Next Article in Journal
Predicting the Compressive Strength of Ultra-High-Performance Concrete Based on Machine Learning Optimized by Meta-Heuristic Algorithm
Previous Article in Journal
Mechanical Performance Optimization and Microstructural Mechanism Study of Alkali-Activated Steel Slag–Slag Cementitious Materials
 
 
Font Type:
Arial Georgia Verdana
Font Size:
Aa Aa Aa
Line Spacing:
Column Width:
Background:
Article

Multi-Parameter Experimental Research on the Expansion Force Affecting Lime-Sand Piles under Preloading Pressure

1
Department of Civil Engineering, Xi’an University of Technology, Xi’an 710048, China
2
Shaanxi Ancient Construction Garden Construction Group Co., Ltd., Xi’an 710003, China
*
Author to whom correspondence should be addressed.
Buildings 2024, 14(5), 1208; https://doi.org/10.3390/buildings14051208
Submission received: 29 March 2024 / Revised: 19 April 2024 / Accepted: 20 April 2024 / Published: 24 April 2024
(This article belongs to the Section Building Materials, and Repair & Renovation)

Abstract

Aiming at the problems that it is difficult to control the expansion force of lime-sand pile in the foundation correcting and how the upper existing structural pressure affects the expansion force of lime-sand pile, this paper adopts a new type of lime-sand pile reaction tester to carry out the experimental research on the expansion force of lime-sand pile under the influences of different pre-pressure, different mixing ratios, different heights, and different granular sizes. The purpose of this paper is to explore the influence of the pre-pressure brought by the existing building structure on the expansion force of the lime-sand pile and the coupling effect of the pre-pressure and other influencing factors on the expansion force of the lime-sand pile through the multi-parameter test. The results show that with the increase in pre-pressure, the expansion force of the lime-sand pile shows the trend of increasing first and then decreasing when the pre-pressure is 0.88 KN, the effect is most obvious and its expansion force can be increased by 14.9%. Within a certain range, the larger the proportion of quicklime is, the lower the expansion reaction force is. The expansion force of the lime-sand pile with the ratio of lime/sand/soil of 5:4:1 is the most ideal, and its value reaches 10.2 KN, which is 10% and 15.3% higher than the rest of the two groups, respectively. Within a certain range, the effect of specimen height change on the expansion force of the lime-sand pile is almost negligible. The smaller particle size of quicklime makes its reaction speed faster, the reaction degree is more full, and the expansion force is greater. The expansion force of the small particle size group was 12.1% and 34.2% higher than that of the medium and large particle size groups, respectively.

1. Introduction

A lime-sand pile is a pile made of a mixture of three materials, namely lime, sand, and soil, which have a high degree of water absorption. When the lime-sand pile absorbs water, the quicklime in it undergoes a hydration reaction and is converted into calcium hydroxide (Ca(OH)2). This process absorbs water and generates a lot of heat. Inside the lime-sand pile, the micropores and pore structure in the calcium hydroxide adsorb moisture from the soil and allow moisture to penetrate the interior of the pile. With the adsorption and penetration of water, calcium hydroxide will gradually expand and fill the gaps between the soil particles, increasing the compactness and strength of the soil. This can achieve a reinforcing effect on the foundation [1,2,3,4,5,6]. The lime-sand pile has several advantages in dealing with uneven settlement of house foundations in wet subsidence loess areas and in dealing with weak foundations to improve foundation bearing capacity: less excavation, fast construction, convenient supply of raw materials, low cost, and it can greatly improve foundation bearing capacity. The economy and reliability of lime-sand piles have been generally recognized by the engineering community and are widely used in a large number of engineering practices [7,8,9,10,11].
In recent years, many scholars and engineers have carried out a great deal of research related to lime-sand piles. In the study of improving the bearing capacity of the foundation, Hussain Shabir et al. [12,13] investigated the effect of lime piles on natural soils. The experimental results showed that the lime piles significantly increased the bearing capacity and stiffness of the soil at high shear strength. Jingshuang Li et al. [14,15] through various field tests verified the reinforcement of lime piles and further tests were carried out in the laboratory, which showed that the dry density of the soil increased by nearly 20%, and when the internal friction was the same, the main reason for the increase in shear strength was the increase in the cohesion index of 27%. The wet subsidence coefficients of different depths were examined, and it was concluded that they were significantly eliminated. Pei Chen et al. [1,14,16,17,18,19,20] indicated that lime-sand piles are mostly used for the reinforcement of soft ground and wet subsidence loess areas, and lime-sand piles are used to absorb the water in the water-infiltrated foundation to restore and improve the bearing capacity of the foundation, and the bearing capacity and stability of the foundation can be satisfied after the treatment.
In the study of expansion, Xuelang Wang et al. [21] explored the theory of lime piles for the reinforcement of wet subsidence loess, and through the expansion and compaction process of the lime piles of the circular hole expansion theory, solved the elastic–plastic problem of the compaction effect of lime compaction piles, and also determined the effective expansion radius and stress change rule between piles. Xiangjun Pei et al. [22] researched the physicochemical and index properties of the modified loess with added lime and fly ash piles, and the experimental results showed that in the range of 5 cm–20 cm (different radial distances from the lime and fly ash piles distances), the specific surface area, cation exchange capacity, water content, and liquid limit increased, while the density and plastic limit decreased with increasing radial distance, and the hardness value of the lime and fly ash pile loess showed an inverse relationship with increasing radius. Dai Hong et al. [23] summarised the optimum mixing ratio of double-lime piles and researched the action principle of fly ash + quicklime for corrective reinforcement of existing buildings, which was applied in actual projects. Haizhen Mi et al. [24,25,26] conducted indoor tests and obtained the expansion law of quicklime, that is, no matter how other influencing factors change, the volume expansion coefficient η of quicklime and the binding force p always have the following mathematical relationship: η = A ln p + B, which is obtained by the test. When it is used for foundation treatment, the expansion coefficient η depends on the lateral pressure coefficient K0, gravity γ and depth z of the foundation soil, and the relationship is: η = A ln(K0γz) + B. The formula can provide a more reliable and accurate calculation basis for foundation treatment problems related to quicklime. Xinzhong Zhang et al. [27,28,29] proved that lime piles have a high value of application in corrective reinforcement of hazardous housing foundations through engineering examples of high application values, which provides a new technical way for the reinforcement of weak foundations and the renovation of dangerous houses. Hussein Mohamed et al. [30,31,32] researched and investigated the effect of lime-sand piles on the behavior of expanding clays, and the experimental results showed that there was a significant improvement in the reduction in the expansion potential of expanding clays by lime-sand pile reinforcement. This improvement increased with the increase in substitution area ratio and lime content.
In the study of frozen soil pre-thaw, Chenxi Zhang et al. [33,34,35,36,37] conducted lime pile pre-thawing treatment tests on island perennial permafrost, which resulted in a series of test parameters for the pre-thawing treatment of island perennial permafrost, and the pre-thawing treatment of lime piles was able to melt all the permafrost within a certain range between the piles and improve the density of the soil between the piles.
It can be seen from the above that researchers have carried out a lot of research on pile materials, improving foundation bearing capacity, expansion, and pre-melting of frozen soil, and have achieved many important results. However, most of the available indoor experimental studies are based on conventional consolidation apparatus, which has fewer variable parameters, is limited in the amount of specimen that can be accommodated as well as the height at which the specimen can be loaded, and is unable to directly measure the expansion force of lime-sand piles, and many of the researches have mainly focused on the effects of single factors, such as the lime-sand mixing ratio and the shape of lime-sand piles. However, due to the diversity of geological soil conditions and construction parameters, the results of single-factor research cannot fully reflect the actual engineering situation.
The former site of Baoji Shenxin Yarn Factory is located in Nanqiao Village, Chengguan Town, Meixian County, Baoji City, Shaanxi Province, China, on the Loess Plateau in the northwestern part of Baoji City. Built between 1940 and 1941, this industrial site is one of the best-preserved antiwar industrial sites in China. The former site of Baoji Shenxin Yarn Factory was the front line of industrial production in support of the war against war in the northwest of China, and one of the most important industrial bases in China during the war against war, which was famous both at home and abroad. It witnessed the great history of national entrepreneurs’ industrial salvation and played an important role in China’s industrial and economic development at that time. The main building of the Yarn Factory is a kiln workshop, with a layout of a 24-hole kiln, the architectural form of the building according to the mountain, sitting in the north and facing the south. The interior of the kiln is crisscrossed by the main kiln in the vertical direction and the branch holes in the horizontal direction, showing a unique net-like distribution [38,39,40]. However, with the passage of time and the influence of the natural environment, the loess stratum in the Baoji area has a high degree of wetness and will expand and contract when it encounters moisture. The collapsibility of loess leads to uneven settlement of the foundation, which causes more serious damage to buildings, such as (a) wall cracks, (b) arch ring dislocation cracks, (c) local collapse and (d) wall seepage in Figure 1. Therefore, the protection and restoration of the old site of Baoji Shenxin Yarn Factory have important historical, cultural and social significance. It is not only an important cultural heritage of Baoji City but also an important part of the national Anti-Japanese War sites [41].
In this regard, we propose the use of lime-sand piles to correct the deflection and reinforce the foundation of the existing building structure. However, there are still some unsolved problems in the use of lime-sand piles in actual projects, especially when the expansion of lime-sand piles is utilized for the reinforcement of existing building structures in the above projects. The contradiction between the insufficiency of the expansion force of the lime-sand piles and the difficulty of controlling it accurately, as well as how much the pressure brought by the existing building structures on the expansion force of the lime-sand piles affect the expansion force of the lime-sand piles, are all worthy of our further research and solution. Therefore, we adopt a new type of test setup and design a series of indoor tests, during which a series of lime-sand pile specimens under different pre-pressures are prepared, and the expansion force and temperature are measured and analyzed by appropriate test methods and instruments. This study aims to deeply investigate the effect of the pre-pressure brought about by the existing upper building structure on the expansion force of the lime-sand piles through multi-parameter tests, as well as the coupling effect of the pre-pressure brought about by the existing upper building structure and other influencing factors on the expansion force of the lime-sand piles. The results of this study will provide an important reference for optimizing the design and construction of lime-sand piles.

2. Experimental Design, Materials, and Methods

2.1. Experimental Design

The water absorption and expansion of lime-sand piles are affected by many factors, the most important ones being pile material ratio, grain size, pre-pressure, etc. [42]. To analyze the influence degree of each main factor, the test design is for different pre-pressure, as well as under a certain amount of pre-pressure to select different grain sizes, different ratios (quicklime, sand, and soil), and the height of the lime-sand pile for group testing. At the same time, the expansion force and temperature changes with time, the physical condition after expansion, and the final water absorption of the lime-sand pile were observed and recorded.

2.2. Experimental Materials

According to the test program, the materials such as soil samples, sand, and lime powder used in the test were selected and are described below.
(1) The soil samples used in the test were taken from the old site of Baoji Shenxin Yarn Factory, with a sampling depth of about 3.0 m below the ground, and the soil samples taken were light-yellow pulverized clay, whose physical and mechanical properties are shown in Table 1.
(2) Lime is made from commercially available block quicklime, which is chemically composed of calcareous lime powder, which is ground and processed into quicklime powder, the parameters of quicklime are shown in Table 2.
(3) The sand used is medium-coarse sand sourced from the local sand and gravel quarry in Baoji, and the parameters of the sand are shown in Table 3.

2.3. Experimental Methods

(1) Test grouping table: according to the kiln workshop at the old site of the Baoji Shenxin Yarn Factory, the project example calculated on the upper part of the existing building structure to bring the pre-pressure for 96.83 kN/m2 with a specimen diameter of 10.5 cm, the calculation of the corresponding role in the specimen on the upper part of the pre-pressure for 0.88 kN will be divided into the pre-pressure 0 kN, 0.44 kN, 0.88 kN, 1.32 kN, 1.76 kN, and the specimens will be divided into 11 groups; see Table 4.
(2) Test conditions: The test used a new type of lime-sand pile reaction tester developed by the project team; see Figure 2. Most of the existing indoor experimental studies use the traditional consolidation tester. Compared with the traditional testing instruments, the new lime-sand pile reaction tester is not limited by the number of specimens that can be accommodated and the height of specimen loading, and it can directly measure the expansion force and the change in the temperature of the lime-sand pile.
(3) The test process: The fresh block lime was crushed and passed through the sieves with 0.5 mm, 1 mm and 2 mm apertures, respectively, to obtain fresh lime powder with three particle sizes (small, medium and large). According to the mixing ratio of different samples and the height of the sample, the mass of lime, sand and soil required in each sample was calculated according to the volume ratio. Lime, sand and soil were weighed on an electronic scale according to the quality requirement and mixed and stirred well after weighing. An absorbent cotton rope was threaded through the water inlet hole in the wall of the sample cylinder as shown in Figure 3a. The mixed sample was loaded into the sample cylinder as shown in Figure 3b. With the cover on, the sample cartridge was placed on the bearing platform and the bearing height adjustment wheel was rotated to raise the bearing platform. Once the force ring readings reached the required pre-pressure for each set of tests, we stopped rotating the table height adjustment wheel and returned the force ring readings to zero. The pre-measured water was added from the gauge cylinder to the fill cylinder as shown in Figure 3c. At the same time, we immediately inserted the temperature sensor probe into the water and began the test as shown in Figure 3d. At this point, the temperature was the initial water temperature and the gauge ring read zero. As the absorbent cotton rope continued to absorb water, the quicklime in the specimen cylinder absorbed water and expanded, the expansion force caused the sample to squeeze the cover plate, which caused the force ring readings to change, as shown in Figure 3e. During this process, the force ring readings and temperature data were continuously recorded. When the force ring value reached its maximum value and did not increase any further, the reaction was over, i.e., the test was complete, as shown in Figure 3f. After recording the final data, the test cylinder was removed and the remaining water in the water filler cylinder was poured into the measuring cylinder and the amount of water remaining was recorded.

3. Analysis of Test Results

3.1. Analysis of Different Pre-Stress Test Results

The selected five groups of specimens (Sample 1, Sample 8, Sample 9, Sample 10, Sample 11) were subjected to different levels of pre-pressure, the mixing ratio of the five groups of specimens, i.e., lime/sand/soil was 5:4:1, the height of the specimens was 5 cm, the particle sizes of the quicklime were all small particle sizes (0.5 mm), and we collected data of different pre-pressure tests for the five groups of expansion force and temperature test data under different pre-pressures; see Table 5.
The time–expansion force relationship curves for each group of tests under different levels of pre-pressure were plotted as shown in Figure 4. As can be seen in Figure 4, the growth of the expansion force of lime-sand piles without pre-pressure over time can be roughly divided into three stages: Stage I (0~80 min), the rapid growth stage, in which the water in the water-filled cylinder enters into the specimen cylinder through the water-absorbent cotton rope to react with the lime in the specimen of the lime-sand piles rapidly, and the expansion force of the lime-sand piles grows sharply. The expansion force of the lime-sand pile grows rapidly. Stage II (80~240 min), the slow growth stage. Because the sample around the absorbent cotton rope in the sample cylinder in Stage I of the hydration reaction occurs in the presence of water, the sample around the cotton rope produces cementation to form a more dense structure, resulting in stage II of the water infiltration rate slowing down, so stage II of the lime-sand pile expansion force grows more slowly. This process is a very good simulation of the actual project. This process is a good simulation of the actual engineering of lime-sand piles in contact with the soil on the outside of the mixture of the consolidation process that will lead to changes in the physical properties of the soil around the pile, the formation of a certain degree of soil cementation, and hydration reaction products. These cementation and reaction products can fill the pores in the pile body and slow down the penetration of water, resulting in relatively slow water entry into the pile heart. Stage III (after 240 min), the stabilization stage, in which the lime has reacted in the lime-sand pile specimen, and the expansion force is gradually stabilized. As can be seen in Figure 4, for the four groups of tests under the action of pre-pressure, the growth process of the expansion force of lime-sand pile over time can be roughly divided into the same three phases mentioned above, but due to the action of different pre-pressure, resulting in different degrees of compactness of the internal structure of the lime-sand pile specimen, the porosity between the particles is different, and the rate of the hydration reaction is different, which leads to the different pre-pressure under the growth process of the expansion force of the lime-sand pile in the three stages of different pre-pressure. The starting and termination times are different. Comparing the five sets of test data, it can be seen that the expansion of the lime-sand pile with 0.44 kN and 0.88 kN pre-pressure increased by 6.6% and 14.9%, respectively, compared with that without pre-pressure; however, as the pre-pressure continued to increase, the expansion force of the lime-sand pile specimens under the pre-pressure of 1.32 kN and 1.76 kN gradually decreased compared with that without pre-pressure. Therefore, it can be inferred that all other influencing factors being equal, applying appropriate pre-pressure to the lime-sand piles can increase their expansion force by about 15% maximum, and if too much pre-pressure is applied, it will lead to the structure being too tight, which will limit the penetration of water into the lime-sand piles. This would result in some reduction in the expansion force of the lime-sand piles.
The time–temperature relationship curves for each group of tests under different levels of pre-pressure are plotted as shown in Figure 5. Combined with Figure 4 and Figure 5, it can be seen that the time-dependent temperature change process of the expanded specimens of lime-sand piles under different pre-pressures of five groups can be roughly classified into three phases corresponding to the process of the growth of the expansion force: Stage I of the sharp increase in temperature stage, which refers to the initial stage of the reaction of the lime-sand with the water, and the hydration reaction releasing the heat, leading to a rapid increase in pile temperature. In this stage, the temperature change is more rapid, and a large temperature difference usually occurs. Stage II of the slow temperature rise stage, where as the hydration reaction continues, the temperature inside the lime-sand pile will continue to rise. In this stage, the rate of temperature change may gradually slow down, but there is still a continuous warming trend. Stage III, the warming stop stage. When the hydration reaction inside the lime-sand pile gradually tends to end, the temperature change will gradually stabilize; in this stage, the temperature change in the pile body is small, and it can be approximated as temperature stability. It can be seen that the greater the pre-pressure applied to the lime-sand pile specimen will result in a slower temperature rise, and the greater the pre-pressure, the shorter the duration of the sharp rise in temperature in Stage I, and the longer the duration of the slow warming stage in Stage II, and the lowering of the peak temperature at the same time.

3.2. Analysis of Test Results of Different Mixing Ratios

For the selected three groups of specimens (Sample 1, Sample 2, Sample 3), the three groups of specimens, i.e., the mixing ratio of lime/sand/soil is 5:4:1, 6:3:1, 7:2:1, respectively, and the pre-pressure of the three groups of lime-sand pile specimens is 0.88 kN, the heights of the specimens are all 5 cm, the grain size of the raw stone is small (0.5 mm), and we collected the data of the three groups of mixing ratios, which are shown in Table 6. For the expansion force and temperature test data of the tests, see Table 6.
The time–expansion force relationship curves for each group of tests were plotted as shown in Figure 6, from which it can be seen that the growth of expansion force over time for lime-sand piles with a mixing ratio of 5:4:1 and a mixing ratio of 6:3:1 under the action of the 0.88 kN pre-pressure can be roughly divided into three phases: phase I (0~120 min), the rapid growth phase; phase II (120~420 min), the slow growth phase; and phase III (after 420 min), the stabilization stage. The reasons for the distribution of these three stages are the same as those of the different pre-pressure test sections, and will not be repeated here. For a specimen with a ratio of 7:2:1, the growth of expansion force over time is different from the above two groups of specimens, and can be roughly divided into four stages: Stage I (0–120 min), the initial growth stage; Stage II (120–260 min), the medium-term rapid growth stage; Stage III (260–450 min), the late slow growth stage; Stage IV (450 min later), the stabilization stage. The final expansion force of the specimens with mixing ratios of 5:4:1, 6:3:1, and 7:2:1 is 10.51 kN, 9.3 kN, and 8.85 kN in order, through which it can be seen that under the application of pre-pressure, the expansion force of the specimens of the lime-sand piles will be even lower when the percentage of quicklime is too big, which may be caused by the following two reasons: Firstly, under the action of the pre-pressure, the particles of the lime-sand in the lime-sand piles will be compacted and the gap ratio and permeability are reduced, which limits the migration ability of water and gas, leading to the slowing down of hydration reaction and bubble diffusion, thus reducing the expansion capacity of the lime-sand pile. Secondly, because of the encapsulation and dispersion of quicklime particles, a larger proportion of quicklime particles may form agglomerates in the lime-sand or aggregate with other particles, in which case, the dispersion and cross-linking of the quicklime particles are reduced, limiting the hydration reaction ability of the limestone particles and the generation of calcium compounds, which leads to a reduction in the expansion capacity of the pile.
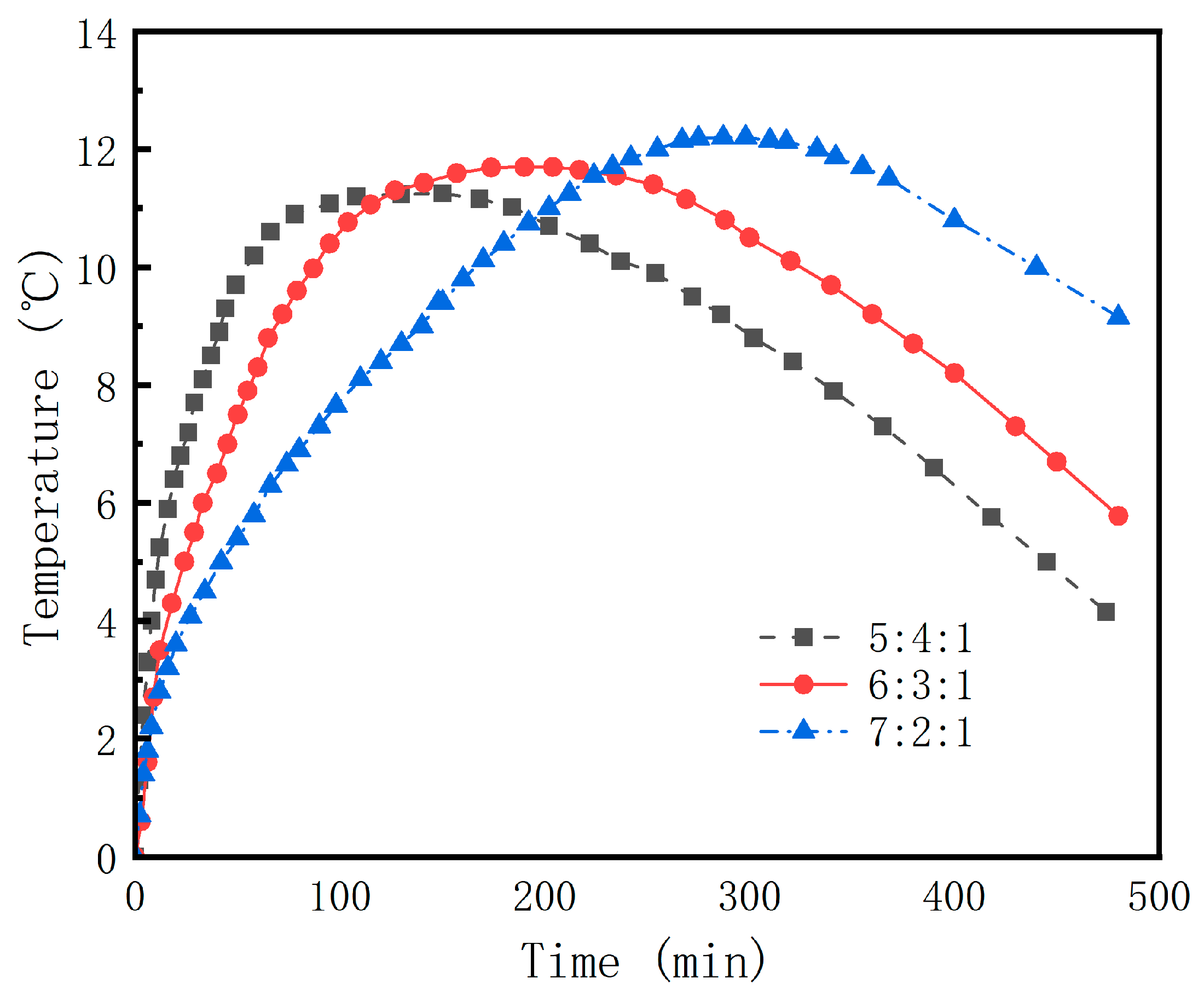
The time–temperature relationship curves for each group of tests with different mixing ratios were plotted as shown in Figure 7. Combined with Figure 6 and Figure 7, it can be seen that the temperature change process for the specimens with mixing ratios of 5:4:1 and 6:3:1 can be roughly divided into three phases, which are the same as the three phases of the pre-compression ratio test temperature change described in Figure 7, and the only difference lies in the slower change of each phase for the specimens with mixing ratio of 6:3:1 compared with those with mixing ratio of 5:4:1, which can be roughly divided into four phases corresponding to its expansion force change process. The only difference is that the change of each stage is slower in the specimen with a 6:3:1 ratio compared to the specimen with a 5:4:1 ratio, and the temperature change process of the specimen with a 7:2:1 ratio can be roughly categorized into four stages corresponding to the change process of its expansion force. There are three comprehensive temperature change curves. With a certain amount of pre-pressure in the lime-sand pile specimens, the larger the proportion of lime, the slower the reaction of the specimen is, relatively speaking. Theoretically, the more heat generated in the reaction of the lime, the higher the temperature, but with the pre-pressure and with a higher proportion of lime, the specimen reacts is slower, and at the same time, there is an impact of the ambient temperature. The three kinds of specimens of peak temperatures do not vary greatly in the order of 11.3%, and the peak temperature is the same. At the same time, affected by the ambient temperature, the peak temperatures of the three specimens are not much different, which are 11.3 °C, 11.7 °C, and 12.2 °C, and the peak temperatures appear relatively later, which are 150 min, 220 min, and 300 min.

3.3. Analysis of Test Results at Different Heights

For the selected three groups of specimens (Sample 1, Sample 4, Sample 5), the heights of these three groups of specimens are 5 cm, 10 cm, and 15 cm, respectively, and the mixing ratio, i.e., lime/sand/soil is 5:4:1, the pre-pressures applied to the three groups of lime-sand pile specimens are all 0.88 kN, the particle sizes of the raw stone are all small (0.5 mm), and we collected the data of the three groups of mixing ratio tests. The expansion force and temperature test data of the three groups of fit tests are shown in Table 7.
The time–expansion force relationship curves for each group of tests were plotted as shown in Figure 8, from which it can be seen that, for three different heights of lime-sand pile specimens, the growth of expansion force can be roughly divided into three phases: rapid growth phase; slow growth phase; and stabilization phase. The specimen with a height of 5 cm enters the stable stage in 420 min, and the final expansion force is 10.2 kN; the specimen with a height of 10 cm enters the stable stage in 330 min, and the final expansion force is 10.5 kN; the specimen with a height of 15 cm enters the stable stage in 250 min, and the final expansion force is 10.7 kN. It can be seen that as the height of the specimen increases, the reaction speed is faster, the expansion force increases sharply, and the expansion force enters the stabilization stage earlier. This may be because when the height of the lime-sand pile specimen is higher, the hydration reaction inside the specimen will be more fully developed. This is because an increase in the height of the specimen will increase the total volume of reactants (e.g., quicklime) within the specimen, resulting in a larger contact area between the reactants. This will facilitate the reaction of more lime particles with water, releasing more hydroxide and calcium ions and accelerating the reaction. In addition, the lime-sand pile specimen is higher and the diffusion of the corresponding reactants (e.g., quicklime) within the specimen may be accelerated. Reactants within the specimen need to enter the interior of the specimen by diffusion from the specimen boundaries, and higher specimen heights may provide more paths to accelerate the diffusion of lime particles, which contributes to an increase in the reaction rate. However, the difference in the final swelling force between the three groups of different heights is not significant, implying that within a certain height range and with other influencing factors being the same, the change in height produces almost the same swelling force for the different heights of the lime-sand pile specimens inflated by the lime-sand piles, probably because the lime-sand particles and the reactants in the hydration reaction can be uniformly distributed inside the specimens and reach a similar degree of reaction. The effect of the expansion force is almost negligible.
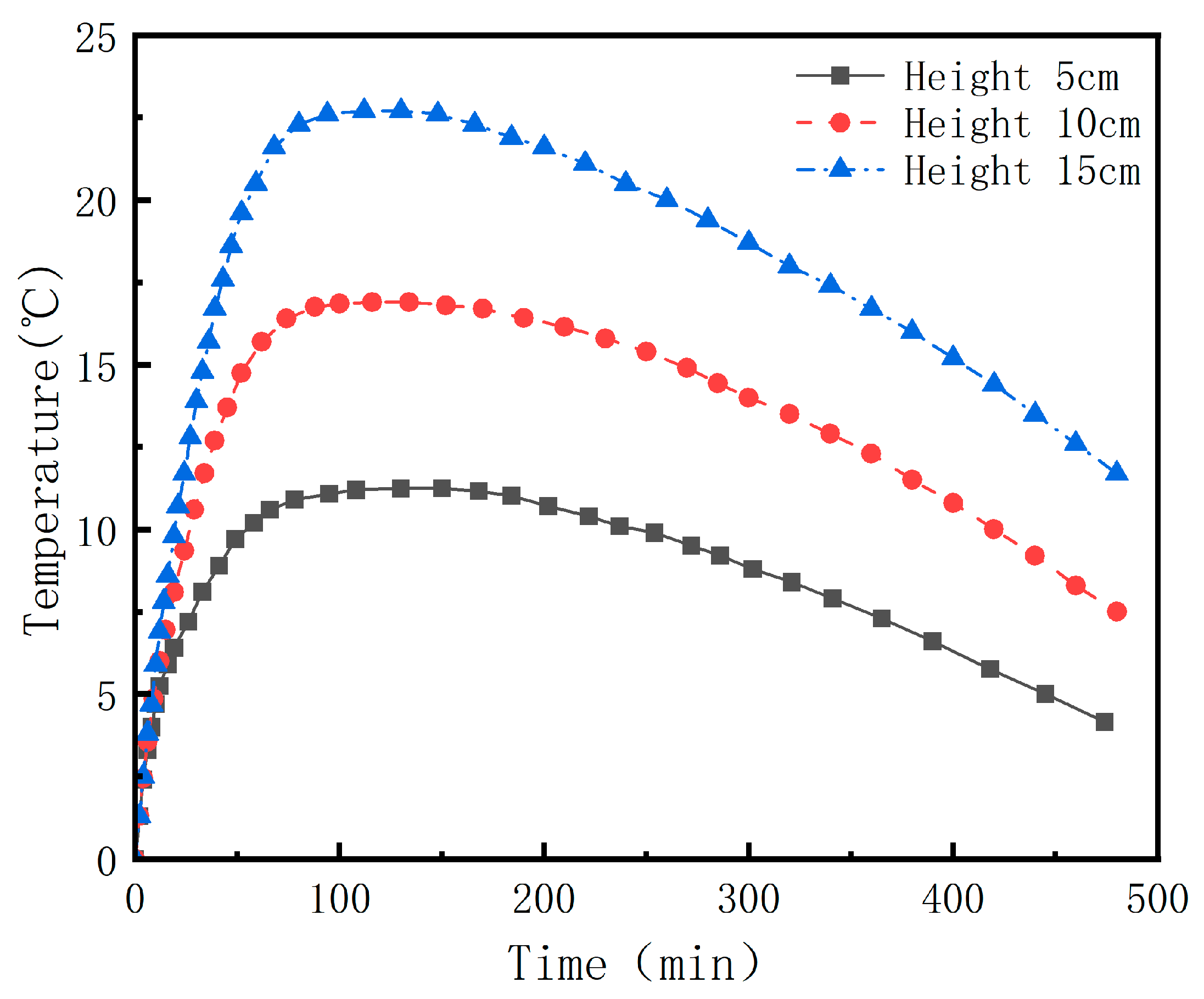
The time–temperature relationship curves for the tests of each group with different mixing ratios are plotted as shown in Figure 9. Combined with Figure 8 and Figure 9, it can be seen that the temperature change process with time for the three groups of lime-sand pile specimens with different heights shows the same law, which can be roughly divided into three phases: Stage I of the rapid temperature increase phase, Stage II of the slow temperature increase phase, and Stage III of the temperature increase and stopping phase. It can be seen that as the height of the specimen increases, the temperature rises faster in the early stage. The three groups of specimens with different heights all reached peak temperatures at about 120 min, which were 11.25 °C, 16.9 °C, and 22.7 °C, respectively, and the peak temperatures increased by 5.5–6 °C for every 5 cm increase in specimen height.

3.4. Analysis of Test Results for Different Particle Sizes

For the selected three groups of specimens (Sample 1, Sample 6, Sample 7), the particle sizes of quicklime in the three groups of lime-sand pile specimens are small particle size (0.5 mm), medium particle size (2 mm), large particle size (4 mm), the heights of the specimens are all 5 cm, the mixing ratio, i.e., lime/sand/soil are all 5:4:1, and the pre-pressure exerted to the three groups of lime-sand pile specimens are all 0.88 kN. We collected the expansion force and temperature test data of the three sets of mixing ratio tests, which are shown in Table 8.
The time–expansion force relationship curves for each group of tests were plotted as shown in Figure 10, from which it can be seen that the expansion force of lime-sand piles with three-grain sizes showed a similar growth pattern, and it can be seen from the first and middle stages that the smaller the grain size, the faster the response, and the faster the growth of the expansion force in the early stage. From the middle to late stage, it can be seen that the larger the particle size, the smaller the final expansion force. The final expansion force of the three lime particle sizes of lime-sand pile specimens were 10.2 kN, 9.1 kN, and 7.6 kN, respectively, indicating that the larger the particle size, the less adequate the reaction. The larger the particle size of quicklime, the smaller the expansion force of the lime-sand pile, which is usually due to the following reasons: a reaction rate, quicklime and water hydration reaction, in which the reactants need to achieve the reaction through diffusion, and a larger particle size will make the diffusion rate slower. Therefore, if a larger particle size of quicklime in the reaction at the beginning of the dissolution rate is lower, the reaction of the start time may be delayed, which in turn affects the rate of the entire reaction process. In contrast, quicklime with smaller particle size can react with water more quickly, and the reaction rate is faster. The second reaction degree, quicklime, and hydration reaction mainly form limestone and are accompanied by a hydration reaction to produce calcium hydroxide. Particle size larger quicklime surface area is relatively small, surface and water contact area is limited, so the reactants and water contact area is less, the reaction degree is relatively low. In contrast, the surface area of quicklime with smaller particle size is larger, which can provide more contact surface for reaction with water, thus increasing the degree of reaction and able to produce greater expansion force. Thirdly, in the particle packing situation, specimens with larger particle sizes of quicklime usually have a tighter particle packing situation with smaller gaps between particles. This may limit the diffusion of water and carbon dioxide and the dispersion of the reactants, further limiting the reaction and resulting in a smaller expansion force.
The time–temperature relationship curves for different particle size ratios were plotted as shown in Figure 11. Combined with Figure 10 and Figure 11, it can be seen that the process of temperature change with time for three groups of lime-sand pile specimens with different lime particle sizes shows the same pattern, which can be roughly divided into three phases: from the first to the middle stage, it can be seen that the smaller the lime size is, the faster the reaction of the lime-sand pile specimens is in the first to the middle stage, and the temperature rises rapidly. The peak temperature of the small-size lime-sand pile specimen reaches 11.2 °C at 100 min, the peak temperature of the medium-size lime-sand pile specimen reaches 10.1 °C at 130 min, and the peak temperature of the large-size lime-sand pile specimen reaches 9.0 °C at 155 min. It can be seen from the later stage that the larger the lime particle size, the longer the reaction lasts. Larger particle size lime particles may reduce the contact area between the particles, which reduces the rate and efficiency of the reaction. A smaller surface area may limit the reaction between the moisture and the lime, resulting in an inadequate reaction, which in turn will not release the required heat. This would result in a slower rise in the temperature of the specimen or the temperature would not reach the desired level.

4. Conclusions

The following conclusions were drawn from the experimental studies on lime-sand pile specimens subjected to different pre-pressures as well as different mixing ratios, heights, and grain sizes under fixed pre-pressures.
(1)
Under the condition of other influencing parameters remaining unchanged, with the increase in pre-pressure, the trend of the expansion force of lime-sand pile appears to increase first and then decrease, which indicates that within a certain range, the increase in pre-pressure will improve the expansion force of lime-sand pile, but the continuous increase in pre-pressure will reduce the gap between the pile materials and limit the water into the pile body, resulting in the decrease in expansion force of lime-sand pile. When the upper pre-pressure is 0.88 kN, the effect is the most obvious and the maximum expansion force can be increased by 14.9%.
(2)
Under the condition that other influencing parameters remain unchanged when a certain pre-pressure is applied to the upper part of the lime-sand pile, the lime-sand particles in the lime-sand pile will be compacted, the gap ratio and permeability will be reduced, and a larger proportion of quicklime particles will form lumps in the lime-sand or gather with other particles, which will limit the hydration reaction ability of the quicklime particles and result in the reduction in the expansion force of the pile body. It is shown that within a certain range, the larger the proportion of quicklime in the mixing ratio, the smaller the expansion force of the lime-sand pile, and the expansion force of the lime-sand pile with a mixing ratio of 5:4:1 lime/sand/soil is the most desirable one, with a value of 10.2 kN, which is 10% and 15.3% higher than that of the other two groups, respectively. Undoubtedly, the higher the proportion of quicklime, the more heat is released by its reaction, but the larger the proportion of quicklime, the slower the reaction is in different ratio tests, and at the same time, it is affected by the external ambient temperature, which leads to a small difference in the peak temperatures of the three groups of lime-sand pile specimens with different ratios.
(3)
A higher specimen height can provide more paths to accelerate the diffusion of lime particles, which promotes an increase in the reaction rate, while other influencing parameters remain constant. However, regardless of the specimen height, the lime-sand inside the specimen and the reactants in the hydration reaction were able to be uniformly distributed and reacted to a similar extent. Within a certain range, the final expansion force of lime-sand pile specimens of different heights did not differ by more than 3%. This indicates that the effect of height change on the expansion force of lime-sand piles is almost negligible. For every 5 cm increase in the height of the lime-sand pile specimens, the peak temperature increased by approximately 50%.
(4)
Under the condition that other influencing parameters remain unchanged, within a certain range, the smaller the particle size of quicklime in the specimen of the lime-sand pile, the faster the reaction speed, the fuller the degree of reaction, and the greater the final expansion force. The final expansion force of the lime-sand pile samples in the small particle size group was 12.1% and 34.2% higher than that in the medium particle size group and the large particle size group, respectively. Meanwhile, the peak temperatures of the lime-sand pile samples in the small-size group were 10.9% and 24.4% higher than those in the other two groups.

Author Contributions

Conceptualization, Y.Q. and J.S.; Methodology, Y.W.; Software, M.Z.; Validation, J.J.; Formal analysis, L.H.; Investigation, J.Y. and J.J.; Resources, X.N.; Writing—original draft, Y.Q.; Writing—review & editing, J.S.; Visualization, J.Y. and L.H.; Supervision, M.Z.; Project administration, Y.W. and X.N. All authors have read and agreed to the published version of the manuscript.

Funding

This research received no external funding.

Data Availability Statement

Data are contained within the article.

Conflicts of Interest

Xiaoyu Niu, Junpeng Ju, Ming Zhou and Lizhe He were employed by the company Shaanxi Ancient Construction Garden Construction Group Co., Ltd. The remaining authors declare that the research was conducted in the absence of any commercial or financial relationships that could be construed as a potential conflict of interest.

References

  1. Chen, P.; Cui, Q. Application of Lime Soil Pile in Collapsible Loess Ground Treatment. Adv. Mater. Res. 2014, 1049–1050, 256–259. [Google Scholar] [CrossRef]
  2. Tian, T.; Li, M.; Yang, X. Research on rectification and reinforcement technology of bagged composite micro lime pile. Geotech. Found. 2023, 37, 515–518. [Google Scholar]
  3. Li, B.; Li, S.; Huang, X. Experimental study on the expansion performance of lime dense block for foundation treatment. Subgrade Eng. 2015, 71–74. Available online: https://kns.cnki.net/kcms2/article/abstract?v=8WLnD7pOpNEI52c2jb5L-xSAahJ7bseOX5JuYFgijuftaoiiKAT6jhE6XeVSccVpmCDQw6C9-OK8k5PPKoIMDiJkOVFodINDxVqH0WQB-xrGP4RXyeajH3f3P-wzziRzlZ7mBgo0NU8=&uniplatform=NZKPT&language=CHS (accessed on 19 April 2024).
  4. Sheng, G.; Li, G. Experimental study on mechanical properties of soft soil reinforced by fly ash and quicklime. Henan Sci. Technol. 2013, 51–52. Available online: https://kns.cnki.net/kcms2/article/abstract?v=8WLnD7pOpNGWD3XtppQULVoZANC1eUYUDP5r-AFcw3-zDEV8U1_f5kgUDjDSBcY9mAk-TzdSmq8EgRAs-H5KQJsOs_uBdoWgdtv98B5ShwKmpDT5xTfw8gD17w3odRIY&uniplatform=NZKPT&language=CHS (accessed on 19 April 2024).
  5. He, Y.; Zhu, Y.; Qiao, B. Theoretical and Experimental Study on Compaction Pile Composite Foundation in Collapsible Loess Foundation Treatment. In Intelligent Information Technology Application Association. Environmental Systems Science and Engineering (ICESSE 2011 V2); School of Civil Engineering, Northwest University for Nationalities: Lanzhou, China; College of Civil Engineering, Lanzhou University of Technology: Lanzhou, China, 2011; p. 7. [Google Scholar]
  6. He, Y. Theoretical Analysis and Experimental Study on the Composite Foundation of Compacted Pile in Strong Collapsible Loess Area. Ph.D. Thesis, Lanzhou University of Technology, Lanzhou, China, 2010. [Google Scholar]
  7. He, Y.; Zhu, Y. Research and application of lime pile foundation reinforcement based on pore compaction principle. Eng. Investig. 2007, 22–25. Available online: https://kns.cnki.net/kcms2/article/abstract?v=8WLnD7pOpNGU_ToOxWaIx_tlBFFmiWZWaTEClowmmM3f23ws2Ta4O7OG1K7n5jH3rdI3r9iwle0XKF0F88ZDiy192ca0ALgLBZ_Yh5vFBpGqXcSFCfzISUVnA2FhQvfQ&uniplatform=NZKPT&language=CHS (accessed on 19 April 2024).
  8. Zhu, Y.; He, Y. Model test study on building reinforcement in collapsible loess area by expansion method. Gansu Sci. J. 2006, 74–77. Available online: https://kns.cnki.net/kcms2/article/abstract?v=8WLnD7pOpNFN-qcqqdXjVt9Q5-MT_iMPfFbrhl6decduTJWKJ29kOZm0UCaWKJ2-wUxmHfJCZVIr6SLiNJFfKZTIwNLGiLra86AnI9ESrJy5fHFSFMlRNYq0hx_XUV7j&uniplatform=NZKPT&language=CHS (accessed on 19 April 2024).
  9. Lin, T.; Liu, Z. Indoor experimental study on soft soil reinforced by fly ash and quicklime. Geotech. Mech. 2003, 24, 1049–1052. [Google Scholar]
  10. Gong, X.; Li, X. Some mechanical problems in static compression pile crowding effect. Eng. Mech. 2000, 7–12. Available online: https://kns.cnki.net/kcms2/article/abstract?v=8WLnD7pOpNH-4vWmMQYbZwFTWQPwUpbH4lfTr7TbsytN4xki1ZN5MQw8ANitPzuZjT6e8KZtcAT80Emx1Qi9-NfVzaiLIQMuR4D95ZFe0xRiaaRAfo1-mZmQC76x_pGP&uniplatform=NZKPT&language=CHS (accessed on 19 April 2024).
  11. Han, X.; Huang, Y. Stress analysis of soil around the hole in the hole formation process of grey soil compact pile. J. Xi’an Univ. Archit. Technol. (Nat. Sci. Ed.) 1999, 54–57. Available online: https://kns.cnki.net/kcms2/article/abstract?v=8WLnD7pOpNGKPgsdL6UxVf8Mi6KtWFhhi7y37GMywhDqZGEYCAPQCaxB__ictR4K25JtKSqrSmk3FrTrrNvZ_aKRiK8WWWLvyaxD8_aQeaduJJ4CCmTA4TrwC55PYhLr&uniplatform=NZKPT&language=CHS (accessed on 19 April 2024).
  12. İlyas, Ö.; Erdal, Ç. The effect of lime pile parameters on the improvement of the swelling potential of expansive clay. Arab. J. Geosci. 2022, 15, 1510. [Google Scholar]
  13. Shabir, H.; Muhammad, F.; Ahmed, K.F.; Saeed, Z. Experimental evaluation of lime column as a ground improvement method in soft soils. SN Appl. Sci. 2021, 3, 799. [Google Scholar]
  14. Guo, H.; Nan, Y.; Guo, R.; Fu, J. A Model for the Spacing of Quicklime Pile to Treat High Water Content Loess. Math. Probl. Eng. 2020, 2020, 9439624. [Google Scholar] [CrossRef]
  15. Li, J. Testing on loess collapse of expressway subgrade reinforced by lime-soil compaction piles. IOP Conf. Ser. Earth Environ. Sci. 2020, 525, 012025. [Google Scholar] [CrossRef]
  16. Chen, Y.; Xu, J. Research and practice of treating high water content loess foundation with raw lime sand pile compacting method. Seepage Control. Technol. 2002, 5–7+15. Available online: https://kns.cnki.net/kcms2/article/abstract?v=8WLnD7pOpNHgY-H-V_gi4Nda38M5hNfR1Dsy71Hpe9pbratc2OhIdVpLNByhJEDo5v3FUdaQUWCupXRp4XLTjVzHol7gV7B2nMK3wz__4MdPgOSD6GKoWbKvzh-_yjJJ&uniplatform=NZKPT&language=CHS (accessed on 19 April 2024).
  17. Kumar, M.P. Force and Settlement Characteristics of an Embankment on Soft Consolidating Soil with Lime Columns. Int. J. Eng. Adv. Technol. 2020, 9, 1771–1773. [Google Scholar] [CrossRef]
  18. Qi, S.; Zhai, Y. Example of soft foundation treatment by ash sand pile. Coal Technol. 2009, 28, 112–113. [Google Scholar]
  19. Ma, Y.; Wang, J. Analysis of the role mechanism of the lime sand pile and its application in the Yinchuan area. In Proceedings of the Academic Exchange Conference on Construction Science and Technology and Management, Beijing, China, 27 March 2012; Organising Committee of Construction Science and Technology and Management, Beijing Hengsheng Boya International Cultural Exchange Centre: Beijing, China, 2012; pp. 59–60. [Google Scholar]
  20. Guo, Y.; San, X.; Chu, R. Construction of lime sand pile for soft ground reinforcement. Low-Temp. Constr. Technol. 2000, 55–56. Available online: https://kns.cnki.net/kcms2/article/abstract?v=8WLnD7pOpNFItkIaNylfm93Q081yT-xTLQF5pZ9lTuasmyUSEsoCZEOhvTrMPrpvrsATerejRbRXChvaoL7yyEetnkU4ochSCvXT4k-yAZK9fkSxp_pOThR-O4653vIW&uniplatform=NZKPT&language=CHS (accessed on 19 April 2024).
  21. Wang, X.; Zhu, Y. Theoretical Analysis on Compacting Effect of Lime Compaction Piles. Appl. Mech. Mater. 2011, 94–96, 745–749. [Google Scholar] [CrossRef]
  22. Pei, X.; Zhang, F.; Wu, W.; Liang, S. Physicochemical and index properties of loess stabilized with lime and fly ash piles. Appl. Clay Sci. 2015, 114, 77–84. [Google Scholar] [CrossRef]
  23. Dai, H. Discussion on reinforcement of existing buildings by pulverized coal and lime pile method. Gansu Sci. Technol. Vert. Horiz. 2017, 46, 48–51+98. [Google Scholar]
  24. Mi, H.; Hu, Y.; Gao, G.C. Elastic solution of lime pile compacted foundation process. Architecture 2011, 27, 38–40+44. [Google Scholar]
  25. Mi, H.; Gao, C. Experimental study on expansion characteristics of quicklime. Geotechnics 2010, 31, 1253–1256+1268. [Google Scholar]
  26. Gao, C. Experimental Study on the Swelling Property of Quicklime and Its Application in Foundation Treatment. Ph.D. Thesis, Lanzhou University of Technology, Lanzhou, China, 2009. [Google Scholar]
  27. Zhang, X.; Huang, L. Application of quicklime piles in corrective reinforcement of dangerous house foundation project. J. North China Inst. Water Conserv. Hydropower 2000, 1–5. Available online: https://kns.cnki.net/kcms2/article/abstract?v=8WLnD7pOpNEI6laZP_oIT1SNEV5e20UByHs4Fg1GbeTd4ylJAypmKdlXmX-1OrIgjx_WLPFXStQE2QyeJFp1FS6U4zr8r19lWYrrxazixAKvxzugORf4YgYQKASI_s5-&uniplatform=NZKPT&language=CHS (accessed on 19 April 2024).
  28. Fang, Y.; Li, Q.; Zhu, Y. Application of lime pile combined with soil mechanics theory in engineering correction. J. Lanzhou Univ. Technol. 2005, 111–114. Available online: https://kns.cnki.net/kcms2/article/abstract?v=8WLnD7pOpNHoS2zSKqUQSj9jKoJV9R4pFKiOzDenRueGL7NjvDJX_wn6Qcn2IckBP2NRkWmZjpTNRqsj3oWSiQDn_axoSGAY37KkQ88tZ4evQUQgJ3ZxaNz5ILxfvcGG&uniplatform=NZKPT&language=CHS (accessed on 19 April 2024).
  29. Zhu, Y.; Wang, X.; Zhou, Y. Theoretical analysis and practice of expansion method for inclined buildings in wet subsidence loess area. J. Rock Mech. Eng. 2005, 2786–2794. Available online: https://kns.cnki.net/kcms2/article/abstract?v=8WLnD7pOpNFMSFjS4QdoS0rA3iFMTbQJ3FqJ9b6-i_4HQwpXJPwll12Lxo_ZP0aXhFPb_q12MORqEqw0v0Du-TtvDFgRkbbT7HSwQuj_jg8X8ucNc3qO-EmLMUMmISd9&uniplatform=NZKPT&language=CHS (accessed on 19 April 2024).
  30. Mohamed, H. Effect of Sand and Sand-Lime Piles on the Behavior of Expansive Clay Soil. Adv. Civ. Eng. 2021, 2021, 4927078. [Google Scholar]
  31. Abiodun, A.A.; Nalbantoglu, Z. Lime pile techniques for the improvement of clay soils. Can. Geotech. J. 2014, 52, 760–768. [Google Scholar] [CrossRef]
  32. Sakr, M.; El-Sawwaf, M.; Azzam, W.; El-Disouky, E. Improvement of shear strength and compressibility of soft clay stabilized with lime columns. Innov. Infrastruct. Solut. 2021, 6, 133. [Google Scholar] [CrossRef]
  33. Zhang, C.; Wang, J. Discussion on the effect of lime pile pre-fusion treatment of island-like perennial frozen soil foundation. Cryog. Constr. Technol. 2022, 44, 167–170+174. [Google Scholar]
  34. Wang, X. Experimental Study on the Thawing Effect of Lime Piles on Island Permafrost Foundation. Ph.D. Thesis, Lanzhou Jiaotong University, Lanzhou, China, 2018. [Google Scholar]
  35. Wang, X.; Xiong, Z.; Liu, D.; Han, L.; Cheng, J. Model experimental study on the pre-thawing effect of the lime pile on frozen soil foundation. Railw. Stand. Des. 2018, 62, 22–26. [Google Scholar]
  36. Yang, X.; Cheng, J.; Cai, H. Effect evaluation of application of quicklime pile composite foundation in island frozen soil area. J. Railw. Sci. Eng. 2022, 19, 941–948. [Google Scholar]
  37. Cheng, J.; Zhao, X.; Jin, L.; Meng, J.; Cai, H. Field test study on the treatment of island permafrost foundation by lime pile. J. Railw. Eng. 2019, 36, 17–20+37. [Google Scholar]
  38. Liu, J. The boosting effect of Shenxin Cotton Mill’s westward migration on Baoji’s industrial development-in the context of the development of modern national industry and the ups and downs of the Rong family. New West 2023, 88–90. Available online: https://kns.cnki.net/kcms2/article/abstract?v=8WLnD7pOpNE_CKfCcRwmrCyzx3Q9hxQLk0UTLKE9iila0v9X--bLWM30cPJTl5DsnA8YCRHI5GjkTBGCvu_Eni0HSDd1U0L9nPUJ_ksVYJhDJAUX7etKv2Fu7JrPDbXSowcNgb3UvJ0=&uniplatform=NZKPT&language=CHS (accessed on 19 April 2024).
  39. Qiao, Z.; Zhang, Z.X.; Shi, Q. Baoji Shenxin Cotton Mill Industrial Culture Value Inheritance and Space Update. Shanxi Archit. 2020, 46, 3–5. [Google Scholar]
  40. Liu, Y.; Lei, Y. Research on the protection and reuse of industrial heritage under the guidance of social value-Taking Shenxin Cotton Mill as an example. Archit. Cult. 2020, 146–148. Available online: https://kns.cnki.net/kcms2/article/abstract?v=8WLnD7pOpNG2-YATytdxzkyUWXTKMkiKCmKcfgfUkX5WsuZK3NoACOi9HFSuBU-QCenl55gyup1DPL0Yb63KFcbdKDZv7HATj_tPzdDeMx_LLnw0vhOLEhM-6d2nwaB5ClL-PNP7Md0=&uniplatform=NZKPT&language=CHS (accessed on 19 April 2024).
  41. Song, Z. Research on the Protection and Reuse of the Old Site of Baoji Shenxin Yarn Factory. Ph.D. Thesis, Northwest University, Xi’an, China, 2018. [Google Scholar]
  42. Zhu, S.; Pan, Y.; Yang, L.; Yi, L.; Yue, H.; Liu, Y.; Hu, F. Soil Mechanics and Foundation. Master’s Thesis, Nanjing Southeast University Press, Nanjing, China, 2017. [Google Scholar]
Figure 1. Project site drawing.
Figure 1. Project site drawing.
Buildings 14 01208 g001
Figure 2. Lime-sand pile expansion force tester.
Figure 2. Lime-sand pile expansion force tester.
Buildings 14 01208 g002
Figure 3. Experimental procedure.
Figure 3. Experimental procedure.
Buildings 14 01208 g003
Figure 4. Expansion force–time curve of the lime-sand pile under different pre-pressures.
Figure 4. Expansion force–time curve of the lime-sand pile under different pre-pressures.
Buildings 14 01208 g004
Figure 5. Temperature time curve of lime-sand pile under different pre-pressures.
Figure 5. Temperature time curve of lime-sand pile under different pre-pressures.
Buildings 14 01208 g005
Figure 6. Expansion force–time curve of the lime-sand pile under different mixing ratios.
Figure 6. Expansion force–time curve of the lime-sand pile under different mixing ratios.
Buildings 14 01208 g006
Figure 7. Temperature time curve of the lime-sand pile under different mixing ratios.
Figure 7. Temperature time curve of the lime-sand pile under different mixing ratios.
Buildings 14 01208 g007
Figure 8. Expansion force–time curve of lime-sand piles at different heights.
Figure 8. Expansion force–time curve of lime-sand piles at different heights.
Buildings 14 01208 g008
Figure 9. Temperature time curve of lime-sand piles at different heights.
Figure 9. Temperature time curve of lime-sand piles at different heights.
Buildings 14 01208 g009
Figure 10. Expansion force–time curve of the lime-sand pile under different particle sizes.
Figure 10. Expansion force–time curve of the lime-sand pile under different particle sizes.
Buildings 14 01208 g010
Figure 11. Temperature time curve of the lime-sand pile under different particle sizes.
Figure 11. Temperature time curve of the lime-sand pile under different particle sizes.
Buildings 14 01208 g011
Table 1. Physical and mechanical properties of silty clay.
Table 1. Physical and mechanical properties of silty clay.
Type of SoilNatural Water Content W (%)Natural Density (g/cm3)Plasticity IndexCompression Modulus (Mpa)Liquidity FactorShearing Strength
C/KpaΦ
Loess18.81.7512.813.46<03023
Table 2. Parameters of lime.
Table 2. Parameters of lime.
Lime TypeDensity (g/cm3)Activity IndexCao+MgoMgOCO2SO3
Siliceous lime1.35260≥87≤5≤4≤2
Table 3. Parameters of Sand.
Table 3. Parameters of Sand.
Sand TypeFineness ModulusParticle Size (mm)Density (g/cm3)
Medium coarse sand2.3–3.02.0–5.01.4–1.7
Table 4. Detailed parameters of the specimen.
Table 4. Detailed parameters of the specimen.
SpecimensMix ProportionHeightLime Particle SizePreloadNumber
(Lime:Sand:Soil)(mm)(mm)(kN)
Sample 15:4:1500.50.883
Sample 26:3:1500.50.883
Sample 37:2:1500.50.883
Sample 45:4:11000.50.883
Sample 55:4:11500.50.883
Sample 65:415010.883
Sample 75:4:15020.883
Sample 85:4:1500.503
Sample 95:4:1500.50.443
Sample 105:4:1500.51.323
Sample 115:4:1500.51.763
Table 5. Pre-compression ratio test results.
Table 5. Pre-compression ratio test results.
SpecimensPeak Temperature/°CExpansion Force/kNAverage Peak Temperature/°CAverage Peak Expansion Force/kNWater Absorption (mL)
Sample 8-116.59.19
Sample 8-216.29.1716.79.15250
Sample 8-317.49.09
Sample 9-113.49.60
Sample 9-213.19.6513.09.64250
Sample 9-312.59.67
Sample 1-111.010.55
Sample 1-211.510.5911.210.51250
Sample 1-311.110.39
Sample 10-19.38.40
Sample 10-29.78.509.78.41230
Sample 10-310.18.33
Sample 11-18.06.65
Sample 11-28.66.698.36.71200
Sample 11-38.46.79
Table 6. Test results of different mix proportions.
Table 6. Test results of different mix proportions.
SpecimensPeak Temperature/°CExpansion Force/kNAverage Peak Temperature/°CAverage Peak Expansion Force/kNWater Absorption/mL
Sample 1-111.010.55
Sample 1-211.510.5911.210.51250
Sample 1-311.110.39
Sample 2-111.69.0
Sample 2-211.98.9511.79.3275
Sample 2-311.69.95
Sample 3-112.18.1
Sample 3-212.58.7812.28.85350
Sample 3-312.09.67
Table 7. Test results for different height ratios.
Table 7. Test results for different height ratios.
SpecimensPeak Temperature/°CExpansion Force/kNAverage Peak Temperature/°CAverage Peak Expansion Force/kNWater Absorption/mL
Sample 1-111.010.55
Sample 1-211.510.5911.210.51250
Sample 1-311.110.39
Sample 4-116.510.56
Sample 4-216.810.3116.910.6400
Sample 4-317.410.93
Sample 5-121.610.48
Sample 5-223.710.0122.710.77500
Sample 5-322.811.82
Table 8. Test results for different lime particle sizes.
Table 8. Test results for different lime particle sizes.
SpecimensPeak Temperature/°CExpansion Force/kNAverage Peak Temperature/°CAverage Peak Expansion Force/kNWater Absorption/mL
Sample 1-111.010.55
Sample 1-211.510.5911.210.51250
Sample 1-311.110.39
Sample 6-110.49.27
Sample 6-210.29.0010.09.13220
Sample 6-39.49.12
Sample 7-19.28.01
Sample 7-28.87.559.07.60175
Sample 7-39.07.24
Disclaimer/Publisher’s Note: The statements, opinions and data contained in all publications are solely those of the individual author(s) and contributor(s) and not of MDPI and/or the editor(s). MDPI and/or the editor(s) disclaim responsibility for any injury to people or property resulting from any ideas, methods, instructions or products referred to in the content.

Share and Cite

MDPI and ACS Style

Qiao, Y.; Si, J.; Yuan, J.; Wang, Y.; Niu, X.; Ju, J.; Zhou, M.; He, L. Multi-Parameter Experimental Research on the Expansion Force Affecting Lime-Sand Piles under Preloading Pressure. Buildings 2024, 14, 1208. https://doi.org/10.3390/buildings14051208

AMA Style

Qiao Y, Si J, Yuan J, Wang Y, Niu X, Ju J, Zhou M, He L. Multi-Parameter Experimental Research on the Expansion Force Affecting Lime-Sand Piles under Preloading Pressure. Buildings. 2024; 14(5):1208. https://doi.org/10.3390/buildings14051208

Chicago/Turabian Style

Qiao, Yong, Jianhui Si, Jia Yuan, Yi Wang, Xiaoyu Niu, Junpeng Ju, Ming Zhou, and Lizhe He. 2024. "Multi-Parameter Experimental Research on the Expansion Force Affecting Lime-Sand Piles under Preloading Pressure" Buildings 14, no. 5: 1208. https://doi.org/10.3390/buildings14051208

APA Style

Qiao, Y., Si, J., Yuan, J., Wang, Y., Niu, X., Ju, J., Zhou, M., & He, L. (2024). Multi-Parameter Experimental Research on the Expansion Force Affecting Lime-Sand Piles under Preloading Pressure. Buildings, 14(5), 1208. https://doi.org/10.3390/buildings14051208

Note that from the first issue of 2016, this journal uses article numbers instead of page numbers. See further details here.

Article Metrics

Back to TopTop