Predicting the Compressive Strength of Ultra-High-Performance Concrete Based on Machine Learning Optimized by Meta-Heuristic Algorithm
Abstract
1. Introduction
2. Methodology
2.1. Regression Prediction Algorithm
2.1.1. Random Forest (RF)
2.1.2. Support Vector Machine (SVM)
2.1.3. K-Nearest Neighbor (KNN)
2.2. Parameter Tuning Algorithm
2.2.1. Particle Swarm Optimization (PSO)
2.2.2. Beetle Antenna Search (BAS)
2.2.3. Snake Optimization (SO)
2.3. Evaluation Method
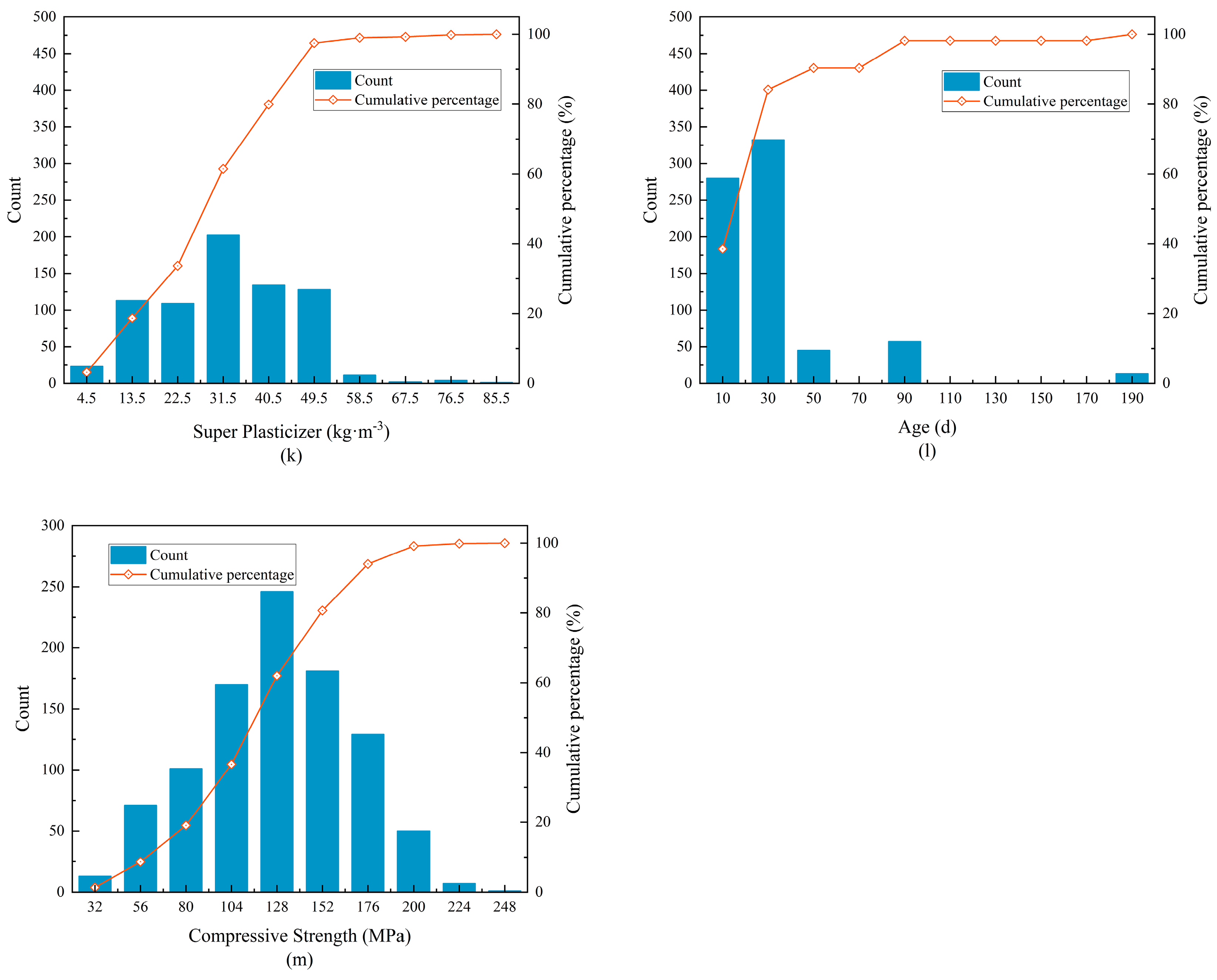
3. Data Collation and Data Construction
4. Results and Discussions
4.1. Comparison between the Primary Prediction Algorithm Results
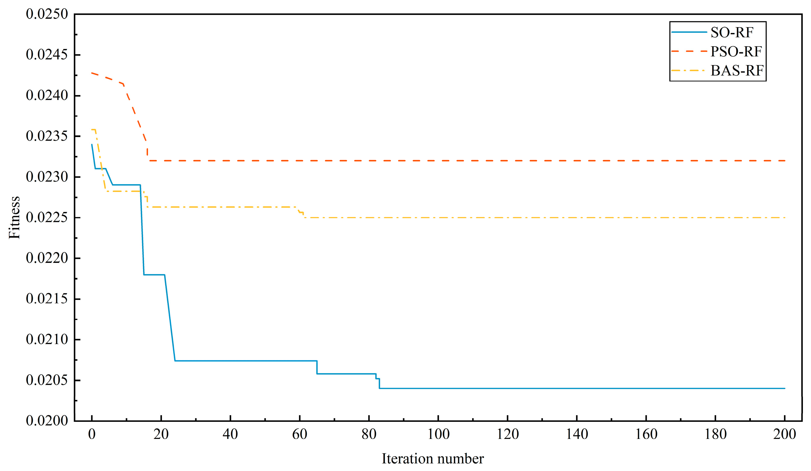
4.2. Comparison of Results after Parameter Tuning
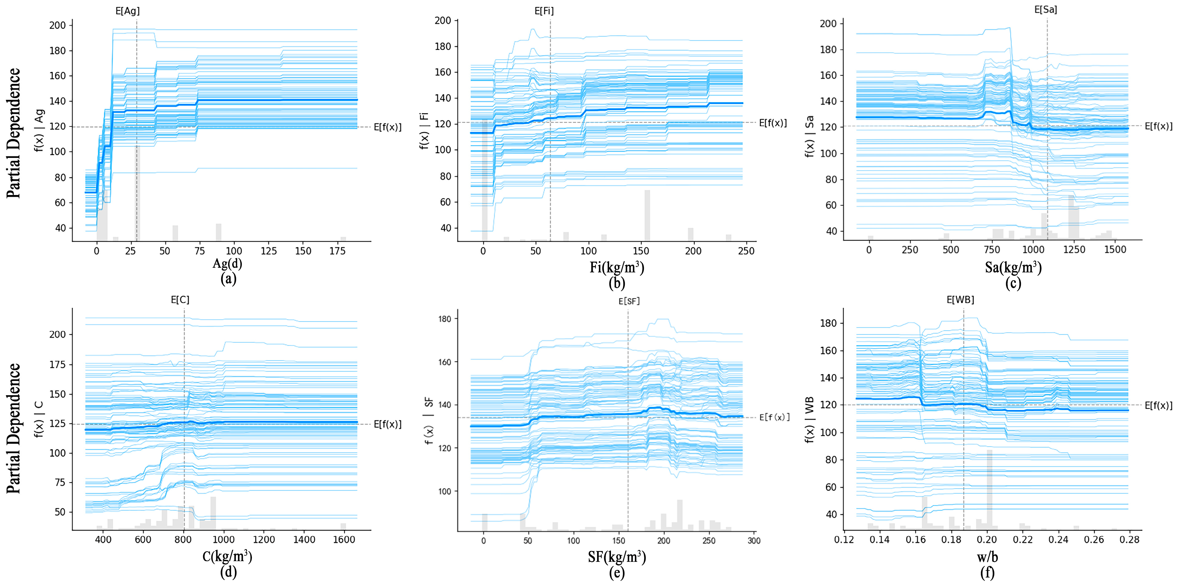
4.3. Importance Analysis and Partial Dependence Plot Analysis of Input Parameters
4.4. Partial Dependence Plot Analysis of the Important Input Parameters
5. Conclusions
- The RF model was used to predict the CS of the UHPC, and the R2 of the testing set was 0.85. However, there were some overfitting issues observed. The RF model has the potential to improve the prediction performance.
- It is necessary to tune the hyperparameters of the prediction model. The model’s prediction performance can be improved to varying degrees by using different meta-heuristic algorithms to optimize the prediction model’s hyperparameters. The SO algorithm’s optimization improvement is the most obvious, in which the R2 and RMSE were enhanced by 7.47% and 8.39%, respectively.
- The SO algorithm realizes the RF model’s optimization, reduces the overfitting degree of the RF model, and improves its prediction performance. The R2 of the training and testing sets was 0.9869 and 0.9141, respectively, which shows that the SO-RF model proposed in this paper has the best prediction performance and can achieve accurate UHPC CS prediction.
- Based on the parameters’ importance, obtained from the SO-RF model analysis, age has the greatest impact on the CS of UHPC, followed by the amount of silica fume. These observations are consistent with the existing research results.
- Partial dependence plots analysis highlighted the influence of the parameters on the predicted CS of UHPC and provided a reference for the mix proportion design of UHPC.
Supplementary Materials
Author Contributions
Funding
Data Availability Statement
Conflicts of Interest
References
- Yu, K.-Q.; Lu, Z.-D.; Dai, J.-G.; Shah, S.P. Direct tensile properties and stress–strain model of UHP-ECC. J. Mater. Civ. Eng. 2020, 32, 04019334. [Google Scholar] [CrossRef]
- Solhmirzaei, R.; Salehi, H.; Kodur, V.; Naser, M. Machine learning framework for predicting failure mode and shear capacity of ultra high performance concrete beams. Eng. Struct. 2020, 224, 111221. [Google Scholar] [CrossRef]
- Wang, X.; Wu, D.; Zhang, J.; Yu, R.; Hou, D.; Shui, Z. Design of sustainable ultra-high performance concrete: A review. Constr. Build. Mater. 2021, 307, 124643. [Google Scholar] [CrossRef]
- Aldwaik, M.; Adeli, H. Advances in optimization of highrise building structures. Struct. Multidiscip. Optim. 2014, 50, 899–919. [Google Scholar] [CrossRef]
- Shahin, M.A. State-of-the-art review of some artificial intelligence applications in pile foundations. Geosci. Front. 2016, 7, 33–44. [Google Scholar] [CrossRef]
- Sun, B.; Cui, W.; Liu, G.; Zhou, B.; Zhao, W. A hybrid strategy of AutoML and SHAP for automated and explainable concrete strength prediction. Case Stud. Constr. Mater. 2023, 19, e02405. [Google Scholar] [CrossRef]
- Salehi, H.; Burgueño, R. Emerging artificial intelligence methods in structural engineering. Eng. Struct. 2018, 171, 170–189. [Google Scholar] [CrossRef]
- Yeh, I.-C. Modeling of strength of high-performance concrete using artificial neural networks. Cem. Concr. Res. 1998, 28, 1797–1808. [Google Scholar] [CrossRef]
- Yeh, I.-C. Design of high-performance concrete mixture using neural networks and nonlinear programming. J. Comput. Civ. Eng. 1999, 13, 36–42. [Google Scholar] [CrossRef]
- Gupta, S. Support vector machines based modelling of concrete strength. Int. J. Intel. Technol. 2007, 3, 12–18. [Google Scholar]
- Topcu, I.B.; Sarıdemir, M. Prediction of compressive strength of concrete containing fly ash using artificial neural networks and fuzzy logic. Comput. Mater. Sci. 2008, 41, 305–311. [Google Scholar] [CrossRef]
- Topçu, İ.B.; Sarıdemir, M. Prediction of mechanical properties of recycled aggregate concretes containing silica fume using artificial neural networks and fuzzy logic. Comput. Mater. Sci. 2008, 42, 74–82. [Google Scholar] [CrossRef]
- Abellán-García, J. Four-layer perceptron approach for strength prediction of UHPC. Constr. Build. Mater. 2020, 256, 119465. [Google Scholar] [CrossRef]
- Kumar, R.; Rai, B.; Samui, P. A comparative study of prediction of compressive strength of ultra-high performance concrete using soft computing technique. Struct. Concr. 2023, 24, 5538–5555. [Google Scholar] [CrossRef]
- Mahjoubi, S.; Meng, W.; Bao, Y. Auto-tune learning framework for prediction of flowability, mechanical properties, and porosity of ultra-high-performance concrete (UHPC). Appl. Soft Comput. 2022, 115, 108182. [Google Scholar] [CrossRef]
- Tavares, C.; Wang, X.; Saha, S.; Grasley, Z. Machine learning-based mix design tools to minimize carbon footprint and cost of UHPC. Part 1: Efficient data collection and modeling. Clean. Mater. 2022, 4, 100082. [Google Scholar] [CrossRef]
- Bergstra, J.; Bengio, Y. Random search for hyper-parameter optimization. J. Mach. Learn. Res. 2012, 13, 281–305. [Google Scholar]
- Bao, Y.; Liu, Z. A fast grid search method in support vector regression forecasting time series. In Proceedings of the Intelligent Data Engineering and Automated Learning–IDEAL 2006: 7th International Conference, Burgos, Spain, 20–23 September 2006; pp. 504–511. [Google Scholar]
- Li, X.; Ma, H.; Zhang, C. Embedded Bionic Intelligent Optimization Scheme for Complex Systems. In Proceedings of the 2006 IEEE International Conference on Information Acquisition, Veihai, China, 20–23 August 2006; pp. 1359–1363. [Google Scholar]
- Zhang, J.; Ma, G.; Huang, Y.; Aslani, F.; Nener, B. Modelling uniaxial compressive strength of lightweight self-compacting concrete using random forest regression. Constr. Build. Mater. 2019, 210, 713–719. [Google Scholar] [CrossRef]
- Yu, Y.; Li, W.; Li, J.; Nguyen, T.N. A novel optimised self-learning method for compressive strength prediction of high performance concrete. Constr. Build. Mater. 2018, 184, 229–247. [Google Scholar] [CrossRef]
- Liaw, A.; Wiener, M. Classification and regression by randomForest. R News 2002, 2, 18–22. [Google Scholar]
- Vapnik, V.N. A note on one class of perceptrons. Automat. Rem. Control 1964, 25, 821–837. [Google Scholar]
- Smola, A.J.; Schölkopf, B. A tutorial on support vector regression. Stat. Comput. 2004, 14, 199–222. [Google Scholar] [CrossRef]
- Kennedy, J.; Eberhart, R. Particle swarm optimization. In Proceedings of the ICNN’95-International Conference on Neural Networks, Perth, WA, Australia, 27 November 1995–1 December 1995; pp. 1942–1948. [Google Scholar]
- Jiang, X.; Li, S. BAS: Beetle antennae search algorithm for optimization problems. Int. J. Robot. Control 2018, 1, 1–5. [Google Scholar] [CrossRef]
- Hashim, F.A.; Hussien, A.G. Snake Optimizer: A novel meta-heuristic optimization algorithm. Knowl.-Based Syst. 2022, 242, 108320. [Google Scholar] [CrossRef]
- Wang, C.; Yang, C.; Liu, F.; Wan, C.; Pu, X. Preparation of ultra-high performance concrete with common technology and materials. Cem. Concr. Compos. 2012, 34, 538–544. [Google Scholar] [CrossRef]
- Ghafari, E.; Costa, H.; Júlio, E.; Portugal, A.; Durães, L. The effect of nanosilica addition on flowability, strength and transport properties of ultra high performance concrete. Mater. Des. 2014, 59, 1–9. [Google Scholar] [CrossRef]
- Randl, N.; Steiner, T.; Ofner, S.; Baumgartner, E.; Mészöly, T. Development of UHPC mixtures from an ecological point of view. Constr. Build. Mater. 2014, 67, 373–378. [Google Scholar] [CrossRef]
- Yu, R.; Spiesz, P.; Brouwers, H. Effect of nano-silica on the hydration and microstructure development of Ultra-High Performance Concrete (UHPC) with a low binder amount. Constr. Build. Mater. 2014, 65, 140–150. [Google Scholar] [CrossRef]
- Yu, R.; Spiesz, P.; Brouwers, H. Mix design and properties assessment of ultra-high performance fibre reinforced concrete (UHPFRC). Cem. Concr. Res. 2014, 56, 29–39. [Google Scholar] [CrossRef]
- Yu, R.; Spiesz, P.; Brouwers, H. Development of Ultra-High Performance Fibre Reinforced Concrete (UHPFRC): Towards an efficient utilization of binders and fibres. Constr. Build. Mater. 2015, 79, 273–282. [Google Scholar] [CrossRef]
- Janković, K.; Stanković, S.; Bojović, D.; Stojanović, M.; Antić, L. The influence of nano-silica and barite aggregate on properties of ultra high performance concrete. Constr. Build. Mater. 2016, 126, 147–156. [Google Scholar] [CrossRef]
- Wu, Z.; Shi, C.; Khayat, K.H.; Wan, S. Effects of different nanomaterials on hardening and performance of ultra-high strength concrete (UHSC). Cem. Concr. Compos. 2016, 70, 24–34. [Google Scholar] [CrossRef]
- Hassan, M.; Wille, K. Experimental impact analysis on ultra-high performance concrete (UHPC) for achieving stress equilibrium (SE) and constant strain rate (CSR) in Split Hopkinson pressure bar (SHPB) using pulse shaping technique. Constr. Build. Mater. 2017, 144, 747–757. [Google Scholar] [CrossRef]
- Jang, H.-O.; Lee, H.-S.; Cho, K.; Kim, J. Experimental study on shear performance of plain construction joints integrated with ultra-high performance concrete (UHPC). Constr. Build. Mater. 2017, 152, 16–23. [Google Scholar] [CrossRef]
- Shafieifar, M.; Farzad, M.; Azizinamini, A. Experimental and numerical study on mechanical properties of Ultra High Performance Concrete (UHPC). Constr. Build. Mater. 2017, 156, 402–411. [Google Scholar] [CrossRef]
- Wu, Z.; Shi, C.; He, W.; Wang, D. Static and dynamic compressive properties of ultra-high performance concrete (UHPC) with hybrid steel fiber reinforcements. Cem. Concr. Compos. 2017, 79, 148–157. [Google Scholar] [CrossRef]
- Kang, S.-H.; Jeong, Y.; Tan, K.H.; Moon, J. The use of limestone to replace physical filler of quartz powder in UHPFRC. Cem. Concr. Compos. 2018, 94, 238–247. [Google Scholar] [CrossRef]
- Sadrmomtazi, A.; Tajasosi, S.; Tahmouresi, B. Effect of materials proportion on rheology and mechanical strength and microstructure of ultra-high performance concrete (UHPC). Constr. Build. Mater. 2018, 187, 1103–1112. [Google Scholar] [CrossRef]
- Song, Q.; Yu, R.; Shui, Z.; Wang, X.; Rao, S.; Lin, Z. Optimization of fibre orientation and distribution for a sustainable Ultra-High Performance Fibre Reinforced Concrete (UHPFRC): Experiments and mechanism analysis. Constr. Build. Mater. 2018, 169, 8–19. [Google Scholar] [CrossRef]
- Wu, Z.; Shi, C.; Khayat, K.H.; Xie, L. Effect of SCM and nano-particles on static and dynamic mechanical properties of UHPC. Constr. Build. Mater. 2018, 182, 118–125. [Google Scholar] [CrossRef]
- Kang, S.-H.; Hong, S.-G.; Moon, J. The use of rice husk ash as reactive filler in ultra-high performance concrete. Cem. Concr. Res. 2019, 115, 389–400. [Google Scholar] [CrossRef]
- Li, Y.; Tan, K.H.; Yang, E.-H. Synergistic effects of hybrid polypropylene and steel fibers on explosive spalling prevention of ultra-high performance concrete at elevated temperature. Cem. Concr. Compos. 2019, 96, 174–181. [Google Scholar] [CrossRef]
- Yoo, D.-Y.; Kim, M.-J. High energy absorbent ultra-high-performance concrete with hybrid steel and polyethylene fibers. Constr. Build. Mater. 2019, 209, 354–363. [Google Scholar] [CrossRef]
- Zhang, H.; Ji, T.; He, B.; He, L. Performance of ultra-high performance concrete (UHPC) with cement partially replaced by ground granite powder (GGP) under different curing conditions. Constr. Build. Mater. 2019, 213, 469–482. [Google Scholar] [CrossRef]
- Zhang, X.; Zhao, S.; Liu, Z.; Wang, F. Utilization of steel slag in ultra-high performance concrete with enhanced eco-friendliness. Constr. Build. Mater. 2019, 214, 28–36. [Google Scholar] [CrossRef]
- Alsalman, A.; Dang, C.N.; Prinz, G.S.; Hale, W.M. Evaluation of modulus of elasticity of ultra-high performance concrete. Constr. Build. Mater. 2017, 153, 918–928. [Google Scholar] [CrossRef]
- Ahmad, S.; Mohaisen, K.O.; Adekunle, S.K.; Al-Dulaijan, S.U.; Maslehuddin, M. Influence of admixing natural pozzolan as partial replacement of cement and microsilica in UHPC mixtures. Constr. Build. Mater. 2019, 198, 437–444. [Google Scholar] [CrossRef]
- Gesoglu, M.; Güneyisi, E.; Asaad, D.S.; Muhyaddin, G.F. Properties of low binder ultra-high performance cementitious composites: Comparison of nanosilica and microsilica. Constr. Build. Mater. 2016, 102, 706–713. [Google Scholar] [CrossRef]
- Yang, R.; Yu, R.; Shui, Z.; Gao, X.; Xiao, X.; Zhang, X.; Wang, Y.; He, Y. Low carbon design of an Ultra-High Performance Concrete (UHPC) incorporating phosphorous slag. J. Clean. Prod. 2019, 240, 118157. [Google Scholar] [CrossRef]
- Rajasekar, A.; Arunachalam, K.; Kottaisamy, M. Assessment of strength and durability characteristics of copper slag incorporated ultra high strength concrete. J. Clean. Prod. 2019, 208, 402–414. [Google Scholar] [CrossRef]
- Gesoglu, M.; Güneyisi, E.; Muhyaddin, G.F.; Asaad, D.S. Strain hardening ultra-high performance fiber reinforced cementitious composites: Effect of fiber type and concentration. Compos. Part B-Eng. 2016, 103, 74–83. [Google Scholar] [CrossRef]
- Yoo, D.-Y.; Shin, H.-O.; Yang, J.-M.; Yoon, Y.-S. Material and bond properties of ultra high performance fiber reinforced concrete with micro steel fibers. Compos. Part B-Eng. 2014, 58, 122–133. [Google Scholar] [CrossRef]
- Marani, A.; Jamali, A.; Nehdi, M.L. Predicting ultra-high-performance concrete compressive strength using tabular generative adversarial networks. Materials 2020, 13, 4757. [Google Scholar] [CrossRef] [PubMed]
- Tabachnick, B.G.; Fidell, L.S.; Ullman, J.B. Using Multivariate Statistics; Pearson: Boston, MA, USA, 2013; Volume 6. [Google Scholar]
- DeRousseau, M.; Laftchiev, E.; Kasprzyk, J.; Rajagopalan, B.; Srubar, W.J.C., III; Materials, B. A comparison of machine learning methods for predicting the compressive strength of field-placed concrete. Constr. Build. Mater. 2019, 228, 116661. [Google Scholar] [CrossRef]
- Abellan-Garcia, J.; Guzmán-Guzmán, J.S. Random forest-based optimization of UHPFRC under ductility requirements for seismic retrofitting applications. Constr. Build. Mater. 2021, 285, 122869. [Google Scholar] [CrossRef]
- Nguyen, D.L.; Thai, D.K.; Nguyen, H.T.; Tran, N.T.; Phan, T.D.; Kim, D.J. Mechanical behaviors and their correlations of ultra-high-performance fiber-reinforced concretes with various steel fiber types. Struct. Concr. 2023, 24, 1179–1200. [Google Scholar] [CrossRef]
- Bu, J.; Tian, Z.; Zheng, S.; Tang, Z. Effect of sand content on strength and pore structure of cement mortar. J. Wuhan Univ. Technol.-Mater. Sci. Ed. 2017, 32, 382–390. [Google Scholar] [CrossRef]
- Chang, W.; Zheng, W. Effects of key parameters on fluidity and compressive strength of ultra-high performance concrete. Struct. Concr. 2020, 21, 747–760. [Google Scholar] [CrossRef]
- Hilloulin, B.; Tran, V.Q. Using machine learning techniques for predicting autogenous shrinkage of concrete incorporating superabsorbent polymers and supplementary cementitious materials. J. Build. Eng. 2022, 49, 104086. [Google Scholar] [CrossRef]
- Xu, D.; Tang, J.; Hu, X.; Zhou, Y.; Yu, C.; Han, F.; Liu, J. Influence of silica fume and thermal curing on long-term hydration, microstructure and compressive strength of ultra-high performance concrete (UHPC). Constr. Build. Mater. 2023, 395, 132370. [Google Scholar] [CrossRef]


















| Variable | C (kg·m−3) | SF (kg·m−3) | S (kg·m−3) | FA (kg·m−3) | LP (kg·m−3) | NS (kg·m−3) | w/b |
|---|---|---|---|---|---|---|---|
| Maximum | 1600 | 433.7 | 375 | 356 | 1058.2 | 47.5 | 0.27 |
| Minimum | 325.3 | 0 | 0 | 0 | 0 | 0 | 0.1 |
| Average | 777.34 | 150.04 | 16.30 | 29.91 | 39.91 | 3.65 | 0.19 |
| Median | 784 | 178 | 0 | 0 | 0 | 0 | 0.2 |
| Standard deviation | 198.76 | 100.65 | 62.85 | 70.63 | 135.55 | 8.13 | 0.03 |
| Variable | QP (kg·m−3) | Sa (kg·m−3) | Fi (kg·m−3) | SP (kg·m−3) | Ag (d) | CS (MPa) | |
| Maximum | 750 | 1700 | 430 | 88.09 | 180 | 230 | |
| Minimum | 0 | 0 | 0 | 0 | 1 | 28.51 | |
| Average | 28.11 | 1063.01 | 58.09 | 31.17 | 28.77 | 122.85 | |
| Median | 0 | 1079 | 0 | 30.52 | 28 | 123.05 | |
| Standard deviation | 79.11 | 273.99 | 74.93 | 13.82 | 30.95 | 33.89 |
| Training Data | Testing Data | |||
|---|---|---|---|---|
| R2 | RMSE | R2 | RMSE | |
| RF | 0.9813 | 0.0234 | 0.8506 | 0.0632 |
| SVR | 0.7995 | 0.0765 | 0.7252 | 0.0857 |
| KNN | 0.8018 | 0.4508 | 0.6797 | 0.5485 |
| Training Data | Testing Data | |||
|---|---|---|---|---|
| R2 | RMSE | R2 | RMSE | |
| SO-RF | 0.9869 | 0.0204 | 0.9141 | 0.0579 |
| PSO-RF | 0.9815 | 0.0232 | 0.8529 | 0.0627 |
| BAS-RF | 0.9843 | 0.0225 | 0.8607 | 0.0602 |
Disclaimer/Publisher’s Note: The statements, opinions and data contained in all publications are solely those of the individual author(s) and contributor(s) and not of MDPI and/or the editor(s). MDPI and/or the editor(s) disclaim responsibility for any injury to people or property resulting from any ideas, methods, instructions or products referred to in the content. |
© 2024 by the authors. Licensee MDPI, Basel, Switzerland. This article is an open access article distributed under the terms and conditions of the Creative Commons Attribution (CC BY) license (https://creativecommons.org/licenses/by/4.0/).
Share and Cite
Li, Y.; Yang, X.; Ren, C.; Wang, L.; Ning, X. Predicting the Compressive Strength of Ultra-High-Performance Concrete Based on Machine Learning Optimized by Meta-Heuristic Algorithm. Buildings 2024, 14, 1209. https://doi.org/10.3390/buildings14051209
Li Y, Yang X, Ren C, Wang L, Ning X. Predicting the Compressive Strength of Ultra-High-Performance Concrete Based on Machine Learning Optimized by Meta-Heuristic Algorithm. Buildings. 2024; 14(5):1209. https://doi.org/10.3390/buildings14051209
Chicago/Turabian StyleLi, Yuanyuan, Xinxin Yang, Changyun Ren, Linglin Wang, and Xiliang Ning. 2024. "Predicting the Compressive Strength of Ultra-High-Performance Concrete Based on Machine Learning Optimized by Meta-Heuristic Algorithm" Buildings 14, no. 5: 1209. https://doi.org/10.3390/buildings14051209
APA StyleLi, Y., Yang, X., Ren, C., Wang, L., & Ning, X. (2024). Predicting the Compressive Strength of Ultra-High-Performance Concrete Based on Machine Learning Optimized by Meta-Heuristic Algorithm. Buildings, 14(5), 1209. https://doi.org/10.3390/buildings14051209
