Axial Compressive Behavior and Calculation Model for Axial-Compressive-Load-Carrying Capacity of Locally Corroded RC Short Columns
Abstract
1. Introduction
2. Experimental Program
2.1. Specimen Details
2.2. Electrochemically Accelerated Corrosion of Specimen
2.3. Test Setup and Instrumentation
3. Discussion of Test Results
3.1. Observed Corrosion Damage of Specimens
3.2. Damage Evolution of Specimens During Axial Compressive Loading
3.3. Verification of the DIC Measurement
3.4. Axial Load–Displacement Curves
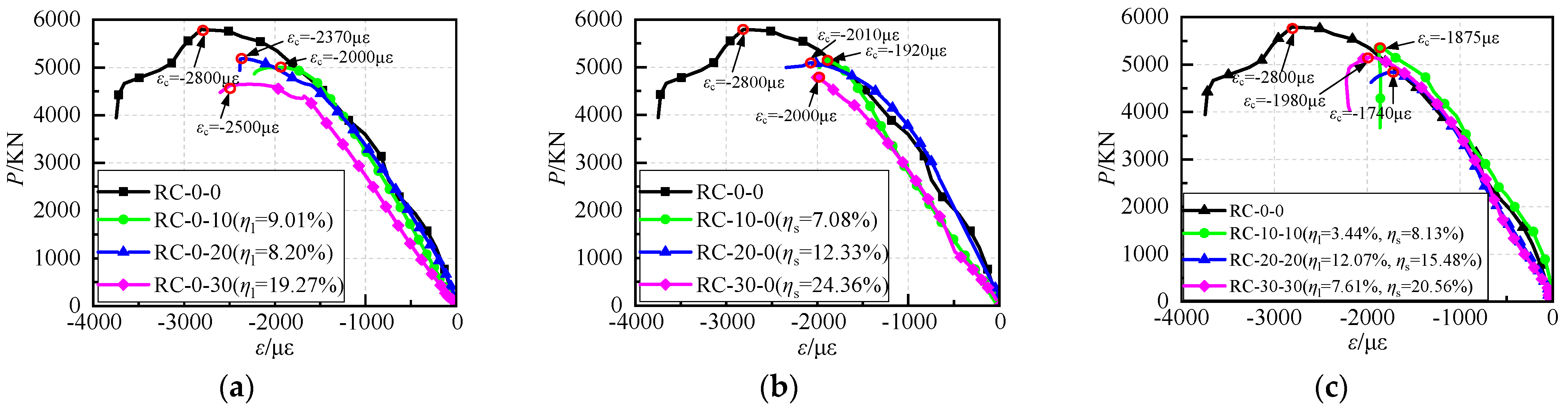
- As the corrosion ratio of the main reinforcement increases, the stiffness of the specimens gradually decreases, primarily due to the vertical corrosion cracks caused by the main reinforcement corrosion. During the loading process, the vertical corrosion cracks expand further, leading to a further reduction in stiffness. In contrast, the stirrup corrosion mainly results in transverse cracks, which have a minimal impact on the early-stage damage evolution of the concrete. As a result, the stiffness of the specimen is minimally impacted by the stirrup corrosion.
- The bearing capacity of the specimen decreases as the steel corrosion ratio increases. Compared to the non-corroded column, the peak load of the specimens with main reinforcement corrosion ratios of 9.01%, 8.02%, and 19.27% decreased by 13.56%, 10.53%, and 19.77%, respectively. For the stirrup-corroded specimens with actual corrosion ratios of 7.08%, 12.33%, and 24.36%, the load-carrying capacity decreased by 11.59%, 12.07%, and 17.15%, respectively, compared with that of the non-corroded specimen. Figure 10 illustrates the variation in load-carrying capacity with the corrosion ratio. It is evident that the loading capacity of specimens decreases linearly with the increasing corrosion degree of the main reinforcement, while the decrease follows a two-phase degradation trend with the increase in stirrup corrosion degree. The non-uniform corrosion of the main reinforcement reduces its cross-sectional area, leading to a deterioration in the mechanical properties and premature buckling. Additionally, vertical corrosion cracks accelerate the concrete compression damage, resulting in the linear decline in the axial compressive capacity with the increasing corrosion degree of the main reinforcement. For the columns with corroded stirrups, the lateral confinement provided by the stirrups on the core concrete and longitudinal bar diminishes as the stirrup corrosion ratio increases, causing a gradual reduction in the specimen’s axial compressive capacity. Once the stirrup corrosion ratio exceeds 7.5%, the stirrups’ lateral confinement becomes relatively weak, leading to a reduced influence of stirrup corrosion on the loading capacity.
- For specimens corroded in all steel reinforcements, the corrosion ratios of the main reinforcement and stirrups exhibit noticeable inconsistencies. Comparing specimens RC-20-20 and RC-30-30 (as shown in Figure 9c), the main reinforcement corrosion ratio of RC-20-20 is 58.6% higher than that of RC-30-30, while the stirrup corrosion ratio is 25% lower. Despite this, the axial compressive bearing capacity of RC-20-20 is 6% lower than that of RC-30-30. This observation highlights the more significant impact of the main reinforcement corrosion on the axial compressive capacity of the RC columns. To further analyze this effect, the degradation of the loading capacity of the RC columns corroded in all steel reinforcements is plotted in Figure 10, using the corrosion ratio of the main reinforcement as the horizontal axis. In this group of specimens, where the stirrup corrosion ratios exceed 8%, the capacity degradation curve closely resembles that of specimens corroded primarily in longitudinal reinforcement, which further confirms that, when the stirrup corrosion ratio exceeds 7.5%, its influence on the loading capacity becomes negligible.
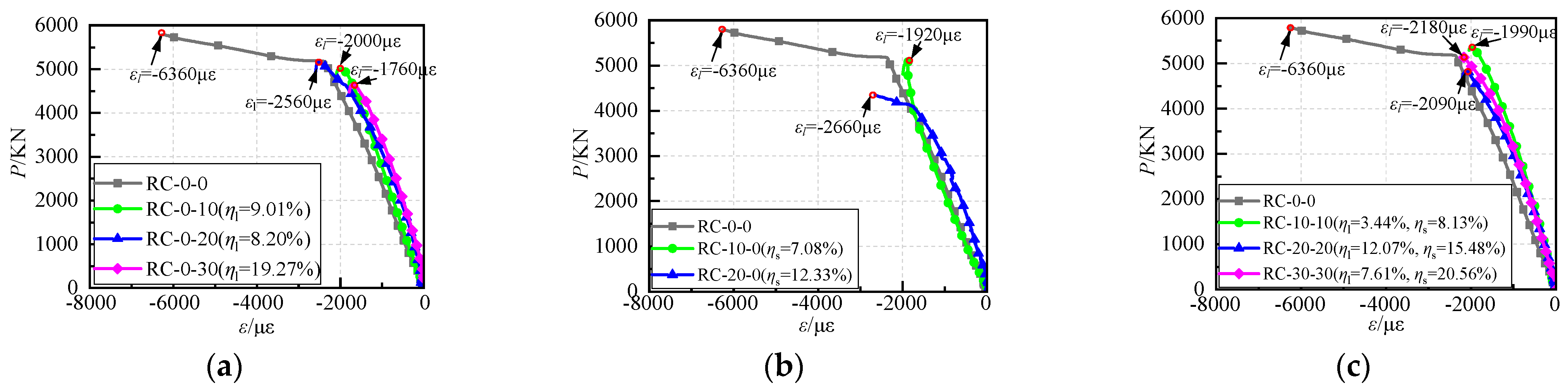
- Consistent with the conclusions reported in the existing studies [9], in most cases, the displacement corresponding to the peak load decreases with the increase in the steel corrosion ratio. However, there are three specimens in Figure 9a,b (RC-0-20, RC-0-30, and RC-30-0) whose peak displacement is larger than that of the non-corroded specimen. The main reason is that the displacement obtained by the DIC technique is adopted in Figure 9. For the above three specimens, the corrosion degree of the main reinforcement near the DIC measuring surface is relative larger than the other steel bar. When approaching the peak load, the longitudinal bar near the DIC measuring surface buckled first, resulting in a large vertical deformation on this side, which is larger than the average vertical displacement of the specimen. According to Figure 7c,d,g, it can also be seen that the more serious concrete spalling and longitudinal reinforcement buckling occurred on the DIC measuring surface of these specimens.
- After reaching the peak load, both the main reinforcement corrosion and stirrup corrosion contribute to the rapid decline in the axial compressive load. In specimens with a stirrup corrosion degree exceeding 15%, the stirrup fractured after reaching the peak load, leading to the buckling of the main reinforcement and significant damage of the core concrete, ultimately resulting in a rapid decline in the loading capacity, as shown in Figure 9b,c.
3.5. Discussion of Material Strain
3.5.1. Strain of Concrete
3.5.2. Strain of Main Reinforcement
3.5.3. Strain of Stirrup
4. Calculation Model of Axial-Compressive-Load-Carrying Capacity of Corroded RC Columns
4.1. The Axial Compressive Strength of Core Concrete Confined by Corroded Steel Reinforcement
4.2. The Axial Compressive Strength of Corrosion-Damaged Cover Concrete
4.3. Compression Strength of Corroded Main Reinforcement
4.4. Validation of the Axial Compressive Loading Capacity Model for Corroded RC Columns
5. Conclusions
- Longitudinal corrosion cracks developed and widened as the corrosion ratio of the main reinforcement increased. The transverse corrosive cracks appeared when the stirrup corrosion ratio is larger than 8%, and the increase in the stirrup corrosion ratio significantly raises the number of transverse corrosive cracks, although it has a minimal impact on the width of these cracks.
- Both the main reinforcement corrosion and stirrup corrosion accelerate the compression damage process of RC columns. Specifically, the corrosion of the main reinforcement primarily affects the damage to the concrete cover and the buckling behavior of the main reinforcement before reaching the peak load, while the stirrup corrosion mainly influences the damage process after the peak load, hastening the buckling of the main reinforcement and the damage of the core concrete, which leads to a more pronounced brittle characteristic in the RC columns.
- The axial compressive capacity of the RC column decreases approximately linearly as the corrosion ratio of the main reinforcement increases, while it exhibits a bi-fold degradation relationship with the rising stirrup corrosion ratio. Additionally, the impact of the stirrup corrosion on the axial compressive capacity of the RC column diminishes when the corrosion ratio exceeds 7.5%.
- Taking into account the mechanisms through which the longitudinal and stirrup corrosion affects the axial compression performance of RC columns, a calculation model for the axial-compressive-load-carrying capacity of corroded RC columns has been developed. The theoretical results from this model are in good agreement with the experimental results, demonstrating that the proposed model can effectively evaluate the axial compression performance of RC short columns.
- This research focuses on the individual effects of the main reinforcement corrosion and stirrup corrosion on the axial compressive behavior of the RC short column. The additional eccentricity induced by the premature buckling of the localized longitudinal steel bar is not considered, which will significantly influence the compressive behavior of the RC long columns. Therefore, further research is required in order to investigate the compressive behavior of non-uniformly corroded RC long columns.
Author Contributions
Funding
Data Availability Statement
Conflicts of Interest
References
- Chen, H.P.; Jiang, Y.; Markou, G. Structural performance deterioration of corroding reinforced concrete columns in marine environment. Ocean. Eng. 2022, 262, 112155. [Google Scholar] [CrossRef]
- Liu, X.F.; Li, Y. Static bearing capacity of partially corrosion-damaged reinforced concrete structures strengthened with PET FRP composites. Constr. Build. Mater. 2019, 211, 33–43. [Google Scholar] [CrossRef]
- Hou, L.J.; Wang, J.; Huang, T.; Shen, C.; Aslani, F.; Chen, D. Flexural behavior of corroded reinforced concrete beams repaired with ultra-high toughness cementitious composite. Constr. Build. Mater. 2019, 211, 1127–1137. [Google Scholar] [CrossRef]
- Hou, L.; Zhou, B.; Guo, S.; Aslani, F.; Chen, D. Corrosion behavior and flexural performance of reinforced concrete/ultrahigh toughness cementitious composite (RC/UHTCC) beams under sustained loading and shrinkage cracking. Constr. Build. Mater. 2019, 198, 278–287. [Google Scholar] [CrossRef]
- Goksu, C.; Ilki, A. Seismic behavior of reinforced concrete columns with corroded deformed reinforcing bars. ACI Struct. J. 2016, 113, 1053–1064. [Google Scholar] [CrossRef]
- Ge, X.; Dietz, M.S.; Alexander, N.A.; Kashani, M.M. Nonlinear dynamic behavior of severely corroded reinforced concrete columns: Shaking table study. B Earthq. Eng. 2020, 18, 1417–1443. [Google Scholar] [CrossRef]
- Dai, K.Y.; Lu, D.G.; Yu, X.H. Experimental investigation on the seismic performance of corroded reinforced concrete columns designed with low and high axial load ratios. J. Build. Eng. 2021, 44, 102615. [Google Scholar] [CrossRef]
- Vu, N.S.; Yu, B.; Li, B. Prediction of strength and drift capacity of corroded reinforced concrete columns. Constr. Build. Mater. 2016, 115, 304–318. [Google Scholar] [CrossRef]
- Wu, X.; Chen, L.; Li, H.; Xu, J. Experimental study of the mechanical properties of reinforced concrete compression members under the combined action of sustained load and corrosion. Constr. Build. Mater. 2019, 202, 11–22. [Google Scholar] [CrossRef]
- Campione, G.; Cannella, F.; Minafò, G. A simple model for the calculation of the axial load-carrying capacity of corroded RC columns. Mater. Struct. 2016, 49, 1935–1945. [Google Scholar] [CrossRef]
- Wang, G.Y.; Pan, Z.; Yu, W. Bearing capacity of the corrosion reinforced concrete axial compression members. Adv. Mater. Res. 2012, 430–432, 1830–1833. [Google Scholar] [CrossRef]
- Joshi, J.; Arora, H.C.; Sharma, U.K. Structural performance of differently confined and strengthened corroding reinforced concrete columns. Constr. Build. Mater. 2015, 82, 287–295. [Google Scholar] [CrossRef]
- Zhang, G.; Cao, X.; Fu, Q. Experimental study on residual strength of concrete confined with corroded stirrups. Can. J. Civil. Eng. 2016, 43, 583–590. [Google Scholar] [CrossRef]
- Vu, N.S.; Yu, B.; Li, B. Stress-strain model for confined concrete with corroded transverse reinforcement. Eng. Struct. 2017, 151, 472–487. [Google Scholar] [CrossRef]
- Andisheh, K.; Scott, A.; Palermo, A. Effects of corrosion on stress-strain behavior of confined concrete. J. Struct. Eng. 2021, 147, 04021087. [Google Scholar] [CrossRef]
- Mander, J.B.; Priestley, M.J.N.; Park, R. Theoretical stress-strain model for confined concrete. J. Struct. Eng. 1988, 114, 1804–1826. [Google Scholar] [CrossRef]
- Zhang, Q.; Zheng, N.-H.; Gu, X.-L.; Wei, Z.-Y.; Zhang, Z. Study of the confinement performance and stress-strain response of RC columns with corroded stirrups. Eng. Struct. 2022, 266, 114476. [Google Scholar] [CrossRef]
- Andisheh, K.; Scott, A.; Palermo, A. Experimental evaluation of the residual compression strength and ultimate strain of chloride corrosion-induced damage concrete. Struct. Concrete 2019, 20, 296–306. [Google Scholar] [CrossRef]
- Xia, J.; Jin, W.; Li, L. Performance of Corroded Reinforced Concrete Columns under the Action of Eccentric Loads. J. Mater. Civil. Eng. 2016, 28, 04015087. [Google Scholar] [CrossRef]
- GB/T50081-2019; Ministry of Housing and Urban-Rural Development of the People’s Republic of China. Standard for Test Methods of Concrete Physical and Mechanical Properties. China Industrial Press: Beijing, China, 2019. (In Chinese)
- GB/T228.1-2010; State General Administration of the People’s Republic of China for Quality Supervision and Inspection and Quarantine. Metallic Materials -Tensile Testing-Part 1: Method of Test at Room Temperature. Standards Press of China: Beijing, China, 2011. (In Chinese)
- Du, Y.G.; Clark, L.A.; Chan, A.H.C. Residual capacity of corroded reinforcing bars. Mag. Concrete Res. 2005, 57, 135–147. [Google Scholar] [CrossRef]
- Vecchio, F.J.; Collins, M.P. The modified compression-field theory for reinforced concrete elements subjected to shear. ACI J. Proceeding 1986, 83, 219–231. [Google Scholar]
- Cape, M. Residual Service-Life Assessment of Existing R/C Structures; Chalmers University of Technology: Gotborg, Sweden, 1999; pp. 20–65. [Google Scholar]
- Molina, F.J.; Alnonso, C.; Andrade, C. Cover cracking as a function of rebar corrosion: Part 2: Numerical model. Mater. Struct. 1993, 26, 532–548. [Google Scholar] [CrossRef]
- Li, S.; Li, W.; Tang, W.; Lu, Y. Study on constitutive model for compressive stress-strain relationship of corroded steel bars. J. Huazhong Univ. of Sci. Tech. (Nat. Sci. Ed.) 2021, 49, 98–102. (In Chinese) [Google Scholar]
- Campione, G.; Minafò, G. Compressive behavior of short high-strength concrete columns. Eng. Struct. 2010, 32, 2755–2766. [Google Scholar] [CrossRef]
















| Specimen No. | ηl/% | ηs/% | Corrosion Location |
|---|---|---|---|
| RC-0-0 | 0 | 0 | No corrosion |
| RC-0-10 | 10 | 0 | Main reinforcement |
| RC-0-20 | 20 | 0 | |
| RC-0-30 | 30 | 0 | |
| RC-10-0 | 0 | 10 | Stirrup |
| RC-20-0 | 0 | 20 | |
| RC-30-0 | 0 | 30 | |
| RC-10-10 | 10 | 10 | All steel bars |
| RC-20-20 | 20 | 20 | |
| RC-30-30 | 30 | 30 |
| d/mm | fy/MPa | fu/MPa | Es × 105/MPa | δ/% |
|---|---|---|---|---|
| 8 | 440 | 625 | 1.96 | 27.5 |
| 20 | 430 | 624 | 2.01 | 25 |
| Corroded Reinforcement | Steel Diameter/mm | Designed Corrosion Ratio/% | Electric Current Density/µA/cm2 | Corrosion Period/Day |
|---|---|---|---|---|
| Main reinforcement | 20 | 10 | 400 | 39 |
| 20 | 78 | |||
| 30 | 117 | |||
| Stirrup | 8 | 10 | 16 | |
| 20 | 32 | |||
| 30 | 47 |
| Specimen No. | Design Corrosion Ratio/% | Actual Corrosion Ratio/% | ||
|---|---|---|---|---|
| ηl | ηs | ηl | ηs | |
| RC-0-0 | 0 | 0 | 0 | 0 |
| RC-0-10 | 10 | 0 | 9.01 | 3.06 |
| RC-0-20 | 20 | 0 | 8.20 | 5.69 |
| RC-0-30 | 30 | 0 | 19.27 | 6.06 |
| RC-10-0 | 0 | 10 | 1.21 | 7.08 |
| RC-20-0 | 0 | 20 | 0.88 | 12.33 |
| RC-30-0 | 0 | 30 | 2.61 | 24.36 |
| RC-10-10 | 10 | 10 | 3.44 | 8.13 |
| RC-20-20 | 20 | 20 | 12.07 | 15.48 |
| RC-30-30 | 30 | 30 | 7.61 | 20.56 |
| Data Sources | Specimen No. | b/mm | h/mm | ρs/% | ρl/% | fck/MP | fys/MPa | fyl/MPa | s/mm | ηs/% | ηl/% | Nu,exp/kN | Nu,pre/kN | Nu,pre/Nu,exp | μ | CV |
|---|---|---|---|---|---|---|---|---|---|---|---|---|---|---|---|---|
| This research | RC-0-0 | 350 | 1200 | 0.67 | 1.03 | 36.6 | 440.0 | 430.0 | 100 | 0 | 0 | 5791 | 5168 | 0.89 | 0.91 | 0.05 |
| RC-0-10 | 3.1 | 9.0 | 5006 | 4561 | 0.91 | |||||||||||
| RC-0-20 | 5.7 | 8.2 | 5181 | 4559 | 0.88 | |||||||||||
| RC-0-30 | 6.1 | 19.3 | 4646 | 4264 | 0.92 | |||||||||||
| RC-10-0 | 7.1 | 1.2 | 5120 | 4959 | 0.97 | |||||||||||
| RC-20-0 | 12.3 | 0.9 | 5092 | 4925 | 0.97 | |||||||||||
| RC-30-0 | 24.4 | 2.61 | 4798 | 4632 | 0.97 | |||||||||||
| RC-10-10 | 8.1 | 3.44 | 5356 | 4772 | 0.89 | |||||||||||
| RC-20-20 | 15.5 | 12.1 | 4842 | 4308 | 0.89 | |||||||||||
| RC-30-30 | 20.6 | 7.6 | 5154 | 4400 | 0.85 | |||||||||||
| Wu [9] | A-0-0 | 250 | 600 | 4.23 | 1.29 | 40.53 | 427.2 | 427.2 | 100 | 0 | 0 | 3400 | 3570 | 1.05 | 1.12 | 0.07 |
| A-0-5 | 5.5 | 3 | 3000 | 3246 | 1.08 | |||||||||||
| A-0-10 | 10.8 | 7.6 | 2650 | 2952 | 1.11 | |||||||||||
| A-0-15 | 16.7 | 9.6 | 2200 | 2812 | 1.28 | |||||||||||
| A-1-5 | 5.2 | 3.1 | 3100 | 3243 | 1.05 | |||||||||||
| A-1-10 | 9.9 | 7.5 | 2700 | 2967 | 1.10 | |||||||||||
| A-1-15 | 15.2 | 10.1 | 2350 | 2815 | 1.20 | |||||||||||
| A-2-5 | 4.5 | 2.5 | 3150 | 3293 | 1.05 | |||||||||||
| A-2-10 | 9.2 | 6.3 | 2800 | 3024 | 1.08 | |||||||||||
| A-2-15 | 13.2 | 8.8 | 2450 | 2880 | 1.18 | |||||||||||
| B-0-0 | 250 | 600 | 4.23 | 1.29 | 40.53 | 468.7 | 468.7 | 100 | 0 | 0 | 3450 | 3652 | 1.06 | 1.00 | 0.04 | |
| B-0-5 | 1 | 4.3 | 3350 | 3303 | 0.99 | |||||||||||
| B-0-10 | 1.4 | 9.2 | 3250 | 3091 | 0.95 | |||||||||||
| B-0-15 | 2.5 | 13.5 | 3050 | 2962 | 0.97 | |||||||||||
| B-1-5 | 0.8 | 4.9 | 3300 | 3273 | 0.99 | |||||||||||
| B-1-10 | 1.2 | 9.7 | 3150 | 3078 | 0.98 | |||||||||||
| B-1-15 | 2.1 | 14.9 | 3000 | 2938 | 0.98 | |||||||||||
| B-2-5 | 0.9 | 5.8 | 3250 | 3228 | 0.99 | |||||||||||
| B-2-10 | 1.1 | 12 | 3100 | 3016 | 0.97 | |||||||||||
| B-2-15 | 2 | 7.4 | 2900 | 3146 | 1.08 | |||||||||||
| Zhang [17] | RC1S4 | 150 | 300 | 1.46 | 2.01 | 19.8 | 377.8 | 511.2 | 125 | 0 | 0 | 619 | 541 | 0.87 | 0.92 | 0.05 |
| RC1S4R2 | 9.2 | 1.6 | 519 | 496 | 0.95 | |||||||||||
| RC1S4R4 | 21.3 | 3.4 | 480 | 455 | 0.95 | |||||||||||
| RC2S1 | 250 | 500 | 1.91 | 0.72 | 19.8 | 377.8 | 511.2 | 50 | 0 | 0 | 1737 | 1907 | 1.10 | 1.10 | 0.01 | |
| RC2S1R1 | 5.1 | 0.2 | 1694 | 1862 | 1.10 | |||||||||||
| RC2S1R2 | 9.5 | 1.8 | 1635 | 1787 | 1.09 | |||||||||||
| RC2S1R3 | 13.8 | 2.2 | 1605 | 1745 | 1.09 | |||||||||||
| RC2S1R4 | 20.3 | 2.5 | 1535 | 1689 | 1.10 | |||||||||||
| RC2S2 | 250 | 500 | 1.37 | 0.72 | 19.8 | 377.8 | 511.2 | 70 | 0 | 0 | 1632 | 1717 | 1.05 | 1.04 | 0.01 | |
| RC2S2CR1 | 6.4 | 3.6 | 1530 | 1595 | 1.04 | |||||||||||
| RC2S2R1 | 8.6 | 0.3 | 1585 | 1657 | 1.05 | |||||||||||
| RC2S2R2 | 12.1 | 2.4 | 1548 | 1585 | 1.02 | |||||||||||
| RC2S2CR2 | 12.8 | 5.8 | 1496 | 1520 | 1.02 | |||||||||||
| RC2S2R3 | 15.8 | 3.2 | 1503 | 1546 | 1.03 | |||||||||||
| RC2S2CR3 | 17.3 | 6.5 | 1423 | 1482 | 1.04 | |||||||||||
| RC2S2R4 | 21.6 | 3.1 | 1477 | 1513 | 1.02 | |||||||||||
| RC2S2CR4 | 22.2 | 8.9 | 1337 | 1423 | 1.06 | |||||||||||
| RC2S3 | 250 | 500 | 0.91 | 0.72 | 19.8 | 377.8 | 511.2 | 105 | 0 | 0 | 1513 | 1540 | 1.02 | 1.03 | 0.03 | |
| RC2S3CR1 | 7.2 | 2.7 | 1402 | 1442 | 1.03 | |||||||||||
| RC2S3R1 | 8.2 | 1.2 | 1478 | 1472 | 1.00 | |||||||||||
| RC2S3R2 | 12.8 | 2.2 | 1425 | 1429 | 1.00 | |||||||||||
| RC2S3CR2 | 13.2 | 7.1 | 1323 | 1344 | 1.02 | |||||||||||
| RC2S3R3 | 15.3 | 1.6 | 1386 | 1432 | 1.03 | |||||||||||
| RC2S3CR3 | 15.6 | 8.7 | 1309 | 1314 | 1.00 | |||||||||||
| RC2S3R4 | 18.6 | 1.9 | 1318 | 1411 | 1.07 | |||||||||||
| RC2S3CR4 | 19.5 | 9.3 | 1207 | 1290 | 1.07 |
Disclaimer/Publisher’s Note: The statements, opinions and data contained in all publications are solely those of the individual author(s) and contributor(s) and not of MDPI and/or the editor(s). MDPI and/or the editor(s) disclaim responsibility for any injury to people or property resulting from any ideas, methods, instructions or products referred to in the content. |
© 2024 by the authors. Licensee MDPI, Basel, Switzerland. This article is an open access article distributed under the terms and conditions of the Creative Commons Attribution (CC BY) license (https://creativecommons.org/licenses/by/4.0/).
Share and Cite
Liu, X.; He, B.; Chen, X.; Liu, Y.; Li, X. Axial Compressive Behavior and Calculation Model for Axial-Compressive-Load-Carrying Capacity of Locally Corroded RC Short Columns. Buildings 2024, 14, 3884. https://doi.org/10.3390/buildings14123884
Liu X, He B, Chen X, Liu Y, Li X. Axial Compressive Behavior and Calculation Model for Axial-Compressive-Load-Carrying Capacity of Locally Corroded RC Short Columns. Buildings. 2024; 14(12):3884. https://doi.org/10.3390/buildings14123884
Chicago/Turabian StyleLiu, Xiaojuan, Baorui He, Xueqiong Chen, Yang Liu, and Xin Li. 2024. "Axial Compressive Behavior and Calculation Model for Axial-Compressive-Load-Carrying Capacity of Locally Corroded RC Short Columns" Buildings 14, no. 12: 3884. https://doi.org/10.3390/buildings14123884
APA StyleLiu, X., He, B., Chen, X., Liu, Y., & Li, X. (2024). Axial Compressive Behavior and Calculation Model for Axial-Compressive-Load-Carrying Capacity of Locally Corroded RC Short Columns. Buildings, 14(12), 3884. https://doi.org/10.3390/buildings14123884
