Mitigating Temperature Effects in Curved Continuous Steel Box Girders: A Parametric Thermodynamic Analysis and Design Recommendations
Abstract
1. Introduction
2. Thermodynamic Modeling of Continuous Curved Steel Box Girders Under Variable Temperatures
2.1. Construction of the Finite Element Model
2.2. Finite Element Model Validation
3. Geometric Properties of the Cross Section
3.1. Number of Cross-Sectional Box Chambers
3.2. Cross-Sectional Stiffness
3.3. Cross-Sectional Aspect Ratio
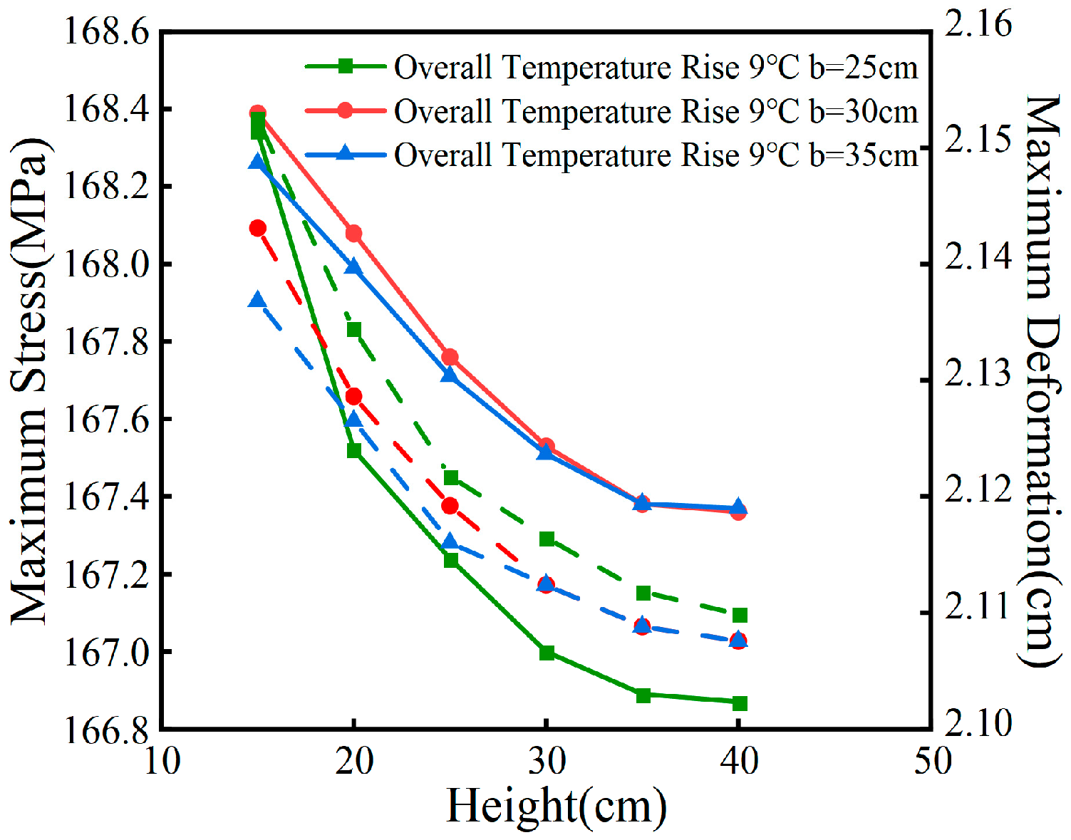
4. Factors Influencing Temperature Effect of Longitudinal Bridge
4.1. Longitudinal Bridge Alignment
4.2. Wide Span Ratio
4.3. Support Layout Scheme
5. Analysis of the Effect of Stiffening Ribs on the Temperature Effect of Bent Steel Box Girders
5.1. Longitudinal Stiffening Rib
5.2. Transverse Stiffening Ribs
5.3. Support Stiffening Rib
6. Design Recommendations
- (1)
- The cross section should have four webs, with the web thickness not less than that of the top and bottom plates.
- (2)
- The height-to-width ratio λ of the cross section should not be less than 0.15. A single-box three-cell section is recommended.
- (3)
- Diaphragms near the supports should be densely arranged, with three equally spaced diaphragms. The middle diaphragm is the support diaphragm. The spacing of densely arranged diaphragms should be 0.5 to 1 m, and the thickness of the support diaphragm should be at least 2 mm greater than that of the middle diaphragm. Diaphragms should be evenly spaced at intervals of 2.5 to 3.5 m.
- (4)
- In girder segments near the mid-span, diaphragms should be arranged with non-uniform spacing, decreasing gradually from the mid-span towards the ends. The maximum spacing should not exceed 3.5 m, and the minimum spacing should not be less than 1 m.
- (5)
- The perforation rate ρ of the manholes in the diaphragms should be ρ ≤ 0.4. The smaller the perforation rate, the better, provided the manhole meets the passage requirements. Manholes should be symmetrically centered.
- (6)
- Transverse stiffeners should be set on the bottom plate near each support, with no more than four stiffeners. The distance from the transverse stiffeners to the support diaphragm should be determined by Formula 9.
- (7)
- The longitudinal stiffeners on the top and bottom plates of the curved steel box girder should have as large a height-to-width ratio as possible under permissible conditions. Web stiffeners should be set according to standard requirements and not be overly arranged.
- (8)
- Support stiffeners usually adopt plate ribs, with specific dimensions determined by the size of the bearing pad. Assuming the transverse and longitudinal dimensions of the bearing pad are b and h, respectively, the eccentricity B of the support stiffeners relative to the centerline of the support should be 0.25b and the longitudinal width a should be 0.3h.
7. Conclusions
Author Contributions
Funding
Data Availability Statement
Conflicts of Interest
References
- Ding, Y.H.; Zhang, G.; Zhao, X.C.; Lu, Z.; Li, X. Shear performance of horizontally curved steel box bridge girders under hydrocarbon fire exposure conditions: Numerical investigation and design implications. Thin-Walled Struct. 2024, 205, 112479. [Google Scholar] [CrossRef]
- Zhang, G.; Li, X.Y.; Tang, C.H.; Song, C.; Ding, Y. Behavior of steel box bridge girders subjected to hydrocarbon fire and bending-torsion coupled loading. Eng. Struct. 2023, 296, 116906. [Google Scholar] [CrossRef]
- Song, C.J.; Zhang, G.; Lu, Z.L.; Li, X.; Zhao, X. Fire resistance tests on polypropylene -fiber-reinforced prestressed concrete box bridge girders. Eng. Struct. 2023, 282, 115800. [Google Scholar] [CrossRef]
- Zhang, G.; Zhao, X.C.; Song, C.J.; Li, X.; Tang, C.; Wan, H.; Lu, Z.; Ding, Y. Summary of fire science and safety guarantee technology of bridge structure. J. Traffic Transp. Eng. 2023, 23, 94–113. [Google Scholar] [CrossRef]
- Li, X.Y.; Zhang, G.; Song, C.J.; Zhao, X.; Lu, Z. Method for improving fire resistance of continuous bending steel box girder in complex environment. China J. Highw. Transp. 2022, 35, 192–204. [Google Scholar] [CrossRef]
- Wang, S.C.; Zhang, G.; Li, J.; Wang, Y.; Chen, B. Temperature Response of Double-Layer Steel Truss Bridge Girders. Buildings 2023, 13, 2889. [Google Scholar] [CrossRef]
- Song, C.J.; Zhang, G.; Li, X.Y.; Kodur, V. Experimental study on failure mechanism of steel-concrete composite bridge girders under fuel fire exposure. Eng. Struct. 2021, 247, 113230. [Google Scholar] [CrossRef]
- Brownjohn, J.M.; Koo, K.-Y.; Scullion, A.; List, D. Operational deformations in long-span bridges. Struct. Infrastruct. Eng. 2014, 11, 556–574. [Google Scholar] [CrossRef]
- Wen, W.Q.; Li, S.W.; Yan, A.G.; Zeng, J. Numerical analysis on the time-varying temperature field distributio patterns of ballastless track steel-concrete composite box girders at ambient temperature based on field measurements. Adv. Bridge Eng. 2021, 2, 21. [Google Scholar] [CrossRef]
- Zhou, G.D.; Yi, T.H. Thermal Load in Large-Scale Bridges: A State-of-the-Art Review. Int. J. Distrib. Sens. Netw. 2013, 9, 217983. [Google Scholar] [CrossRef]
- Lei, X.; Jiang, H.; Wang, J. Temperature Effects on Horizontally Curved Concrete Box-Girder Bridges with Single-Column Piers. J. Aerosp. Eng. 2019, 32, 04019008. [Google Scholar] [CrossRef]
- Lin, J.; Briseghella, B.; Xue, J.; Tabatabai, H.; Huang, F.; Chen, B. Temperature Monitoring and Response of Deck-Extension Side-By-Side Box Girder Bridges. J. Perform. Constr. Facil. 2020, 34, 04019122. [Google Scholar] [CrossRef]
- Wang, J.F.; Zhang, J.T.; Xu, R.Q.; Yang, Z.X. Evaluation of Thermal Effects on Cable Forces of a Long-Span Prestressed Concrete Cable–Stayed Bridge. J. Perform. Constr. Facil. 2019, 33, 04019072. [Google Scholar] [CrossRef]
- Miao, C.Q.; Shi, C.H. Study on temperature gradient and temperature influence of flat steel box girder of long-span suspension bridge. China Sci. Tech. Sci. 2013, 10, 1155–1164. [Google Scholar] [CrossRef]
- Zhou, L.-R.; Chen, L.; Xia, Y.; Koo, K.Y. Temperature-Induced Structural Static Responses of a Long-Span Steel Box Girder Suspension Bridge. J. Zhejiang Univ.-Sci. A 2020, 21, 580–592. [Google Scholar] [CrossRef]
- Zhang, Y.P.; Yang, N.; Li, C.X. Analysis of sunshine temperature field of steel box girder without pavement. Eng. Mech. 2011, 28, 156–162. [Google Scholar] [CrossRef]
- Wang, Z.-W.; Zhang, W.-M.; Zhang, Y.-F.; Liu, Z. Temperature prediction of flat steel box girders of long-span bridges utilizing In situ environmental parameters and machine learning. J. Bridge Eng. 2022, 27, 04022004. [Google Scholar] [CrossRef]
- Tao, T.; Wang, H.; Zhu, Q.; Zou, Z.; Li, J.; Wang, L. Long-term temperature field of steel-box girder of a long-span bridge: Measurement and simulation. Eng. Struct. 2021, 236, 111924. [Google Scholar] [CrossRef]
- Huang, X.; Zhu, J.; Jiang, S.; Zhao, J.; Li, Y. Temperature Field Characteristics of Flat Steel Box Girders Based on In Situ Field Measurement and Numerical Simulation. J. Bridge Eng. 2023, 28, 1.1–1.15. [Google Scholar] [CrossRef]
- Huang, X.; Zhu, J.; Li, Y.L. Temperature analysis of steel box girder considering actual wind field. Eng. Struct. 2021, 246, 113020. [Google Scholar] [CrossRef]
- Xu, Z.Y. Temperature Field and Its Effect Analysis of Curved Steel Box Girder Bridge; Zhejiang University: Hangzhou, China, 2016. [Google Scholar]
- Wan, L. Study on Spatial Stress Behavior of Curved Steel Box Girder Bridge; Southwest Jiaotong University: Chengdu, China, 2018. [Google Scholar]
- Yang, J.N.; He, X.J.; Yang, J.H.L.; Wang, Y.D.; Zhang, C. Analysis on Temperature Effect of Asphalt Concrete Paving of S-shaped Curved Steel Box Girder Cable-stayed Bridge. Bridge Constr. 2020, 50, 37–42. [Google Scholar]
- UDC 624.21.01:624.042; BS 5400 Part 3; Code of Practice for Design for Steel Bridge. BSI British Standards Institution: London, UK, 1978.
- Wang, Q. Research on Supporting System and Span Ratio of Curved Steel Box Girder Bridge; Dalian University of Technology: Dalian, China, 2020. [Google Scholar]
- Wang, J.F.; Xu, Z.Y.; Fan, X.L.; Lin, J.P. Thermal effects on curved steel box girder bridges and their countermeasures. J. Perform. Constr. Facil. 2017, 31, 04016091. [Google Scholar] [CrossRef]
- Kim, S.H.; Cho, K.I.; Won, J.H.; Kim, J.H. A study on thermal behaviour of curved steel box girder bridges considering solar radiation. Arch. Civ. Mech. Eng. 2009, 9, 59–76. [Google Scholar] [CrossRef]
- Kim, S.-H.; Park, S.-J.; Wu, J.; Won, J.-H. Temperature Variation in Steel Box Girders of Cable-Stayed Bridges During Construction. J. Constr. Steel Res. 2015, 112, 80–92. [Google Scholar] [CrossRef]
- Zhang, G.; Yuan, Z.; Ding, Y.; Xu, F.; Tang, C.; Wang, S. Fire Behavior of Composite Steel Truss Bridge Girders: Numerical Investigation and Design Strategies. Adv. Bridge Eng. 2024, 5, 36. [Google Scholar] [CrossRef]
- Wang, C.; Zhang, P.; Wu, G.; Li, P.Y. Thermal fatigue load models for fatigue design of steel box girder bridges. J. Constr. Steel Res. 2022, 198, 107560. [Google Scholar] [CrossRef]
- Chen, B.; Zheng, J.; Wang, J.P. Research progress on temperature effect of bridge structure. J. Wuhan Univ. Technol. 2010, 32, 79–83. [Google Scholar] [CrossRef]









































| Name | Thickness × Length (mm) | Material |
|---|---|---|
| Closed-cell stiffening rib | as shown in the figure | Q345qD |
| Open reinforcement on top and bottom plates | 12 × 140 | Q345qD |
| Horizontal stiffening rib in web | 10 × 200 | Q345qD |
| Application Location | Temperature | Radiation Rate | Convection Coefficient hc (Unit W/m2) |
|---|---|---|---|
| Upper surface of top plate | 59/59.6/60.2 | 0.88 | 13.096 |
| Outer surface of outer web | 0 | 0.5 | 12.096 |
| Outer surface of inner web | 0 | 0.5 | 12.096 |
| Lower surface of bottom plate | 0 | 0.5 | 12.096 |
| Lower surface of flange plate | 0 | 0.5 | 10.596 |
| Surface of diaphragm | 0 | 0.5 | 3.5 |
| Temperature Gradient Type | Load Case | Content |
|---|---|---|
| Vertical temperature gradient | Working condition 1 | The top surface temperature is raised from 38 °C to 47 °C |
| Longitudinal temperature gradient | Working condition 2 | It gradually increases by 9 °C along the Y-axis direction of the overall coordinate system, with the lowest temperature of 38 °C and the highest temperature of 47 °C. |
| Transverse temperature gradient | Working condition 3 | Compared with the inner edge, the outer edge is linearly increased by 9 °C in the radial direction, the inner edge temperature is 38 °C, and the outer edge temperature is 47 °C. |
| Model Number | Width b (m) | Hight h (m) | Aspect Ratio λ | Curvature Radius (m) | Single Span (m) | Central Angle | Ratio of Edge Span to Mid-Span | Cross-Section Type |
|---|---|---|---|---|---|---|---|---|
| 1 | 7 | 1.8 | 0.26 | 86 | 45 | 90° | 1:1:1 | Single box double room |
| 2 | 8 | 1.8 | 0.23 | 86 | 45 | 90° | 1:1:1 | Single box double room |
| 3 | 9 | 1.8 | 0.20 | 86 | 45 | 90° | 1:1:1 | Single box double room |
| 4 | 10 | 1.8 | 0.18 | 86 | 45 | 90° | 1:1:1 | Single box double room |
| 5 | 11 | 1.8 | 0.16 | 86 | 45 | 90° | 1:1:1 | Single box double room |
| 6 | 12 | 1.8 | 0.15 | 86 | 45 | 90° | 1:1:1 | Single box double room |
| 7 | 13 | 1.8 | 0.14 | 86 | 45 | 90° | 1:1:1 | Single box double room |
| 8 | 14 | 1.8 | 0.13 | 86 | 45 | 90° | 1:1:1 | Single box double room |
| 9 | 15 | 1.8 | 0.12 | 86 | 45 | 90° | 1:1:1 | Single box double room |
| 10 | 16 | 1.8 | 0.11 | 86 | 45 | 90° | 1:1:1 | Single box double room |
| 11 | 17 | 1.8 | 0.11 | 86 | 45 | 90° | 1:1:1 | Single box double room |
| 12 | 18 | 1.8 | 0.10 | 86 | 45 | 90° | 1:1:1 | Single box double room |
| Group | Model Number | Curvature Radius R (m) | Number of Spans n | Bridge Length L (m) | Central Angle θ (°) | Ratio of Edge Span to Mid-Span |
|---|---|---|---|---|---|---|
| A | A1 | 69 | 5 | 138 | 115 | 0.8:1:1:1:0.8 |
| A2 | 69 | 4 | 108 | 90 | 0.8:1:1:0.8 | |
| A3 | 69 | 3 | 78 | 65 | 0.8:1:0.8 | |
| A4 | 69 | 2 | 60 | 50 | 1:1 | |
| B | B1 | 86 | 5 | 207 | 138 | 0.8:1:1:1:0.8 |
| B2 | 86 | 4 | 162 | 108 | 0.8:1:1:0.8 | |
| B3 | 86 | 3 | 117 | 78 | 0.8:1:0.8 | |
| B4 | 86 | 2 | 90 | 60 | 1:1 | |
| C | C1 | 103 | 5 | 207 | 115 | 0.8:1:1:1:0.8 |
| C2 | 103 | 4 | 162 | 90 | 0.8:1:1:0.8 | |
| C3 | 103 | 3 | 117 | 65 | 0.8:1:0.8 | |
| C4 | 103 | 2 | 90 | 50 | 1:1 |
| Model Number | Radius of Curvature R (m) | Width–Span Ratio δ | Total Length of Bridge L (m) | Central Angle θ (°) | Side-to-Side Span Ratio | Single Span (m) |
|---|---|---|---|---|---|---|
| D1 | 69 | 0.46 | 108 | 90 | 1:1:1:1:1 | 21.6 |
| D2 | 69 | 0.37 | 108 | 90 | 1:1:1:1 | 27 |
| D3 | 69 | 0.28 | 108 | 90 | 1:1:1 | 36 |
| E1 | 60 | 0.47 | 84 | 80 | 1:1:1:1 | 21 |
| E2 | 60 | 0.36 | 84 | 80 | 1:1:1 | 28 |
| E3 | 60 | 0.24 | 84 | 80 | 1:1 | 42 |
| δ Change | Single-Span Reduction | Temperature Condition | Maximum Principal Stress Reduction | Maximum Equivalent Stress Reduction | Maximum Deformation Reduction |
|---|---|---|---|---|---|
| 0.36→0.47 | 7 m | Overall heating 9 °C | 13.32% | 7.44% | 20.71% |
| 0.24→0.36 | 14 m | 40.83% | 43.28% | 59.32% | |
| 0.36→0.47 | 7 m | Overall cooling 9 °C | 37.37% | 20.24% | 40.22% |
| 0.24→0.36 | 14 m | 14.86% | 34.19% | 69.80% |
| δ Change | Single-Span Reduction | Temperature Condition | Maximum Principal Stress Reduction | Maximum Equivalent Stress Reduction | Maximum Deformation Reduction |
|---|---|---|---|---|---|
| 0.36→0.47 | 7 m | Overall heating 9 °C | 13.32% | 7.44% | 20.71% |
| 0.24→0.36 | 14 m | 40.83% | 43.28% | 59.32% | |
| 0.36→0.47 | 7 m | Overall cooling 9 °C | 37.37% | 20.24% | 40.22% |
| 0.24→0.36 | 14 m | 14.86% | 34.19% | 69.80% |
| Plan | Fixed Support Number | Support Eccentricity (m) |
|---|---|---|
| Z1 | 5 | 2.4 |
| Z2 | 6 | 2.4 |
| Z3 | 3 | 2.4 |
| Z4 | 4 | 2.4 |
| Z5 | 3, 5 | 2.4 |
| Z6 | 4, 6 | 2.4 |
| Z7 | 3, 7 | 2.4 |
| Z8 | 4, 8 | 2.4 |
| Parameter Type | Parameters | Parameter Optimization Design |
|---|---|---|
| Cross-sectional shape parameters | Number of chambers | Adopt single box with three chambers. |
| Transverse diaphragm thickness | The thickness of the support diaphragm is 4 mm greater than that of the intermediate diaphragm. | |
| Cross-sectional steel plate thickness | The web thickness is 4 mm greater than the thickness of the top and bottom plates. | |
| Longitudinal bridge structural parameters | Intermediate diaphragm spacing | Intermediate diaphragm spacing is set to 3.5 m. |
| Support diaphragm spacing | The spacing between the support diaphragm and the adjacent intermediate diaphragms is set to 0.5 m. | |
| Support arrangement | Use a simply supported system with dual supports, fixed at the central support on the inner side of the curve. | |
| Stiffening rib | Longitudinal stiffening ribs | The vertical height of the longitudinal stiffening ribs on the top and bottom plates is increased by 2 cm. |
| Transverse stiffening ribs | The spacing between transverse stiffening ribs on the bottom plate and the support crossbeam is equal to the spacing between transverse stiffening ribs on the bottom plate, determined according to formula 9. | |
| Support stiffening rib | The side length of the bearing pad is denoted l. The eccentricity b of the support stiffening rib satisfies b/l = 0.25. The width a of the support stiffening rib satisfies a/l = 0.3. The thickness of the support stiffening rib is 4 mm greater than that of the support diaphragm. |
| Scheme ID | Parameters |
|---|---|
| OD1 | Cross-sectional shape parameters |
| OD2 | Longitudinal bridge structural parameters |
| OD3 | Stiffening rib |
| OD4 | Cross-sectional shape parameters + longitudinal bridge structural parameters |
| OD5 | Stiffening rib + longitudinal bridge structural parameters |
| OD6 | Cross-sectional shape parameters + stiffening rib |
| OD7 | Cross-sectional shape parameters + longitudinal bridge structural parameters + stiffening rib |
Disclaimer/Publisher’s Note: The statements, opinions and data contained in all publications are solely those of the individual author(s) and contributor(s) and not of MDPI and/or the editor(s). MDPI and/or the editor(s) disclaim responsibility for any injury to people or property resulting from any ideas, methods, instructions or products referred to in the content. |
© 2024 by the authors. Licensee MDPI, Basel, Switzerland. This article is an open access article distributed under the terms and conditions of the Creative Commons Attribution (CC BY) license (https://creativecommons.org/licenses/by/4.0/).
Share and Cite
Wang, S.; Zhang, G.; Liu, H.; Zhang, B.; Hou, X.; Yuan, Z. Mitigating Temperature Effects in Curved Continuous Steel Box Girders: A Parametric Thermodynamic Analysis and Design Recommendations. Buildings 2024, 14, 3860. https://doi.org/10.3390/buildings14123860
Wang S, Zhang G, Liu H, Zhang B, Hou X, Yuan Z. Mitigating Temperature Effects in Curved Continuous Steel Box Girders: A Parametric Thermodynamic Analysis and Design Recommendations. Buildings. 2024; 14(12):3860. https://doi.org/10.3390/buildings14123860
Chicago/Turabian StyleWang, Shichao, Gang Zhang, Haoting Liu, Boxing Zhang, Xu Hou, and Zhuoya Yuan. 2024. "Mitigating Temperature Effects in Curved Continuous Steel Box Girders: A Parametric Thermodynamic Analysis and Design Recommendations" Buildings 14, no. 12: 3860. https://doi.org/10.3390/buildings14123860
APA StyleWang, S., Zhang, G., Liu, H., Zhang, B., Hou, X., & Yuan, Z. (2024). Mitigating Temperature Effects in Curved Continuous Steel Box Girders: A Parametric Thermodynamic Analysis and Design Recommendations. Buildings, 14(12), 3860. https://doi.org/10.3390/buildings14123860

