An BESO Approach for Optimal Retrofit Design of Steel Rectangular-Hollow-Section Columns Supporting Crane Loads
Abstract
1. Introduction
2. Design of RHS and SHS Columns
3. Retrofitting Design of RHS and SHS Columns Using External Plate Stiffeners
3.1. Uniform U-Shaped External Stiffeners
3.2. External Stiffeners Designed via Topology Optimization
- Step
- 1: Construct the discrete model (i.e., eight-node SOLID185 FEs consisting of the uniform dimensions of 10, 5 and 3 mm associated with the different employed SHS column thicknesses) of the design structure, as shown in Figure 5a. The thickness () of two initial U-shaped stiffener plates is preset.
- Step
- 2: Assign the initial BESO parameters, including the objective volume , the evolutionary ratio , the radius of the filter times the element size and the penalty exponent .
- Step
- 3: Perform the FE analyses. The BESO schemes are used to design only the topologies of two stiffening plates, whereas the models of the SHS/RHS column and I-beam are suited to their individual geometry.
- Step
- 4: The target volume of the next design iteration is determined. When the current volume exceeds the prescribed objective volume , the target volume for the next design can be calculated using Equation (22).
- Step
- 5: In Equation (25), the elemental sensitivity numbers of the design variables are evaluated. The sensitivity numbers in the whole design domain are filtered by means of Equations (26)–(28).
- Step
- 6: The elimination and addition processes are carried out by switching the elemental density. If , the elemental density of a solid element is changed from 1 to , representing the elimination of a member. If , the elemental density of a void element is changed from to 1, representing the addition of a member. The threshold is a lower limit for the sensitivity number, based on the target material volume and the relative ranking of the sensitivity numbers in [28].
- Step
- 7: Steps 3 to 6 are repeated. The algorithm is terminated when the optimal topology of the steel stiffening plates is achieved. The optimal design is obtained, and no further improvement is made. This is referred to as the solution convergence.
4. Results and Discussions
4.1. Responses of SHS Columns without Stiffeners
4.2. Responses of SHS Columns with Uniform U-Shaped External Stiffeners
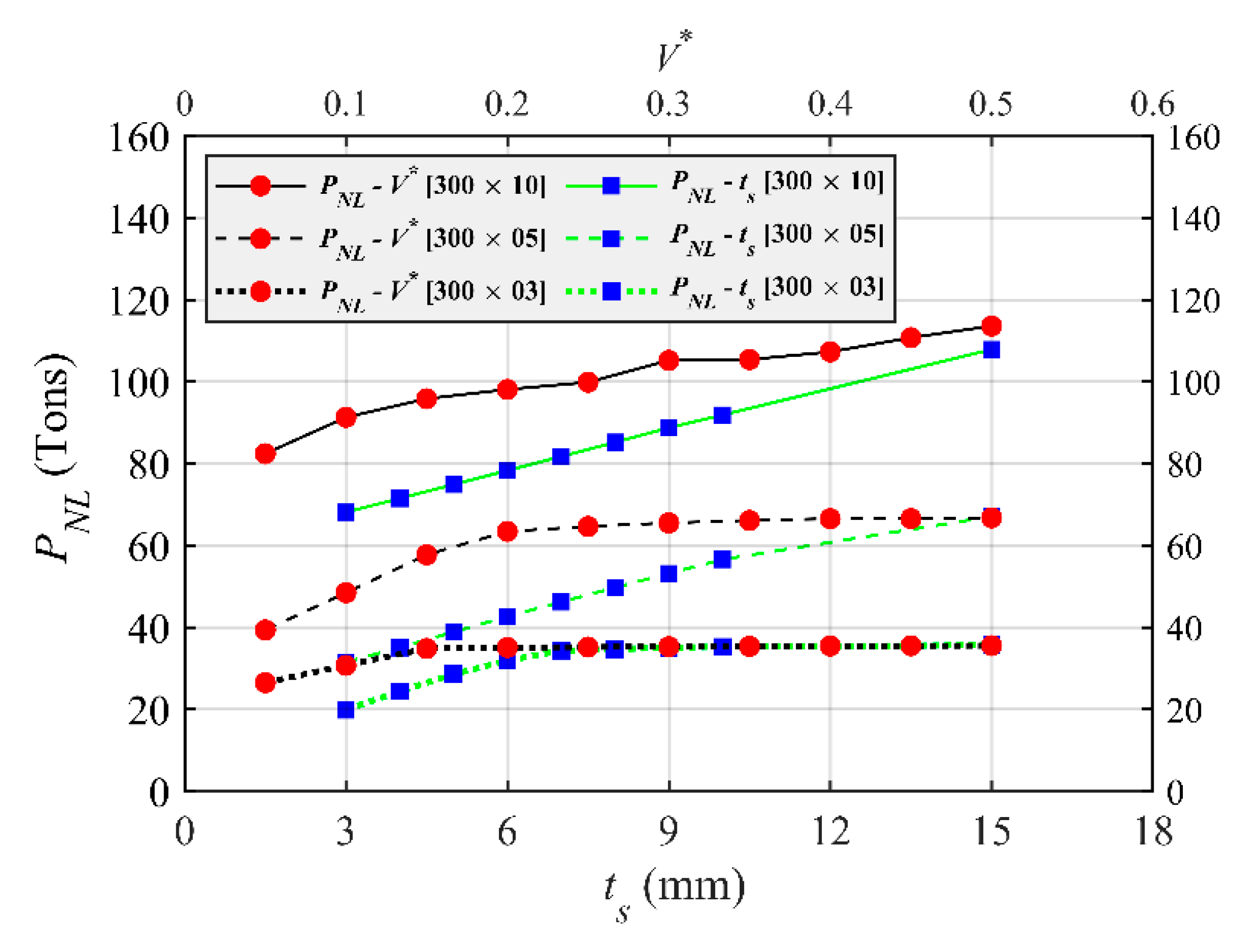
4.3. Responses of SHS Columns with External Stiffeners Designed via Topology Optimizaiton
5. Conclusions
- The premature local buckling failures of column chords connected to an I-section corbel supporting crane forces were captured by the combined elastoplastic and large deformation analyses performed in this study. In this study, we depicted the high von Mises stress intensity as well as the buckling shape of the column in an IBBC area. The nonlinear responses of pre-retrofitted columns showed reductions of 15% to 20% in the maximum crane load capacities as compared to those defined by the AISC 360-16 specifications. The local buckling failures were more pronounced in the slenderer section columns.
- The standard uniform U-shaped external stiffeners enhanced the strength capacity of the columns. The maximum crane loads increased in proportion to the thickness of the steel plates employed. The use of external plates enabled the columns to overcome premature local buckling failures at an IBBC area and hence more stress distributions developed throughout the column faces. Moreover, the post-retrofitted behaviors of slender section columns only gained a higher strength capacity with the increasing of the thickness of stiffeners up to certain thresholds, at which thicker plates could not provide benefits to the columns’ capacity. These thresholds were more concerning in relatively slender columns.
- The BESO-based retrofitting method provided the optimal layout of two stiffener plates welded to the column at an IBBC area. The post-retrofitted responses of the column with the optimal-topology stiffeners were mapped out and used to demonstrate the cost-effective design of the (non-slender and slender sectional) columns to overcome premature local buckling failures. For similar crane-load capacity targets, the steel stiffener plates designed via the proposed retrofitting scheme exhibited significantly lower (and thus more economical) total volumes than those required for the uniform U-shaped plates. The strength enhancement was more efficient for non-slender columns. For slender columns, the benefits of external plate stiffeners were limited at some certain thresholds, at which the local buckling failures were no longer pronounced.
Author Contributions
Funding
Data Availability Statement
Conflicts of Interest
References
- Kurobane, Y.; Packer, J.A.; Wardenier, J. Design Guide for Structural Hollow Section Column Connections. In CIDECT Series “Construction with Hollow Steel Sections” No. 9; TÜV-Verlag: Köln, Germany, 2004. [Google Scholar]
- NBCC. National Building Code of Canada; Associate Committee on the National Building Code, National Research Council: Ottawa, ON, Canada, 2015. [Google Scholar]
- Qin, Y.; Chen, Z.; Han, N. Research on design of through-diaphragm connections between CFRT columns and HSS beams. Int. J. Steel Struct. 2014, 14, 589–600. [Google Scholar] [CrossRef]
- Bai, Y.; Wang, S.; Mou, B.; Wang, Y.; Skalomenos, K.A. Bi-directional seismic behavior of steel beam-column connections with outer annular stiffener. Eng. Struct. 2021, 227, 111443. [Google Scholar] [CrossRef]
- Mou, B.; Liu, Y.; Wei, P.; Zhao, F.; Chenglong, W.; Ning, N. Numerical investigation and design method of bolted beam-column joint panel with eccentricity in beam depths. J. Constr. Steel Res. 2021, 180, 106568. [Google Scholar] [CrossRef]
- Ting, L.C.; Shanmugam, N.E.; Lee, S.L. Box-column to I-beam connections with external stiffeners. J. Constr. Steel Res. 1991, 18, 209–226. [Google Scholar] [CrossRef]
- Ting, L.C.; Shanmugam, N.E.; Lee, S.L. Use of external T-stiffeners in box-column to I-beam connections. J. Constr. Steel Res. 1993, 26, 77–98. [Google Scholar] [CrossRef]
- Lee, M.M.; Llewelyn-Parry, A. Strength of ring-stiffened tubular T-joints in offshore structures. J. Constr. Steel Res. 1999, 51, 239–264. [Google Scholar] [CrossRef]
- Hiroshi, M.; Tanaka, A. Statical characteristics of the improved beam-to-column connections of steel structure. In Proceedings of the 12th World Conference on Earthquake Engineering, Auckland, New Zealand, 30 January–4 February 2000. [Google Scholar]
- Goswami, R.; Murty, C.V.R. Externally Reinforced Welded I-Beam-to-Box-Column Seismic Connection. J. Eng. Mech. 2010, 136, 23–30. [Google Scholar] [CrossRef]
- Vulcu, C.; Stratan, A.; Ciutina, A.; Dubina, D. Beam-to-CFT High-Strength Joints with External Diaphragm. I: Design and Experimental Validation. J. Struct. Eng. 2017, 143, 04017001. [Google Scholar] [CrossRef]
- Vulcu, C.; Stratan, A.; Ciutina, A.; Dubina, D. Beam-to-CFT High-Strength Joints with External Diaphragm. II Numerical Simulation of Joint Behavior. J. Struct. Eng. 2017, 143, 04017002. [Google Scholar] [CrossRef]
- Michell, A.G.M. LVIII. The limits of economy of material in frame-structures. Lond. Edinb. Dublin Philos. Mag. J. Sci. 1904, 8, 589–597. [Google Scholar] [CrossRef]
- Rozvany, G. Grillages of maximum strength and maximum stiffness. Int. J. Mech. Sci. 1972, 14, 651–666. [Google Scholar] [CrossRef]
- Rozvany, G. Optimal load transmission by flexure. Comput. Methods Appl. Mech. Eng. 1972, 1, 253–263. [Google Scholar] [CrossRef]
- Prager, W.; Rozvany, G. Optimal layout of grillages. J. Struct. Mech. 1977, 5, 1–18. [Google Scholar] [CrossRef]
- Xia, L.; Xia, Q.; Huang, X.; Xie, Y.M. Bi-directional Evolutionary Structural Optimization on Advanced Structures and Materials: A Comprehensive Review. Arch. Comput. Methods Eng. 2016, 25, 437–478. [Google Scholar] [CrossRef]
- Cheng, K.; Olhoff, N. An investigation concerning optimal design of solid elastic plates. Int. J. Solids Struct. 1981, 17, 305–323. [Google Scholar] [CrossRef]
- Kohn, R.; Strang, G. Optimal design and relaxation of variational problems (Part I). Comm. Pure Appl. Math. 1986, 39, 113–137. [Google Scholar] [CrossRef]
- Kohn, R.; Strang, G. Optimal design and relaxation of variational problems (Part II). Comm. Pure Appl. Math. 1986, 39, 139–182. [Google Scholar] [CrossRef]
- Kohn, R.; Strang, G. Optimal design and relaxation of variational problems (Part III). Comm. Pure Appl. Math. 1986, 39, 353–377. [Google Scholar] [CrossRef]
- Bendsøe, M.P.; Kikuchi, N. Generating optimal topologies in structural design using a homogenization method. Comput. Methods Appl. Mech. Eng. 1988, 71, 197–224. [Google Scholar] [CrossRef]
- Xie, Y.M.; Steven, G.P. Shape and layout optimization via an evolutionary procedure. In Proceedings of the International Conference on Computational Engineering Science, Hong Kong, China, 17–22 December 1992. [Google Scholar]
- Xie, Y.M.; Steven, G.P. A simple evolutionary procedure for structural optimization. Comput. Struct. 1993, 49, 885–896. [Google Scholar] [CrossRef]
- Querin, O.M.; Steven, G.P.; Xie, Y.M. Evolutionary structural optimisation (ESO) using a bidirectional algorithm. Eng. Comput. 1998, 15, 1031–1048. [Google Scholar] [CrossRef]
- Querin, O.M.; Steven, G.P.; Xie, Y.M. Evolutionary structural optimization using an additive algorithm. Finite Elem. Anal. Des. 2000, 34, 291–308. [Google Scholar] [CrossRef]
- Querin, O.M.; Young, V.; Steven, G.P.; Xie, Y.M. Computational efficiency and validation of bi-directional evolutionary structural optimisation. Comput. Methods Appl. Mech. Eng. 2000, 189, 559–573. [Google Scholar] [CrossRef]
- Huang, X.; Xie, Y.M. Convergent and mesh-independent solutions for the bi-directional evolutionary structural optimization method. Finite Elem. Anal. Des. 2007, 43, 1039–1049. [Google Scholar] [CrossRef]
- ANSI/AISC 360-16; Specification for Structural Steel Buildings. American Institute of Steel Construction: Chicago, IL, USA, 2016.
- MBMA. Metal Building Systems Manual; Metal Building Manufacturers Association: Cleveland, OH, USA, 2012. [Google Scholar]
- Wardenier, J. Hollow Sections in Structural Applications, 2nd ed.; Delft University: Delft, The Netherlands, 2010. [Google Scholar]
- Bagheri Sabbagh, A.; Chan, T.M.; Mottram, J.T. Detailing of I-beam-to-CHS column joints with external diaphragm plates for seismic actions. J. Constr. Steel Res. 2013, 88, 21–33. [Google Scholar] [CrossRef]
- Zhou, M.; Rozvany, G. On the validity of ESO type methods in topology optimization. Struct. Multidiscip. Optim. 2001, 21, 80–83. [Google Scholar] [CrossRef]
- Hinton, E.; Sienz, J. Fully stressed topological design of structures using an evolutionary procedure. Eng. Comput. 1995, 12, 229–244. [Google Scholar] [CrossRef]
- Rozvany, G.; Querin, O.M. Combining ESO with rigorous optimality criteria. Int. J. Veh. Des. 2002, 28, 294. [Google Scholar] [CrossRef]
- Bendsøe, M.P. Optimal shape design as a material distribution problem. Struct. Optimiz. 1989, 1, 193–202. [Google Scholar] [CrossRef]
- Bendsøe, M.P.; Sigmund, O. Material interpolation schemes in topology optimization. Arch. Appl. Mech. 1999, 69, 635–654. [Google Scholar] [CrossRef]
- Rietz, A. Sufficiency of a finite exponent in SIMP (power law) methods. Struct. Multidiscip. Optim. 2001, 21, 159–163. [Google Scholar] [CrossRef]
- Bendsøe, M.P.; Sigmund, O. Topology Optimization: Theory, Methods and Applications; Springer: Berlin/Heidelberg, Germany, 2003. [Google Scholar]
- Xia, L.; Breitkopf, P. Recent Advances on Topology Optimization of Multiscale Nonlinear Structures. Arch. Comput. Methods Eng. 2017, 24, 227–249. [Google Scholar] [CrossRef]
- Huang, X.; Xie, Y.M. Bi-directional evolutionary topology optimization of continuum structures with one or multiple materials. Comput. Mech. 2009, 43, 393–401. [Google Scholar] [CrossRef]
- Gan, N.; Wang, Q. Topology optimization of multiphase materials with dynamic and static characteristics by BESO method. Adv. Eng. Softw. 2021, 151, 102928. [Google Scholar] [CrossRef]
- Huang, X.; Xie, Y.M. Evolutionary topology optimization of continuum structures with an additional displacement constraint. Struct. Multidiscip. Optim. 2010, 40, 409–416. [Google Scholar] [CrossRef]
- Huang, X.; Zuo, Z.H.; Xie, Y.M. Evolutionary topological optimization of vibrating continuum structures for natural frequencies. Comput. Struct. 2010, 88, 357–364. [Google Scholar] [CrossRef]
- Teimouri, M.; Asgari, M. Multi-objective BESO topology optimization for stiffness and frequency of continuum structures. Struct. Eng. Mech. 2019, 72, 181–190. [Google Scholar] [CrossRef]
- Huang, X.H.; Xie, Y.M. Bidirectional Evolutionary Topology Optimization for Structures with Geometrical and Material Nonlinearities. AIAA J. 2007, 45, 308–313. [Google Scholar] [CrossRef]
- Han, Y.; Xu, B.; Liu, Y. An efficient 137-line MATLAB code for geometrically nonlinear topology optimization using bi-directional evolutionary structural optimization method. Struct. Multidisc. Optim. 2021, 63, 2571–2588. [Google Scholar] [CrossRef]
- Xu, B.; Han, Y.; Zhao, L. Bi-directional evolutionary stress-based topology optimization of material nonlinear structures. Struct. Multidisc. Optim. 2021, 63, 1287–1305. [Google Scholar] [CrossRef]
- Liu, J.; Wen, G.; Qing, Q.; Xie, Y.M. An efficient method for topology optimization of continuum structures in the presence of uncertainty in loading direction. Int. J. Comput. Methods 2017, 14, 1750054. [Google Scholar] [CrossRef]
- Rostami, S.A.L.; Kolahdooz, A.; Zhang, J. Robust topology optimization under material and loading uncertainties using an evolutionary structural extended finite element method. Eng. Anal. Bound. Elem. 2021, 133, 61–70. [Google Scholar] [CrossRef]
- El-Sisi, A.A.; Elgiar, M.M.; Maaly, H.M.; Shallan, O.A.; Salim, H.A. Effect of Welding Separation Characteristics on the Cyclic Behavior of Steel Plate Shear Walls. Buildings. 2022, 12, 879. [Google Scholar] [CrossRef]
- Shallan, O.A.; Maaly, H.M.; Elgiar, M.M.; El-Sisi, A.A. Effect of Stiffener Characteristics on the Seismic Behavior and Fracture Tendency of Steel Shear Walls. Frat. Integrita Strutt. 2020, 14, 104–115. [Google Scholar] [CrossRef]












| SHS Column | Slenderness of Compression Member | Slenderness of Flexural Member | (Tons) | (Tons) | |
|---|---|---|---|---|---|
| Flange | Web | ||||
| 300 × 03 | Slender | Slender | Non-compact | 10.708 | 8.901 |
| 300 × 05 | Slender | Slender | Compact | 27.172 | 21.413 |
| 300 × 10 | Non-slender | Compact | Compact | 67.844 | 58.487 |
| (mm) | Volume (cm3) | (Tons) | ||
|---|---|---|---|---|
| SHS 300 × 03 | SHS 300 × 05 | SHS 300 × 10 | ||
| 3 | 780 | 20.072 | 31.649 | 68.146 |
| 4 | 1040 | 24.565 | 35.214 | 71.508 |
| 5 | 1300 | 28.693 | 39.018 | 74.907 |
| 6 | 1560 | 31.979 | 42.756 | 78.319 |
| 7 | 1820 | 34.668 | 46.322 | 81.479 |
| 8 | 2080 | 35.058 | 49.800 | 85.220 |
| 9 | 2340 | 35.172 | 53.255 | 88.753 |
| 10 | 2600 | 35.541 | 56.658 | 91.888 |
| 15 | 3900 | 35.681 | 67.032 | 107.890 |
| 30 | 7800 | 36.001 | 67.830 | 126.690 |
| SHS-300 × 03 | SHS-300 × 05 | SHS-300 × 10 | ||||
|---|---|---|---|---|---|---|
| Volume (cm3) | (Tons) | Volume (cm3) | (Tons) | Volume (cm3) | (Tons) | |
| 0.05 | 390 | 26.597 | 383 | 39.477 | 382 | 82.450 |
| 0.10 | 780 | 30.864 | 773 | 48.611 | 772 | 91.305 |
| 0.15 | 1170 | 35.109 | 1163 | 57.950 | 1162 | 95.858 |
| 0.20 | 1560 | 35.278 | 1554 | 63.609 | 1552 | 98.126 |
| 0.25 | 1950 | 35.655 | 1944 | 64.912 | 1932 | 99.872 |
| 0.30 | 2340 | 35.718 | 2335 | 65.787 | 2336 | 105.220 |
| 0.35 | 2730 | 35.728 | 2725 | 66.741 | 2726 | 105.420 |
| 0.40 | 3120 | 35.801 | 3116 | 66.912 | 3116 | 107.290 |
| 0.45 | 3510 | 35.809 | 3506 | 66.938 | 3504 | 110.760 |
| 0.50 | 3900 | 35.835 | 3896 | 67.045 | 3896 | 113.600 |
Disclaimer/Publisher’s Note: The statements, opinions and data contained in all publications are solely those of the individual author(s) and contributor(s) and not of MDPI and/or the editor(s). MDPI and/or the editor(s) disclaim responsibility for any injury to people or property resulting from any ideas, methods, instructions or products referred to in the content. |
© 2023 by the authors. Licensee MDPI, Basel, Switzerland. This article is an open access article distributed under the terms and conditions of the Creative Commons Attribution (CC BY) license (https://creativecommons.org/licenses/by/4.0/).
Share and Cite
Su, R.; Tangaramvong, S.; Van, T.H. An BESO Approach for Optimal Retrofit Design of Steel Rectangular-Hollow-Section Columns Supporting Crane Loads. Buildings 2023, 13, 328. https://doi.org/10.3390/buildings13020328
Su R, Tangaramvong S, Van TH. An BESO Approach for Optimal Retrofit Design of Steel Rectangular-Hollow-Section Columns Supporting Crane Loads. Buildings. 2023; 13(2):328. https://doi.org/10.3390/buildings13020328
Chicago/Turabian StyleSu, Rut, Sawekchai Tangaramvong, and Thu Huynh Van. 2023. "An BESO Approach for Optimal Retrofit Design of Steel Rectangular-Hollow-Section Columns Supporting Crane Loads" Buildings 13, no. 2: 328. https://doi.org/10.3390/buildings13020328
APA StyleSu, R., Tangaramvong, S., & Van, T. H. (2023). An BESO Approach for Optimal Retrofit Design of Steel Rectangular-Hollow-Section Columns Supporting Crane Loads. Buildings, 13(2), 328. https://doi.org/10.3390/buildings13020328

