Study on the Properties and Hydration Mechanism of Calcium Carbide Residue-Based Low-Carbon Cementitious Materials
Abstract
1. Introduction
2. Test Materials and Methods
2.1. Raw Materials
2.2. Test Methods
2.2.1. Preparation for Specimens
2.2.2. Flowability and Setting Time
2.2.3. Compressive Strength
2.2.4. Hydration Analysis
2.2.5. Microscopic Testing Instrument
3. Results and Analysis
3.1. Flowability of Fresh Paste in Cementitious Systems
3.2. Setting Time of Fresh Paste in Cementitious Systems
3.3. Compressive Strength
4. Hydration Characteristics of CCR-GBFS-SS Cementitious Systems
4.1. Hydration Products and Chemical Structure of Cementitious Systems at Different Curing Ages
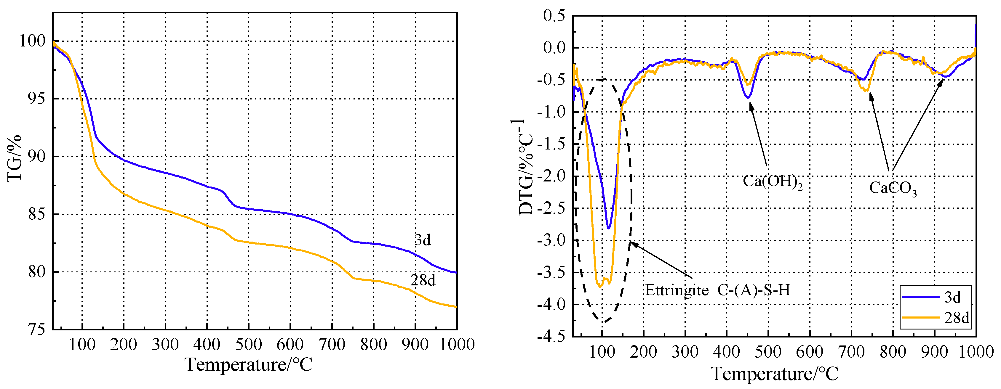
4.2. Thermal Analysis of Cementitious Systems under Different Curing Ages
4.3. Micro-Morphology of Cementitious Systems at Different Curing Ages
5. Discussion on the Mechanism of CCR-GBFS-SS Cementitious Systems
6. Conclusions
- CCR can be used in binary GBFS–SS alkali-activated cementitious systems as an alkaline activator. Cementitious systems can be controlled by the time of coagulation; however, the liquidity performance is poor. The cementitious systems’ 28-day compressive strength was up to 41.5 Mpa, but the influence of CCR on the cementitious systems’ alkalinity is limited. When the content of CCR in the cementitious systems varied from 10–20%, there was no significant effect on the compressive strength at all ages. SS contributes to the late compressive strength of the cementitious system and has a lesser effect on the late compressive strength when its content is 20%. The content of SS in CCR-GBFS-SS cementitious systems should not be too high.
- In CCR-GBFS-SS cementitious systems, with an increase in the curing time, CCR is gradually consumed, which promotes the continuation of pozzolanic reactions of GBFS in the cementitious systems, and the number of hydration products in the cementitious systems gradually increases, changing the matrix of cementitious systems from loose to dense.
- The presence of CCR in CCR-GBFS-SS cementitious systems maintains the alkaline environment. SS can provide alkaline substances such as calcium and magnesium, GBFS can provide activated silicon and activated aluminium and gypsum can provide SO42−. These four compounds work together to form hydration products such as C-(A)-S-H gels and ettringite. The compressive strength of the cementitious systems is mainly derived from the three-dimensional network structure formed by the C-(A)-S-H gels and ettringite.
Author Contributions
Funding
Data Availability Statement
Conflicts of Interest
References
- Juenger, M.C.G.; Winnefeld, F.; Provis, J.L.; Ideker, J.H. Advances in alternative cementitious binders. Cem. Concr. Res. 2011, 41, 1232–1243. [Google Scholar] [CrossRef]
- Provis, J.L.; Palomo, A.; Shi, C. Advances in understanding alkali-activated materials. Cem. Concr. Res. 2015, 78, 110–125. [Google Scholar] [CrossRef]
- Ng, C.; Alengaram, U.J.; Wong, L.S.; Mo, K.H.; Jumaat, M.Z.; Ramesh, S. A review on microstructural study and compressive strength of geopolymer mortar, paste and concrete. Constr. Build. Mater. 2018, 186, 550–576. [Google Scholar] [CrossRef]
- Hassan, A.; Arif, M.; Shariq, M. Use of geopolymer concrete for a cleaner and sustainable environment—A review of mechanical properties and microstructure. J. Clean. Prod. 2019, 223, 704–728. [Google Scholar] [CrossRef]
- Luukkonen, T.; Abdollahnejad, Z.; Yliniemi, J.; Kinnunen, P.; Illikainen, M. One-part alkali-activated materials: A review. Cem. Concr. Res. 2018, 103, 21–34. [Google Scholar] [CrossRef]
- Amran, Y.M.; Alyousef, R.; Alabduljabbar, H.; El-Zeadani, M. Clean production and properties of geopolymer concrete; A review. J. Clean. Prod. 2020, 251, 119679. [Google Scholar] [CrossRef]
- Yang, T.; Gao, X.; Zhang, J.; Zhuang, X.; Wang, H.; Zhang, Z. Sulphate resistance of one-part geopolymer synthesized by calcium carbide residue-sodium carbonate-activation of slag. Compos. Part B Eng. 2022, 242, 110024. [Google Scholar] [CrossRef]
- Li, W.; Yi, Y. Use of carbide slag from acetylene industry for activation of ground granulated blast-furnace slag. Constr. Build. Mater. 2020, 238, 117713. [Google Scholar] [CrossRef]
- Zhang, J.; Tan, H.; He, X.; Yang, W.; Deng, X. Utilization of carbide slag-granulated blast furnace slag system by wet grinding as low carbon cementitious materials. Constr. Build. Mater. 2020, 249, 118763. [Google Scholar] [CrossRef]
- Dueramae, S.; Tangchirapat, W.; Sukontasukkul, P.; Chindaprasirt, P.; Jaturapitakkul, C. Investigation of compressive strength and microstructures of activated cement free binder from fly ash-calcium carbide residue mixture. J. Mater. Res. Technol. 2019, 8, 4757–4765. [Google Scholar] [CrossRef]
- Namarak, C.; Satching, P.; Tangchirapat, W.; Jaturapitakkul, C. Improving the compressive strength of mortar from a binder of fly ash-calcium carbide residue. Constr. Build. Mater. 2017, 147, 713–719. [Google Scholar] [CrossRef]
- Guo, W.; Zhao, Q.; Sun, Y.; Xue, C.; Bai, Y.; Shi, Y. Effects of various curing methods on the compressive strength and microstructure of blast furnace slag-fly ash-based cementitious material activated by alkaline solid wastes. Constr. Build. Mater. 2022, 357, 129397. [Google Scholar] [CrossRef]
- Guo, W.; Zhang, Z.; Bai, Y.; Zhao, G.; Sang, Z.; Zhao, Q. Development and characterization of a new multi-strength level binder system using soda residue-carbide slag as composite activator. Constr. Build. Mater. 2021, 291, 123367. [Google Scholar] [CrossRef]
- Zhang, S.; Niu, D. Hydration and mechanical properties of cement-steel slag system incorporating different activators. Constr. Build. Mater. 2023, 363, 129981. [Google Scholar] [CrossRef]
- Zhao, J.; Li, Z.; Wang, D.; Yan, P.; Luo, L.; Zhang, H.; Zhang, H.; Gu, X. Hydration superposition effect and mechanism of steel slag powder and granulated blast furnace slag powder. Constr. Build. Mater. 2023, 366, 130101. [Google Scholar] [CrossRef]
- Ma, Y.; Zhang, B.; Wang, B.; Lin, X.; Zhu, J.; Huang, P.; Ji, T. Fluidity, mechanical properties, shrinkage of alkali-activated slag/stainless steel slag mortars with composite activators. J. Build. Eng. 2023, 75, 106877. [Google Scholar] [CrossRef]
- Zhong, J.; Cao, L.; Li, M.; Wang, S.; Liu, F.; Lv, X.; Peng, X. Mechanical properties and durability of alkali-activated steel salg-blastfurnace slag cement. J. Iron Steel Res. Int. 2023, 30, 1342–1355. [Google Scholar] [CrossRef]
- Ghorbani, S.; Stefanini, L.; Sun, Y.; Walkley, B.; Provis, J.L.; De Schutter, G.; Matthys, S. Characterisation of alkali-activated stainless steel slag and blast-furnace slag cements. Cem. Concr. Compos. 2023, 143, 105230. [Google Scholar] [CrossRef]
- Li, W.; Ma, S.; Zhang, S.; Shen, X. Physical and chemical studies on cement containing sugarcane molasses. J. Therm. Anal. Calorim. 2014, 118, 83–91. [Google Scholar]
- GB/T 8077-2012; Methods for Testing Uniformity of Concrete Admixture. China National Standardization Administration Committee: Beijing, China, 2012.
- Wang, Y.; Tan, H.; Gu, X.; He, X.; Zhang, J. Preparation of nano-kaolin by wet-grinding process and its application as accelerator in Portland cement. J. Build. Eng. 2021, 44, 103401. [Google Scholar] [CrossRef]
- GB/T 1346-2011; Test Methods for Water Requirement of Normal Consistency, Setting Time and Soundness of the Portland Cement. China National Standardization Administration Committee: Beijing, China, 2011.
- Zhang, C.; Chen, M.; Liu, R.; Li, X.; Yan, J.; Zhu, Z.; Fan, F. Synergistic effect of PVA fiber and PTB emulsion on mechanical properties of cementitious composites for damage repair in operating tunnels. KSCE J. Civ. Eng. 2022, 26, 5222–5239. [Google Scholar] [CrossRef]
- GB/T 17671-2021; Test Method of Cement Mortar Strength (ISO Method). China National Standardization Administration Committee: Beijing, China, 2021.
- Wu, M.; Zhang, Y.; Liu, G.; Wu, Z.; Yang, Y.; Sun, W. Experimental study on the performance of lime-based low carbon cementitious materials. Constr. Build. Mater. 2018, 168, 780–793. [Google Scholar] [CrossRef]
- Zhang, W.; Hao, X.; Wei, C.; Zeng, Q.; Ma, S.; Liu, X.; Zhang, Z.; Webeck, E. Synergistic enhancement of converter steelmaking slag, blast furnace slag, Bayer red mud in cementitious materials: Strength, phase composition, and microstructure. J. Build. Eng. 2022, 60, 105177. [Google Scholar] [CrossRef]
- Zhang, W.; Liu, X.; Zhang, Z.; Li, Y.; Gu, J. Synergic effects of circulating fluidized bed fly ash-red mud-blast furnace slag in green cementitious materials: Hydration products and environmental performance. J. Build. Eng. 2022, 58, 105007. [Google Scholar] [CrossRef]
- Hanjitsuwan, S.; Phoo-Ngernkham, T.; Li, L.-Y.; Damrongwiriyanupap, N.; Chindaprasirt, P. Strength development and durability of alkali-activated fly ash mortar with calcium carbide residue as additive. Constr. Build. Mater. 2018, 162, 714–723. [Google Scholar] [CrossRef]
- Wang, Y.; Liu, X.; Zhu, X.; Zhu, W.; Yue, J. Synergistic effect of red mud, desulfurized gypsum and fly ash in cementitious materials: Mechanical performances and microstructure. Constr. Build. Mater. 2023, 404, 133302. [Google Scholar] [CrossRef]
- Wang, J.; Lyu, X.; Wang, L.; Cao, X.; Liu, Q.; Zang, H. Influence of the combination of calcium oxide and sodium carbonate on the hydration reactivity of alkali-activated slag binders. J. Clean. Prod. 2018, 171, 622–629. [Google Scholar] [CrossRef]
- Burciaga-Díaz, O.; Betancourt-Castillo, I.E.; Montes-Escobedo, M.E.; Escalante-García, J.I. One-part pastes and mortars of CaO-Na2CO3 activated blast furnace slag: Microstructural evolution, cost and CO2 emissions. Constr. Build. Mater. 2023, 368, 130431. [Google Scholar] [CrossRef]
- Li, J.; Chen, M.; Jin, X.; Chen, Y.; Dai, Z.; Ou, Z.; Tang, Q. Calibration of a multiple axes 3-D laser scanning system consisting of robot, portable laser scanner and turntable. Optik 2011, 122, 324–329. [Google Scholar] [CrossRef]
- Wu, M.; Zhang, Y.; Jia, Y.; She, W.; Liu, G.; Yang, Z.; Zhang, Y.; Zhang, W.; Sun, W. Effects of sodium sulfate on the hydration and properties of lime-based low carbon cementitious materials. J. Clean. Prod. 2019, 220, 677–687. [Google Scholar] [CrossRef]
- Hao, X.; Liu, X.; Zhang, Z.; Zhang, W.; Lu, Y.; Wang, Y.; Yang, T. In-depth insight into the cementitious synergistic effect of steel slag and red mud on the properties of composite cementitious materials. J. Build. Eng. 2022, 52, 104449. [Google Scholar] [CrossRef]
- Shao, J.; Gao, J.; Zhao, Y.; Chen, X. Study on the pozzolanic reaction of clay brick powder in blended cement pastes. Constr. Build. Mater. 2019, 213, 209–215. [Google Scholar] [CrossRef]
- Cong, P.; Cheng, Y.; Ge, W.; Zhang, A. Mechanical, microstructure and reaction process of calcium carbide slag-waste red brick powder based alkali-activated materials (CWAAMs). J. Clean. Prod. 2021, 331, 129845. [Google Scholar] [CrossRef]
- Bai, Y.; Guo, W.; Zhang, Y.; Xue, C.; Xu, Z.; Gao, Q.; Xiao, C.; Zhao, Q. Low carbon binder preparation from slag-red mud activated by MSWI fly ash-carbide slag: Hydration characteristics and heavy metals’ solidification behavior. J. Clean. Prod. 2022, 374, 134007. [Google Scholar] [CrossRef]
- Scholtzová, E.; Kucková, L.; Kožíšek, J.; Tunega, D. Structural and spectroscopic characterization of ettringite mineral-combined DFT and experimental study. J. Mol. Struct. 2015, 1100, 215–224. [Google Scholar] [CrossRef]
- Ch, L.; Meng, W.; Xiao, L. Working performance of red mud-based grouting materials mixed with ultrafine limestone and quartz. Constr. Build. Mater. 2023, 383, 131326. [Google Scholar] [CrossRef]
- Zhang, N.; Li, H.; Peng, D.; Liu, X. Properties evaluation of silica-alumina based concrete: Durability and environmental friendly performance. Constr. Build. Mater. 2016, 115, 105–113. [Google Scholar] [CrossRef]
- Xu, C.; Ni, W.; Li, K.; Zhang, S.; Xu, D. Activation mechanisms of three types of industrial by-product gypsums on steel slag–granulated blast furnace slag-based binders. Constr. Build. Mater. 2021, 288, 123111. [Google Scholar] [CrossRef]
- Zhou, J.; Zheng, K.; Liu, Z.; Chen, L.; Lippiatt, N. Use of gamma-Al2O3 to prevent alkali-silica reaction by altering solid and aqueous compositions of hydrated cement paste. Cem. Concr. Res. 2019, 124, 105817. [Google Scholar] [CrossRef]
- Monteagudo, S.; Moragues, A.; Gálvez, J.; Casati, M.; Reyes, E. The degree of hydration assessment of blended cement pastes by differential thermal and thermogravimetric analysis. Morphological evolution of the solid phases. Thermochim. Acta 2014, 592, 37–51. [Google Scholar] [CrossRef]
- Duan, S.; Liao, H.; Cheng, F.; Song, H.; Yang, H. Investigation into the synergistic effects in hydrated gelling systems containing fly ash, desulfurization gypsum and steel slag. Constr. Build. Mater. 2018, 187, 1113–1120. [Google Scholar] [CrossRef]
- Oderji, S.Y.; Chen, B.; Shakya, C.; Ahmad, M.R.; Shah, S.F.A. Influence of superplasticizers and retarders on the workability and strength of one-part alkali-activated fly ash/slag binders cured at room temperature. Constr. Build. Mater. 2019, 229, 116891. [Google Scholar] [CrossRef]













| Ingredient | SiO2 | Al2O3 | Fe2O3 | MgO | CaO |
|---|---|---|---|---|---|
| CCR | 7.68 | 3.96 | 0.2 | 0.79 | 85.23 |
| SS | 15.24 | 6.35 | 28.12 | 6.6 | 39.35 |
| GBFS | 34.50 | 17.70 | 1.03 | 6.01 | 34.00 |
| CCR/g | SS/g | GBFS/g | GY/g | Water/g | |
|---|---|---|---|---|---|
| T1 | 36 | 36 | 270 | 18 | 126 |
| T2 | 54 | 36 | 252 | 18 | 126 |
| T3 | 72 | 36 | 234 | 18 | 126 |
| T4 | 54 | 72 | 216 | 18 | 126 |
| T5 | 54 | 108 | 180 | 18 | 126 |
Disclaimer/Publisher’s Note: The statements, opinions and data contained in all publications are solely those of the individual author(s) and contributor(s) and not of MDPI and/or the editor(s). MDPI and/or the editor(s) disclaim responsibility for any injury to people or property resulting from any ideas, methods, instructions or products referred to in the content. |
© 2024 by the authors. Licensee MDPI, Basel, Switzerland. This article is an open access article distributed under the terms and conditions of the Creative Commons Attribution (CC BY) license (https://creativecommons.org/licenses/by/4.0/).
Share and Cite
Wang, Q.; Wang, Y.; Gu, X.; Liu, J.; Xu, X. Study on the Properties and Hydration Mechanism of Calcium Carbide Residue-Based Low-Carbon Cementitious Materials. Buildings 2024, 14, 1259. https://doi.org/10.3390/buildings14051259
Wang Q, Wang Y, Gu X, Liu J, Xu X. Study on the Properties and Hydration Mechanism of Calcium Carbide Residue-Based Low-Carbon Cementitious Materials. Buildings. 2024; 14(5):1259. https://doi.org/10.3390/buildings14051259
Chicago/Turabian StyleWang, Qing, Ying Wang, Xiaowei Gu, Jianping Liu, and Xiaochuan Xu. 2024. "Study on the Properties and Hydration Mechanism of Calcium Carbide Residue-Based Low-Carbon Cementitious Materials" Buildings 14, no. 5: 1259. https://doi.org/10.3390/buildings14051259
APA StyleWang, Q., Wang, Y., Gu, X., Liu, J., & Xu, X. (2024). Study on the Properties and Hydration Mechanism of Calcium Carbide Residue-Based Low-Carbon Cementitious Materials. Buildings, 14(5), 1259. https://doi.org/10.3390/buildings14051259
