A New Insight into the Design Compressive Strength of Ultra-High Performance Concrete
Abstract
:1. Introduction
2. Experimental Program
2.1. Materials
2.2. Preparation of Specimens
2.3. Compression Test
3. Results and Discussion
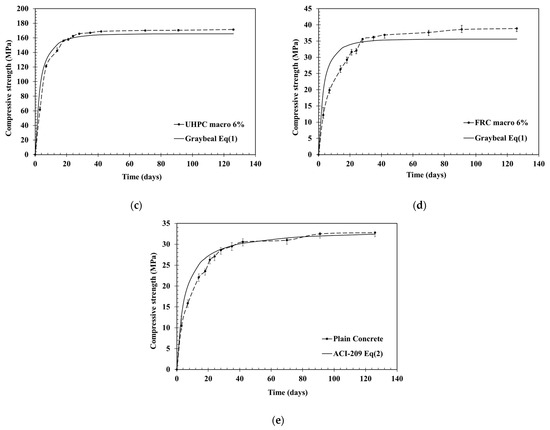
3.1. Compressive Strength Development
3.2. Ratio of Compressive Strength Gains
3.3. Comparison with Existing Prediction Models
4. Conclusions
- The most critical finding of this study is that UHPC showed a rapid early strength-gaining characteristic under normal moist-curing conditions; UHPC reached more than 90% of its ultimate compressive strength only at 21 days, while FRC and plain concrete required 28 days to achieve a similar level of compressive strength gains; therefore, for UHPC applications, a 21-day compressive strength could be considered as design strength in place of 28-day compressive strength, which is common for normal-strength concrete.
- Test results demonstrated that the long-term compressive strength gain of plain concrete and FRC is higher than that of UHPC. This is because UHPC, unlike FRC and plain concrete, has more rapid early-age compressive strength gains, thereby losing its potential for long-term compressive strength evolutions.
- Regardless of the type of steel fibers used, whether micro or macro, and even without steel fibers, UHPC exhibited much higher compressive strengths than FRC and plain concrete. The addition of micro steel fibers in UHPC led to higher compressive strengths than macro steel fibers.
- There was good agreement between the measured compressive strengths and those estimated based on the available prediction models (Graybeal’s model and ACI 209 model) by up to 21 days, while the experimental results were higher than the predicted values beyond 21 days.
- As expected, plain concrete showed the lowest compressive strength among all types of concrete, while UHPC showed the highest compressive strength.
Author Contributions
Funding
Data Availability Statement
Conflicts of Interest
References
- Resplendino, J.; Toutlemonde, F. The UHPFRC Revolution in Structural Design and Construction. In Proceedings of the RILEM-Fib-AFGC Int. Symposium on Ultra-High Performance Fibre-Reinforced Concrete, UHPFRC 2013, Marseille, France, 1–3 October 2013; 2013; pp. 791–804. [Google Scholar]
- Haddad, R.H.; Shannag, M.J.; Hamad, R.J. Repair of Heat-Damaged Reinforced Concrete T-Beams Using FRC Jackets. Mag. Concr. Res. 2007, 59, 223–231. [Google Scholar] [CrossRef]
- Gharehbaghi, K.; Rahmani, F.; Paterno, D.; Gharehbaghi, S. Performance of FRC and GPC for High-Rise Construction: Case Studies. IOP Conf. Ser. Mater. Sci. Eng. 2020, 829, 012002. [Google Scholar] [CrossRef]
- Gharehbaghi, K.; Chenery, R. Fiber Reinforced Concrete (FRC) for High Rise Construction: Case Studies. IOP Conf. Ser. Mater. Sci. Eng. 2017, 272, 012034. [Google Scholar] [CrossRef]
- Bertola, N.; Schiltz, P.; Denarié, E.; Brühwiler, E. A Review of the Use of UHPFRC in Bridge Rehabilitation and New Construction in Switzerland. Front. Built Environ. 2021, 7, 769686. [Google Scholar] [CrossRef]
- Thomas, J.; Ramaswamy, A. Mechanical Properties of Steel Fiber-Reinforced Concrete. J. Mater. Civ. Eng. 2007, 19, 385–392. [Google Scholar] [CrossRef]
- Song, P.S.; Hwang, S. Mechanical Properties of High-Strength Steel Fiber-Reinforced Concrete. Constr. Build. Mater. 2004, 18, 669–673. [Google Scholar] [CrossRef]
- Banthia, N.; Sappakittipakorn, M. Toughness Enhancement in Steel Fiber Reinforced Concrete Through Fiber Hybridization. Cem. Concr. Res. 2007, 37, 1366–1372. [Google Scholar] [CrossRef]
- Sohail, M.G.; Wang, B.; Jain, A.; Kahraman, R.; Ozerkan, N.G.; Gencturk, B.; Dawood, M.; Belarbi, A. Advancements in Concrete Mix Designs: High-Performance and Ultrahigh-Performance Concretes from 1970 to 2016. J. Mater. Civ. Eng. 2018, 30, 04017310. [Google Scholar] [CrossRef]
- Li, V.C. From Micromechanics to Structural Engineering-The Design of Cementitious Composites for Civil Engineering Applications. Doboku Gakkai Ronbunshu 1993, 1993, 1–12. [Google Scholar] [CrossRef]
- ACI 239; Committee on Ultra-High-Performance Concrete. American Concrete Institute: Farmington Hills, MI, USA, 2012.
- AFGC. Setra Working Group Ultra High Performance Fibre-Reinforced Concrete-Interim Recommendations. In Proceedings of the International Conference on the Design and Dynamic Behaviour of Footbridges, Paris, France, 20–22 November 2002. [Google Scholar]
- Beton-Fib, D. Structural Concrete: Textbook on Behaviour, Design and Performance. Bulletin 2009, 1, 253–260. [Google Scholar]
- BS EN. 206-1; Concrete-Part 1: Specification, Performance, Production and Conformity. British Standards Institution: London, UK, 2000.
- Richardson, D.N. Review of Variables that Influence Measured Concrete Compressive Strength. J. Mater. Civ. Eng. 1991, 3, 95–112. [Google Scholar] [CrossRef]
- Kaplan, S.A. Factors Affecting the Relationship Between Rate of Loading and Measured Compressive Strength of Concrete. Mag. Concr. Res. 1980, 32, 79–88. [Google Scholar] [CrossRef]
- Price, W.H. Factors Influencing Concrete Strength. J. Proc. 1951, 47, 417–432. [Google Scholar] [CrossRef]
- Gonnerman, H.; Lerch, W. Changes in Characteristics of Portland Cement as Exhibited by Laboratory Tests Over the Period 1904 to 1950. In Changes in Characteristics of Portland Cement as Exhibited by Laboratory Tests Over the Period 1904 to 1950; ASTM International: West Conshohocken, PA, USA, 1952. [Google Scholar] [CrossRef]
- Kim, J.K.; Moon, Y.H.; Eo, S.H. Compressive Strength Development of Concrete with Different Curing Time and Temperature. Cem. Concr. Res. 1998, 28, 1761–1773. [Google Scholar] [CrossRef]
- Raheem, A.A.; Soyingbe, A.A.; Emenike, A.J. Effect of Curing Methods on Density and Compressive Strength of Concrete. Int. J. Appl. Sci. Eng. 2013, 3, 55–64. [Google Scholar]
- Oner, A.; Akyuz, S. An Experimental Study on Optimum Usage of GGBS for the Compressive Strength of Concrete. Cem. Conc. Res. 2007, 29, 505–514. [Google Scholar] [CrossRef]
- Rhodes, J.A.; Carreira, D.J.; Bazant, Z.P.; Beaudoin, J.I.; Branson, D.E.; Gamble, B.R.; Gcymaycr, H.G.; Goyal, B.B.; Hope, B.B.; Keeton, J.R.; et al. Prediction of Creep, Shrinkage, and Temperature Effects in Concrete Structures: Reported by ACI Committee 209. In Designing for Creep and Shrinkage in Concrete Structures; American Concrete Institute, ACI Special Publication; American Concrete Institute: Farmington Hills, MI, USA, 1982; Volume SP-076, pp. 193–300. [Google Scholar]
- Comité Euro-International du Béton. CEB-FIP Model Code 1990: Design Code; Thomas Telford Publishing: London, UK, 1993. [Google Scholar]
- Gardner, N.J.; Lockman, M.J. Design Provisions for Drying Shrinkage and Creep of Normal-Strength Concrete. Materials 2001, 98, 159–167. [Google Scholar] [CrossRef]
- Graybeal, B.A. Compressive Behavior of Ultra-High-Performance Fiber-Reinforced Concrete. ACI Mater. J. 2007, 104, 146. [Google Scholar] [CrossRef]
- Pourbaba, M.; Asefi, E.; Sadaghian, H.; Mirmiran, A. Effect of Age on the Compressive Strength of Ultra-High-Performance Fiber-Reinforced Concrete. Constr. Build. Mater. 2018, 175, 402–410. [Google Scholar] [CrossRef]
- Wang, R.; Gao, X. Relationship Between Flowability, Entrapped Air Content and Strength of UHPC Mixtures Containing Different Dosage of Steel Fiber. Appl. Sci. 2016, 6, 216. [Google Scholar] [CrossRef]
- Abbas, S.; Soliman, A.M.; Nehdi, M.L. Exploring Mechanical and Durability Properties of Ultra-High Performance Concrete Incorporating Various Steel Fiber Lengths and Dosages. Const. Build. Mater. 2015, 75, 429–441. [Google Scholar] [CrossRef]
- Osgouei, Y.B.; Tafreshi, S.T.; Pourbaba, M. Experimental and Numerical Characterization of Non-Proprietary UHPFRC Beam—Parametric Analyses of Mechanical Properties. Buildings 2023, 13, 1565. [Google Scholar] [CrossRef]
- Parvin, Y.A.; Shaghaghi, T.M.; Pourbaba, M.; Mirrezaei, S.S.; Zandi, Y. Experimental Investigation on UHPC Beams Reinforced with GFRP and Steel Rebars and Comparison with Prediction Equations. Adv. Concr. Constr. 2022, 14, 45–55. [Google Scholar]
- Alizadeh, A.; Moradi Shaghaghi, T.; Pourbaba, M.; Mirrezaei, S.S.; Zandi, Y. Experimental Investigation of Shear Behavior in High-Strength Concrete Beams Reinforced with Hooked-End Steel Fibers and High-Strength Steel Rebars. Buildings 2023, 13, 2106. [Google Scholar] [CrossRef]
- De Maio, U.; Gaetano, D.; Greco, F.; Lonetti, P.; Nevone Blasi, P.; Pranno, A. The Reinforcing Effect of Nano-Modified Epoxy Resin on the Failure Behavior of FRP-Plated RC Structures. Buildings 2023, 13, 1139. [Google Scholar] [CrossRef]
- De Maio, U.; Gaetano, D.; Greco, F.; Lonetti, P.; Pranno, A. The Damage Effect on the Dynamic Characteristics of FRP-strengthened Reinforced Concrete Structures. Compos. Struct. 2023, 309, 116731. [Google Scholar] [CrossRef]
- Dadmand, B.; Pourbaba, M.; Riahi, R. Experimental and Numerical Investigation of Different Types of Jacketing Effect on Retrofitting RC Short Columns using ECC Concrete. Period. Polytech. Civ. Eng. 2022, 66, 603–613. [Google Scholar] [CrossRef]
- Del Vecchio, C.; Di Ludovico, M.; Balsamo, A.; Prota, A. Seismic Retrofit of Real Beam-Column Joints Using Fiber-Reinforced Cement Composites. J. Struct. Eng. 2018, 144, 04018026. [Google Scholar] [CrossRef]
- Hung, C.C.; Kuo, C.W.; Shao, Y. Cast-In-Place and Prefabricated UHPC Jackets for Retrofitting Shear-Deficient RC Columns with Different Axial Load Levels. J. Build. Eng. 2021, 44, 103305. [Google Scholar] [CrossRef]
- Shao, Y.; Kuo, C.W.; Hung, C.C. Seismic Performance of Full-Scale UHPC-Jacket-Strengthened RC Columns Under High Axial Loads. Eng. Struct. 2021, 243, 112657. [Google Scholar] [CrossRef]
- C150; Standard Specification for Portland Cement. ASTM International: West Conshohocken, PA, USA, 2016.
- Pourbaba, M.; Joghataie, A.; Mirmiran, A. Shear Behavior of Ultra-High Performance Concrete. Const. Build. Mater. 2018, 183, 554–564. [Google Scholar] [CrossRef]
- Pourbaba, M.; Sadaghian, H.; Mirmiran, A. Flexural Response of UHPFRC Beams Reinforced with Steel Rebars. Adv. Civ. Eng. Mater. 2019, 8, 20190129. [Google Scholar] [CrossRef]
- Pourbaba, M.; Sadaghian, H.; Mirmiran, A. A Comparative Study of Flexural and Shear Behavior of Ultra-High-Performance Fiber-Reinforced Concrete Beams. Adv. Civ. Eng. 2019, 22, 1727–1738. [Google Scholar] [CrossRef]
- C31/C31M-12; Standard Practice for Making and Curing Concrete Test Specimens in the Field. ASTM: West Conshohocken, PA, USA, 2012.
- C39; Standard Test Method for Compressive Strength of Cylindrical Concrete Specimens. ASTM: West Conshohocken, PA, USA, 2010.
- C109/C109M-13; Standard Test Method for Compressive Strength of Hydraulic Cement Mortars (Using 2-in. or [50-mm] Cube Specimens). ASTM: West Conshohocken, PA, USA, 2013.
- Liu, J.; Han, F.; Cui, G.; Zhang, Q.; Lv, J.; Zhang, L.; Yang, Z. Combined Effect of Coarse Aggregate and Fiber on Tensile Behavior of Ultra-High Performance Concrete. Const. Build. Mater. 2016, 121, 310–318. [Google Scholar] [CrossRef]
- Yu, R.; Spiesz, P.; Brouwers, H.J.H. Mix Design and Properties Assessment of Ultra-High Performance Fiber Reinforced Concrete (UHPFRC). Cem. Concr. Res. 2014, 56, 29–39. [Google Scholar] [CrossRef]
- Aghdasi, P.; Heid, A.E.; Chao, S.H. Developing Ultra-high-performance Fiber-reinforced Concrete for Large-scale Structural Applications. ACI Mater. J. 2016, 113, 559–569. [Google Scholar] [CrossRef]
- Yoo, D.-Y.; Lee, J.-H.; Yoon, Y.-S. Effect of Fiber Content on Mechanical and Fracture Properties of Ultra High Performance Fiber Reinforced Cementitious Composites. Compos. Struct. 2013, 106, 742–753. [Google Scholar] [CrossRef]
- Hung, C.-C.; Chen, Y.-T.; Yen, C.-H. Workability, Fiber Distribution, and Mechanical Properties of UHPC with Hooked End Steel Macro-Fibers. Constr. Build. Mater. 2020, 260, 119944. [Google Scholar] [CrossRef]
- Meng, W.; Khayat, K.H. Effect of Hybrid Fibers on Fresh Properties, Mechanical Properties, and Autogenous Shrinkage of Cost-Effective UHPC. J. Mater. Civ. Eng. 2018, 30, 04018030. [Google Scholar] [CrossRef]
- Le Hoang, A.; Fehling, E. Influence of Steel Fiber Content and Aspect Ratio on the Uniaxial Tensile and Compressive behavior of Ultra-High Performance Concrete. Const. Build. Mater. 2017, 153, 790–806. [Google Scholar] [CrossRef]
- Ibrahim, M.A.; Farhat, M.; Issa, M.A.; Hasse, J.A. Effect of Material Constituents on Mechanical and Fracture Mechanics Properties of Ultra-High-Performance Concrete. ACI Mater. J. 2017, 114, 453–465. [Google Scholar] [CrossRef]
- Xu, X.; Jin, Z.; Yu, Y.; Li, N. Impact Properties of Ultra-High Performance Concrete (UHPC) Cured by Steam Curing and Standard Curing. Case Stud. Constr. Mater. 2022, 17, e01321. [Google Scholar] [CrossRef]
- De Larrard, F.; Belloc, A.; Renwez, S.; Boulay, C. Is the Cube Test Suitable for High Performance Concrete? Mater. Struct. 1994, 27, 580–583. [Google Scholar] [CrossRef]
- Graybeal, B.; Davis, M. Cylinder or Cube: Strength Testing of 80 to 200 MPa (11.6 to 29 ksi) Ultra-High-Performance Fiber-Reinforced Concrete. ACI Mater. J. 2008, 105, 603. [Google Scholar] [CrossRef]








| Chemical Composition (%) | ||||||
|---|---|---|---|---|---|---|
| CaO | Al2O3 | SiO2 | Fe2O3 | MgO | SO3 | LOI |
| 64.59 | 5.71 | 21.13 | 3.00 | 1.27 | 2.70 | 1.60 |
| Chemical Composition (%) | |||||||
|---|---|---|---|---|---|---|---|
| SiO2 | Fe2O3 | CaO | Al2O3 | MgO | C | LOI | Moisture |
| 85 | 2 | 1.5 | 1 | 1.5 | 3 | 3.5 | 1 |
| Physical Properties | |||||
|---|---|---|---|---|---|
| Structure | Particle Shape | Particle Size (µm) | Bulk Density (kg/m3) | Specific Surface (m2/g) | Density (kg/m3) |
| Amorphous | Spherical | <40 | 200–300 | 14–20 | 400–600 |
| Shape | Length (mm) | Diameter (mm) | Ft (MPa) | E (GPa) |
|---|---|---|---|---|
| Straight (micro) | 13 | 0.16 | 2700 | 200 |
| End-hooked (macro) | 30 | 0.76 | 1800 | 200 |
| Materials | UHPC with Steel Fibers | UHPC without Fibers | ||
|---|---|---|---|---|
| Percent by Weight (%) | Weight per Unit Volume (kg/m3) | Percent by Weight (%) | Weight per Unit Volume (kg/m3) | |
| Cement | 28.5 | 712.5 | 30.5 | 754.9 |
| Fine sand | 40.5 | 1012.5 | 43.3 | 1071.7 |
| Silica fume | 9.3 | 232.5 | 10.0 | 247.5 |
| Ground quartz | 8.8 | 220 | 9.0 | 222.8 |
| Superplasticizer | 1.2 | 30 | 1.3 | 32.2 |
| Steel fibers (micro/macro) | 6.2 | 155 | 0.0 | 0.0 |
| Water | 5.5 | 137.5 | 5.9 | 146.0 |
| Materials | FRC | Plain Concrete | ||
|---|---|---|---|---|
| Percent by Weight (%) | Weight per Unit Volume (kg/m3) | Percent by Weight (%) | Weight per Unit Volume (kg/m3) | |
| Portland cement | 16.2 | 397 | 17.2 | 415 |
| Fine aggregate (0–4 mm) | 35.6 | 872 | 37.8 | 910 |
| Coarse aggregate (4–15 mm) | 34.1 | 835 | 36.4 | 875 |
| Steel fibers (macro) | 6.0 | 147 | 0 | 0 |
| Water | 8.1 | 198 | 8.5 | 205 |
| UHPC Micro 6% | UHPC Macro 6% | UHPC without Fiber | FRC Macro 6% | Plain Concrete | |
|---|---|---|---|---|---|
| 0.90 | 0.91 | 0.88 | 0.75 | 0.72 | |
| 0.92 | 0.92 | 0.91 | 0.81 | 0.80 | |
| 0.97 | 0.97 | 0.96 | 0.92 | 0.87 | |
| 1.03 | 1.04 | 1.04 | 1.09 | 1.15 |
Disclaimer/Publisher’s Note: The statements, opinions and data contained in all publications are solely those of the individual author(s) and contributor(s) and not of MDPI and/or the editor(s). MDPI and/or the editor(s) disclaim responsibility for any injury to people or property resulting from any ideas, methods, instructions or products referred to in the content. |
© 2023 by the authors. Licensee MDPI, Basel, Switzerland. This article is an open access article distributed under the terms and conditions of the Creative Commons Attribution (CC BY) license (https://creativecommons.org/licenses/by/4.0/).
Share and Cite
Pourbaba, M.; Chakraborty, R.; Pourbaba, M.; Belarbi, A.; Yeon, J.H. A New Insight into the Design Compressive Strength of Ultra-High Performance Concrete. Buildings 2023, 13, 2909. https://doi.org/10.3390/buildings13122909
Pourbaba M, Chakraborty R, Pourbaba M, Belarbi A, Yeon JH. A New Insight into the Design Compressive Strength of Ultra-High Performance Concrete. Buildings. 2023; 13(12):2909. https://doi.org/10.3390/buildings13122909
Chicago/Turabian StylePourbaba, Masoud, Rajesh Chakraborty, Majid Pourbaba, Abdeldjelil Belarbi, and Jung Heum Yeon. 2023. "A New Insight into the Design Compressive Strength of Ultra-High Performance Concrete" Buildings 13, no. 12: 2909. https://doi.org/10.3390/buildings13122909
APA StylePourbaba, M., Chakraborty, R., Pourbaba, M., Belarbi, A., & Yeon, J. H. (2023). A New Insight into the Design Compressive Strength of Ultra-High Performance Concrete. Buildings, 13(12), 2909. https://doi.org/10.3390/buildings13122909

