Properties Evaluation of Composite Materials Based on Gypsum Plaster and Posidonia Oceanica Fibers
Abstract
:1. Introduction
2. Materials
3. Composite Preparation
3.1. Before Volume Percentage Correction (BVC)
- Mixing plan (A): The composites were obtained by mixing several S (10% → 50%) with P (90% → 50%) so that the two materials (M1= S and M2 = P) were changed in 10% steps;
- Mixing plan (C):The composites were obtained by mixing several fibers (15% → 60%) with P and aggregate (85% to 40%). Change steps for both materials (M1 = PO or POT and M2 = P+S + G where S/G = 0.3 (Djoudi et al. recommend this value in composite manufacturing before adding date palm fibers [19])) were 15%.
- D < 0: Lack of quantity of mixture in PSM;
- D > 0: Loss of quantity of mixture in PSM;
- D = 0: Volume equivalent between Xv mixture and Xv PSM.
3.2. After Volume Percentage Correction (AVC)
4. Experimental Methods
4.1. Physical Properties Testing
4.2. Mechanical Properties Testing
5. Results and Discussion
5.1. Physical and Morphological Properties
5.2. Composites Physical-Mechanical Properties
6. Conclusions
- 1.
- XRD analysis shows that Tunisian gypsum (GPS) contains small amounts of bassanite and calcite. After the dehydration process of GPS to produce plaster, bassanite is formed. At the same time, we can also clearly see the positive effect of dehydration on the porosity of plaster in the MEB images;
- 2.
- The sand used is calcareous sand with a good particle size distribution, good gradation, and low fineness modulus; it is mainly composed of dolomite, gypsum, calcite, and quartz according to LDA and XRD analysis;
- 3.
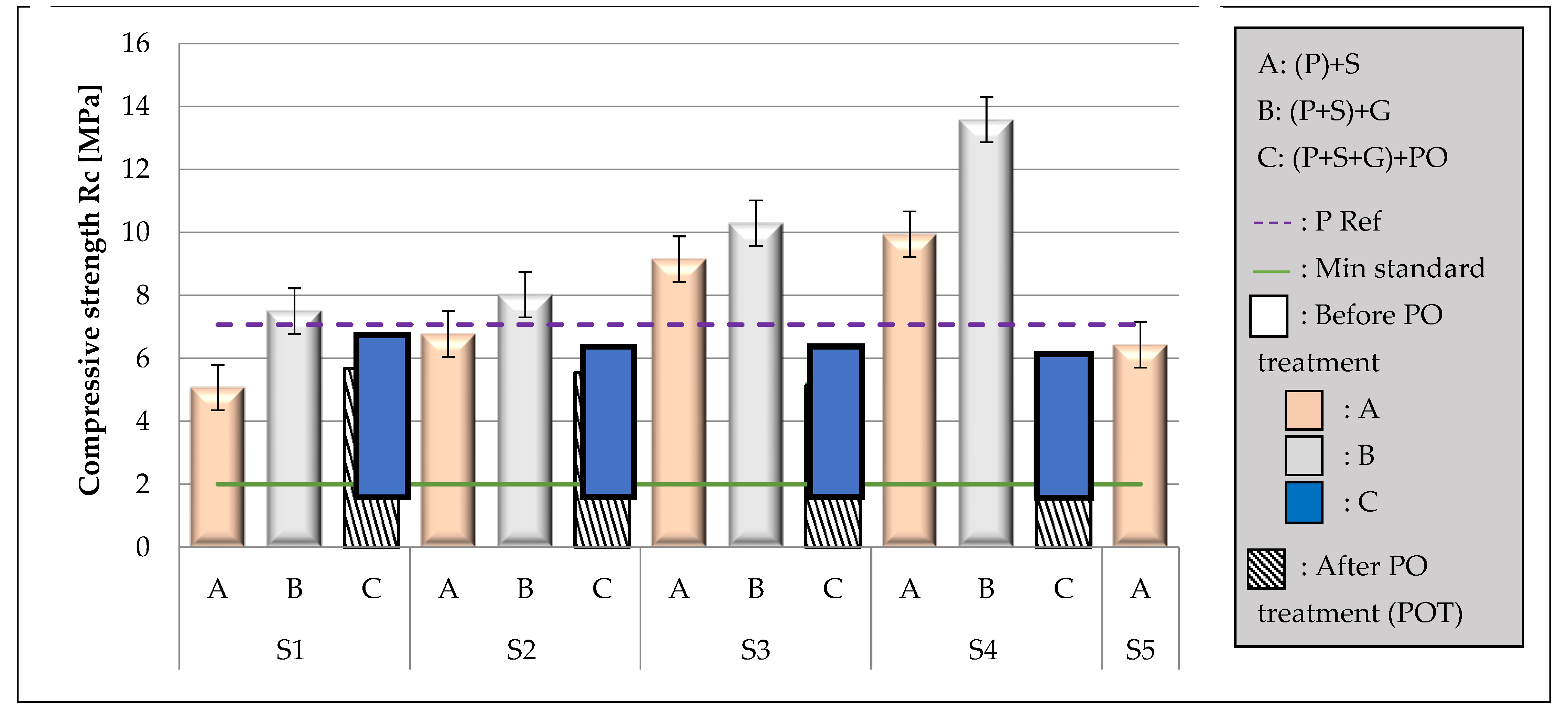
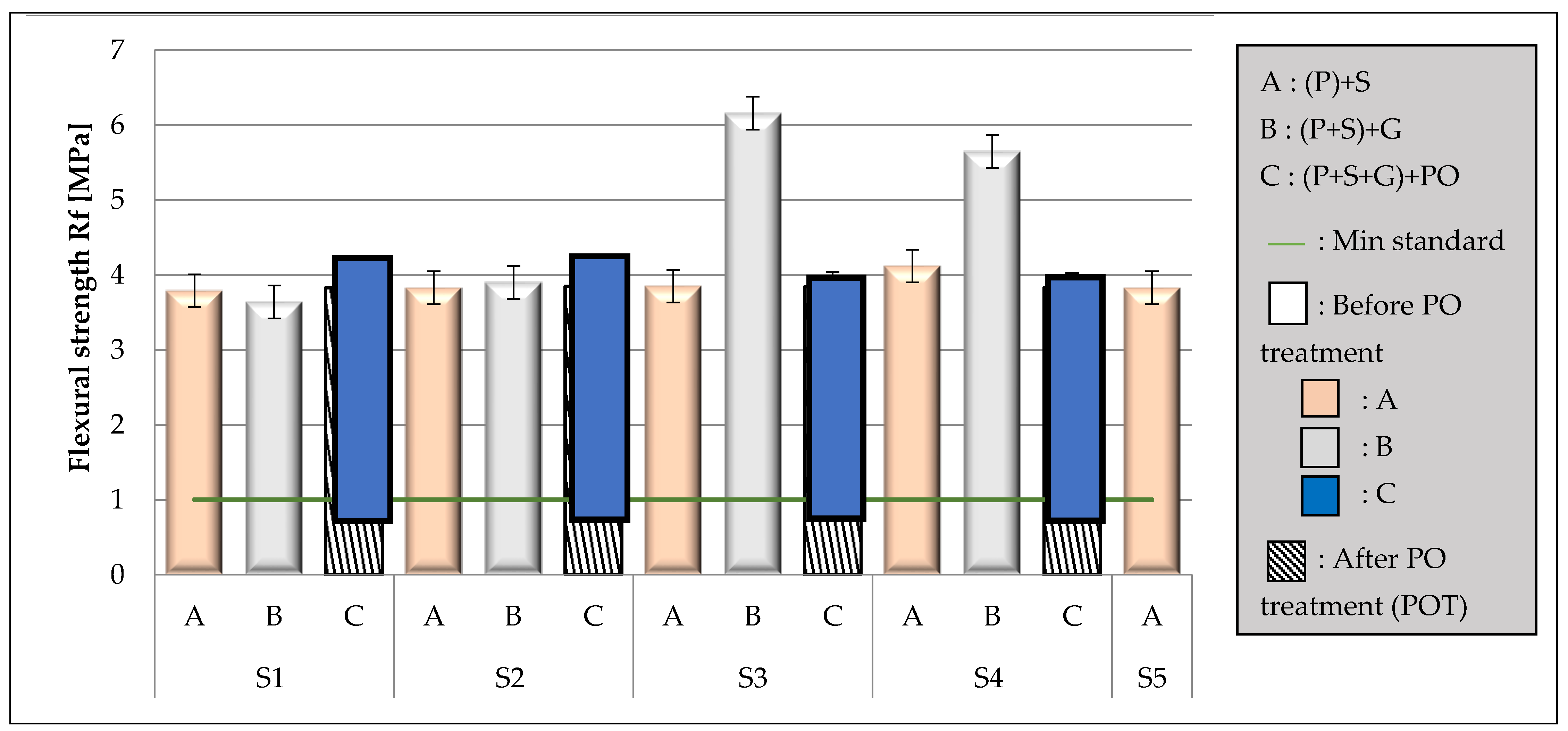
- The best mechanical strength was recorded when only sand and gravel were added. The addition of PO or POT has shown their effectiveness in increasing the sample flexural strength, density, and open porosity;
- 4.
- The microscopic results clearly show the effect of NaOH thermo-chemical treatment on the POT surface, which positively affects the compressive strength results compared with PO;
- 5.
- The best PO/P +S + G ratio obtained is 0.0321, where we achieved zero mixing losses (D = 0%) and good physic-mechanical properties;
- 6.
- Assuming the sample volume is insufficient after pouring the mixture into the PSM due to a correction factor CF applied, adding some plaster rather than wetting calcareous sand is advisable to make up for this deficiency and avoid water affecting the results.
Author Contributions
Funding
Data Availability Statement
Acknowledgments
Conflicts of Interest
References
- Zalewska, J.; Przekora, A.; Pałka, K.; Belcarz, A. Gypsum-related compensation of ions uptake by highly porous hydroxyapatite ceramics—Consequences for osteoblasts growth and proliferation. Biomater. Adv. 2022, 133, 112665. [Google Scholar] [CrossRef] [PubMed]
- Hassaïri-Krid, F.; Felhi, M.; Fattah, N.; Tlili, A. Relationship between granulometric distribution and compressive strength of heat-treated Toarcian-Bajocian gypsum, Tunisia: Implications for casting teeth in molds. Arab. J. Geosc. 2019, 12, 533. [Google Scholar] [CrossRef]
- Benjeddou, O.; Soussi, C.; Benali, M.; Alyousef, R. Experimental investigation of a new ecological block made by mixing gypsum plaster and desert sand. Arab. J. Sci. Eng. 2020, 45, 4037–4052. [Google Scholar] [CrossRef]
- Bumanis, G.; Zorica, J.; Korjakins, A.; Bajare, D. Processing of Gypsum Construction and Demolition Waste and Properties of Secondary Gypsum Binder. Recycling 2022, 7, 30. [Google Scholar] [CrossRef]
- Naiiri, F.; Allègue, L.; Salem, M.; Redouane, Z.; Mondher, Z. The effect of doum palm fibers on the mechanical and thermal properties of gypsum mortar. J. Comp. Mat. 2019, 53, 2641–2659. [Google Scholar] [CrossRef]
- Thongchom, C.; Refahati, N.; Saffari, P.R.; Saffari, P.R.; Niyaraki, M.N.; Sirimontree, S.; Keawsawasvong, S. An Experimental Study on the Effect of Nanomaterials and Fibers on the Mechanical Properties of Polymer Composites. Buildings 2022, 12, 7. [Google Scholar] [CrossRef]
- Aybar, M.R.; Porras-Amores, C.; Fernández, E.M.; Raposo, A.P. Physical and Mechanical Properties of Gypsum-Based Materials with Addition of Padel Balls Residuals. Gen. Sci. Incl. Soc. Sci. (SSRN) 2022, 17, 4165234. [Google Scholar] [CrossRef]
- Ma, Z.; Shen, J.; Wang, C.; Wu, H. Characterization of sustainable mortar containing high-quality recycled manufactured sand crushed from recycled coarse aggregate. Cem. Concr. Compos. 2022, 132, 104629. [Google Scholar] [CrossRef]
- Hamdaoui, O.; Ibos, L.; Mazioud, A. Thermophysical characterization of Posidonia Oceanica marine fibers intended to be used as an insulation material in Mediterranean buildings. Const. Buil. Mat. 2018, 180, 68–76. [Google Scholar] [CrossRef]
- Hamdaoui, O.; Limam, O.; Ibos, L.; Mazioud, A. Thermal and mechanical properties of hardened cement paste reinforced with Posidonia-Oceanica natural fibers. Const. Buil. Mat. 2021, 269, 121339. [Google Scholar] [CrossRef]
- Asimakopoulos, G.; Baikousi, M.; Salmas, C.; Bourlinos, A.B.; Zboril, R.; Karakassides, M.A. Advanced Cr(VI) sorption properties of activated carbon produced via pyrolysis of the “Posidonia oceanica” seagrass. J. Hazard. Mater. 2021, 405, 124274. [Google Scholar] [CrossRef]
- Spyrou, A.V.; Tantis, L.; Baikousi, M.; Bourlinos, A.B.; Salmas, C.E.; Zboril, R.; Karakassides, M.A. The use of activated bio-carbon derived from “Posidonia oceanica” sea-waste for Lithium-Sulfur batteries development. Sustain. Energy Technol. Assess. 2022, 53, 102748. [Google Scholar] [CrossRef]
- Aliabdo, A.A.; Abd Elmoaty, A.E.M.; Aboshama, A.Y. Utilization of waste glass powder in the production of cement and concrete. Const. Buil. Mat. 2016, 124, 866–877. [Google Scholar] [CrossRef]
- What Is Correction Factor. Available online: https://itstillruns.com/correction-factor-7268119.html (accessed on 1 January 2020).
- Kim, J.; Yoon, S.; Koo, J.; Bak, J.; Kim, Y.S. TDC-based horizontal leakage area estimation in multiunit residential buildings: Three correction factors. Build. Environ. 2021, 192, 107630. [Google Scholar] [CrossRef]
- Wang, W. On the finite width correction factor in prediction models for fatigue crack growth in built-up bonded structures. Eng. Fract. Mech. 2020, 235, 107156. [Google Scholar] [CrossRef]
- UNE-EN 13279-1. Gypsum Binders and Gypsum Plasters-Part 1: Definitions and Requirements. Com. Euro. Norm. Brus. 2008. Available online: https://infostore.saiglobal.com/preview/98695407147.pdf?sku=871214_saig_nsai_nsai_2071540 (accessed on 30 June 2009).
- Djoudi, A.; Khenfer, M.M.; Bali, A.; Bouziani, T. Effect of the addition of date palm fibers on thermal properties of plaster concrete: Experimental study and modeling. J. Adhes. Sci. Technol. 2014, 28, 2100–2111. [Google Scholar] [CrossRef]
- Djoudi, A. Performance of date palm fibres reinforced plaster concrete. Int. J. Phys. Sci. 2012, 7, 2845–2853. [Google Scholar] [CrossRef]
- European Standard EN 12620: 2002 Has the Status of a DIN Standard. Aggreg. Concr. 2003. Available online: https://standards.iteh.ai/catalog/standards/cen/fcd7ee1c-07b2-4ffc-8d73-99ee636c014e/en-12620-2002-pra1 (accessed on 1 April 2003).
- NF EN 1097-6: Tests for Mechanical and Physical Properties of Aggregates—Part 6: Determination of the Particle Density and Water Absorption. 2014. Available online: https://standards.iteh.ai/catalog/standards/cen/efd7df30-eac1-4445-90eb-9b2958fb2564/en-1097-6-2013 (accessed on 11 December 2013).
- Ma, B.; Jin, Z.; Su, Y.; Lu, W.; Qi, H.; Hu, P. Utilization of hemihydrate phosphogypsum for the preparation of porous sound absorbing material. Const. Buil. Mat. 2020, 234, 117346. [Google Scholar] [CrossRef]
- NF EN 196-6: Methods of Testing Cements—Part 1: Determination of Mechanical Resistance. 1995. Available online: https://fr.scribd.com/document/472596502/reference-des-normes (accessed on 20 August 1995).
- Vegas, F.; Mlleto, C.; Ivorra, S.; Baeza, F.F.J. Checking gypsum as structural material. Ap. Mec. Mat. 2011, 117, 1576–1579. [Google Scholar] [CrossRef]
- Mokhtar, R. Contribution in the study of the durability of plaster mortar based on sand of dunes reinforced by date palm fibers. Civ. Eng. Res. J. 2018, 2575–8950. [Google Scholar] [CrossRef]
- Kuqo, A.; Mai, C. Mechanical properties of lightweight gypsum composites comprised of seagrass Posidonia oceanica and pine (Pinus sylvestris) wood fibers. Const. Buil. Mat. 2021, 282, 122714. [Google Scholar] [CrossRef]
- Hassan, A.; Isa, M.M.; Ishak, Z.M.; Ishak, N.A.; A Rahman, N.; Md Salleh, F. Characterization of sodium hydroxide-treated kenaf fibres for biodegradable composite application. High Perform. Polym. 2018, 30, 890–899. [Google Scholar] [CrossRef]











| Materials | P | S | G | PO | POT |
|---|---|---|---|---|---|
| Apparent volumic mass [kg/m3] | 0.80 | 1.34 | 1.37 | 0.08 | 0.07 |
| The fineness modulus | - | 1.15 | - | - | - |
| Sieve size (<80 µm) [%] | ≤80 | 36 | - | - | - |
| Material (M1) | Material (M2) | ||||
|---|---|---|---|---|---|
| Before Volume Correction (BVC) | After Volume Correction (AVC) | ||||
| Xv M1 | Xv M2 | W/(M1 + M2) | Xv M2 | W/(M1 + M2) | |
| % | % | % | |||
| Mixing plan (A): M1 = S; M2 = P | |||||
| P Ref | 0 | 100 | 1.24 | 100 | 1.24 |
| S1 | 10 | 90 | 1.05 | 81.6 | 1.24 |
| S2 | 20 | 80 | 0.88 | 80 | 0.88 |
| S3 | 30 | 70 | 0.72 | 78.3 | 0.64 |
| S4 | 40 | 60 | 0.59 | 76.7 | 0.47 |
| S5 | 50 | 50 | 0.47 | 75 | 0.34 |
| Mixing plan (B): M1 = G; M2 = P + S | |||||
| S2(A) Ref | 0 | 100 | 0.88 | 100 | 0.88 |
| S1 | 15 | 85 | 0.75 | 85 | 0.75 |
| S2 | 30 | 70 | 0.64 | 86.9 | 0.54 |
| S3 | 45 | 55 | 0.55 | 88.9 | 0.41 |
| S4 | 60 | 40 | 0.48 | 90.9 | 0.33 |
| Mixing plan (C): M1 = PO or POT; M2 = P + S + G | |||||
| S1(B) Ref | 0 | 100 | 0.75 | 100 | 0.75 |
| S1 | 15 | 85 | 0.8 | 85 | 0.8 |
| S2 | 30 | 70 | 0.88 | 70.9 | 0.86 |
| S3 | 45 | 55 | 0.98 | 56.8 | 0.95 |
| S4 | 60 | 40 | 1.13 | 42.7 | 1.06 |
Disclaimer/Publisher’s Note: The statements, opinions and data contained in all publications are solely those of the individual author(s) and contributor(s) and not of MDPI and/or the editor(s). MDPI and/or the editor(s) disclaim responsibility for any injury to people or property resulting from any ideas, methods, instructions or products referred to in the content. |
© 2023 by the authors. Licensee MDPI, Basel, Switzerland. This article is an open access article distributed under the terms and conditions of the Creative Commons Attribution (CC BY) license (https://creativecommons.org/licenses/by/4.0/).
Share and Cite
Guedri, A.; Yahya, K.; Hamdi, N.; Baeza-Urrea, O.; Wagner, J.-F.; Zagrarni, M.F. Properties Evaluation of Composite Materials Based on Gypsum Plaster and Posidonia Oceanica Fibers. Buildings 2023, 13, 177. https://doi.org/10.3390/buildings13010177
Guedri A, Yahya K, Hamdi N, Baeza-Urrea O, Wagner J-F, Zagrarni MF. Properties Evaluation of Composite Materials Based on Gypsum Plaster and Posidonia Oceanica Fibers. Buildings. 2023; 13(1):177. https://doi.org/10.3390/buildings13010177
Chicago/Turabian StyleGuedri, Abdessalam, Kawthar Yahya, Noureddine Hamdi, Oscar Baeza-Urrea, Jean-Frank Wagner, and Mohamed Faouzi Zagrarni. 2023. "Properties Evaluation of Composite Materials Based on Gypsum Plaster and Posidonia Oceanica Fibers" Buildings 13, no. 1: 177. https://doi.org/10.3390/buildings13010177
APA StyleGuedri, A., Yahya, K., Hamdi, N., Baeza-Urrea, O., Wagner, J.-F., & Zagrarni, M. F. (2023). Properties Evaluation of Composite Materials Based on Gypsum Plaster and Posidonia Oceanica Fibers. Buildings, 13(1), 177. https://doi.org/10.3390/buildings13010177

