Reconstructing Missing Data Using a Bi-LSTM Model Based on VMD and SSA for Structural Health Monitoring
Abstract
1. Introduction
2. Basic Methods
2.1. Variational Mode Decomposition
2.2. Sparrow Search Algorithm
2.3. Bidirectional Long Short-Term Memory Networks
2.3.1. Long Short-Term Memory Networks
2.3.2. Bidirectional Long Short-Term Memory Networks
3. Structural Health Monitoring Data Reconstruction Method Based on VMD + SSA + Bi-LSTM
4. Results
4.1. Project Description
4.2. Data Sample
4.3. Model Settings
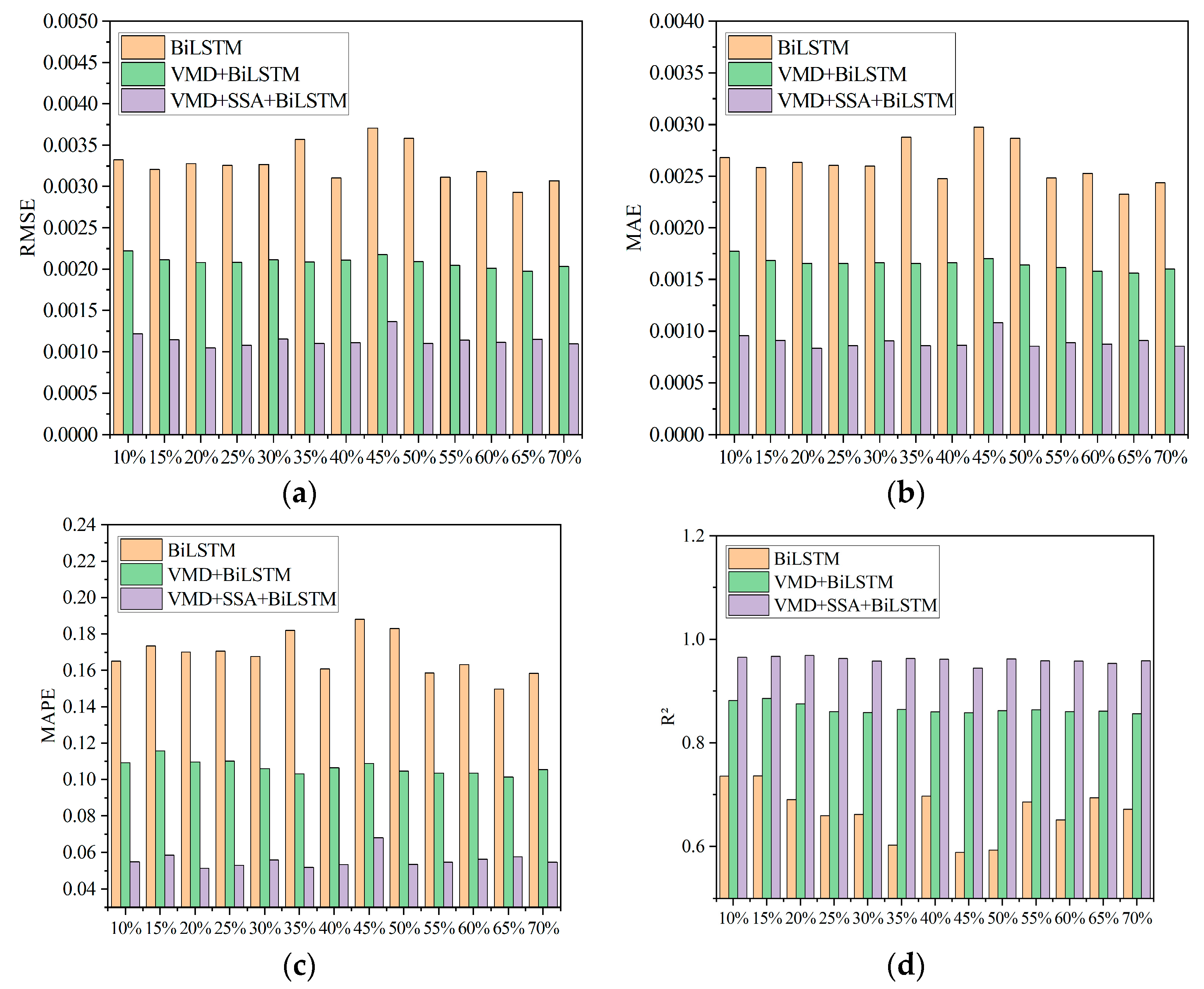
4.4. Reconstruction Results
5. Public Dataset Validation
5.1. Dataset Source
5.2. Data Samples
5.3. Model Settings
5.4. Reconstruction Results
6. Conclusions
- The method overcomes the problem of the manual adjustment of hyperparameters faced by the current single deep learning algorithm model, which can greatly reduce the time and energy spent on optimizing model hyperparameters.
- Through the verification of SHM data from actual engineering projects, it is shown that the missing data reconstruction method proposed in this paper can accurately reconstruct the change law of missing data, and the reconstruction result is close to the real data.
- By comparing with the unoptimized Bi-LSTM model and the method combining VMD with the Bi-LSTM model, the data reconstruction method proposed in this paper has higher accuracy, smaller error, and is less sensitive to the missing rate of data. When a large amount of training data is provided, it can achieve better stability in data reconstruction.
- The method also exhibits excellent reconstruction performance and good generalization ability in the acceleration response of large-span suspension bridges.
- As the number of data source sensors available for data reconstruction decreases, the accuracy of data reconstruction will decrease.
- Finally, it should be noted that the SSA used in this paper is just one of many optimization algorithms, and it also faces the problem of falling into the trap of local optimal solutions, which makes it difficult to achieve better optimization results. In the future, more powerful optimization algorithms can be considered to optimize the hyperparameters of deep learning models, further reducing manual intervention, improving the adaptive ability of models, and enhancing the universality of models.
Author Contributions
Funding
Data Availability Statement
Conflicts of Interest
References
- Bao, Y.; Tang, Z.; Li, H.; Zhang, Y. Computer Vision and Deep Learning-Based Data Anomaly Detection method for Structural Health Monitoring. Struct. Health Monit. 2019, 18, 401–421. [Google Scholar] [CrossRef]
- Ye, X.W.; Su, Y.H.; Xi, P.S.; Liu, H. Structural Health Monitoring Data Reconstruction of a Concrete-Stayed Bridge Based on Wavelet Multi-Resolution Analysis and support Vector Machine. Comput. Concr. 2017, 20, 555–562. [Google Scholar] [CrossRef]
- Yinfeng, D.; Yingmin, L.; Ming, L.; Mingkui, X. Nonlinear Structural Response Prediction Based on Support Vector Machines. J. Sound. Vib. 2008, 311, 886–897. [Google Scholar] [CrossRef]
- Tezcan, J.; Marin-Artieda, C.C. Least-Square-Support-Vector-Machine-Based Approach to Obtain Displacement from Measured Acceleration. Adv. Eng. Softw. 2018, 115, 357–362. [Google Scholar] [CrossRef]
- Bao, Y.; Li, H.; Sun, X.; Yu, Y.; Ou, J. Compressive Sampling-Based Data Loss Recovery for Wireless Sensor Networks Used in Civil Structural Health Monitoring. Struct. Health Monit. 2013, 12, 78–95. [Google Scholar] [CrossRef]
- Amini, F.; Hedayati, Y.; Zanddizari, H. Exploiting the Inter-Correlation of Structural Vibration Signals for Data Loss Recovery: A Distributed Compressive Sensing Based Approach. Mech. Syst. Signal Process 2021, 152, 107473. [Google Scholar] [CrossRef]
- Li, L.; Liu, H.; Zhou, H.; Zhang, C. Missing Data Estimation Method for Time Series Data in Structure Health Monitoring Systems by Probability Principal Component Analysis. Adv. Eng. Softw. 2020, 149, 102901. [Google Scholar] [CrossRef]
- Wan, H.-P.; Ni, Y.-Q. Bayesian Modeling Approach for Forecast of Structural Stress Response Using Structural Health Monitoring Data. J. Struct. Eng. 2018, 144, 9. [Google Scholar] [CrossRef]
- Wan, H.P.; Ni, Y.Q. Bayesian Multi-Task Learning Methodology for Reconstruction of Structural Health Monitoring Data. Struct. Health Monit. 2019, 18, 1282–1309. [Google Scholar] [CrossRef]
- Zhang, Y.-M.; Wang, H.; Bai, Y.; Mao, J.-X.; Xu, Y.-C. Bayesian Dynamic Regression for Reconstructing Missing Data in structural Health Monitoring. Struct. Health Monit. Int. J. 2022, 21, 2097–2115. [Google Scholar] [CrossRef]
- Ren, P.; Chen, X.; Sun, L.; Sun, H. Incremental Bayesian Matrix/Tensor Learning for Structural Monitoring Data Imputation and Response Forecasting. Mech. Syst. Signal Process 2021, 158, 107734. [Google Scholar] [CrossRef]
- Zhang, Z.; Luo, Y. Restoring Method for Missing Data of Spatial Structural Stress Monitoring Based on Correlation. Mech. Syst. Signal Process 2017, 91, 266–277. [Google Scholar] [CrossRef]
- Lecun, Y.; Bengio, Y.; Hinton, G. Deep Learning. Nature 2015, 521, 436–444. [Google Scholar] [CrossRef] [PubMed]
- Afzal, S.; Ghani, S.; Hittawe, M.M.; Rashid, S.F.; Knio, O.M.; Hadwiger, M.; Hoteit, I. Visualization and Visual Analytics Approaches for Image and Video Datasets: A Survey. ACM Trans. Interact. Intell. Syst. 2023, 13, 1–41. [Google Scholar] [CrossRef]
- Jeong, S.; Ferguson, M.; Hou, R.; Lynch, J.P.; Sohn, H.; Law, K.H. Sensor Data Reconstruction Using Bidirectional Recurrent Neural Network with Application to Bridge Monitoring. Adv. Eng. Inform. 2019, 42, 100991. [Google Scholar] [CrossRef]
- Zhao, G.; Xing, K.; Wang, Y.; Qian, H.; Zhang, M. Long Short-Term Memory Network for Predicting Wind-Induced Vibration Response of Lightning Rod Structures. Buildings 2023, 13, 1256. [Google Scholar] [CrossRef]
- Harrou, F.; Zeroual, A.; Hittawe, M.M.; Sun, Y. Chapter 6—Recurrent and Convolutional Neural Networks for Traffic Management. In Road Traffic Modeling and Management; Harrou, F., Zeroual, A., Hittawe, M.M., Sun, Y., Eds.; Elsevier: Amsterdam, The Netherlands, 2022; pp. 197–246. ISBN 978-0-12-823432-7. [Google Scholar]
- Hittawe, M.M.; Langodan, S.; Beya, O.; Hoteit, I.; Knio, O.M. Efficient SST Prediction in the Red Sea Using Hybrid Deep Learning-Based Approach. In Proceedings of the 2022 IEEE 20th International Conference on Industrial Informatics (INDIN) 2022, Perth, Australia, 25–28 July 2022; pp. 107–117. [Google Scholar]
- Li, L.; Zhou, H.; Liu, H.; Zhang, C.; Liu, J. A Hybrid Method Coupling Empirical Mode Decomposition and a Long Short-Term Memory Network to Predict Missing Measured Signal Data of SHM Systems. Struct. Health Monit. 2021, 20, 1778–1793. [Google Scholar] [CrossRef]
- Lu, Y.; Tang, L.; Chen, C.; Zhou, L.; Liu, Z.; Liu, Y.; Jiang, Z.; Yang, B. Reconstruction of Structural Long-Term Acceleration Response Based on Bi-LSTM Networks. Eng. Struct. 2023, 285, 116000. [Google Scholar] [CrossRef]
- Liu, X.; Jia, W.; Li, Z.; Wang, C.; Guan, F.; Chen, K.; Jia, L. Prediction of Lost Circulation in Southwest Chinese Oil Fields Applying Improved WOA-BiLSTM. Processes 2023, 11, 2763. [Google Scholar] [CrossRef]
- Li, W.; Zhang, L.C.; Wu, C.H.; Wang, Y.; Cui, Z.X.; Niu, C. A Data-Driven Approach to RUL Prediction of Tools. Adv. Manuf. 2023. [Google Scholar] [CrossRef]
- Du, B.; Wu, L.; Sun, L.; Xu, F.; Li, L. Heterogeneous Structural Responses Recovery Based on Multi-Modal Deep Learning. Struct. Health Monit. 2023, 22, 799–813. [Google Scholar] [CrossRef]
- Tian, Y.; Xu, Y.; Zhang, D.; Li, H. Relationship Modeling between Vehicle-Induced Girder Vertical Deflection and Cable Tension by Bi-LSTM Using Field Monitoring Data of a Cable-Stayed Bridge. Struct. Control Health Monit. 2021, 28, e2667. [Google Scholar] [CrossRef]
- Dragomiretskiy, K.; Zosso, D. Variational Mode Decomposition. IEEE Trans. Signal Process. 2014, 62, 531–544. [Google Scholar] [CrossRef]
- Xue, J.; Shen, B. A Novel Swarm Intelligence Optimization Approach: Sparrow Search Algorithm. Syst. Sci. Control. Eng. 2020, 8, 22–34. [Google Scholar] [CrossRef]
- Hochreiter, S.; Schmidhuber, J. Long Short-Term Memory. Neural Comput. 1997, 9, 1735–1780. [Google Scholar] [CrossRef] [PubMed]
- Li, S.; Li, S.; Laima, S.; Li, H. Data-Driven Modeling of Bridge Buffeting in the Time Domain Using Long Short-Term Memory Network Based on Structural Health Monitoring. Struct. Control Health Monit. 2021, 28, e2772. [Google Scholar] [CrossRef]
- Sherstinsky, A. Fundamentals of Recurrent Neural Network (RNN) and Long Short-Term Memory (LSTM) Network. Physica D 2020, 404, 132306. [Google Scholar] [CrossRef]
- Fenerci, A.; Andreas Kvåle, K.; Wiig Petersen, Ø.; Rønnquist, A.; Øiseth, O. Data Set from Long-Term Wind and Acceleration Monitoring of the Hardanger Bridge. J. Struct. Eng. 2021, 147, 5. [Google Scholar] [CrossRef]





















| Performance | Parameter |
|---|---|
| Measuring range | 3000 |
| Accuracy | 1% FS |
| Protection level | IP68 |
| Non-linearity | Straight line: ≤1% FS; |
| Polynomial: ≤0.1% FS | |
| Resolution | 0.035% FS |
| Temperature range | −20 °C to +80 °C |
| Gauge length | 150 mm |
| Missing Data Rate | Number of Units | Max Epochs | Learning Rate |
|---|---|---|---|
| 10 | 275 | 270 | 0.00248 |
| 15 | 352 | 165 | 0.00321 |
| 20 | 420 | 157 | 0.00311 |
| 25 | 465 | 137 | 0.00473 |
| 30 | 372 | 282 | 0.00551 |
| 35 | 521 | 164 | 0.00667 |
| 40 | 565 | 248 | 0.00199 |
| 45 | 398 | 194 | 0.00126 |
| 50 | 591 | 248 | 0.00238 |
| 55 | 839 | 132 | 0.0053 |
| 60 | 698 | 293 | 0.00364 |
| 65 | 679 | 199 | 0.00316 |
| 70 | 631 | 181 | 0.00722 |
| Missing Data Rate | Bi-LSTM | VMD + Bi-LSTM | VMD + SSA + Bi-LSTM |
|---|---|---|---|
| 10 | 5.2 | 32.7 | 163.7 |
| 15 | 5.1 | 31 | 112.7 |
| 20 | 4.1 | 24.5 | 96.1 |
| 25 | 4.1 | 25.3 | 119.1 |
| 30 | 3.9 | 24.8 | 114.3 |
| 35 | 3.5 | 16.9 | 62 |
| 40 | 3 | 16.9 | 105.5 |
| 45 | 2.8 | 16.4 | 71.9 |
| 50 | 2.9 | 17.1 | 70.8 |
| 55 | 2.5 | 13.5 | 52.9 |
| 60 | 2.2 | 11.6 | 61.7 |
| 65 | 1.7 | 8.9 | 41.8 |
| 70 | 1.5 | 8.5 | 27.4 |
| Missing Data Rate | Number of Units | Max Epochs | Learning Rate |
|---|---|---|---|
| 10 | 111 | 128 | 1 × 10−4 |
| 15 | 285 | 203 | 1 × 10−4 |
| 20 | 381 | 287 | 0.00822 |
| 25 | 710 | 187 | 7.07624 × 10−4 |
| 30 | 378 | 156 | 0.00156 |
| 35 | 439 | 109 | 0.00312 |
| 40 | 865 | 92 | 0.00211 |
| 45 | 450 | 127 | 2.48469 × 10−4 |
| 50 | 507 | 184 | 0.00651 |
| 55 | 497 | 163 | 0.00339 |
| 60 | 576 | 163 | 0.00145 |
| 65 | 746 | 132 | 3.87395 × 10−4 |
| 70 | 791 | 235 | 0.00241 |
Disclaimer/Publisher’s Note: The statements, opinions and data contained in all publications are solely those of the individual author(s) and contributor(s) and not of MDPI and/or the editor(s). MDPI and/or the editor(s) disclaim responsibility for any injury to people or property resulting from any ideas, methods, instructions or products referred to in the content. |
© 2024 by the authors. Licensee MDPI, Basel, Switzerland. This article is an open access article distributed under the terms and conditions of the Creative Commons Attribution (CC BY) license (https://creativecommons.org/licenses/by/4.0/).
Share and Cite
Zhu, S.; Miao, J.; Chen, W.; Liu, C.; Weng, C.; Luo, Y. Reconstructing Missing Data Using a Bi-LSTM Model Based on VMD and SSA for Structural Health Monitoring. Buildings 2024, 14, 251. https://doi.org/10.3390/buildings14010251
Zhu S, Miao J, Chen W, Liu C, Weng C, Luo Y. Reconstructing Missing Data Using a Bi-LSTM Model Based on VMD and SSA for Structural Health Monitoring. Buildings. 2024; 14(1):251. https://doi.org/10.3390/buildings14010251
Chicago/Turabian StyleZhu, Songlin, Jijun Miao, Wei Chen, Caiwei Liu, Chengliang Weng, and Yichun Luo. 2024. "Reconstructing Missing Data Using a Bi-LSTM Model Based on VMD and SSA for Structural Health Monitoring" Buildings 14, no. 1: 251. https://doi.org/10.3390/buildings14010251
APA StyleZhu, S., Miao, J., Chen, W., Liu, C., Weng, C., & Luo, Y. (2024). Reconstructing Missing Data Using a Bi-LSTM Model Based on VMD and SSA for Structural Health Monitoring. Buildings, 14(1), 251. https://doi.org/10.3390/buildings14010251
