Dissimilar Pile Raft Foundation Behavior under Eccentric Vertical Load in Elastic Medium
Abstract
:1. Introduction
2. Method of Analysis
2.1. Analytical Model
2.2. Fictitious Piles
2.3. Extended Soil
2.4. Governing Integral Equations
2.5. Supplementary Equations
3. Validation
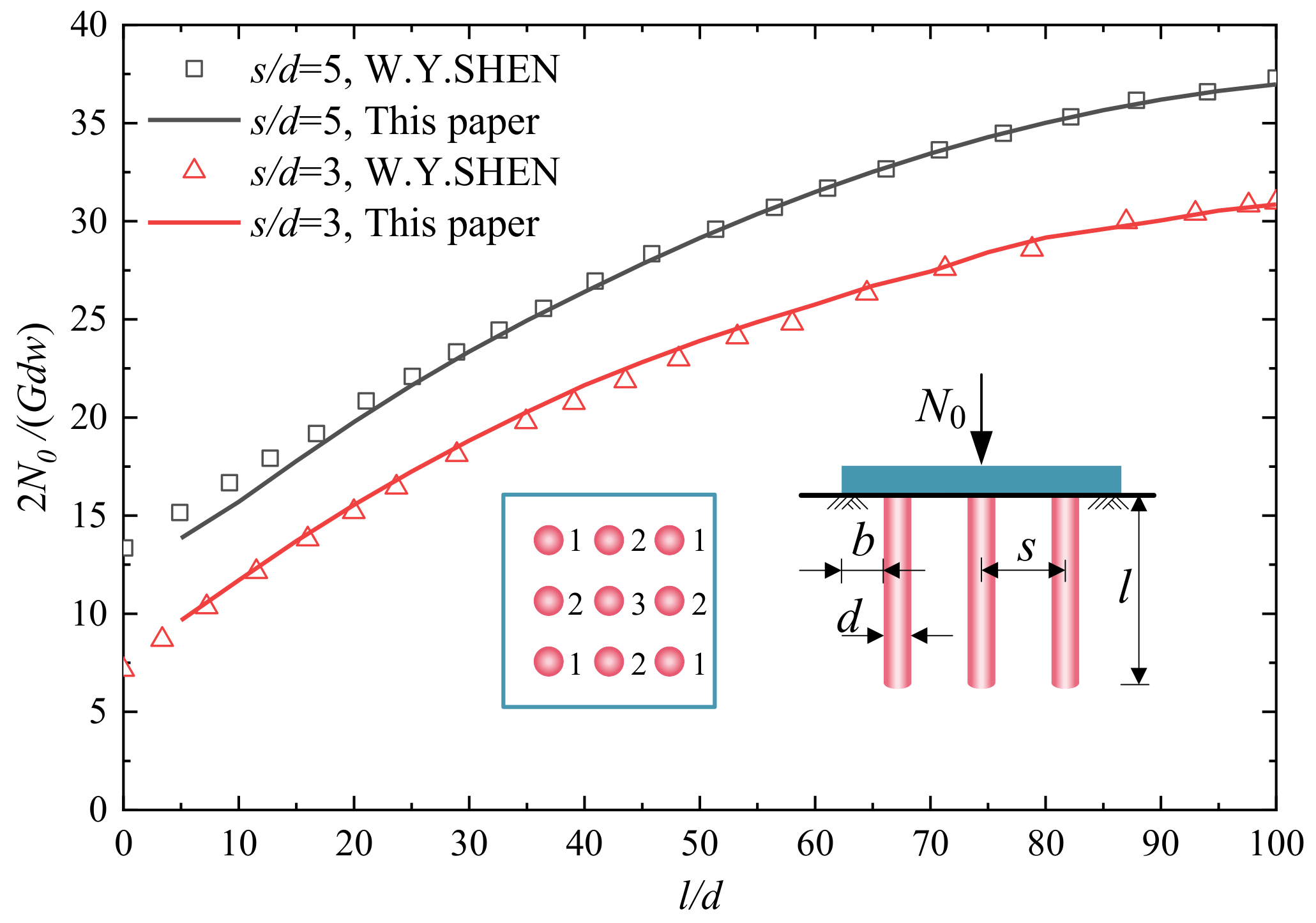
3.1. Validation Based on the Theoretical Method
3.2. Validation Based on the Numerical Method
3.3. Validation Based on the Field Load Test
4. Case Study
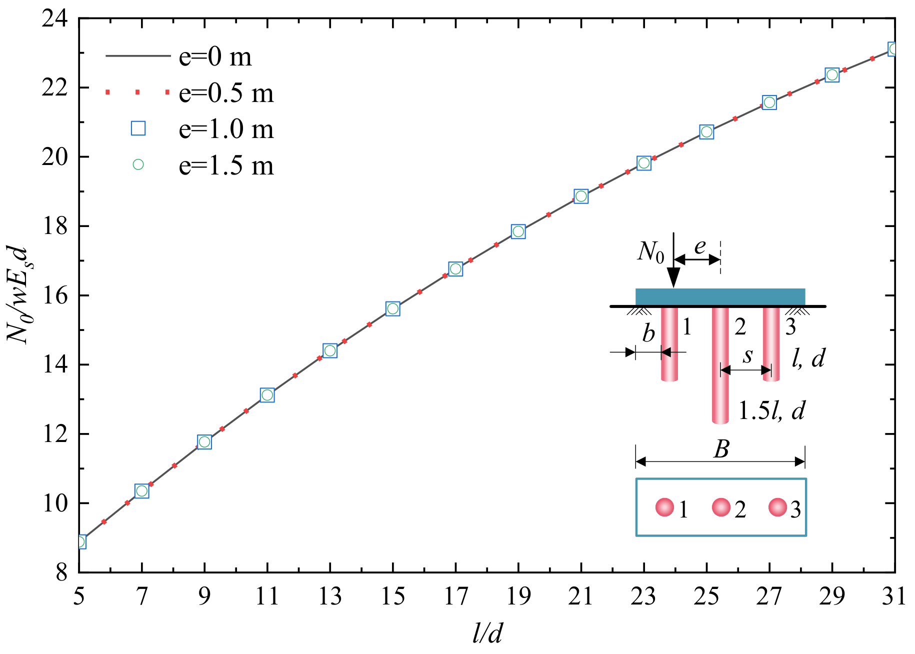
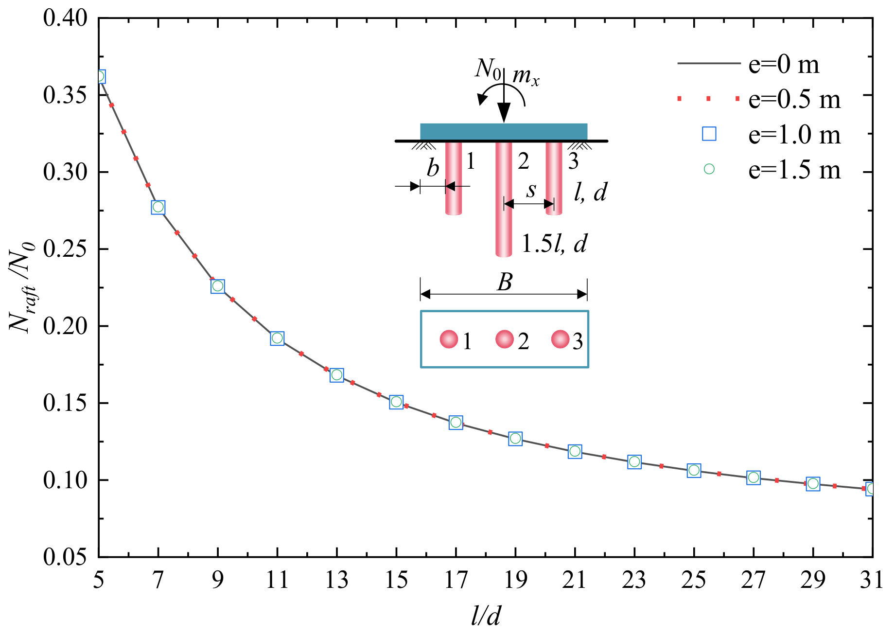
4.1. 3 × 1 PRF with Dissimilar Pile Length
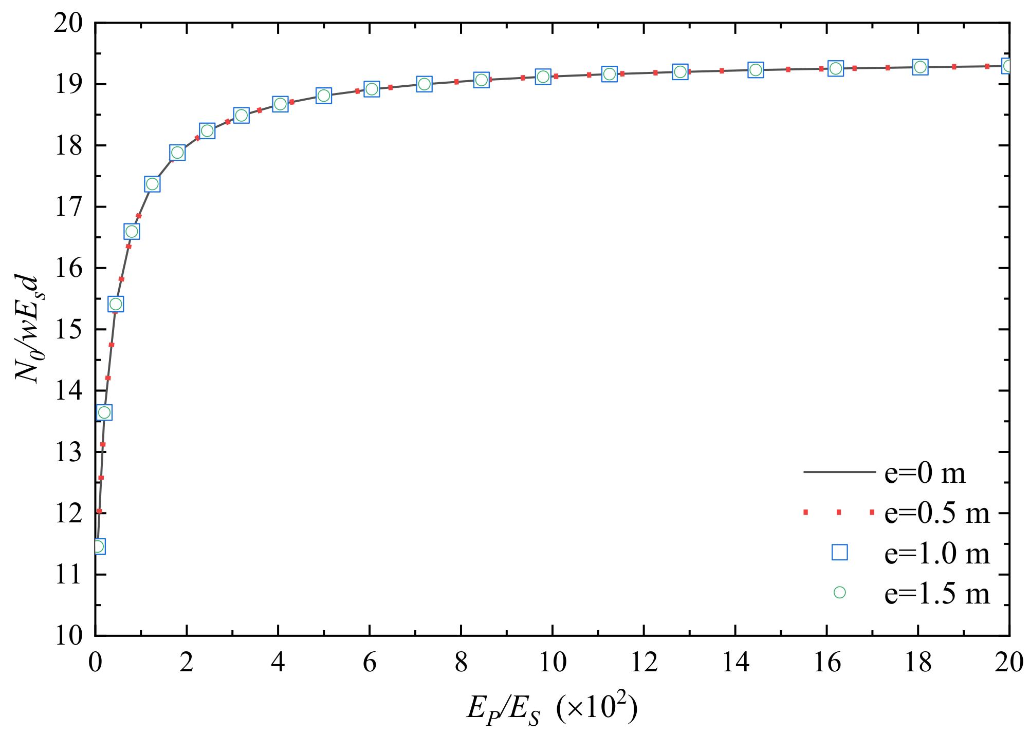
4.2. 3 × 3 PRF with Dissimilar Pile Length
5. Conclusions
- (1)
- For a 3 × 1 PRF, the non-dimensional vertical stiffness N0/wEsd increased with l/d; the load sharing ratios of the raft Nraft/N0 and the differential settlement wd decreased with l/d. The eccentricity e has a significant effect on the differential settlement wd and the load sharing ratio of each element and has a neglect effect on N0/wEsd and Nraft/N0.
- (2)
- For a 3 × 3 PRF, the pile rigidity and l/d have a significant effect on N0/wEsd, Nraft/N0, wd and the load sharing ratio of each element. And the load sharing ratio of each element, Ni/N0 and wd are significantly influenced by eccentricity e.
- (3)
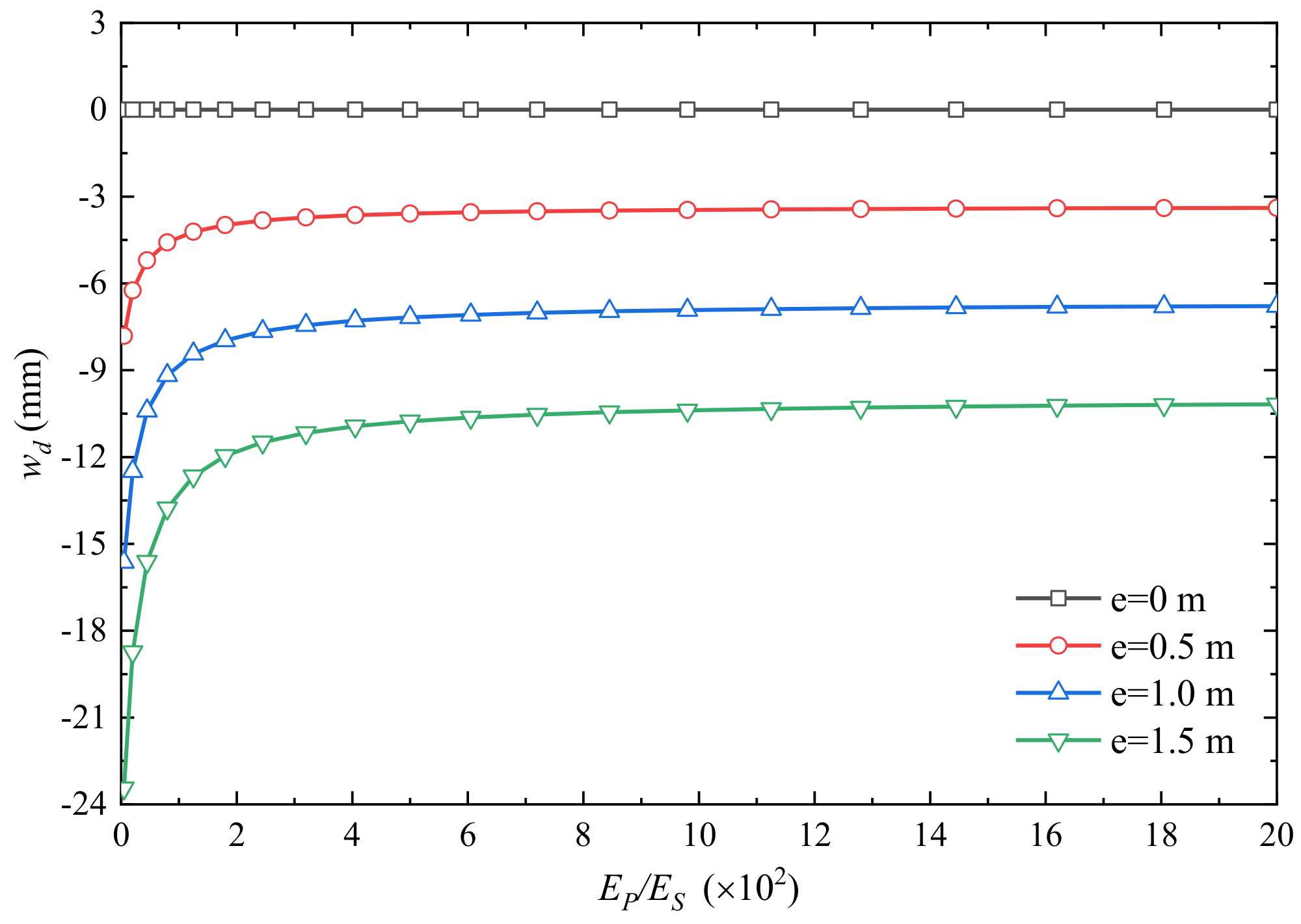
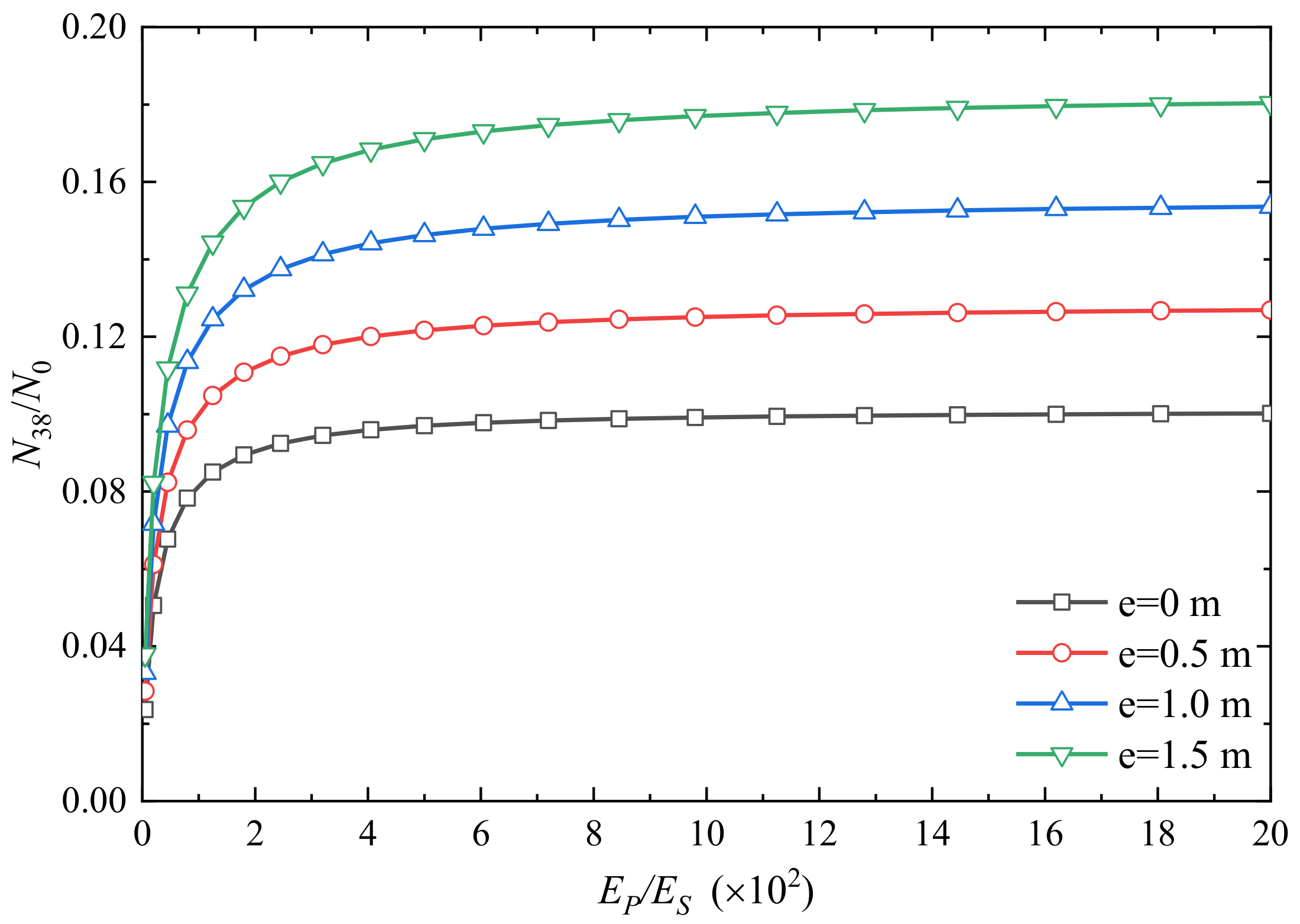
- For a 3 × 3 PRF, N0/wEsd, wd and N38/N0 are significantly increased with Ep/Es. The eccentricity e has an obvious effect on wd and N38/N0 for different Ep/Es, but it does not change N0/wEsd significantly.
Author Contributions
Funding
Data Availability Statement
Conflicts of Interest
References
- Poulos, H.G. Tall building foundations: Design methods and applications. Innov. Infrastruct. Solut. 2016, 1, 10. [Google Scholar] [CrossRef]
- De Sanctis, L.; Di Laora, R.; Maiorano, R.M.S.; Favata, G.; Aversa, S. Failure envelopes of pile groups under combined axial-moment loading: Theoretical background and experimental evidence. Soils Found. 2021, 61, 1419–1430. [Google Scholar] [CrossRef]
- Song, J.; Yang, Y.; Jia, K.; Dou, P.; Ma, X.; Shen, H. Seismic response and instability analysis of the liquefiable soil-piles-superstructure interaction system. Structures 2023, 54, 134–152. [Google Scholar] [CrossRef]
- Andrea, F.; Brian, S. Pile groups under vertical and inclined eccentric loads: Elastoplastic modelling for performance based design. Comput. Geotech. 2021, 135, 104092. [Google Scholar] [CrossRef]
- Dai, G.; Salgado, R.; Gong, W.; Zhang, Y. Load tests on full-scale bored pile groups. Can. Geotech. J. 2012, 49, 1293–1308. [Google Scholar] [CrossRef]
- Zhang, Q.; Zhang, Z.; Yu, F.; Liu, J. Field performance of long bored piles within piled rafts. Proc. Inst. Civ. Eng. Geotech. Eng. 2010, 163, 293–305. [Google Scholar] [CrossRef]
- De Sanctis, L.; Di Laora, R.; Garala, T.K.; Madabhushi, S.P.G.; Viggiani, G.M.B.; Fargnoli, P. Centrifuge modelling of the behaviour of pile groups under vertical eccentric load. Soils Found. 2021, 61, 465–479. [Google Scholar] [CrossRef]
- Mandal, S.; Sengupta, S. Experimental Investigation of Eccentrically Loaded Piled Raft Resting on Soft Cohesive Soil. Indian Geotech. J. 2017, 47, 314–325. [Google Scholar] [CrossRef]
- Park, D.; Lee, J. Interaction effects on load-carrying behavior of piled rafts embedded in clay from centrifuge tests. Can. Geotech. J. 2015, 52, 1550–1561. [Google Scholar] [CrossRef]
- Mylonakis, G. Contributions to Static and Seismic Analysis of Piles and Pile-Supported Bridge Piers; State University of New York: New York, NY, USA, 1996. [Google Scholar]
- Shen, W.; Chow, K.; Yong, K.-Y. A variational approach for vertical deformation analysis of pile group. Int. J. Numer. Anal. Methods Geomech. 1997, 21, 741–752. [Google Scholar] [CrossRef]
- Di Laora, R.; de Sanctis, L.; Aversa, S. Bearing capacity of pile groups under vertical eccentric load. Acta Geotech. 2018, 14, 193–205. [Google Scholar] [CrossRef]
- Roy, J.; Kumar, A.; Choudhury, D. Pseudostatic Approach to Analyze Combined Pile-Raft Foundation. Int. J. Geomech. 2020, 20, 06020028. [Google Scholar] [CrossRef]
- Meyerhof, G.G. The bearing capacity of rigid piles and pile groups under inclined loads in clay. Can. Geotech. J. 1981, 18, 297–300. [Google Scholar] [CrossRef]
- Meyerhof, G.G.; Yalcin, A.S.; Mathur, S.K. Ultimate Pile Capacity for Eccentric Inclined Load. J. Geotech. Eng. 1983, 109, 408–423. [Google Scholar] [CrossRef]
- Chow, Y.K.; Teh, C.I. Pile-Cap-Pile-Group Interaction in Nonhomogeneous Soil. J. Geotech. Eng. 1991, 117, 1655–1668. [Google Scholar] [CrossRef]
- Fayun, L.; Zhu, S.; Guo, W.D. Group interaction on vertically loaded piles in saturated poroelastic soil. Comput. Geotech. 2014, 56, 1–10. [Google Scholar] [CrossRef]
- Bhaduri, A.; Choudhury, D. Serviceability-Based Finite-Element Approach on Analyzing Combined Pile–Raft Foundation. Int. J. Geomech. 2020, 20, 04018103. [Google Scholar] [CrossRef]
- Bhartiya, P.; Basu, D.; Chakraborty, T. Effect of Design Parameters on Piled Rafts in Sand under Eccentric Triangular Loads. Int. J. Geomech. 2022, 22, 04022060. [Google Scholar] [CrossRef]
- Liang, F.Y.; Song, Z. BEM analysis of the interaction factor for vertically loaded dissimilar piles in saturated poroelastic soil. Comput. Geotech. 2014, 62, 223–231. [Google Scholar] [CrossRef]
- Liang, F.Y.; Chen, L.Z.; Han, J. Integral equation method for analysis of piled rafts with dissimilar piles under vertical loading. Comput. Geotech. 2009, 36, 419–426. [Google Scholar] [CrossRef]
- Sheil, B.B.; McCabe, B.A. A finite element–based approach for predictions of rigid pile group stiffness efficiency in clays. Acta Geotech. 2013, 9, 469–484. [Google Scholar] [CrossRef]
- Shatnawi, A.; Almasabha, G.; Tarawneh, B. Structural Behavior of Concrete Box Culverts under Deep Burial. J. Pipeline Syst. Eng. Pract. 2017, 8, 04017025. [Google Scholar] [CrossRef]
- Almasabha, G.; Shehadeh, A.; Alshboul, O.; Al Hattamleh, O. Structural performance of buried reinforced concrete pipelines under deep embankment soil. Constr. Innov. 2023. ahead-of-print. [Google Scholar] [CrossRef]
- Muki, R.; Sternberg, E. Elastostatic Load-Transfer to a Half-Space from a Partially Embedded Axially Loaded Rod. Int. J. Solids Struct. 1970, 6, 69–90. [Google Scholar] [CrossRef]
- Mindlin, R.D. Force at a Point in the Interior of a Semi-Infinite Solid. Physics 1936, 7, 195–202. [Google Scholar] [CrossRef]
- Muki, R.; Sternberg, E. On the diffusion of load from an infinite cylindrical bar embedded in an elastic medium. Int. J. Solids Struct. 1969, 5, 587–605. [Google Scholar] [CrossRef]
- Shen, W.Y.; Chow, Y.K.; Yong, K.Y. A variational approach for the analysis of pile group–pile cap interaction. Geotechnique 2000, 50, 349–357. [Google Scholar] [CrossRef]
- Padmavathi, M.; Padmavathi, V.; Madhav, M.R. Response of two-pile group subjected to vertical eccentric load. Int. J. Geotech. Eng. 2020, 14, 626–635. [Google Scholar] [CrossRef]
- Randolph, M.F.; Wroth, C.P. An analysis of the vertical deformation of pile groups. Geotechnique 1979, 29, 423–439. [Google Scholar] [CrossRef]

























Disclaimer/Publisher’s Note: The statements, opinions and data contained in all publications are solely those of the individual author(s) and contributor(s) and not of MDPI and/or the editor(s). MDPI and/or the editor(s) disclaim responsibility for any injury to people or property resulting from any ideas, methods, instructions or products referred to in the content. |
© 2023 by the authors. Licensee MDPI, Basel, Switzerland. This article is an open access article distributed under the terms and conditions of the Creative Commons Attribution (CC BY) license (https://creativecommons.org/licenses/by/4.0/).
Share and Cite
Hu, K.; Jiang, K.; Gou, X.; Wei, W.; Yan, L.; Zhou, T.; Guo, Z.; Chen, G. Dissimilar Pile Raft Foundation Behavior under Eccentric Vertical Load in Elastic Medium. Buildings 2023, 13, 3040. https://doi.org/10.3390/buildings13123040
Hu K, Jiang K, Gou X, Wei W, Yan L, Zhou T, Guo Z, Chen G. Dissimilar Pile Raft Foundation Behavior under Eccentric Vertical Load in Elastic Medium. Buildings. 2023; 13(12):3040. https://doi.org/10.3390/buildings13123040
Chicago/Turabian StyleHu, Ke, Kaiyu Jiang, Xiaoying Gou, Wentao Wei, Lei Yan, Tingqiang Zhou, Zhengchao Guo, and Guanwen Chen. 2023. "Dissimilar Pile Raft Foundation Behavior under Eccentric Vertical Load in Elastic Medium" Buildings 13, no. 12: 3040. https://doi.org/10.3390/buildings13123040
APA StyleHu, K., Jiang, K., Gou, X., Wei, W., Yan, L., Zhou, T., Guo, Z., & Chen, G. (2023). Dissimilar Pile Raft Foundation Behavior under Eccentric Vertical Load in Elastic Medium. Buildings, 13(12), 3040. https://doi.org/10.3390/buildings13123040

