Seismic Response Analysis of a Vibrating Stirred Steel Fiber Concrete Frame Structure Based on Probability Density Evolution
Abstract
1. Introduction
2. Vibratory Mixing of Steel Fiber Concrete
2.1. Vibration Mixing Mechanism of Steel Fiber Concrete
2.1.1. Concrete Mixing Process
2.1.2. Vibration Stirring Mechanism
2.1.3. Vibration Stirring Principle
2.2. Steel Fiber Reinforcement Mechanism
2.3. Experimental Study on the Compressive Properties of Vibration-Mixed Steel Fiber Concrete
- (1)
- Figure 9 shows plain concrete specimens, in ordinary mixing conditions, where you can see that the specimen structure is loose, not close. There are obvious pores, which are large and have a dispersed distribution. In the vibration mixing conditions, the structure is more tightly packed, there are no obvious cracks, the pores are smaller, and they have a uniform distribution.
- (2)
- Figure 10 shows steel fiber concrete specimens, as observed through the electron microscope observation of micro-morphological photographs, in ordinary mixing conditions. It can be seen that in the specimens, there are pores and cracks dispersed in the mixture, and some of the steel fibers appeared to be agglomerated. In the vibration mixing conditions, it can be seen that the hydration products and aggregates connect tightly, and the steel fibers are uniformly contained in the mixture, while the pore size of the mixture is relatively small and the pores are uniformly distributed. Through comparative analysis, it was found that vibration mixing, when compared with ordinary mixing of steel fiber concrete, has better denseness and there are no obvious cracks. There are also smaller pores and with a uniform dispersion, and the performance is clearly better, while the steel fibers in the mixture are uniformly distributed, avoiding the phenomenon of aggregation, which is conducive to the performance improvement of steel fiber concrete.
3. Structural Analysis Method Based on Probability Density Evolution Theory
3.1. Generalized Probability Density Evolution Equation
3.2. Solution of the Probability Density Evolution Equation for the Stochastic Response of the Structure
3.3. Reliability Solving Process for Stochastic Structural Probability Density Evolution Methods
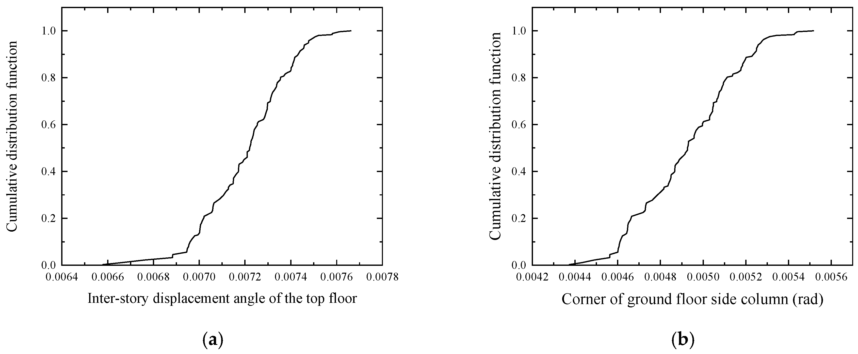
4. Seismic Response Analysis of Vibratory Stirred Steel Fiber Frame Structures
5. Conclusions
Author Contributions
Funding
Data Availability Statement
Conflicts of Interest
References
- Newmark, N.M. A Method of Computation for Structural Dynamics. Trans. Am. Soc. Civ. Eng. 1962, 127, 67–94. [Google Scholar] [CrossRef]
- Takeda, T.; Sozen, M.A.; Nielsen, N.N. Reinforced Concrete Response to Simulated Earthquakes. J. Struct. Div. 1970, 96, 2557–2573. [Google Scholar] [CrossRef]
- Wriggers, P. Nonlinear finite Element Methods; Springer Science & Business Media: Berlin/Heidelberg, Germany, 2008. [Google Scholar]
- Li, Z.; Ren, Q. Development of a Practical Uniaxial Cyclic Constitutive Model for Concrete. IOP Conf. Ser. Earth Environ. Sci. 2019, 295, 042057. [Google Scholar] [CrossRef]
- Song, P.Y.; Chen, J.B.; Wan, Z.Y.; Li, J. Probabilistic density evolution analysis of stochastic earthquake response of concrete frame structures. J. Build. Struct. 2015, 36, 117–123. (In Chinese) [Google Scholar]
- Zhao, K.; Zhao, L.; Hou, J.; Zhang, X.; Feng, Z.; Yang, S. Effect of vibratory mixing on the slump, compressive strength, and density of concrete with the different mix proportions. J. Mater. Res. Technol. 2021, 15, 4208–4219. [Google Scholar] [CrossRef]
- Zheng, Y.; Wu, X.; He, G.; Shang, Q.; Xu, J.; Sun, Y. Mechanical Properties of Steel Fiber-Reinforced Concrete by Vibratory Mixing Technology. Adv. Civ. Eng. 2018, 2018 Pt 5, 9025715.1–9025715.11. [Google Scholar] [CrossRef]
- Martin, H.; Jiri, K. Material structure generation of concrete and its further usage in numerical simulations. Struct. Eng. Mech. 2018, 68, 335–344. [Google Scholar]
- Guan, J.; Yuan, P.; Hu, X.; Qing, L.; Yao, X. Statistical analysis of concrete fracture using normal distribution pertinent to maximum aggregate size. Theor. Appl. Fract. Mech. 2019, 101, 236–253. [Google Scholar] [CrossRef]
- Feng, D.; Li, J. Stochastic Nonlinear Behavior of Reinforced Concrete Frames. II: Numerical Simulation. J. Struct. Eng. 2016, 142, 04015163. [Google Scholar] [CrossRef]
- Dai, J.; Gao, W.; Zhang, N.; Liu, N. Seismic random vibration analysis of shear beams with random structural parameters. J. Mech. Sci. Technol. 2010, 24, 497–504. [Google Scholar] [CrossRef]
- Wang, H.; Wang, F.; Yang, H.; Feng, Y.; Bayless, J.; Abrahamson, N.A.; Jeremić, B. Time domain intrusive probabilistic seismic risk analysis of nonlinear shear frame structure. Soil Dyn. Earthq. Eng. 2020, 136, 106201. [Google Scholar] [CrossRef]
- Ding, G.; Li, J. Stochastic Simulation of Nonlinear Static Analysis of Concrete Frame Structures. J. Tongji Univ. (Nat. Sci. Ed.) 2003, 4, 389–394. (In Chinese) [Google Scholar]
- Mo, J.; Wang, L.; Qiu, Z.; Shi, Q. A nonprobabilistic structural damage identification approach based on orthogonal polynomial expansion and interval mathematics. Struct. Control Health Monit. 2019, 26, 22. [Google Scholar] [CrossRef]
- Li, J.; Chen, J.; Sun, W.; Peng, Y. Advances of the probability density evolution method for nonlinear stochastic systems. Probabilistic Eng. Mech. 2012, 28, 132–142. [Google Scholar] [CrossRef]
- Li, J.; Chen, J. Stochastic Dynamics of Structures; John Wiley & Sons: Hoboken, NJ, USA, 2009. [Google Scholar]
- Cao, X.Y.; Feng, D.C.; Beer, M. Consistent seismic hazard and fragility analysis considering combined capacity-demand uncertainties via probability density evolution method. Struct. Saf. 2023, 103, 102330. [Google Scholar] [CrossRef]
- Wang, L.; Zhou, Y.; Shi, W.; Zhou, Y. Seismic Response Control of a Nonlinear Tall Building Under Mainshock-Aftershock Sequences Using Semi-Active Tuned Mass Damper. Int. J. Struct. Stab. Dyn. 2023, 23, 2340027. [Google Scholar] [CrossRef]
- Sivanantham, P.; Pugazhlendi, D.; Gurupatham, B.G.A.; Roy, K. Influence of Steel Fiber and Carbon Fiber Mesh on Plastic Hinge Length of RCC Beams under Monotonic Loading. Buildings 2022, 12, 374. [Google Scholar] [CrossRef]
- Sivanantham, P.; Gurupatham, B.G.A.; Roy, K.; Rajendiran, K.; Pugazhlendi, D. Plastic Hinge Length Mechanism of Steel-Fiber-Reinforced Concrete Slab under Repeated Loading. Buildings 2022, 6, 164. [Google Scholar] [CrossRef]
- Reena, G.C.; Gurupatham, B.G.A.; Tsavdaridis, K.D. Column Link Behavior in Eccentrically Braced Composite 3-Dimensional Frames. Buildings 2023, 13, 2970. [Google Scholar] [CrossRef]
- Sivanantham, P.; Selvan, S.S.; Srinivasan, S.K.; Gurupatham, B.G.A.; Roy, K. Influence of Infill on Reinforced Concrete Frame Resting on Slopes under Lateral Loading. Buildings 2023, 13, 289. [Google Scholar] [CrossRef]
- Zhao, W.; Mao, K.; Ma, R.; Guo, L.; Feng, Z. Influence of Mixing Process of High Performance Concrete. IOP Conf. Ser. Mater. Sci. Eng. 2019, 563, 022036. [Google Scholar] [CrossRef]
- Stel’makh, S.A.; Shcherban, E.M.; Shuiskii, A.I.; Prokopov, A.B.Y.; Madatyan, S.M.; Parinov, I.A.; Cherpakov, A.V. Effects of the Geometric Parameters of Mixer on the Mixing Process of Foam Concrete Mixture and Its Energy Efficiency. Appl. Sci. 2020, 10, 8055. [Google Scholar] [CrossRef]
- Liu, Z. Study on the Properties of Water-Mixed Cement Concrete Activated By electric Field. Master’s Thesis, Chang’an University, Xi’an, China, 2015. (In Chinese). [Google Scholar]
- Zheng, Y.; Zhou, Y.; Huang, X.; Min, Y.; Luo, H.; Chen, Y.; Li, W. Study on performance improvement of ultra-high performance concrete by vibration mixing. Constr. Build. Mater. 2022, 327, 126823. [Google Scholar] [CrossRef]
- Erofeev, M.N.; Kravchenko, I.N.; Kuznetsov, Y.A.; Goncharenko, V.V. Improvement of mixing technology of concrete mortar components in mixers. IOP Conf. Ser. Mater. Sci. Eng. 2021, 1164, 012023. [Google Scholar] [CrossRef]
- Feng, J. Research and Application of Vibration Stirring Technology for Durable Crack Resistance of Cement-Stabilized Crushed Stone Base. Master’s Thesis, Chang’an University, Xi’an, China, 2015. (In Chinese). [Google Scholar]
- Zhao, K.; Zhao, L.; Liu, S.; Hou, J. Effect of three-step mixing technology based on vibratory mixing on properties of high-strength concrete. IOP Conf. Ser. Mater. Sci. Eng. 2019, 542, 012003. [Google Scholar] [CrossRef]
- Zhang, L. Research on Concrete Vibration Mixing Mechanism and Industrial Application. Ph.D. Thesis, Chang’an University, Xi’an, China, 2013. (In Chinese). [Google Scholar]
- Liu, J.; Jia, Y.; Wang, J. Experimental Study on Mechanical and Durability Properties of Glass and Polypropylene Fiber Reinforced Concrete. Fibers Polym. 2019, 20, 1900–1908. [Google Scholar] [CrossRef]
- Iqbal, S.; Ali, I.; Room, S.; Khan, S.A.; Ali, A. Enhanced mechanical properties of fiber reinforced concrete using closed steel fibers. Mater. Struct. 2019, 52, 1–10. [Google Scholar] [CrossRef]
- Siddika, A.; Al Mamun, M.A.; Alyousef, R.; Amran, Y.M. Strengthening of reinforced concrete beams by using fiber-reinforced polymer composites: A review. J. Build. Eng. 2019, 25, 100798. [Google Scholar] [CrossRef]
- Ju, L. Research on the Manufacturing Technology and Performance of Composite Fiber Reinforced Concrete Segments for Shield Tunnels. Ph.D. Thesis, Tongji University, Shanghai, China, 2005. (In Chinese). [Google Scholar]
- Zhou, R.; Jin, Y. Study on Mechanical Properties of Concrete with Different Steel Fiber Content. Int. J. Multiphy. 2021, 15, 87–99. [Google Scholar]
- Zhang, C.; Sun, Y.; Xu, J.; Wang, B. The Effect of Vibration Mixing on the Mechanical Properties of Steel Fiber Concrete with Different Mix Ratios. Materials 2021, 14, 3669. [Google Scholar] [CrossRef]
- Wang, D.; Ju, Y.; Shen, H.; Xu, L. Mechanical properties of high performance concrete reinforced with basalt fiber and polypropylene fiber. Constr. Build. Mater. 2019, 197, 464–473. [Google Scholar] [CrossRef]
- Miao, H.; Liu, W.; Li, J. Seismic reliability analysis of water distribution networks on the basis of the probability density evolution method. Struct. Saf. 2020, 86, 101960. [Google Scholar] [CrossRef]
- Li, J. Probability density evolution method: Background, significance and recent developments. Probabilistic Eng. Mech. 2016, 44, 111–117. [Google Scholar] [CrossRef]
- Li, J.; Chen, J. The principle of preservation of probability and the generalized density evolution equation. Struct. Saf. 2006, 30, 65–77. [Google Scholar] [CrossRef]
- Li, J. A PDEM-based perspective to engineering reliability: From structures to lifeline networks. Front. Struct. Civ. Eng. 2020, 14, 1–10. [Google Scholar] [CrossRef]
- Zhang, H.; Xu, Y. Probabilistic load flow calculation by using probability density evolution method. Int. J. Electr. Power Energy Syst. 2018, 99, 447–453. [Google Scholar] [CrossRef]
- Kalogeris, I.; Papadopoulos, V. Limit analysis of stochastic structures in the framework of the Probability Density Evolution Method. Eng. Struct. 2018, 160, 304–313. [Google Scholar] [CrossRef]
- Peng, M.; Sun, R.; Chen, J.F.; Zhang, L.M.; Yu, S.B. Stochastic seismic analysis of geosynthetic-reinforced soil slopes using the probability density evolution method. Comput. Geotech. 2021, 140, 104485. [Google Scholar] [CrossRef]
- Song, P. Structural Overall Reliability Method and Nonlinear Overall Seismic Reliability Analysis of RC Frame. Ph.D. Thesis, Harbin Institute of Technology, Harbin, China, 2012. (In Chinese). [Google Scholar]
- Chen, J.; Yang, J.; Li, J. A GF-discrepancy for point selection in stochastic seismic response analysis of structures with uncertain parameters. Struct. Saf. 2016, 59, 20–31. [Google Scholar] [CrossRef]
- Hasan, Ö. Earthquake behavior of steel cushion-implemented reinforced concrete frames. Earthq. Eng. Eng. Vib. 2018, 17, 385–401. [Google Scholar]





























| Matrix Strength | Steel Fiber Volume Ratio (%) | Cube Compressive Strength (MPa) | Increase (%) | |
|---|---|---|---|---|
| Normal Stirring | Vibration Stirring | |||
| CF40 | 0 | 45.89 | 49.51 | 7.89% |
| 0.50% | 48.06 | 53.33 | 10.97% | |
| 1.00% | 50.77 | 54.31 | 6.97% | |
| 1.50% | 51.62 | 55.16 | 6.86% | |
| 2.00% | 53.89 | 56.49 | 4.82% | |
| CF50 | 0 | 52.64 | 57.13 | 8.53% |
| 0.50% | 56.67 | 63.44 | 11.95% | |
| 0.75% | 58.61 | 63.77 | 8.80% | |
| 1.00% | 60.24 | 64.58 | 7.20% | |
| 1.50% | 62.56 | 66.86 | 6.87% | |
| 2.00% | 63.98 | 67.41 | 5.36% | |
| CF60 | 0 | 59.84 | 64.74 | 8.19% |
| 0.50% | 64.67 | 74.33 | 14.94% | |
| 1.00% | 72.60 | 79.14 | 9.01% | |
| 1.50% | 75.32 | 81.62 | 8.36% | |
| 2.00% | 76.39 | 82.21 | 7.62% | |
| Matrix Strength | Steel Fiber Volume Ratio (%) | Cube Compressive Strength (MPa) | Ratio | |
|---|---|---|---|---|
| Test Value | Theoretical Value | |||
| C40 | 0 | 49.51 | 51.93 | 0.95 |
| 0.50% | 53.33 | 53.76 | 0.99 | |
| 1.00% | 54.31 | 55.59 | 0.98 | |
| 1.50% | 55.16 | 57.41 | 0.96 | |
| 2.00% | 56.49 | 59.24 | 0.95 | |
| C50 | 0 | 57.13 | 52.69 | 1.08 |
| 0.50% | 63.44 | 62.56 | 1.01 | |
| 0.75% | 63.77 | 63.63 | 1.00 | |
| 1.00% | 64.58 | 64.69 | 1.00 | |
| 1.50% | 66.86 | 66.82 | 1.00 | |
| 2.00% | 67.41 | 68.95 | 0.98 | |
| C60 | 0 | 64.74 | 62.34 | 1.04 |
| 0.50% | 74.33 | 73.36 | 1.01 | |
| 1.00% | 79.14 | 75.86 | 1.04 | |
| 1.50% | 81.62 | 78.35 | 1.04 | |
| 2.00% | 82.21 | 80.85 | 1.02 | |
| Random Variable | Average Value | Coefficient of Variation | Distribution Type |
|---|---|---|---|
| fpc | −67.14 Mpa | 0.15 | Normal distribution |
| epsc0 | −0.0029 | 0.20 | Normal distribution |
| ξ | 0.05 | 0.20 | Lognormal distribution |
Disclaimer/Publisher’s Note: The statements, opinions and data contained in all publications are solely those of the individual author(s) and contributor(s) and not of MDPI and/or the editor(s). MDPI and/or the editor(s) disclaim responsibility for any injury to people or property resulting from any ideas, methods, instructions or products referred to in the content. |
© 2024 by the authors. Licensee MDPI, Basel, Switzerland. This article is an open access article distributed under the terms and conditions of the Creative Commons Attribution (CC BY) license (https://creativecommons.org/licenses/by/4.0/).
Share and Cite
Huang, L.; Li, S.; Zhang, D.; Wang, W.; Xu, J.; Xu, S. Seismic Response Analysis of a Vibrating Stirred Steel Fiber Concrete Frame Structure Based on Probability Density Evolution. Buildings 2024, 14, 3862. https://doi.org/10.3390/buildings14123862
Huang L, Li S, Zhang D, Wang W, Xu J, Xu S. Seismic Response Analysis of a Vibrating Stirred Steel Fiber Concrete Frame Structure Based on Probability Density Evolution. Buildings. 2024; 14(12):3862. https://doi.org/10.3390/buildings14123862
Chicago/Turabian StyleHuang, Liang, Shuaitao Li, Di Zhang, Wenze Wang, Jianguo Xu, and Shizhan Xu. 2024. "Seismic Response Analysis of a Vibrating Stirred Steel Fiber Concrete Frame Structure Based on Probability Density Evolution" Buildings 14, no. 12: 3862. https://doi.org/10.3390/buildings14123862
APA StyleHuang, L., Li, S., Zhang, D., Wang, W., Xu, J., & Xu, S. (2024). Seismic Response Analysis of a Vibrating Stirred Steel Fiber Concrete Frame Structure Based on Probability Density Evolution. Buildings, 14(12), 3862. https://doi.org/10.3390/buildings14123862
