Next Article in Journal
Experimental Research on the Seismic Ductility Performance of Wavy Web PEC Beams
Next Article in Special Issue
Research on the Properties of Nano-Al2O3- and Nano-SiO2-Modified Bio-Asphalt and Mixtures
Previous Article in Journal
Finite Element Analysis of the Shear Performance of Reinforced Concrete Corbels under Different Design Codes
Previous Article in Special Issue
Dynamic Viscoelastic Behavior of Epoxy Asphalt Mixture under Four-Point Bending
 
 
Font Type:
Arial Georgia Verdana
Font Size:
Aa Aa Aa
Line Spacing:
Column Width:
Background:
Article

Analysis of Equivalence between Loading Rate and Stress Level of Fatigue Characteristics of Asphalt Mixture

1
National Engineering Laboratory of Highway Maintenance Technology, Changsha University of Science & Technology, Changsha 410004, China
2
Guangxi Beitou Highway Construction Investment Group Co., Ltd., Nanning 530029, China
*
Author to whom correspondence should be addressed.
Buildings 2024, 14(10), 3102; https://doi.org/10.3390/buildings14103102
Submission received: 9 August 2024 / Revised: 19 September 2024 / Accepted: 22 September 2024 / Published: 27 September 2024

Abstract

The accurate characterization of fatigue life affects the durability and reliability of asphalt pavement for the asphalt mixtures. This paper proposed a new fatigue test method and analysis method which, in addition to increasing the accuracy of fatigue characterization, reduces the time and cost consumed in laboratory tests of asphalt mixtures. According to the loading speed corresponding to different loading frequency and stress levels, the corresponding strength value is selected to determine the stress ratio in the fatigue equation. Therefore, the stress ratio can truly reflect the fatigue loading stress conditions and correspond to the fatigue loading speed one by one, avoiding the unscientific fatigue resistance design problem caused by the traditional S-N fatigue equation stress ratio, which takes a single strength value at a constant loading speed as the standard. Since the stress ratio takes into account the influence of loading speed under different loading frequencies and stress levels, a unified representation model of the fatigue equation of the asphalt mixture under different loading frequencies can be established; that is, the fatigue performance of the asphalt mixture under different loading frequencies can be normalized. The results showed that the loading rate in the strength test differed from the loading rate in the traditional fatigue test, which means that the fatigue curve could not be extended to point (1,1) when the fatigue equation was extended to a fatigue life N f = 1. The fatigue test related to the velocity-dependent stress ratio in multiple experimental works, and data discreteness had a remarkable influence on fatigue characterization. The fatigue curve obtained by the fatigue equation under a constant loading rate was consistent with the fatigue curve under different loading rates. This method can reduce the duration of strength tests and the impact of the strength results of discreteness on fatigue characterization. The fatigue characterization model under constant loading rates considered the viscoelasticity of asphalt mixtures and guaranteed the correspondence of test conditions among stress level t, standard strength St, and fatigue life N f . The stress levels and loading rates of the asphalt mixtures were confirmed to be equivalent. Furthermore, this paper established the relationship between strength and fatigue and obtained the fatigue life curve of the strength values. The fatigue performance of the asphalt mixtures is evaluated comprehensively.

1. Introduction

With the rapid development of national economies, lots of traffic problems are emerging, such as large-scale vehicles, overloading vehicles, and the enhancement of traffic volume. In this case, different forms of early damage to asphalt pavement occurred in service. Fatigue damage is one of the main failure modes of asphalt concrete pavement. Cracking is the most common fatigue failure mode. Fatigue cracking is generally divided into top-down cracks and down-top cracks. It significantly effects the road performance and the service life of asphalt pavements. In recent decades, the fatigue life of asphalt pavement has been a major concern in the world [1,2,3,4,5].
The asphalt mixtures are typical viscoelastic materials, and their fatigue performances are closely related to temperature, load, and other factors. The effect of viscoelasticity on fatigue characterization has been heeded in existing theoretical research. Zhang et al. [6] built a damage evolution model considering the effect of loading frequency, based on the traditional Chaboche damage evolution model. The model explained the basic regularity of damage evolution and accumulation. It also reflected the influence of loading frequency on the damage evolution rates and fatigue life of the asphalt mixtures. Kuai et al. [7] established the fatigue cracking growth model of asphalt mixtures based on viscoelasticity and fracture mechanics, reasonably predicting the fatigue cracking growth of asphalt mixtures under different loads and temperatures. H.Sharma [8], H.Sadek [9], and P.Singh [10] proposed a probabilistic fatigue life prediction method including viscoelastic continuum damage theory, considering the data discreteness of fatigue tests. The result showed that the probabilistic fatigue curve precisely described the fatigue damage of the mixture. De Mello [11] analyzed the impact of temperature on the results of the four-point beams fatigue test as used on hot-mixed asphalt by employing three methods. The observed results showed that there was a clear correlation between fatigue parameters and temperature. Based on the simplified viscoelastic continuum damage mechanics (SCECD) of the Schapery criterion [12], Kim Y.R. [13] and E. Masad [14] introduced pseudo strain and dissipative pseudo strain energy to evaluate the fatigue cracking of asphalt mixtures.
However, in the structure design of asphalt pavements, the viscoelasticity is not fully considered. The construction of asphalt pavements is usually designed by the mechanistic–empirical method. The design parameters of fatigue life are determined by the S-N fatigue equation based on phenomenology. Using the remaining loading frequencies, a variety of fatigue tests under four or five stress levels are carried out, and S–N curves are obtained to reveal the fatigue performance. Each stress level has three to four parallel specimens. In brief, there are approximately 15 specimens [15,16]. In this design, the loading rates have remarkable influence on the fatigue properties, which are simply to be supplemented subsequently with reduction factors considering the modulus and with voids filled with asphalt. This results in unreasonably designing and inaccurately revealing the fatigue characterization of the materials. The fatigue life of asphalt pavements was obviously reduced.
Songtao Lv [17,18] revealed the nonlinear characteristics of the strength of asphalt mixtures through a variety of strength tests under different loading rates. The S-N fatigue equation modified with the velocity-dependent stress ratio was proposed, and a normalized model under different stress states was established to characterize the fatigue performance of asphalt mixtures based on the yield criterion idea. The structural coefficient of tensile strength recalculated by the model considered the viscoelasticity of the materials, eliminated the influence of the test methods and conditions on the test results, and improved the accuracy of fatigue characterization to a degree. The research results show that a unified fatigue model was obtained under different stress states, stress levels, loading frequencies, and other test conditions based on the normalized model characterization. This meant that the test conditions and other external factors do not affect the results of the fatigue characterization, which means that test results are more reliable depending on which test methods and conditions are used in the engineering, which could also improve the scientific reliability of pavement design. But, determining the parameters in the fatigue equation requires performing multiple strength tests, which may exceed the time and budget constraints in the tests. At the same time, the discreteness of fatigue data produces some errors in the fatigue performance characterization because of the strength obtained by the loading rates on the S-N curve.
The fatigue performance of asphalt mixtures is usually revealed by fatigue tests under the frequency of 10 Hz. Existing tests have shown that the frequency does not affect the fatigue performance of asphalt mixtures, while also considering the loading rates of fatigue tests for asphalt mixtures. Thus, in this paper, corresponding with the test conditions of t, St, and N f , the loading rate was constant under different stress levels while adjusting the loading frequency in the fatigue tests. Combining the time–temperature equivalence principle with the WLF equation, the fatigue life master curve and viscoelastic parameter values under different loading rates for asphalt mixtures were obtained. And the equivalence of the stress levels and loading rate was verified. The connection between strength and fatigue was established directly, and the accuracy and efficiency of fatigue characterization for asphalt mixtures were enhanced.

2. Methodology

In the technical specifications for asphalt pavement construction in China [19], the fatigue tests are conducted under the constant loading frequency of 10 Hz, and the stress levels were confirmed using the strength value. The following S-N fatigue equation is obtained:
N f = k · 1 t n
where, N f is the fatigue life; t is the stress ratio; and k, n are the regression parameters of the S-N fatigue equation.
The fatigue curves confirmed by the S-N fatigue equation are extended to N f = 1. It means that the asphalt mixtures fail after being loaded for the first time. In this case, the tensile stress obtained by the fatigue equation is considered the fatigue dynamic strength. Therefore, the structural coefficient of the tensile strength is calculated. In the fatigue equation, the n parameter is usually used to evaluate the stress sensitivity of the fatigue performance. The fatigue curves acquired by this method reveal several problems:
  • Non-correspondence of test conditions between strength tests and fatigue tests:
While determining the fatigue equation, the stress ratio t is calculated by the results of the strength tests at a constant loading rate. But the loading rate changes by changing the stress levels and loading frequencies. This could cause inconsistencies in the loading rates between the strength tests and fatigue tests. The effect of the loading rates on strength and fatigue is not considered while analyzing test results through the S-N fatigue equation.
2.
The loading rates of strength tests varied from the actual loading rates
The loading frequency is approximately 10 Hz when the vehicle drives at 60–80 km/h. Laboratory fatigue tests usually adopted this frequency. However, precious studies have shown that the loading frequency has a weak influence on the fatigue characterization of asphalt mixtures.
Therefore, when the S-N fatigue equation and the current fatigue test methods are applied to analyze the fatigue performance of asphalt mixtures, some of the following phenomena arise:
  • The stress ratio is not 1, and the fatigue curves cannot pass through the point (1,1) after the fatigue equation is extended to N f = 1. Actually, the fatigue life is far greater than 1 and is not regular. It shows the arbitrary K value, which results in the inaccuracy of fatigue dynamic load strengths. Moreover, the calculation of the structural coefficient of tensile strength would cause great errors.
  • The fatigue properties obtained by different test methods are different, which are showed as the differences between the n values in the S-N fatigue equation. The stress sensitivity of the material is diverse under different test methods.
Based on these problems, researchers proposed a fatigue equation which considered the velocity dependence of a material. For example, Songtao Lv defined the real stress ratio and put forward the fatigue equation related to the velocity-dependent stress ratio. The stress ratio was corrected by establishing the relationship between the strengths and the loading rates. This guaranteed the correspondence of the test conditions among t, St, and N f . The fatigue curve obtained by the optimized S-N fatigue equation passed through point (1,1). The n values of the same material under different test methods were similar, uniformly characterizing the stress sensitivity of the material. Also, the relevance of the fatigue dynamic load strengths and loading rates was determined [17]. The S-N fatigue equation is
N f = k · 1 t s n
where,   k = 1 (because the fatigue curve passed through the point of (1,1) after using the true stress ratio), and t s is the real stress ratio which is defined as the ratio of the stress levels of fatigue dynamic load strengths at different loading rates:
t s = σ S d z
The stress versus the fatigue life relationship appears to be linear on the dual logarithmic coordinate diagram. Two parameters of fatigue equation of k ,   n are the intercept and slope of the straight line, respectively. The fatigue performance of the asphalt mixture is reflected by the following two parameters of the fatigue equation: the greater the value of n , the steeper the fatigue curve and the more sensitive the fatigue life with the changes in the stress levels. The value of k indicates the level of the fatigue curve line. The larger the value of k , the higher the level of the fatigue curve line and the better the fatigue durability.
However, multiple strength tests at different loading rates were employed to determine the model and the relationship between strengths and loading rates. And the strength value calculated by the model was deviated from the actual measured value. Even slight errors will cause large deviations in the fatigue equation. The comparison of fatigue life is not sharp for different materials because the stress ratio is selected by the strengths of the material at corresponding loading rates.
Considering the above problems, a research method was proposed to eliminate the effect of loading rates on the fatigue performance of asphalt mixtures in this paper. The loading frequency was adjusted according to the stress levels to maintain the loading rates and finish the fatigue tests. The strength tests of the asphalt mixtures were performed at the loading rate v to obtain the strength value St. Then, six stress levels of 0.2St, 0.3St, 0.4St, 0.5St, 0.6St, and 0.7St were taken, and the corresponding loading frequencies according to Equation (4) were calculated. While the loading rates during the fatigue tests remain, the loading frequency was f under the stress level of 0.2St, and the corresponding loading frequencies of other stress levels are listed in Table 1.
v = 2 σ T = 2 σ · f
where v is the loading rate; σ is the stress level; t is the loading cycle; and f is the loading frequency.
The set test conditions guaranteed the constant loading rates of the fatigue tests under different stress levels and the correspondence of the test conditions, including the stress level t, standard strength St, and fatigue life N f . Also, lots of laboratory tests were conducted while determining the relationship between the strengths and the loading rates.

3. Materials and Design

In this paper, the dense-graded asphalt mixture (AC-16C) was selected to investigate its strengths and fatigue performances, which comprised styrene–butadiene–styrene (SBS)-modified asphalt and limestone. Along with the technique standards already referred to, the test results of the performance of SBS-modified asphalt and aggregate are shown in Table 2 and Table 3, respectively. The test results in the two tables show that SBS-modified asphalt and the aggregate met the requirements of JTG F40-2004 [20], which were the construction technical specifications of asphalt pavement in China.
Figure 1 shows the designed gradation curve range and the design gradation of dense-graded asphalt mixtures (AC-16C). The optimum asphalt content was determined by the Marshall test. The pieces, sized φ101.6 mm × 63.5 mm, was compacted 75 times on two sides in accordance with the specification. After 24 h, the physical index of the specimen at 25 °C water temperature was measured, and then the Marshall stability and flow values at 60 °C were obtained [21]. Test results and technique standards [20] are shown in Table 4.

4. Test

4.1. Traditional Fatigue Test and the Fatigue Test Modified with the Stress Rates

The standard strength value, St, was measured at a loading rate of 50 mm/min and a temperature of 15 °C. Then, direct tensile fatigue tests were performed at stress levels of 0.2St, 0.3St, 0.4St, 0.5St, 0.6St, and 0.7St, a temperature of 15 °C, and a half-sine wave frequency of 10 Hz (as shown in Figure 2).

4.2. Modified Fatigue Test in This Research

The mineral material utilized in this paper undergoes a meticulous layer-by-layer sifting process, followed by a four-hour preheating in an oven to ensure complete dryness. Upon its introduction into the mixing pot, either the mineral material or asphalt is stirred vigorously for 90 s to achieve the uniform blending of the aggregate. The roller molding test plate adheres to dimensions of 400 mm × 300 mm × 50 mm. Notably, within this study, a 40 × 30 × 5 cm rutting plate us initially prepared to be subsequently meticulously sliced into 25 × 5 × 5 cm trabecular specimens for specific experimental use. Acknowledging potential cutting inaccuracies, the specimen’s area is determined through the average measurement of three distinct cross-sectional areas.
A total of eight rutting plates were formed, yielding 50 trabecular specimens that were divided for direct tensile strength and direct tensile fatigue tests. For these experiments, the MTS-Landmark material test system was employed. Prior to testing, the direct tensile specimens were conditioned in an incubator at 15 °C for 4–5 h to stabilize, and the entire testing process was conducted within this controlled environment.
The loading program was carefully crafted and implemented, with the assistance of the built-in MPT system, which facilitated the setting of the relevant load and data acquisition parameters. During the strength test, the maximum load and corresponding displacement were automatically captured, while the fatigue test leveraged the data acquisition system to seamlessly record the force applied during each loading cycle. In the first step, the direct tensile strength tests were conducted to determine the strength values S d z of the asphalt mixtures at the five calculated loading rates. In the second step, a modified fatigue test was used with five stress levels, namely 0.2St, 0.3St, 0.4St, 0.6St, and 0.7St,, which were accomplished at loading frequencies calculated by the corresponding stress levels according to Equation (3) at the five loading rates.

5. Test Results and Analysis

5.1. Traditional Fatigue Tests and the Fatigue Test Modified with the Velocity-Dependent Stress Ratio

Under the loading rate referred to in the specifications, the direct tensile strength of asphalt mixtures is 0.76 MPa. But the asphalt mixtures show viscoelasticity, and their strength values increase with the increase in loading rates. Figure 3 shows the strength test results under six loading rates.
The loading rates had a significant impact on the strength of the asphalt mixtures, and these followed a power function that described in Figure 3. However, there is a remarkable difference between the strength value under the standard test conditions and the corresponding loading rate under various stress levels in the fatigue test. And the standard strength value is not representative. In this context, the deviation of fatigue performance characterization exists, as shown in Figure 4.
As shown in the above figure, although the fatigue equation expressed by the nominal stress ratio was an equation of the straight line under double logarithmic coordinates, the fatigue curve did not pass through the point (1,1) and the intersection point with abscissa was far larger than the stress ratio of 1. Artificial extension leads to the arbitrariness and unscientific value of anti-fatigue parameters.
Therefore, Lv, et al. [17] proposed the fatigue equation related to the velocity-dependent stress ratio, by which the fatigue test results were fitted. And the results are summarized in Figure 5.
Obviously, the fatigue curve passed through the point (1,1), And the relationship between fatigue failure and strength failure was established. However, the method needs to establish the relationship between strengths and loading rates firstly, so as to determine the strength values corresponding to the loading rates under different stress levels in fatigue tests and to calculate the stress ratios related to the loading rates. The strength tests under different loading rates increased the amount of tests and the errors of the stress ratio of the calculation results due to test errors.

5.2. Results and Analysis of Modified Direct Tensile Fatigue Tests

According to the strength value St under different loading rates in Figure 3, six stress levels of 0.2St, 0.3St, 0.4St, 0.6St, and 0.7St were taken. And the loading rate reached a constant value by adjusting the loading frequency according to the stress level. The corresponding fatigue test conditions are listed in Table 5.
The fatigue test results obtained by the modified fatigue test method and stress levels are presented in Figure 6 on the dual logarithmic coordinate diagram.
Figure 6 shows the fatigue life curves of six stress levels under different loading rates. It can be seen from the figure that the fatigue life curves under five different loading rates are parallel to each other, with little difference in slope. And the slight difference may be caused by personal error. There may be an equivalent relationship between stress levels and loading rates in direct tensile fatigue tests of asphalt mixtures.
The solution of the shift factor Φ T is the key to solving the main curve of the dynamic modulus by using the time–temperature equivalence principle. As a horizontal displacement, the shift factor represents the distance from the main curve at different test temperatures to the main curve at the reference temperature. The displacement factor can be determined by the WLF equation. The WLF equation reflects the relationship between the viscosity and temperature of polymer derived from the free volume theory, which was first summarized through a large number of experiments while checking time temperature conversion. M. L. Willianms, R. F. Lanbel, and J. D. Ferry found that the modulus–temperature curves of several times at different temperatures were horizontally shifted and superimposed into a main curve for all amorphous polymers. And the relationship between the horizontal displacement l g Φ T and the temperature T on the time axis basically conformed to an empirical equation, which is the WLF equation [23].
According to the free volume theory, the relationship between the viscosity and free volume fraction for the materials satisfies the Doolittle equation [24]:
l g η = l n A + B ( 1 f 1 )
in which A and B are material parameters.
According to the time–temperature equivalent principle, the mechanical behavior of viscoelastic materials on different time scales can be realized by changing the temperature, and the essence lies in the temperature dependence on the viscoelastic relaxation spectrum of materials. If the free volume fraction of material is linear with the change in temperature,
f = f 0 + α T ( T T 0 )
where α T is the thermal expansion coefficient of the free volume fraction and f 0 is the free volume fraction of the material at the reference temperature T 0 . Φ T is the time temperature shift factor, Φ T = τ / τ 0 = η / η 0 , where τ 0 and η 0 are the relaxation time and viscosity of the material at a certain temperature T 0   of the set temperatures, respectively. And τ and η are the relaxation time and viscosity of the material at the test temperature T, respectively. l g Φ T = B ( f 1 f 0 1 ) / 2.303 . Then,
l g Φ T = B 2.303 f 0 T T 0 f 0 α T + T T 0 = C 1 ( T T 0 ) C 2 + T T 0
where C 1 = B 2.303 f 0 , C 2 = f 0 α T are material parameters.
In this study, the shift factor is a horizontal displacement of the stress level and represents the distance from the fatigue life curve under different stress levels to the fatigue life curve under the reference stress level. Compared with the main modulus curve, this was obtained by translating the modulus curve at different temperatures. The shift factor is a function of temperature. This paper aims to obtain the main fatigue life curve at different loading rates; here, the shift factor is a function of loading rate, as shown in Equation (8):
l g Φ v = C 1 ( v v 0 ) C 2 + v v 0
The fatigue life under different loading rates v (v = 3.04, 4.56, 6.08, 9.12, 10.64 MPa/s) was obtained through experiments. The test curve with v = 3.04 MPa/s was taken as the reference line, and these test points were horizontally shifted to the reference line until they coincided with the corresponding fatigue life points on the reference test curve. The distance of movement was calculated as the displacement factor Φ v .
A group of data concerning the shift factor Φ v and the loading rate v were obtained through experiments at different loading rates. The parameters C 1 and C 2 in the formula can be obtained by fitting these data to a nonlinear curve according to Equation (8), and thus the expression of the shift factor Φ v can be obtained.
The relative shift factor l g Φ v and the shift factor l g Φ v relative to the reference loading rate v = 3.04 MPa/s are shown in Table 6.
The difference value v and l g Φ v of the loading rate in Table 6 are plotted as shown in Figure 7, and the parameters C 1 and C 2 are obtained through nonlinear curve fitting according to Equation (8), as shown in Figure 8.
As Figure 8 shows, the fitting results are C 1 = 0.413 ,   C 2 = 17.476 and the fitting degree of curve R2 = 0.951 for dense-graded asphalt mixtures (AC-16C), resulting in the following:
l g Φ v = 0.413 ( v v 0 ) 17.476 + v v 0
The fatigue life curve under different loading rates shown in Figure 6 is horizontally shifted to the fatigue life curve with reference loading rate v = 3.04 MPa/s by the shift factor, and the main curve of the fatigue life of asphalt mixtures is obtained as shown in Figure 9.
Obviously, there is an equivalent relationship between the stress level and loading rate of fatigue characteristics for the asphalt mixtures. The fatigue life curve under different loading rates and stress levels can be shifted to the main curve under the reference loading rate. The test, taking a long time originally, can be completed in a short time by the method of shifting. The accelerated test method has important theoretical significance and application value in loading tests of the long-term mechanical behavior of materials and life prediction.

5.3. Comparative Analysis of Fatigue Curves Related to the Velocity-Dependent Stress Ratio

Figure 10 compares the fatigue curve obtained after shifting with the fatigue curve relating to the velocity-dependent stress ratio.
Figure 10 shows that the equation of the fatigue curve obtained after shifting is very close to the equation of the fatigue curve relating to the velocity-dependent stress ratio. The equivalent relationship between the stress level and loading rate of fatigue characteristics for the asphalt mixtures has been further verified. In addition, it shows that the fatigue analysis method based on the WLF equation and the time–temperature equivalent principle is effective and feasible.
  • The data of the new method are expressed by the stress ratio, which is the fatigue equation relating to the velocity-dependent stress ratio.
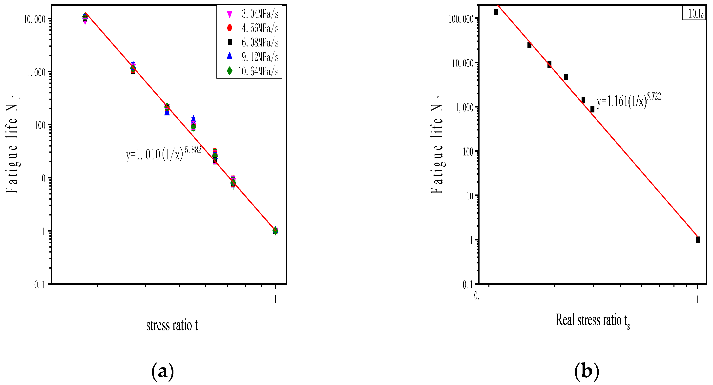
Figure 11a shows that the S-N fatigue life curves under different loading rates can be normalized into one curve. The fatigue life decreases gradually with the increase in the stress ratio. The fatigue curve pass through the point (1,1), and the fatigue life of the strength failure point is one. The fatigue curve reflects the strength failure characteristics of the asphalt mixtures, which is consistent with the fatigue curve related to the velocity-dependent stress ratio. The effectiveness and accuracy of the method was verified. Compared with Figure 11b, the parameters of the fatigue curve under a constant loading rate and constant loading frequency are very similar. It verifies the correctness of the fatigue test method under a constant loading rate to a degree.

6. Conclusions

The traditional fatigue tests and the fatigue tests and analyses under the constant loading rate mentioned in the paper for the asphalt mixtures were carried out. To summarize, the following conclusions can be drawn:
  • Compared with the traditional fatigue test method, the fatigue test method under a constant loading rate considers the viscoelastic properties of asphalt mixtures and ensures the correspondence of test conditions among the stress level t, standard strength St, and fatigue life N f . When compared with the fatigue test equation relating to the velocity-dependent stress ratio, it saves a lot of strength tests and reduces the discreteness of data to a certain extent.
  • According to the time–temperature equivalent principle and WLF equation, the main fatigue life curve of the asphalt mixture with a reference loading rate of 3.04 MPa/s and its viscoelastic parameters are obtained by the fatigue life of difference stress levels under difference loading rates for the asphalt mixtures. The fatigue life curves with other loading rates can be obtained by shifting the fatigue life curves with loading rates of 3.04 MPa/s. The shifting distance is the shift factor.
  • The equivalent relationship between the stress level and the loading rate of the asphalt mixture is verified, and the fatigue characteristics of the asphalt mixture under different stress levels are normalized. The relationship between strength and fatigue life can be directly established, and the fatigue characteristics of the asphalt mixture can be comprehensively evaluated by strength.

Author Contributions

Conceptualization, L.T.; Methodology, L.T. and Z.L.; Investigation, L.T. and X.D.; Data curation, Z.L.; Writing—original draft, L.T., Z.L. and X.D. All authors have read and agreed to the published version of the manuscript.

Funding

This research was funded by key technology projects in the transportation industry of Guangxi Zhuang Autonomous Region: “Field scientific observation and research on the long-term performance of major and medium maintenance structures of national and provincial trunk highways”.

Data Availability Statement

Some or all data, models, or code generated or used during the study are available from the corresponding author by request.

Conflicts of Interest

Author Liang Tao was employed by the company Guangxi Beitou Highway Construction Investment Group Co., Ltd. The remaining authors declare that the research was conducted in the absence of any commercial or financial relationships that could be construed as a potential conflict of interest.

References

  1. Kocak, S.; Kutay, M.E. Fatigue performance assessment of recycled tire rubber modified asphalt mixtures using viscoelastic continuum damage analysis and AASHTOW are pavement ME design. Constr. Build. Mater. 2020, 248, 118658. [Google Scholar] [CrossRef]
  2. Wang, H.; Dang, Z.; Li, L.; You, Z. Analysis on fatigue crack growth laws for crumb rubber modified (CRM) asphalt mixture. Constr. Build. Mater. 2013, 47, 1342–1349. [Google Scholar] [CrossRef]
  3. Ziari, H.; Amini, A.; Goli, A. The effect of different aging conditions and strain levels on relationship between fatigue life of asphalt binders and mixtures. Constr. Build. Mater. 2020, 244, 118345. [Google Scholar] [CrossRef]
  4. Jia, Y.; Yang, Y.; Liu, G.; Gao, Y.; Yang, T.; Hu, D. Reliability assessment of flexural fatigue failure of asphalt mixture: A new perspective. Constr. Build. Mater. 2020, 257, 119553. [Google Scholar] [CrossRef]
  5. Reddy, K.S.; Yong-Rak, K.; Ribeiro, R.L.d. Fatigue characterization of binder with aging in two length scales: Sand asphalt mortar and parallel plate binder film. Constr. Build. Mater. 2020, 237, 117588. [Google Scholar]
  6. Zhang, J.; Wang, Y.D.; Su, Y. Fatigue damage evolution model of asphalt mixture considering influence of loading frequency. Constr. Build. Mater. 2019, 218, 712–720. [Google Scholar] [CrossRef]
  7. Kuai, H.D.; Lee, H.J.; Lee, J.H.; Mun, S. Fatigue crack propagation model of asphalt concrete based on viscoelastic fracture mechanics. Transp. Res. Rec. 2010, 2181, 11–18. [Google Scholar] [CrossRef]
  8. Sharma, H.; Swamy, A.K. Development of probabilistic fatigue curve for asphalt concrete based on viscoelastic continuum damage mechanics. Int. J. Pavement Res. Technol. 2016, 9, 270–279. [Google Scholar] [CrossRef]
  9. Sadek, H.; Sadeq, M.; Masad, E.; Al-Khalid, H.; Sirin, O. Probabilistic viscoelastic continuum damage analysis of fatigue life of warm-mix asphalt. J. Transp. Eng. Part B Pavements 2019, 145, 0000128. [Google Scholar] [CrossRef]
  10. Singh, P.; Swamy, A.K. Probabilistic characterisation of damage characteristic curve of asphalt concrete mixtures. Int. J. Pavement Eng. 2019, 20, 659–668. [Google Scholar] [CrossRef]
  11. De Mello, L.G.R.; de Farias, M.M.; ZKaloush, K.E. Effect of temperature on fatigue tests parameters for conventional and asphalt rubber mixes. Road Mater. Pavement Des. 2018, 19, 417–430. [Google Scholar] [CrossRef]
  12. Micaelo, R.; Pereira, A.; Quaresma, L.; Cidade, M.T. Fatigue resistance of asphalt binders: Assessment of the analysis methods in strain-controlled tests. Constr. Build. Mater. 2015, 98, 703–712. [Google Scholar] [CrossRef]
  13. Kim, Y.R.; Little, D.N.; Lytton, R.L. Fatigue and healing characterization of asphalt mixtures. J. Mater. Civ. Eng. 2003, 15, 75–83. [Google Scholar] [CrossRef]
  14. Masad, E.; Branco, V.T.F.C.; Little, D.N.; Lytton, R.L. A unified method for analysis of controlled-strain and controlled-stress fatigue testing. Int. J. Pavement Eng. 2008, 9, 233–246. [Google Scholar] [CrossRef]
  15. Collins, J.A.; Smith, C.O. Failure of materials in mechanical design. J. Mech. Des. 1984, 106, 107–108. [Google Scholar] [CrossRef][Green Version]
  16. Xie, L.; Liu, J.; Wu, N.; Qian, W. Backwards statistical inference method for P–S–N curve fitting with small-sample experiment data. Int. J. Fatigue 2014, 63, 62–67. [Google Scholar] [CrossRef]
  17. Lv, S.; Liu, C.; Chen, D.; Zheng, J.; You, Z.; You, L. Normalization of fatigue characteristics for asphalt mixtures under different stress states. Constr. Build. Mater. 2018, 177, 33–42. [Google Scholar] [CrossRef]
  18. Liu, C.; Lv, S.; Peng, X.; Zheng, J.; Yu, M. Analysis and Comparison of Different Impacts of Aging and Loading Frequency on Fatigue Characterization of Asphalt Concrete. J. Mater. Civ. Eng. 2020, 32, 0003317. [Google Scholar] [CrossRef]
  19. JTG D50-2017; Specifications for Design of Highway Asphalt Pavement. Renmin Communication Press: Beijing, China, 2017.
  20. JTG F40-2004; Technical Specifications for Construction of Highway Asphalt Pavement. Renmin Communication Press: Beijing, China, 2004.
  21. JTG E20-2011; Specifications and Test Methods of Bitumen and Biminous Mixtures for Highway Engineering. Renmin Communication Press: Beijing, China, 2011.
  22. Fan, X.; Lv, S.; Ge, D.; Liu, C.; Peng, X.; Ju, Z. Time-temperature equivalence and unified characterization of asphalt mixture fatigue properties. Constr. Build. Mater. 2022, 359, 129118. [Google Scholar] [CrossRef]
  23. Wu, W.; Tian, X.; Lv, S.; Xu, Z. Time-temperature-aging equivalent relationship of relaxation characteristics of asphalt mixture. J. Build. Mater. 2011, 14, 340–344. [Google Scholar]
  24. Liu, C.; Qin, X.; Yang, Z.; Zhang, H.; Lv, S. Assessing bio-oil cutback asphalt for prime coat on semi-rigid base asphalt pavement: Lab experiment & indoor test section application. Constr. Build. Mater. 2024, 422, 135814. [Google Scholar]
Figure 1. Aggregate grading curve of the dense-graded asphalt mixtures (AC-16C).
Figure 1. Aggregate grading curve of the dense-graded asphalt mixtures (AC-16C).
Buildings 14 03102 g001
Figure 2. Loading wave of fatigue test [22].
Figure 2. Loading wave of fatigue test [22].
Buildings 14 03102 g002
Figure 3. Nonlinear characteristic of direct tensile strength tests for asphalt mixtures.
Figure 3. Nonlinear characteristic of direct tensile strength tests for asphalt mixtures.
Buildings 14 03102 g003
Figure 4. Direct tensile fatigue curve of asphalt mixtures under traditional S-N fatigue equation.
Figure 4. Direct tensile fatigue curve of asphalt mixtures under traditional S-N fatigue equation.
Buildings 14 03102 g004
Figure 5. Direct tensile fatigue curve of asphalt mixtures under the S-N fatigue equation modified with the velocity-dependent stress ratio.
Figure 5. Direct tensile fatigue curve of asphalt mixtures under the S-N fatigue equation modified with the velocity-dependent stress ratio.
Buildings 14 03102 g005
Figure 6. Fatigue curves obtained by the modified fatigue method.
Figure 6. Fatigue curves obtained by the modified fatigue method.
Buildings 14 03102 g006
Figure 7. Shift factor corresponding to the change in loading rate.
Figure 7. Shift factor corresponding to the change in loading rate.
Buildings 14 03102 g007
Figure 8. Fitting parameter diagram of WLF equation.
Figure 8. Fitting parameter diagram of WLF equation.
Buildings 14 03102 g008
Figure 9. Main curve of fatigue life for asphalt mixtures under different loading rates.
Figure 9. Main curve of fatigue life for asphalt mixtures under different loading rates.
Buildings 14 03102 g009
Figure 10. σ-N curves (a) Main curve of fatigue life after shifting; (b) fatigue curve related to the velocity-dependent stress ratio.
Figure 10. σ-N curves (a) Main curve of fatigue life after shifting; (b) fatigue curve related to the velocity-dependent stress ratio.
Buildings 14 03102 g010
Figure 11. t-N curves (a) Normalization of fatigue curve under difference loading rates; (b) fatigue curve related to the velocity-dependent stress ratio.
Figure 11. t-N curves (a) Normalization of fatigue curve under difference loading rates; (b) fatigue curve related to the velocity-dependent stress ratio.
Buildings 14 03102 g011
Table 1. The corresponding relationship between the stress levels and the loading frequency under constant loading rates.
Table 1. The corresponding relationship between the stress levels and the loading frequency under constant loading rates.
NumberThe Stress LevelsThe Loading Frequency
10.2Stf
20.3St 2 3 f
30.4St 1 2 f
40.5St 2 5 f
50.6St 1 3 f
60.7St 2 7 f
Table 2. Test results of SBS (I-D)-modified asphalt in this research.
Table 2. Test results of SBS (I-D)-modified asphalt in this research.
Test Properties Test Standard: JTG F40-2004 (China)
Test ResultsSprcificationTest Methods
Density (15 °C) 1.07/T 0603-1993
Flash point (°C) 265≥230T 0611-1993
Solubility (%) 100.1≥99T 0607-1993
135 °C dynamic viscosity (Pa·s) 2.49≤3T 0615-2000
Softening point (Ring ball) (°C) 76.0≥60T 0606-2000
Penetration (25 °C, 100 g, 5 s) (0.1 mm) 5430–60T 0604-200
Ductility (5 cm/min, 5 °C) (cm) 31≥20T 0605-1993
Penetration index PI 0.54 (R2 = 0.997)≥0T 0604-2000
Roll Thin Film Oven Test (RTFOT) (163 °C, 85 min)Mass loss (%)0.2<±1.0T 0609-1993
Residual ductility (5 °C) (cm)68≥65T 0605-1993
Residual penetration ratio (25 °C) (%)17≥15T 0604-2000
Table 3. Properties of the coarse aggregate in this research.
Table 3. Properties of the coarse aggregate in this research.
TestValuesSpecification LimitStandard Method
Apparent relative density (g/cm3)2.9≥2.6T 0321-2005
Firmness (%)5≤12T 0314-2000
Los Angeles wearied stone value (%)19.7≤28T 0317-2005
Crushed stone value (%)18.4≤26T 0316-2005
Water absorption (%)0.4≤2.0T 0304-2005
<0.075 mm particle content (Washing methods) (%)0.5≤1T 0310-2000
Percentage of flat and elongated particles (%)8≤15T 0312-2005
Content of soft stone (%)2.3≤3T 0320-2000
Asphalt adhesion/grade6≥4T 0616-1993
Table 4. Results of the Marshall test at the optimum asphalt content in this research.
Table 4. Results of the Marshall test at the optimum asphalt content in this research.
Test ProjectsAsphalt Aggregate Ratio (%)Volume Filled with Asphalt VFA (%) Volume of Air Voids VV (%)Bulk Specific Gravity (g·cm−3)Marshall Stability (KN)Flow Value (0.1 mm)
Test results5.268.94.42.5114.2331
Technical requirements/65–753–5/>820–40
Table 5. Fatigue life under constant loading rates.
Table 5. Fatigue life under constant loading rates.
NumberLoading Rate (MPa/s)Strength (MPa)Stress Ratio (MPa/MPa)Stress Level (MPa)Loading Frequency (Hz)
13.041.250.20.256.08
0.30.384.05
0.40.503.04
0.50.632.43
0.60.752.03
0.70.881.74
24.561.350.20.278.44
0.30.415.63
0.40.544.22
0.50.683.38
0.60.812.81
0.70.952.41
36.081.430.20.2910.63
0.30.437.09
0.40.575.31
0.50.724.25
0.60.863.54
0.71.003.04
49.121.550.20.3114.71
0.30.479.81
0.40.627.35
0.50.785.88
0.60.934.90
0.71.094.20
510.641.600.20.3216.63
0.30.4811.08
0.40.648.31
0.50.806.65
0.60.965.54
0.71.124.75
Table 6. Shift factor l g Φ v under different loading rates v.
Table 6. Shift factor l g Φ v under different loading rates v.
Difference in Loading Rate v Relative Shift Factor lg Φ v Shift Factor lg Φ v
000
1.520.0240.024
3.040.050.074
6.080.0210.095
7.60.0360.131
Disclaimer/Publisher’s Note: The statements, opinions and data contained in all publications are solely those of the individual author(s) and contributor(s) and not of MDPI and/or the editor(s). MDPI and/or the editor(s) disclaim responsibility for any injury to people or property resulting from any ideas, methods, instructions or products referred to in the content.

Share and Cite

MDPI and ACS Style

Tao, L.; Liu, Z.; Ding, X. Analysis of Equivalence between Loading Rate and Stress Level of Fatigue Characteristics of Asphalt Mixture. Buildings 2024, 14, 3102. https://doi.org/10.3390/buildings14103102

AMA Style

Tao L, Liu Z, Ding X. Analysis of Equivalence between Loading Rate and Stress Level of Fatigue Characteristics of Asphalt Mixture. Buildings. 2024; 14(10):3102. https://doi.org/10.3390/buildings14103102

Chicago/Turabian Style

Tao, Liang, Zhengnan Liu, and Xinglan Ding. 2024. "Analysis of Equivalence between Loading Rate and Stress Level of Fatigue Characteristics of Asphalt Mixture" Buildings 14, no. 10: 3102. https://doi.org/10.3390/buildings14103102

APA Style

Tao, L., Liu, Z., & Ding, X. (2024). Analysis of Equivalence between Loading Rate and Stress Level of Fatigue Characteristics of Asphalt Mixture. Buildings, 14(10), 3102. https://doi.org/10.3390/buildings14103102

Note that from the first issue of 2016, this journal uses article numbers instead of page numbers. See further details here.

Article Metrics

Back to TopTop