Wind-Induced Aerodynamic Effects on Set-Back Tall Buildings Using LES
Abstract
1. Introduction
2. Methodology
2.1. Geometry and Measurement Taps
2.2. Domain and Meshing
2.3. Boundary Conditions and Solver Settings
2.4. Grid Sensitive Test
3. Results and Discussion
3.1. Mean Wind Pressure and Local Wind Force Distribution
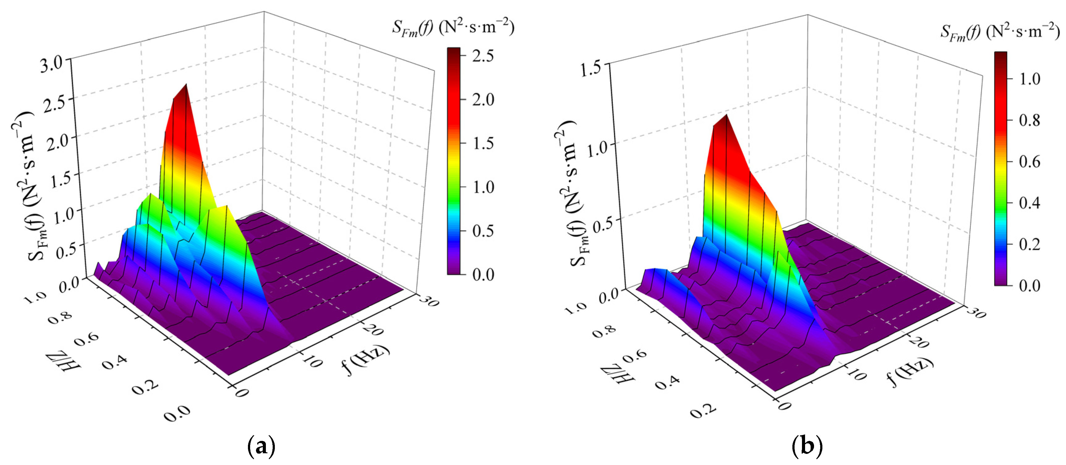
3.2. Power Spectral Densities of Base Moment
3.3. Instantaneous Vortex Structure
3.4. Time-Averaged Flow Field
3.5. Structural Response
4. Conclusions
- (1)
- The set-back measures can reduce the mean wind pressure coefficients on the surface of high-rise buildings, especially for the sideward surface. The set-back measures have an actual optimization effect on the CD,rms and CL,rms, while the effect on the distribution of CD,mean is limited.
- (2)
- The set-back measures have a significant impact on the power spectral densities of cross-wind base moment coefficients of a building, and the maximum reduction can reach 93%. As the length of set-back increases, the spectrum of set-back building models develops from narrowband to broadband and the intensity of vortex shedding weakens.
- (3)
- As the length of set-back increases in each group, more fragmentary vortex structures are generated so that the regular and strong vortex shedding are suppressed. The set-back measures in Group 1 can weaken the coherence of the vortex structure more than that of Group 2.
- (4)
- The reduction in wake width of the set-back building models mainly comes from the decrease in contact area. The set-back measures motivate the reattachment of separated shear layers on the sideward surface of buildings in Group 1, thus the cross-wind forces decrease.
- (5)
- As the length of set-back increases, the base peak dynamic moment in the cross-wind direction decreases more significantly than that in the along-wind direction in each group, and the maximum reduction can reach 53.2% in the cross-wind direction while reaching only 40.4% in the along-wind direction. On the whole, the comprehensive aerodynamic performance of single set-back structures is slightly better than that of the double set-back structures. The amplification of structural response in the cross-wind direction caused by VIV can be avoided by additional local aerodynamic optimization at the middle-upper part of the set-back building.
Author Contributions
Funding
Data Availability Statement
Conflicts of Interest
References
- El Ouni, M.H.; Abdeddaim, M.; Elias, S.; Kahla, N.B. Review of vibration control strategies of high-rise buildings. Sensors 2022, 22, 8581. [Google Scholar] [CrossRef]
- Sharma, A.; Mittal, H.; Gairola, A. Mitigation of wind load on tall buildings through aerodynamic modifications. J. Build. Eng. 2018, 18, 180–194. [Google Scholar] [CrossRef]
- Wijesooriya, K.; Mohotti, D.; Lee, C.K.; Mendis, P. A technical review of computational fluid dynamics (CFD) applications on wind design of tall buildings and structures: Past, present and future. J. Build. Eng. 2023, 74, 106828. [Google Scholar] [CrossRef]
- Yuan, W.B.; Yu, N.T.; Wang, Z. The effects of grooves on wind characteristics of tall cylinder buildings. Wind Struct. 2018, 26, 89–98. [Google Scholar]
- Ilgın, H.E. Space efficiency in tapered super-tall towers. Buildings 2023, 13, 2819. [Google Scholar] [CrossRef]
- Sharma, A.; Mittal, H.; Gairola, A. Wind-induced forces and flow field of aerodynamically modified buildings. Environ. Fluid Mech. 2019, 19, 1599–1623. [Google Scholar] [CrossRef]
- Kim, Y.; Kanda, J. Characteristics of aerodynamic forces and pressures on square plan buildings with height variations. J. Wind Eng. Ind. Aerodyn. 2010, 98, 449–465. [Google Scholar] [CrossRef]
- Cooper, K.R.; Nakayama, M.; Sasaki, Y.; Fediw, A.A.; Resende-Ide, S.; Zan, S.J. Unsteady aerodynamic force measurements on a super-tall building with a tapered cross section. J. Wind Eng. Ind. Aerodyn. 1997, 72, 199–212. [Google Scholar] [CrossRef]
- Kim, W.; Yoshida, A.; Tamura, Y.; Yi, J.H. Experimental study of aerodynamic damping of a twisted supertall building. J. Wind Eng. Ind. Aerodyn. 2018, 176, 1–12. [Google Scholar] [CrossRef]
- Chen, Z.S.; Ning, G.L.; Zhang, L.K.; Xue, X.Y.; Wang, S.Y.; Xu, Y.M.; Yuan, C.F.; Tse, T.K.; Li, C.Y.; Xue, X.Y. A comprehensive study of the aerodynamic characteristics of an aspect ratio of 6.25: 1 inclined square prism. Front. Physics 2023, 11, 1180778. [Google Scholar] [CrossRef]
- Chen, F.B.; Wang, X.L.; Zhao, Y.; Li, Y.B.; Li, Q.S.; Xiang, P.; Li, Y. Study of wind loads and wind speed amplifications on high-rise building with opening by numerical simulation and wind tunnel test. Adv. Civ. Eng. 2020, 2020, 8850688. [Google Scholar] [CrossRef]
- Sharma, A.; Mittal, H.; Gairola, A. Aerodynamics of tapered and set-back buildings using detached-eddy simulation. Wind Struct. 2019, 29, 111–127. [Google Scholar]
- Kim, Y.C.; Tamura, Y.; Tanaka, H.; Ohtake, K.; Bandi, E.K.; Yoshida, A. Wind-induced responses of super-tall buildings with various atypical building shapes. J. Wind Eng. Ind. Aerodyn. 2014, 133, 191–199. [Google Scholar] [CrossRef]
- Tanaka, H.; Tamura, Y.; Ohtake, K.; Nakai, M.; Kim, Y.C. Experimental investigation of aerodynamic forces and wind pressures acting on tall buildings with various unconventional configurations. J. Wind Eng. Ind. Aerodyn. 2012, 107, 179–191. [Google Scholar] [CrossRef]
- Kim, Y.C.; Kanda, J. Wind pressures on tapered and set-back tall buildings. J. Fluids Struct. 2013, 39, 306–321. [Google Scholar] [CrossRef]
- Bairagi, A.K.; Dalui, S.K. Estimation of wind load on stepped tall building using CFD simulation. Iran. J. Sci. Technol.-Trans. Civ. Eng. 2021, 45, 707–727. [Google Scholar] [CrossRef]
- Bairagi, A.K.; Dalui, S.K. Wind environment around the setback building models. Build. Simul. 2021, 14, 1525–1541. [Google Scholar] [CrossRef]
- Rajasekarababu, K.B.; Vinayagamurthy, G.; Selvi, R.S. Evaluation of CFD URANS turbulence models for the building under environmental wind flow with experimental validation. J. Appl. Fluid Mech. 2022, 15, 1387–1401. [Google Scholar]
- Rajasekarababu, K.B.; Vinayagamurthy, G. Experimental and computational simulation of an open terrain wind flow around a setback building using hybrid turbulence models. J. Appl. Fluid Mech. 2019, 12, 145–154. [Google Scholar] [CrossRef]
- Blocken, B. LES over RANS in building simulation for outdoor and indoor applications: A foregone conclusion? Build. Simul. 2018, 11, 821–870. [Google Scholar] [CrossRef]
- Shirzadi, M.; Mirzaei, P.A.; Tominaga, Y. CFD analysis of cross-ventilation flow in a group of generic buildings: Comparison between steady RANS, LES and wind tunnel experiments. Build. Simul. 2020, 13, 1353–1372. [Google Scholar] [CrossRef]
- Feng, C.; Gu, M. CFD simulation of wind loads of kilometer-scale super tall buildings with typical configurations in veering wind field. Struct. Des. Tall Spec. Build. 2024, 33, e2066. [Google Scholar] [CrossRef]
- Li, Y.; Zhu, Y.; Chen, F.B.; Li, Q.S. Aerodynamic loads of tapered tall buildings: Insights from wind tunnel test and CFD. Structures 2023, 56, 104975. [Google Scholar] [CrossRef]
- Xing, J. Simulation of a ground-mounted prism in ABL flow using LES: On overview of error metrics and distribution. Adv. Aerodynam. 2023, 5, 9. [Google Scholar] [CrossRef]
- Franke, J.; Hellsten, A.; Schlünzen, H.; Carissimo, B. The COST 732 Best Practice Guideline for CFD simulation of flows in the urban environment: A summary. Int. J. Environ. Pollut. 2011, 44, 419–427. [Google Scholar] [CrossRef]
- Park, S.J.; Kim, J.J. Development of a computational fluid dynamics model adopting a nested grid system: Flow simulations for ideal and real urban settings. Urban Clim. 2024, 53, 101801. [Google Scholar] [CrossRef]
- Tamura, T.; Nozawa, K.; Kondo, K. AIJ guide for numerical prediction of wind loads on buildings. J. Wind Eng. Ind. Aerodyn. 2008, 96, 1974–1984. [Google Scholar] [CrossRef]
- Zheng, D.Q.; Gu, M.; Zhang, A.S.; Zhang, J.G. Large eddy simulation of flow around a single square building model with 1:1:6 shape. J. Vib. Shock 2011, 30, 96–100. [Google Scholar]
- Thordal, M.S.; Bennetsen, J.C.; Koss, H.H.H. Review for practical application of CFD for the determination of wind load on high-rise buildings. J. Wind Eng. Ind. Aerodyn. 2019, 186, 155–168. [Google Scholar] [CrossRef]




















Disclaimer/Publisher’s Note: The statements, opinions and data contained in all publications are solely those of the individual author(s) and contributor(s) and not of MDPI and/or the editor(s). MDPI and/or the editor(s) disclaim responsibility for any injury to people or property resulting from any ideas, methods, instructions or products referred to in the content. |
© 2024 by the authors. Licensee MDPI, Basel, Switzerland. This article is an open access article distributed under the terms and conditions of the Creative Commons Attribution (CC BY) license (https://creativecommons.org/licenses/by/4.0/).
Share and Cite
Yu, N.-T.; Li, W.-H.; Zheng, Y.; Yuan, W.-B. Wind-Induced Aerodynamic Effects on Set-Back Tall Buildings Using LES. Buildings 2024, 14, 1252. https://doi.org/10.3390/buildings14051252
Yu N-T, Li W-H, Zheng Y, Yuan W-B. Wind-Induced Aerodynamic Effects on Set-Back Tall Buildings Using LES. Buildings. 2024; 14(5):1252. https://doi.org/10.3390/buildings14051252
Chicago/Turabian StyleYu, Nan-Ting, Wei-Hao Li, Yu Zheng, and Wei-Bin Yuan. 2024. "Wind-Induced Aerodynamic Effects on Set-Back Tall Buildings Using LES" Buildings 14, no. 5: 1252. https://doi.org/10.3390/buildings14051252
APA StyleYu, N.-T., Li, W.-H., Zheng, Y., & Yuan, W.-B. (2024). Wind-Induced Aerodynamic Effects on Set-Back Tall Buildings Using LES. Buildings, 14(5), 1252. https://doi.org/10.3390/buildings14051252
