN | Artificial Neural Network |
| BP | Back Propagation |
| BPANN | Back Propagation of Artificial Neural Network |
| LM | Levenberg–Marquardt |
| BPLM | BPANN with Levenberg–Marquardt Algorithm |
| BPGD | BPANN with Gradient Descent of Momentum and Adaptive Learning Rate |
| PVD | Prefabricated Vertical Drain |
| SSE | Sum of squares due to error |
| MSE | Mean squared error |
| RMSE | Root mean squared error |
| MAE | Mean absolute error |
| SMF | Short-term and medium-term settlement forecast |
| LFF | Long-term and final settlement forecast |
Appendix A
| Point A | Point B | Point C | |||
|---|---|---|---|---|---|
| t (d) | St (cm) | t (d) | St (cm) | t (d) | St (cm) |
| 550 | 108.57 | 550 | 140.48 | 550 | 223.80 |
| 556 | 108.87 | 551 | 140.91 | 555 | 225.90 |
| 561 | 108.99 | 555 | 141.28 | 560 | 228.10 |
| 564 | 109.14 | 561 | 141.65 | 565 | 230.20 |
| 569 | 109.37 | 565 | 142.02 | 570 | 232.30 |
| 576 | 109.84 | 571 | 142.52 | 575 | 234.30 |
| 581 | 110.15 | 575 | 143.02 | 580 | 236.20 |
| 586 | 110.48 | 580 | 143.51 | 585 | 238.10 |
| 590 | 110.61 | 585 | 143.76 | 590 | 239.90 |
| 596 | 111.33 | 591 | 144.75 | 595 | 241.70 |
| 600 | 111.53 | 596 | 145.25 | 600 | 243.40 |
| 604 | 111.92 | 604 | 146.11 | 605 | 244.72 |
| 611 | 112.05 | 609 | 146.85 | 607 | 245.20 |
| 618 | 112.49 | 616 | 147.60 | 610 | 245.96 |
| 624 | 112.62 | 621 | 147.97 | 614 | 247.00 |
| 629 | 112.79 | 626 | 148.96 | 621 | 248.70 |
| 635 | 112.84 | 632 | 149.70 | 625 | 249.53 |
| 641 | 113.04 | 638 | 150.32 | 629 | 250.30 |
| 645 | 113.20 | 643 | 150.69 | 637 | 251.90 |
| 650 | 113.32 | 649 | 150.70 | 645 | 253.50 |
| 653 | 113.59 | 652 | 151.19 | 650 | 254.30 |
| 656 | 113.69 | 658 | 151.93 | 655 | 255.00 |
| 659 | 113.72 | 661 | 152.06 | 660 | 255.67 |
| 665 | 114.04 | 665 | 152.65 | 665 | 256.30 |
| 673 | 114.47 | 668 | 153.05 | 670 | 256.87 |
| 678 | 114.83 | 674 | 153.54 | 675 | 257.40 |
| 685 | 115.19 | 678 | 154.41 | 680 | 257.93 |
| 691 | 115.67 | 683 | 154.90 | 685 | 258.40 |
| 697 | 115.96 | 687 | 155.40 | 690 | 258.77 |
| 705 | 116.04 | 692 | 156.14 | 695 | 259.08 |
| 709 | 116.37 | 695 | 156.14 | 697 | 259.20 |
| 713 | 116.68 | 699 | 156.76 | 700 | 259.39 |
| 717 | 116.68 | 704 | 157.25 | 705 | 259.73 |
| 723 | 117.11 | 709 | 157.50 | 709 | 260.00 |
| 726 | 117.26 | 715 | 158.00 | 715 | 260.40 |
| 730 | 117.39 | 720 | 158.50 | 720 | 260.70 |
| 733 | 117.54 | 726 | 158.75 | 725 | 260.97 |
| 736 | 118.05 | 731 | 159.37 | 730 | 261.21 |
| 738 | 118.05 | 736 | 159.49 | 732 | 261.30 |
| 740 | 118.36 | 742 | 159.99 | 740 | 261.66 |
| 745 | 118.52 | 745 | 160.61 | 745 | 261.90 |
References
- Xia, C.; Deng, Y.; Zhu, M.; Niu, J.; Zheng, L.; Chen, X. One-dimensional solar energy thermal consolidation model testing and analytical calculation for marine soft clays. J. Mar. Sci. Eng. 2022, 10, 1634. [Google Scholar] [CrossRef]
- Zhou, S.H.; Wang, B.L.; Shan, Y. Review of research on high-speed railway subgrade settlement in soft soil area. Railw. Eng. Sci. 2020, 28, 129–145. [Google Scholar] [CrossRef]
- Park, H.I.; Kim, K.-S.; Kim, H.Y. Field performance of a genetic algorithm in the settlement prediction of a thick soft clay deposit in the southern part of the Korean peninsula. Eng. Geol. 2015, 196, 150–157. [Google Scholar] [CrossRef]
- Terzaghi, K. Erdbaumechanik auf Bodenphysikalischer Grundlage; Fanz Deuticke: Wien, Austria, 1925. [Google Scholar]
- Hore, R.; Chakraborty, S.; Ansary, M.A. A field investigation to improve soft soils using prefabricated vertical drain. Transp. Infrastruct. Geotechnol. 2020, 7, 127–155. [Google Scholar] [CrossRef]
- Cascone, E.; Biondi, G. A case study on soil settlements induced by preloading and vertical drains. Geotext. Geomembr. 2013, 38, 51–67. [Google Scholar] [CrossRef]
- Prabavathy, S.; Rajagopal, K.; Pitchumani, N. Investigation of smear zone around PVD mandrel using image-based analysis. Int. J. Geosynth. Ground Eng. 2021, 7, 94. [Google Scholar] [CrossRef]
- Deng, Y.-B.; Liu, G.-B.; Lu, M.-M.; Xie, K.-H. Consolidation behavior of soft deposits considering the variation of prefabricated vertical drain discharge capacity. Comput. Geotech. 2014, 62, 310–316. [Google Scholar] [CrossRef]
- Skempton, A.W.; Peck, R.B.; MacDonald, D.H. Settlement analyses of six structures in Chicago and London. Proc. Inst. Civ. Eng. 1955, 4, 525–542. [Google Scholar] [CrossRef]
- Wang, H.; She, H.; Xu, J.; Liang, L. A three-point hyperbolic combination model for the settlement prediction of subgrade filled with construction and demolition waste. Materials 2020, 13, 1959. [Google Scholar] [CrossRef]
- Parsa-Pajouh, A.; Fatahi, B.; Vincent, P.; Khabbaz, H. Trial embankment analysis to predict smear zone characteristics induced by prefabricated vertical drain installation. Geotech. Geol. Eng. 2014, 32, 1187–1210. [Google Scholar] [CrossRef]
- Chai, J.C.; Miura, N. Investigation of factors affecting vertical drain behavior. J. Geotech. Geoenviron. Eng. 1999, 125, 216–226. [Google Scholar] [CrossRef]
- Lin, S.; Fu, D.; Zhou, Z.; Yan, Y.; Yan, S. Numerical investigation to the effect of suction-induced seepage on the settlement in the underwater vacuum preloading with prefabricated vertical drains. J. Mar. Sci. Eng. 2021, 9, 797. [Google Scholar] [CrossRef]
- Maleki, M.; Alielahi, H.; Rahmani, I. Effect of smear zone characteristics on PVD-improved soft soils using field data and numerical simulations. Indian Geotech. J. 2022, 52, 1391–1409. [Google Scholar] [CrossRef]
- Muhammed, J.J.; Jayawickrama, P.W.; Teferra, A.; Özer, M.A. Settlement of a railway embankment on PVD-improved Karakore soft alluvial soil. Eng. Sci. Technol. Int. J. 2020, 23, 1015–1027. [Google Scholar] [CrossRef]
- Zhang, C.; Li, J.; He, Y. Application of optimized grey discrete Verhulst-BP neural network model in settlement prediction of foundation pit. Environ. Earth Sci. 2019, 78, 441. [Google Scholar] [CrossRef]
- Zeng, G.X.; Yang, X.L. Settlement analysis of sand-drained ground. J. Zhejiang Univ. 1959, 3, 34–72. [Google Scholar]
- Asaoka, A. Observational procedure of settlement prediction. Soils Found. 1978, 18, 87–101. [Google Scholar] [CrossRef]
- Lee, D.-W.; Lim, S.-H. Final settlement prediction methods of embankments on soft clay. Mag. Korean Soc. Agric. Eng. 2000, 42, 68–77. [Google Scholar]
- Tan, T.-S.; Inoue, T.; Lee, S.-L. Hyperbolic method for consolidation analysis. J. Geotech. Eng. 1991, 117, 1723–1737. [Google Scholar] [CrossRef]
- Ma, H.; Peng, C.; Gan, J.; Deng, Y. An optimization algorithm for exponential curve model of single pile bearing capacity. Geotech. Geol. Eng. 2021, 39, 3265–3269. [Google Scholar] [CrossRef]
- Feng, S.; Lei, H.; Lin, C. Analysis of ground deformation development and settlement prediction by air-boosted vacuum preloading. J. Rock Mech. Geotech. Eng. 2022, 14, 272–288. [Google Scholar] [CrossRef]
- Tang, X.; Wang, J. A new combination forecasting method of adaptive fuzzy variable weight. J. Univ. Electron. Sci. Technol. Algorithm 1997, 26, 289–291. [Google Scholar]
- Wang, B.; Wang, X.; Ma, X. Study on optimal combination settlement prediction model based on logistic curve and Gompertz curve. Civ. Eng. J. 2020, 29, 347–357. [Google Scholar] [CrossRef]
- Cheng, F.; Zhang, Y.; Wan, Y.; Wang, H. Subsidence prediction of deep foundation pit surrounding surface based on Gompertz model. J. Undergr. Space Eng. 2013, 9, 541–546. [Google Scholar]
- Deng, J.-L. Control problems of grey systems. Syst. Control. Lett. 1982, 1, 288–294. [Google Scholar]
- Wan, K.; Li, B.; Zhou, W.; Zhu, H.; Ding, S. A novel time-power based grey model for nonlinear time series forecasting. Eng. Appl. Artif. Intell. 2021, 105, 104441. [Google Scholar] [CrossRef]
- Kayacan, E.; Ulutas, B.; Kaynak, O. Grey system theory-based models in time series prediction. Expert Syst. Appl. 2010, 37, 1784–1789. [Google Scholar] [CrossRef]
- Huang, C.; Zhou, L.; Liu, F.; Cao, Y.; Liu, Z.; Xue, Y. Deformation prediction of dam based on optimized Grey Verhulst Model. Mathematics 2023, 11, 1729. [Google Scholar] [CrossRef]
- Ebid, A.M. 35 Years of (AI) in geotechnical engineering: State of the art. Geotech. Geol. Eng. 2021, 39, 637–690. [Google Scholar] [CrossRef]
- Raja, M.N.A.; Shukla, S.K. Predicting the settlement of geosynthetic-reinforced soil foundations using evolutionary artificial intelligence technique. Geotext. Geomembr. 2021, 49, 1280–1293. [Google Scholar] [CrossRef]
- Ye, X.-W.; Jin, T.; Chen, Y.-M. Machine learning-based forecasting of soil settlement induced by shield tunneling construction. Tunn. Undergr. Space Technol. 2022, 124, 104452. [Google Scholar] [CrossRef]
- Wang, Z.-L.; Li, Y.-C.; Shen, R. Correction of soil parameters in calculation of embankment settlement using a BP network back-analysis model. Eng. Geol. 2007, 91, 168–177. [Google Scholar] [CrossRef]
- Levenberg, K. A method for the solution of certain non-linear problems in least squares. Q. Appl. Math. 1944, 2, 164–168. [Google Scholar] [CrossRef]
- Marquardt, D.W. An algorithm for least-squares estimation of nonlinear parameters. J. Soc. Ind. Appl. Math. 1963, 11, 431–441. [Google Scholar] [CrossRef]
- Wang, Z.L.; Li, X.Y.; Yin, Z.Z. Application of genetic and improved BP algorithms in geotechnical engineering. Undergr. Space 2001, 21, 15–17. [Google Scholar]
- Pham, Q.D.; Ngo, V.L.; Trinh, M.T. Evaluation of Asaoka and Hyperbolic methods for settlement prediction of vacuum preloading combined with prefabricated vertical drains in soft ground treatment. J. Eng. Technol. Sci. 2022, 54, 859. [Google Scholar] [CrossRef]
- Liu, J.; Yang, Y.; Yang, C. Analysis and prediction of long-term settlement of metro shield tunnel in saturated sand. Geotech. Geol. Eng. 2021, 39, 5241–5252. [Google Scholar] [CrossRef]
- Ebid, A.M.; Onyelowe, K.C.; Salah, M.; Adah, E.I. Using FEM-AI technique to predict the behavior of strip footing rested on undrained clay layer improved with replacement and geo-grid. Civ. Eng. J. 2023, 9, 1230–1243. [Google Scholar] [CrossRef]
- Muhammed, J.J.; Jayawickrama, P.W.; Ekwaro-Osire, S. Uncertainty analysis in prediction of settlements for spatial prefabricated vertical drains improved soft soil sites. Geosciences 2020, 10, 42. [Google Scholar] [CrossRef]
- Mishra, S.K. Riprap Design for Overtopped Embankments; Colorado State University: Fort Collins, CO, USA, 1998. [Google Scholar]
- Mei, G.X.; Zai, J.M.; Zhao, W.B.; Yin, J.H. Settlement prediction methods considering creep. Chin. J. Geotech. Eng. 2004, 26, 416–418. [Google Scholar]
- Wang, Z.L.; Huang, J.Z.; Yang, X.H. Study on settlement prediction model considering rheological properties of soils. Rock Soil Mech. 2006, 27, 1567–1570. [Google Scholar]
- Gao, Z.X.; Sun, X. Research on predicting model and method of final settlement of rheological soft soil subgrade. Site Investig. Sci. Technol. 2008, 26, 3–6. [Google Scholar]
- Kang, H.; Peng, Z.B. Research and analysis of forecast model for settlement of soft soil foundation. Min. Metall. Eng. 2009, 29, 9–11. [Google Scholar]
- Kong, X.X. Research and application on the prediction method of Pearl model of high filling subgrade settlement. In Proceedings of the Soil Testing, Soil Stability and Ground Improvement: Proceedings of the 1st GeoMEast International Congress and Exhibition; Springer: Cham, Switzerland, 2018; pp. 356–362. [Google Scholar]
- Hou, H.; Andrews, H. Cubic splines for image interpolation and digital filtering. IEEE Trans. Acoust. Speech Signal Process. 1978, 26, 508–517. [Google Scholar]
- Wu, X.-T. Research on relation between consolidation coefficient and consolidation stress of silt in Wenzhou shoal. Rock Soil Mech. 2013, 34, 1675–1680. [Google Scholar]
- Wu, X.-T.; Liu, J.-N.; Xie, Z.-M. Deformation and strength characteristics of marine soft soil treated by Prefabricated Vertical Drain-assisted staged riprap under seawall construction. Buildings 2023, 13, 2322. [Google Scholar] [CrossRef]
- Fan, H.; Chen, Z.; Shen, J.; Cheng, J.; Chen, D.; Jiao, P. Buckling of steel tanks under measured settlement based on Poisson curve prediction model. Thin-Walled Struct. 2016, 106, 284–293. [Google Scholar] [CrossRef]
- Tan, S.; Chew, S. Comparison of the hyperbolic and Asaoka observational method of monitoring consolidation with vertical drains. Soils Found. 1996, 36, 31–42. [Google Scholar] [CrossRef] [PubMed]
- Pan, L.-Y.; Xie, X.-Y. Observational settlement prediction by curves fitting methods. Rock Soil Mech. 2004, 25, 1053–1058. [Google Scholar]
- Li, G.H.; Liu, H.B.; Qin, X.X. Settlement prediction of roadbed based on mixture model with exponential curve and ANN. Adv. Mater. Res. 2013, 663, 76–79. [Google Scholar] [CrossRef]
- Ishibashi, I.; Hazarika, H. Soil Mechanics Fundamentals and Applications; CRC Press: Boca Raton, FL, USA, 2015. [Google Scholar]
- Zhao, M.H.; Long, Z.; Zou, X.J. Optimal combinational predictive model of settlement based on Logistic curve and Gompertz curve and its application. J. Highw. Transp. Res. Dev. 2007, 24, 1–4. [Google Scholar]
- Deng, J.L. Introduction to grey system theory. J. Grey Syst. 1989, 1, 1–24. [Google Scholar]
- Wang, Z.-X.; Dang, Y.-G.; Liu, S.-F. Unbiased grey Verhulst model and its application. Syst. Eng.-Theory Pract. 2009, 29, 138–144. [Google Scholar] [CrossRef]
- Han, L. Artificial Neural Network Theory, Design and Application; Chemical Industry Publishing House: Beijing, China, 2007. [Google Scholar]
- Tanabashi, Y.; Mawatari, T.; Gotoh, K.; Yasuhara, K.; Kouno, H. On the applicability of some settlement prediction methods to the soft Ariake clay ground. Rep. Fac. Eng. Nagasaki Univ. 1994, 24, 241–248. [Google Scholar]
- Xu, X.X.; Su, H.Y.; Zhang, C.P. Application of BP neural network to short-term prediction foundation settlement in the base pit vicinity. J. Sichuan Univ. Sci. Eng. (Nat. Sci. Ed.) 2013, 26, 53–56. [Google Scholar]
- Lei, H.Y.; Wan, Y.F.; Feng, S.X. Study on long-term settlement law and prediction of deep beach soft soil subgrade under different tidal levels. J. Tianjin Univ. (Sci. Technol.) 2022, 55, 584–595. [Google Scholar]











| Forecast Method | Consideration of Creep | Requirement for Monitored Settlement Data | |
|---|---|---|---|
| EFM | 3PM | No | Constant load period, equidistant time series |
| AM | No | ||
| HNM | No | Constant load period, any time series | |
| HM | Yes | ||
| ECM | Yes | ||
| GCM | WGCM | Yes | Whole or constant load period, equidistant time series |
| PGCM | Yes | ||
| GGCM | Yes | ||
| GPM | GM | Yes | Constant load period, equidistant time series |
| GVM | Yes | Whole or constant load period, equidistant time series | |
| BPANN | BPLM | Yes | Whole or constant load period, equidistant time series |
| BPGD | Yes | ||
| Forecast Method | Point | Relative Error, e (%) | |||
|---|---|---|---|---|---|
| Maximum Value | Mean Value | ||||
| Positive | Negative | Positive | Negative | ||
| HM | A | 1.701 | −0.338 | 0.544 | −0.160 |
| B | 0.903 | −0.474 | 0.514 | −0.185 | |
| C | 0.208 | −1.932 | 0.100 | −0.606 | |
| ECM | A | 1.857 | −0.338 | 0.580 | −0.164 |
| B | 1.430 | −0.535 | 0.687 | −0.241 | |
| C | 0.180 | −1.046 | 0.072 | −0.368 | |
| PGCM | A | 2.263 | −0.201 | 0.692 | −0.143 |
| B | 0.476 | −0.340 | 0.209 | −0.112 | |
| C | 0.184 | −0.439 | 0.060 | −0.189 | |
| GGCM | A | 2.243 | −0.180 | 0.691 | −0.138 |
| B | 0.541 | −0.333 | 0.240 | −0.102 | |
| C | 0.204 | −0.589 | 0.066 | −0.243 | |
| GM | A | 1.516 | −0.507 | 0.570 | −0.257 |
| B | 0.142 | −0.713 | 0.099 | −0.326 | |
| C | 0 | −1.135 | 0 | −0.606 | |
| GVM | A | 1.675 | −0.253 | 0.606 | −0.107 |
| B | 0.478 | −0.282 | 0.222 | −0.110 | |
| C | 0.194 | −0.554 | 0.089 | −0.256 | |
| BPLM | A | 0.871 | −0.212 | 0.248 | −0.075 |
| B | 0.518 | −0.368 | 0.241 | −0.155 | |
| C | 0.829 | −0.169 | 0.390 | −0.070 | |
| BPGD | A | 0.455 | −0.524 | 0.154 | −0.154 |
| B | 0.406 | −0.636 | 0.140 | −0.250 | |
| C | 0.129 | −0.278 | 0.081 | −0.099 | |
| Forecast Method | Point | SSE | MSE | RMSE | MAE | R2 |
|---|---|---|---|---|---|---|
| HM | A | 31.453 | 0.437 | 0.661 | 0.443 | 0.943 |
| B | 24.069 | 0.602 | 0.776 | 0.616 | 0.984 | |
| C | 79.462 | 3.179 | 1.783 | 1.084 | 0.975 | |
| ECM | A | 37.887 | 0.526 | 0.725 | 0.477 | 0.932 |
| B | 47.840 | 1.196 | 1.094 | 0.841 | 0.967 | |
| C | 26.433 | 1.057 | 1.028 | 0.665 | 0.992 | |
| PGCM | A | 36.502 | 0.913 | 0.955 | 0.612 | 0.886 |
| B | 3.942 | 0.099 | 0.314 | 0.251 | 0.997 | |
| C | 12.066 | 0.302 | 0.549 | 0.393 | 0.998 | |
| GGCM | A | 35.972 | 0.899 | 0.948 | 0.609 | 0.888 |
| B | 5.139 | 0.129 | 0.358 | 0.282 | 0.997 | |
| C | 19.461 | 0.487 | 0.698 | 0.486 | 0.996 | |
| GM | A | 16.054 | 0.401 | 0.634 | 0.462 | 0.950 |
| B | 11.523 | 0.288 | 0.537 | 0.462 | 0.992 | |
| C | 109.871 | 2.747 | 1.657 | 1.503 | 0.978 | |
| GVM | A | 19.706 | 0.493 | 0.702 | 0.468 | 0.939 |
| B | 4.040 | 0.101 | 0.318 | 0.248 | 0.997 | |
| C | 17.501 | 0.438 | 0.662 | 0.488 | 0.997 | |
| BPLM | A | 4.757 | 0.132 | 0.364 | 0.242 | 0.979 |
| B | 5.902 | 0.164 | 0.405 | 0.331 | 0.995 | |
| C | 26.326 | 0.731 | 0.855 | 0.569 | 0.990 | |
| BPGD | A | 1.813 | 0.050 | 0.224 | 0.175 | 0.992 |
| B | 4.707 | 0.131 | 0.362 | 0.303 | 0.996 | |
| C | 2.701 | 0.075 | 0.274 | 0.238 | 0.999 |
| Forecast Method | Edge of Berm | Center of Berm | Center of Embankment | |||
|---|---|---|---|---|---|---|
| SMF | LFF | SMF | LFF | SMF | LFF | |
| HM | ✕ | ✕ | ✕ | ✕ | ✕ | ✕ |
| ECM | ✕ | ○ | ✕ | ○ | ✕ | ○ |
| PGCM | ✕ | ✕ | ○ | ○ | ○ | ○ |
| GGCM | ✕ | ✕ | ○ | ○ | ○ | ○ |
| GM | ✕ | ○ | ○ | ✕ | ✕ | ○ |
| GVM | ✕ | ○ | ○ | ○ | ○ | ○ |
| BPLM | ✕ | ✕ | ✕ | ✕ | ✕ | ✕ |
| BPGD | ○ | ○ | ○ | ○ | ○ | ○ |
Disclaimer/Publisher’s Note: The statements, opinions and data contained in all publications are solely those of the individual author(s) and contributor(s) and not of MDPI and/or the editor(s). MDPI and/or the editor(s) disclaim responsibility for any injury to people or property resulting from any ideas, methods, instructions or products referred to in the content. |
© 2024 by the authors. Licensee MDPI, Basel, Switzerland. This article is an open access article distributed under the terms and conditions of the Creative Commons Attribution (CC BY) license (https://creativecommons.org/licenses/by/4.0/).
Share and Cite
Wu, X.-T.; Liu, J.-N.; Alowaisy, A.; Yasufuku, N.; Ishikura, R.; Adriyati, M. Settlement Forecast of Marine Soft Soil Ground Improved with Prefabricated Vertical Drain-Assisted Staged Riprap Filling. Buildings 2024, 14, 1316. https://doi.org/10.3390/buildings14051316
Wu X-T, Liu J-N, Alowaisy A, Yasufuku N, Ishikura R, Adriyati M. Settlement Forecast of Marine Soft Soil Ground Improved with Prefabricated Vertical Drain-Assisted Staged Riprap Filling. Buildings. 2024; 14(5):1316. https://doi.org/10.3390/buildings14051316
Chicago/Turabian StyleWu, Xue-Ting, Jun-Ning Liu, Adel Alowaisy, Noriyuki Yasufuku, Ryohei Ishikura, and Meilani Adriyati. 2024. "Settlement Forecast of Marine Soft Soil Ground Improved with Prefabricated Vertical Drain-Assisted Staged Riprap Filling" Buildings 14, no. 5: 1316. https://doi.org/10.3390/buildings14051316
APA StyleWu, X.-T., Liu, J.-N., Alowaisy, A., Yasufuku, N., Ishikura, R., & Adriyati, M. (2024). Settlement Forecast of Marine Soft Soil Ground Improved with Prefabricated Vertical Drain-Assisted Staged Riprap Filling. Buildings, 14(5), 1316. https://doi.org/10.3390/buildings14051316

