Static Mechanical Properties of Aeolian Sand Improved with Silt Subjected to Varying Temperature and Pressure
Abstract
1. Introduction
2. Materials and Methods
2.1. Experimental Material
2.2. Experimental Equipment
2.3. Methods of Experiment
2.3.1. Experiment Scheme Design
2.3.2. The Method of Sample Preparation
3. Results
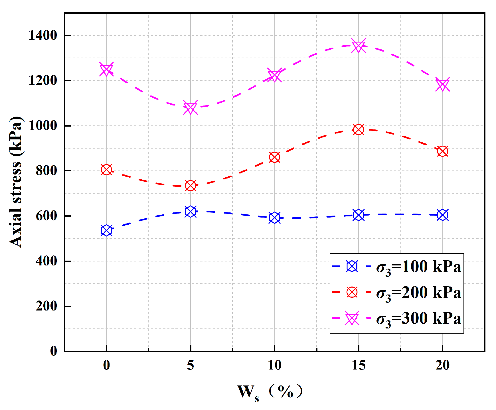
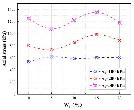
3.1. The Stress–Strain Curves and Peak Strength Curves Under Varying Silt Ratios
- (1)
- In the linear elastic stage, the stress increases rapidly with increasing strain, exhibiting linear elastic growth at smaller strains;
- (2)
- In the elastic–plastic stage, as strain increases, the stress gradually transforms from linear to curvilinear, with the growth rate of normal stress (σ1–σ3) decreasing and eventually reaching a peak;
- (3)
- In the shaping deformation stage, when the normal stress reaches its peak value, the normal stress (σ1–σ3) initially decreases gradually before stabilizing.
- (1)
- At a confining pressure of σ3 = 100 kPa, the peak strength of aeolian sand with no silt dosage is the smallest compared to other silt dosages. As WS increases, the peak strength initially increases before stabilizing. At a silt dosage of WS = 5%, the peak strength is at its maximum.
- (2)
- At a confining pressure of σ3 = 200 kPa, the minimum peak strength was exhibited by the improved aeolian sand with an addition of 5%, while the maximum peak strength was attained by the improved aeolian sand with an addition of 15%. As WS increases, the peak intensity initially decreases before growing to a maximum value, after which it again decreases. Silt’s dosage of WS = 5% and 15% are critical values.
- (3)
- At a confining pressure of σ3 = 300 kPa, the peak strength follows the same law as that observed in trials with a confining pressure of σ3 = 200 kPa.
- (1)
- At a confining pressure of σ3 = 100 kPa, as the silt dosage increases, compared to aeolian sand without silt addition, the growth rate initially decreases before slightly increasing, with a more gradual change. The impact of silt dosage on the growth rate is not evident.
- (2)
- At a confining pressure of σ3 = 200 kPa, at a low silt dosage (5%), the growth rate was negative (−8.83%), but as the silt dosage increased to 10%, 15%, and 20%, the growth rate gradually turned positive, reaching a peak of 22.00% at a water content of 15%. A moderate addition of silt (15%) significantly enhanced the growth rate.
- (3)
- At a confining pressure of σ3 = 300 kPa, when the silt dosage was increased to 5%, the growth rate was negative (−13.48%). However, when the dosage rose to 10% and 15%, the growth rate reversed and reached 8.37%. However, when the silt dosage was increased to 20%, the growth rate decreased again to a negative value (−5.29%). Under the condition of a high confining pressure, the impact of the water content on the growth rate is rather complex, with an optimal range of moisture content (approximately 10–15%).
| σ3/kPa | WS/% | Growth Rate/% |
|---|---|---|
| 100 | 5 10 15 20 | 15.53 |
| 10.54 | ||
| 12.66 | ||
| 12.76 | ||
| 200 | −8.83 | |
| 6.81 | ||
| 22.00 | ||
| 10.16 | ||
| 300 | −13.48 | |
| −2.06 | ||
| 8.37 | ||
| −5.29 |
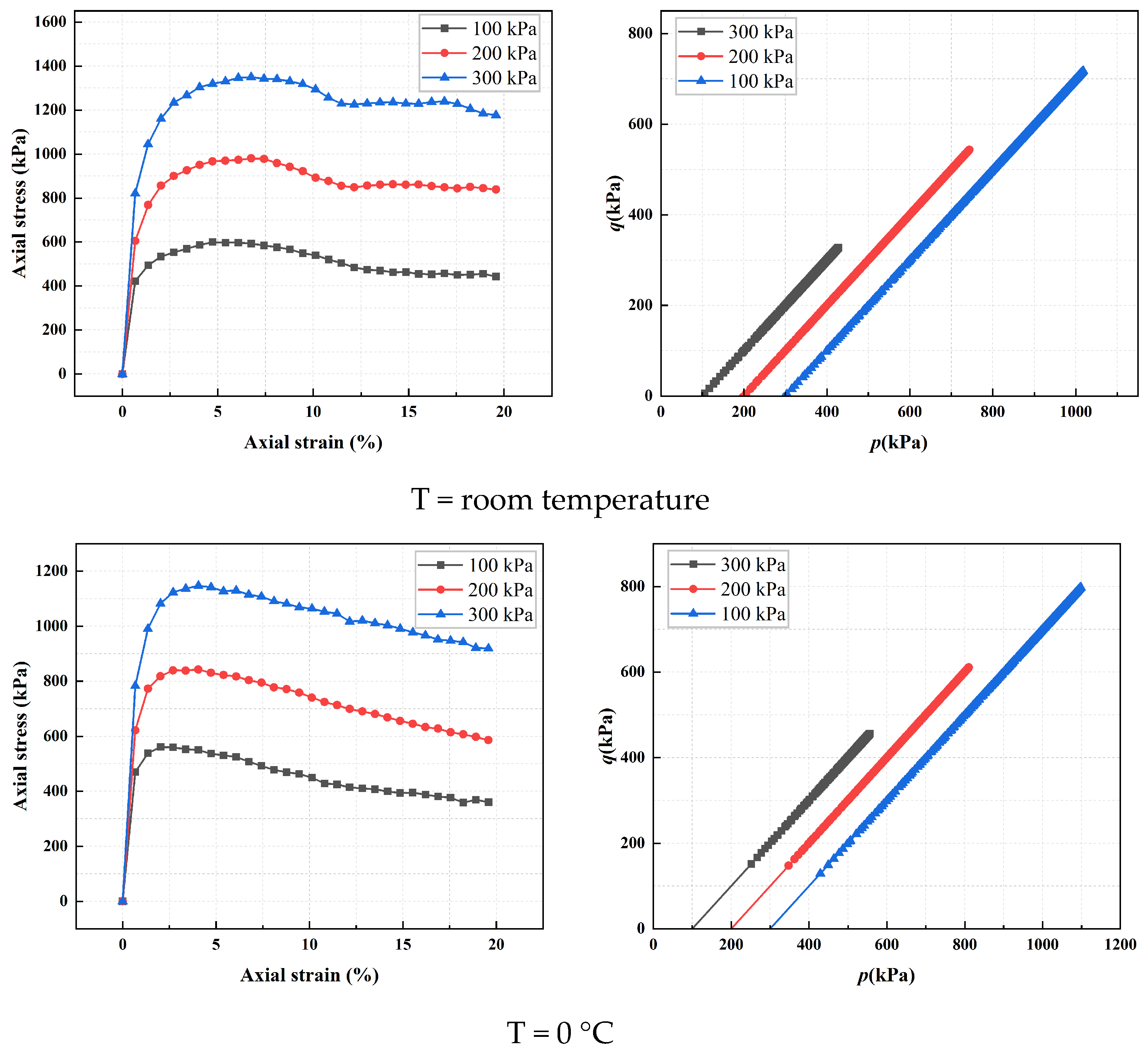
3.2. Analysis of Stress–Strain Curve Under Different Temperature Conditions and Optimal Mixing Ratio
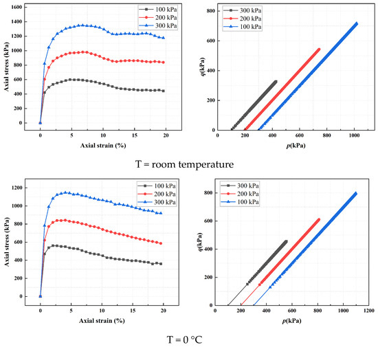
3.3. Stress–Strain Curves and Total Stress Paths Under Different Confining Pressure Conditions with Optimal Mixing Ratio
3.4. Shear Strength
3.5. Sample Destruction Images and Strain–Volumetric Deformation Curves at Different Temperatures and Optimal Mixing Ratios
4. Discussion
- (1)
- The stress–strain behavior of the samples under different confining pressures tests tends to be consistent, showing that as the strain increases, the stress first increases to a peak value, then decreases and stabilizes. This change and trend are consistent with the results presented in [22].
- (2)
- As the content of silt increases, the strength of triaxial compression shows a trend of first increasing and then decreasing. In similar studies, Radoslaw L. Michalowski and Michalowski, R.L. et al. found that with fiber-reinforced sand, the peak strength first increases and then decreases with the increase in fiber content [23]. This is consistent with the pattern observed in this study.
5. Conclusions
- (1)
- The optimal blending ratio for aeolian sand improved with silt is 15%. Compared with silt mixed with 0% aeolian sand, aeolian sand improved with silt exhibits significant improvement when silt is mixed at 15%. Under different silt dosage ratios, the improved aeolian sand stress–strain curves all exhibit strain softening. When aeolian sand improved with silt is mixed with 15% silt, its peak strength is significantly higher compared to other improved aeolian sand peak strengths under various dosages.
- (2)
- Under optimal blending conditions (WS = 15%), the strength characteristics of weathered sand and mud were compared under different stress constraints (σ3 = 100, 200, 300 kPa) and temperatures (T = Rt, 0, −5, −10, −15 °C): when the temperature decreased from room temperature to 0 °C, there was a slight decrease in tensile strength and peak strength; as the temperature continued to drop, the tensile strength and peak strength showed significant increased; the greater the temperature, the more densely packed the overall stress path was under different stress constraint conditions.
- (3)
- For aeolian sand improved with silt under varying temperature conditions, cohesion exhibits a trend of first increasing and then decreasing as the temperature decreases from room temperature to −15 °C; the friction angle remains fairly constant as the temperature decreases from room temperature to −10 °C, but significantly reduces at −15 °C.
- (4)
- By examining the stress–strain curve and the volumetric deformation–strain curve together, it becomes evident that there exists an inextricable connection between stress, strain, and volumetric deformation. Upon attaining its peak strength, the sample undergoes volumetric expansion or contraction accompanying the body change.
Author Contributions
Funding
Data Availability Statement
Acknowledgments
Conflicts of Interest
Abbreviations
| WS | Silt concentrations |
| σ3 | Confining pressures |
| K | Consolidation ratio |
| γ | Shearing speed |
| T | Temperature |
| Rt | Room temperature (20 °C) |
| ω0 | Optimal water content |
| ρdmax | Maximum density |
| c | Cohesion |
| φ | Friction angle |
| p | Maximum effective principal stress |
| q | Minimum effective principal stress |
References
- Zhang, H.; Wang, Z.; Liu, R.; Li, L. Study of Static Mechanical Properties of Aeolian Sand. Appl. Mech. Mater. 2014, 587–589, 976–980. [Google Scholar] [CrossRef]
- Chen, Y. Research on the Engineering Properties of aeolian sand and Its Application in the Management of Goaf Areas. Energy Technol. Manag. 2023, 481, 74–77. [Google Scholar]
- Zhao, Y.; Zhao, Y.; Han, J. Aeolian sand Engineering Characteristics Test Research. Heilongjiang Sci. Technol. Inf. 2009, 13, 56. [Google Scholar]
- Zheng, M.; Wang, Q.; Chen, W.; Gao, Y.; Zhang, S.; Zhun, L. Material properties and shear strength of aeolian sand in different regions. Chin. Sci. Pap. 2021, 16, 415–421. [Google Scholar]
- Huang, C.; Yuan, Z.; Yang, B. Analysis of Influencing Factors on Unconfined Compressive Strength of aeolian sand Cement Amendments. Constr. Build. Mater. 2023, 20, 2858–2867. [Google Scholar]
- Yang, X.; Hu, Z.; Wang, Y.; Wang, X. Aeolian sand stabilized by using fiber- and silt-reinforced cement: Mechanical properties, microstructure evolution, and reinforcement mechanism. China Highw. J. 2024, 411, 134750. [Google Scholar] [CrossRef]
- Ruan, B.; Zhao, Y.; Zhang, X.; Yuan, Z.; Che, Y.; Lu, Z. Study on the Strength and Microstructure of Short Fiber-Reinforced Cement with Different Lengths for aeolian sand. Railw. Sci. Eng. J. 2024, 46, 1–11. [Google Scholar]
- Ruan, B.; Shen, Y.; Zhang, X.; Lu, Z.; Zhang, J.; Nie, R. Research on the Dynamic Properties of Fiber Cement under Freezing-Thawing Cycles. Railw. Sci. Eng. J. 2024, 46, 1–9. [Google Scholar]
- Wei, J.; Zhao, Y.; Yang, Y. A Study on the Gradation Characteristics of aeolian sand Blended Sand Mixtures. Low Temp. Build. Technol. 2016, 10, 112–114+133. [Google Scholar]
- Jing, P.; Zhang, Y.; Song, X.; Zhang, L.; Yang, H.; Yu, T.; Wang, P. Study on the Impact of Intense Rainfall and High Temperature Weather on the Hydrodynamic Characteristics of aeolian sand Roadbed. Railw. Sci. Eng. J. 2024, 46, 1–12. [Google Scholar]
- Bao, W.; Li, W.; Mao, X.; Chen, R.; Qin, C.; Liu, Y. Soil Salinity under Freeze-Thaw Cycles: Mechanical Properties of aeolian sand Salt-Saturated Soils. J. Transp. Eng. 2023, 23, 114–124. [Google Scholar]
- Liu, W.; Tian, Z.; Lu, Y.; Xu, J.; Gong, Z.; Wu, Y. Properties of aeolian sand and triaxial compression Blends with Cement silt. Water Resour. Hydro-Power Sci. Technol. Prog. 2023, 43, 51–57. [Google Scholar]
- Gan, T.; Xu, J. Shimao Zhang Research on aeolian sand Dam Embankment Compaction Process Performance Test. People’s Yangtze River 2023, 54, 140–146. [Google Scholar]
- Pan, L.; Xu, J.; Gong, Z.; Zhang, S.; Tian, Z.; Gan, T. Study on compaction and shear characteristics of silt modified aeolian sand as dam filling material. Water Resour. Hydropower Eng. (Chin. Engl.) 2023, 54, 187–195. [Google Scholar]
- Jia, W.; Kai, L.; Ding, X. Physical and mechanical properties of aeolian sand along the main stream of the Tarim River and its influencing mechanism. J. Chongqing Univ. 2024, 65, 1–10. [Google Scholar]
- Bol, E.; Önalp, A.; Arel, E.; Sert, S.; Özocak, A. Liquefaction of silts: The Adapazari criteria. Bull. Earthq. Eng. 2010, 8, 859–873. [Google Scholar] [CrossRef]
- Wang, L.; Ling, X.; Xu, X.; Gu, Q.; Hu, Q.L. Comparison of dynamic and static triaxial tests on frozen powdery clay along the Qinghai-Tibet Railway. Chin. J. Geotech. Eng. 2005, 27, 202–205. [Google Scholar]
- GB/T 50123-2019; Standard for Geotechnical Testing Method. Chinese National Standard: Beijing, China, 2019.
- Mao, Z.; Geng, M.; Bi, Y.; An, N. Time Effect Study on Purple-flowered Clover-Sand Composite shear strength. Coal Sci. Technol. 2023, 11, 234–247. [Google Scholar]
- Huang, W.; Mao, X.; Wu, Q.; Chen, L. Experimental study on shear characteristics of the silty clay soil-ice interface. Sci. Rep. 2022, 1, 19687. [Google Scholar] [CrossRef]
- Li, Z.; Sun, Y.; Jiang, X.; Jiang, J. A Study on the Mechanical Properties of Soil- stone Mixtures for Earth and Rock Dam Embankments under Various Temperatures Using Low confining pressures. J. Hehai Univ. (Nat. Sci. Ed.) 2024, 52, 90–96. [Google Scholar]
- Li, Y.; Yang, S.-Q.; Liu, Z.-L.; Sun, B.-W.; Yang, J.; Xu, J. Study on mechanical properties and deformation of coal specimens under different confining pressure and strain rate. Theor. Appl. Fract. Mech. 2022, 118, 103287. [Google Scholar] [CrossRef]
- Michalowski, R.L.; Čermák, J. Triaxial Compression of Sand Reinforced with Fibers. J. Geotech. Geoenviron. Eng. 2003, 2, 129. [Google Scholar] [CrossRef]








| WS/% | σ3/kPa | K | T/°C | γ/(mm/min) |
|---|---|---|---|---|
| 0, 5, 10, 15, 20 | 100, 200, 300 | 1.0 | Rt | 1.25 |
| Optimal dosage | 0, −5, −10, −15 |
| WS/% | ω0/% | ρdmax/(g/cm3) |
|---|---|---|
| 0 | 14.8 | 1.73 |
| 5 | 13.8 | 1.71 |
| 10 | 11.9 | 1.75 |
| 15 | 11.5 | 1.80 |
| 20 | 11.9 | 1.83 |
| Shear Strength Parameters | Rt | 0 °C | −5 °C | −10 °C | −15 °C |
|---|---|---|---|---|---|
| c/kPa | 120 | 490 | 330 | 690 | 112 |
| φ/(°) | 38.76 | 36.40 | 39.07 | 37.80 | 31.53 |
Disclaimer/Publisher’s Note: The statements, opinions and data contained in all publications are solely those of the individual author(s) and contributor(s) and not of MDPI and/or the editor(s). MDPI and/or the editor(s) disclaim responsibility for any injury to people or property resulting from any ideas, methods, instructions or products referred to in the content. |
© 2024 by the authors. Licensee MDPI, Basel, Switzerland. This article is an open access article distributed under the terms and conditions of the Creative Commons Attribution (CC BY) license (https://creativecommons.org/licenses/by/4.0/).
Share and Cite
Cui, B.; Xu, J.; Shao, X.; Xu, D.; Zhang, B. Static Mechanical Properties of Aeolian Sand Improved with Silt Subjected to Varying Temperature and Pressure. Buildings 2024, 14, 3801. https://doi.org/10.3390/buildings14123801
Cui B, Xu J, Shao X, Xu D, Zhang B. Static Mechanical Properties of Aeolian Sand Improved with Silt Subjected to Varying Temperature and Pressure. Buildings. 2024; 14(12):3801. https://doi.org/10.3390/buildings14123801
Chicago/Turabian StyleCui, Bojun, Jian Xu, Xianxian Shao, Dechao Xu, and Bingqi Zhang. 2024. "Static Mechanical Properties of Aeolian Sand Improved with Silt Subjected to Varying Temperature and Pressure" Buildings 14, no. 12: 3801. https://doi.org/10.3390/buildings14123801
APA StyleCui, B., Xu, J., Shao, X., Xu, D., & Zhang, B. (2024). Static Mechanical Properties of Aeolian Sand Improved with Silt Subjected to Varying Temperature and Pressure. Buildings, 14(12), 3801. https://doi.org/10.3390/buildings14123801
