Restoring Force Model for Composite-Shear Wall with Concealed Bracings in Steel-Tube Frame
Abstract
:1. Introduction
2. Composite-Shear Wall with Concealed Bracings in Steel-Tube Frame
3. Numerical Simulation of the Seismic Performances of Test Pieces
3.1. Numerical Simulations and Validation of Seismic Performances of Test Pieces
- (1)
- Computation model
- (2)
- Loading scheme
- (3)
- Constitutive relations and yield criteria
- (4)
- Finite Element Simulation Boundary Condition Setting
3.2. Analysis of the Computation Results and Validation
- (1)
- Failure morphology of the test pieces:
- (2)
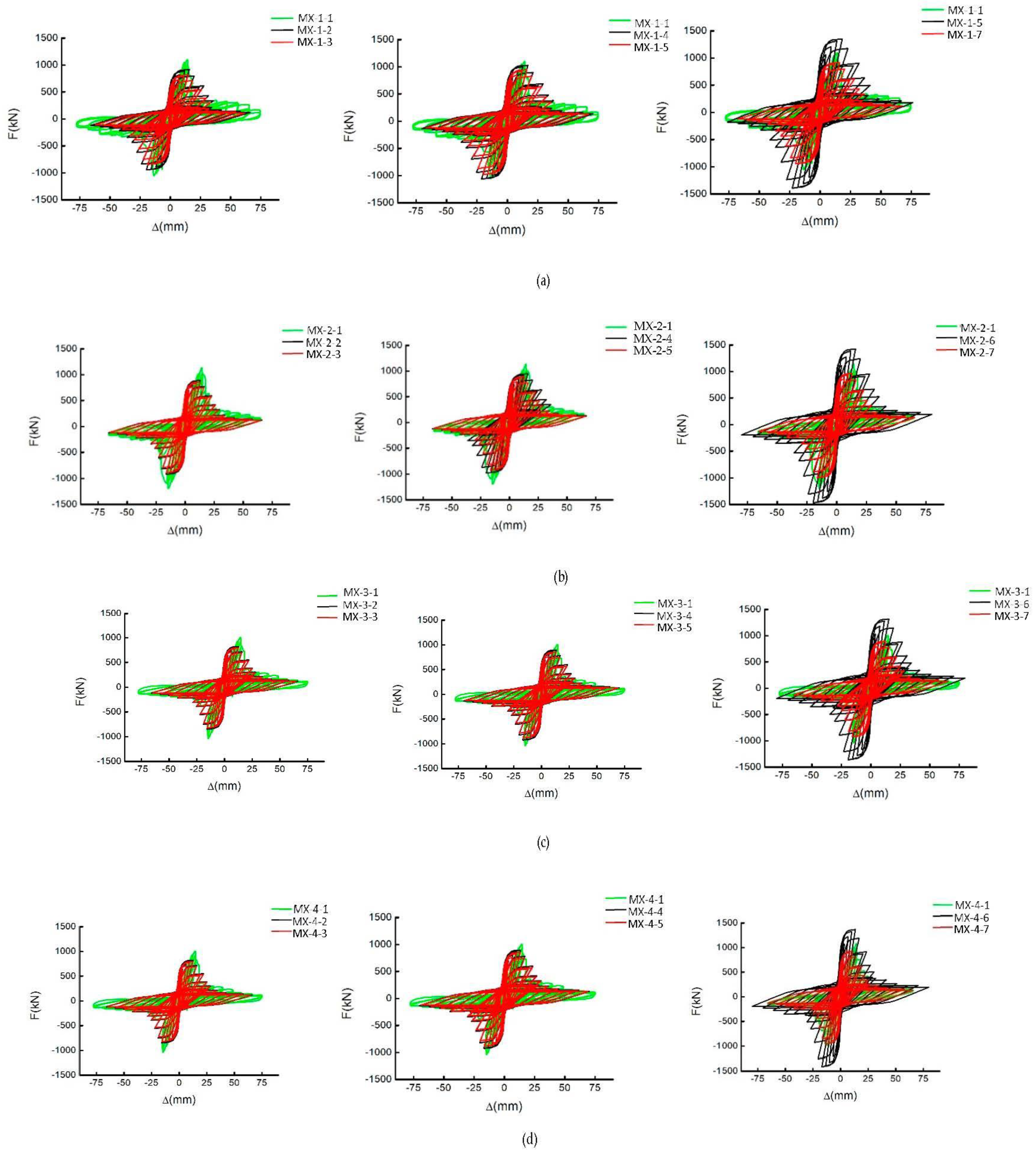
- Hysteretic curve
- (3)
- Skeleton curve:
- (4)
- Effects of varying parameters on seismic performance of test pieces:
4. Establishment and Validation of the Restoring Force Model
4.1. Construction of the Skeleton Curve
4.2. Stiffness Degradation Curve
4.3. Establishment of the Restoring Force Model
- The loading curve is traced along the O-A-O-A1 path. The test piece is still in the elastic region, and A and A1 are the positive and negative yield points of the test piece, respectively.
- The loading and unloading curves are traced along the A-B-1-B1-2-B path. The test piece is in the elastoplastic region before reaching the ultimate load point. The coordinates of B and B1 are regarded as 0.5 times the coordinates of the peak load point in this segment. Moreover, 1 and 2 are the forward and reverse zero-loading points, respectively. Their ordinates are calculated from the unloading stiffness fitting curve.
- The loading and unloading curves are along the path B-C-3-C1-4-C. Within this segment, the test piece transitions from the hardening to the peak stage. C and C1 are the forward and reverse peak-loading points, respectively. Furthermore, 3 and 4 are the forward and reverse zero-loading points, respectively. Their ordinates are calculated from the unloading stiffness fitting curve.
- The loading and unloading curves are along the path C-D-5-D1-6-D. Within this segment, the bearing capacity of the test piece decreases rapidly, which indicates the failure stage. The coordinates of D and D1 are considered to be equal to 0.8 times those of the peak-loading points. Further, 5 and 6 are the forward and reverse zero-loading points, respectively. Their ordinates are calculated from the unloading stiffness fitting curve.
- The loading and unloading curves are along the path D-E-7-E1-8-E. The bearing capacity of the test piece reaches the ultimate limit. E and E1 are the respective points at which the forward and reverse loads decrease suddenly. Moreover, 7 and 8 are the forward and reverse zero-unloading points, respectively. Their ordinates are calculated from the unloading stiffness fitting curve.
- The loading and unloading curves are along the E-F-9-F1-10-F path. During this stage, the bearing capacity of the test piece remains constant as a function of displacement. The abscissas of F and F1 are regarded to be equal to 0.8 times that of the peak load point. Further, 9 and 10 are the forward and reverse zero-loading points, respectively. Their ordinates are calculated from the unloading stiffness fitting curve.
- The loading and unloading curves are along the path F-G-11-G1-12-G. The test piece has now undergone failure. G and G1 are the failure loading points, and 11 and 12 are the forward and reverse zero-loading points, respectively. Their ordinates are calculated from the unloading stiffness fitting curve.
- Points B, D, F, G, B1, D1, F1, and G1 shown in the figure represent sudden decreases in the load. The coordinates of these points are determined based on the rules listed above.
4.4. Validation of Restoring Force Model
5. Conclusions
- In previous studies [34,35], low-cyclic, reversed loading tests were performed on six 1/2 scale composite-shear wall test pieces with concealed bracings and steel tube frames. Based on these results, the study performed low cyclic reversed loading simulations of 28 virtual test pieces in ABAQUS. The stress contour, failure morphology, hysteretic curve, and skeleton curve of each test piece were obtained from numerical simulations. By performing regression analysis on the stiffness degradation data, the study obtained the stiffness degradation function, and then developed a quadric-linear restoring force model for a composite shear wall with a steel tube frame and concealed bracings.
- The study analyzed the effects of different controlling parameters on the seismic performance of the structure by modifying the wallboard thickness, strength of the recycled concrete, and axial compression ratio of the composite shear wall model with concealed bracings and a steel tube frame. The results indicated that the bearing capacity of the composite shear wall decreased as a function of the axial compression ratio. However, increasing the wallboard thickness and the strength of the recycled concrete leads to increased bearing capacity and lateral stiffness of the composite-shear wall.
- The composite-shear wall with a steel-tube frame and concealed bracings exhibited excellent seismic performance. This structure can be used as an earthquake-resistant component to construct buildings with high-seismic intensity in rural areas.
Author Contributions
Funding
Informed Consent Statement
Conflicts of Interest
References
- Rodgers, J.E.; Mahin, S.A. Effects of connection fractures on global behavior of steel moment frames subjected to earthquakes. J. Struct. Eng. 2006, 132, 78–88. [Google Scholar] [CrossRef]
- Li, W. Seismic performance of CFST column to steel beam joint with RC slab: Joint model. J. Constr. Steel Res. 2012, 73, 66–79. [Google Scholar] [CrossRef]
- Xu, S.Y.; Zhang, J. Axial–shear–flexure interaction hysteretic model for RC columns under combined actions. Eng. Struct. 2012, 34, 548–563. [Google Scholar] [CrossRef]
- Penizen, J. Dynamic response of elasto-plastic frames. J. Struct. Div. ASCE 1962, 88, 1322–1340. [Google Scholar] [CrossRef]
- Clough, R.W.; Johnston, S.B. Effect of stiffness degradation on earthquake ductility requirements. In Proceedings of the 2nd Japan Earthquake Engineering Symposium, Tokyo, Japan, 1966. [Google Scholar]
- Sucuoglu, H.; Erberik, A. Energy-based hysteresis and damage models for deteriorating systems. Earthq. Eng. Struct. Dyn. 2004, 33, 69–88. [Google Scholar] [CrossRef]
- Shi, Y.; Wang, M.; Wang, Y. Experimental and constitutive model study of structural steel under cyclic loading. J. Constr. Steel Res. 2011, 67, 1185–1197. [Google Scholar] [CrossRef]
- Wang, M.; Shi, Y.; Wang, Y. Equivalent constitutive model of steel with degradation and damage. J. Constr. Steel Res. 2012, 79, 101–114. [Google Scholar] [CrossRef]
- Takeda, T.; Sozen, M.A.; Nielson, N.N. Reinforced concrete response to simulated earthquakes. J. Struct. Div. ASCE 1970, 96, 2557–2572. [Google Scholar] [CrossRef]
- Lignos, D.G. Sidesway Collapse of Deteriorating Structural System under Seismic Excitations. Ph.D. Thesis, Stanford University, Stanford, CA, USA, 2008. [Google Scholar]
- Park, Y.J.; Reinhorn, A.M.; Kunnath, S.K. IDARC: 1987 Inelastic Damage Analysis of Reinforced Concrete Frame-Shear-Wall Structures; Technical Report No. NCEER-87-0008; State University of New York: Buffalo, NY, USA, 1987. [Google Scholar]
- Song, J.K.; Pincheira, J.A. Spectral displacement demands of stiffness and strength degrading systems. Earthq. Spectra 2000, 16, 817–851. [Google Scholar] [CrossRef]
- Ibarra, L.F.; Medina, R.A.; Krawinkler, H. Hysteretic models that incorporate strength and stiffness deterioration. Earthq. Eng. Struct. Dyn. 2005, 34, 1489–1511. [Google Scholar] [CrossRef]
- Mostaghel, N. Analytical description of pinching, degrading hysteretic systems. J. Eng. Mech. 1999, 125, 216–224. [Google Scholar] [CrossRef]
- Della, C.G.; de Matteis, G.; Landolfo, R. Seismic analysis of MR steel frames based on refined hysteretic models of connections. J. Constr. Steel Res. 2002, 58, 1331–1345. [Google Scholar] [CrossRef]
- Ramberg, W.; Osgood, W.R. Description of Stress-Strain Curves by Three Parameters; Technical Note; NACA: Washington, DC, USA, 1943; Volume 902.
- Charalampakis, A.E.; Koumousis, V.K. Identification of Bouc–Wen hysteretic systems by a hybrid evolutionary algorithm. J. Sound Vib. 2008, 314, 571–585. [Google Scholar] [CrossRef]
- Wang, M. Damage and Degradation Behaviors of Steel Frames under Severe Earthquake. Ph.D. Thesis, Tsinghua University, Beijing, China, 2013. (In Chinese). [Google Scholar]
- Amde, A.M.; Mirmiran, A. A new hysteresis model for steel members. Int. J. Numer. Methods Eng. 1999, 45, 1007–1023. [Google Scholar] [CrossRef]
- Sivaselvan, M.V.; Reinhorn, A.M. Hysteretic models for deteriorating inelastic structures. J. Eng. Mech. 2000, 126, 633–640. [Google Scholar] [CrossRef]
- Wang, Q.; Shao, Y. Compressive performances of concrete filled Square CFRP-Steel Tubes (S-CFRP-CFST). Steel Compos. Struct. 2014, 16, 455–480. [Google Scholar] [CrossRef]
- Wang, Q.-L.; Li, J.; Shao, Y.-B.; Zhao, W.-J. Flexural Performances of Square Concrete Filled CFRP-Steel Tubes (S-CF-CFRP-ST). Adv. Struct. Eng. 2015, 18, 1319–1344. [Google Scholar] [CrossRef]
- Yongbo, S.; Qingli, W. Flexural performance of circular concrete filled CFRP-steel tubes. Adv. Steel Constr. 2015, 11, 127–149. [Google Scholar]
- Zhang, Y.; Shi, H. Hysteretic Model for Flexure-shear Critical Reinforced Concrete Columns. J. Earthq. Eng. 2017, 22, 1639–1661. [Google Scholar] [CrossRef]
- Du, G.-F.; Bie, X.-M.; Li, Z.; Guan, W.-Q. Study on constitutive model of shear performance in panel zone of connections composed of CFSSTCs and steel-concrete composite beams with external diaphragms. Eng. Struct. 2018, 155, 178–191. [Google Scholar] [CrossRef]
- Du, G.; Juan, J.; Zhang, J.; Li, Y.; Zhang, J.; Zeng, L. Experimental study on hysteretic model for L-shaped concrete-filled steel tubular column subjected to cyclic loading. Thin-Walled Struct. 2019, 144, 106278. [Google Scholar] [CrossRef]
- Yang, T.; Wang, S.-L.; Liu, W. Restoring-force model of modified RAC columns with silica fume and hybrid fiber. J. Cent. South Univ. 2017, 24, 2674–2684. [Google Scholar] [CrossRef]
- Papadopoulos, V. Numerical and Experimental Investigations of Nonlinear Behavior of RC Member and Slab-Column Assemblies in Bridges. Master’s Thesis, University of California, San Diego, CA, USA, 2015. [Google Scholar]
- Zhao, J.; Dun, H. A restoring force model for steel fiber reinforced concrete shear walls. Eng. Struct. 2014, 75, 469–476. [Google Scholar] [CrossRef]
- Yan, C.; Yang, D.; Jia, J.; Ma, Z.J. Hysteretic model of SRUHSC column and SRC beam joints considering damage effects. Mater. Struct. 2017, 50, 88. [Google Scholar] [CrossRef]
- Sigariyazd, M.A.; Joghataie, A.; Attari, N.K.A. Analysis and design recommendations for diagonally stiffened steel plate shear walls. Thin-Walled Struct. 2016, 103, 72–80. [Google Scholar] [CrossRef]
- Ma, H.; Xue, J.; Zhang, X.; Luo, D. Seismic performance of steel-reinforced recycled concrete columns under low cyclic loads. Constr. Build. Mater. 2013, 48, 229–237. [Google Scholar] [CrossRef]
- Ma, H.; Dong, J.; Liu, Y.; Yang, D. Cyclic loading tests and shear strength of composite joints with steel-reinforced recycled concrete columns and steel beams. Eng. Struct. 2019, 199, 109605. [Google Scholar] [CrossRef]
- Jia, S.; Cao, W.; Zhang, Y. Low reversed cyclic loading tests for integrated precast structure of lightweight wall with single-row reinforcement under a lightweight steel frame. R. Soc. Open Sci. 2018, 5, 181965. [Google Scholar] [CrossRef]
- Jia, S.; Cao, W.; Ren, L. Experimental study on seismic performance for fabricated composite structure of lightweight steel frame-lightweight wall with concealed support. J. Build. Struct. 2018, 39, 48–57. [Google Scholar] [CrossRef]
- Park, R. Evaluation of ductility of structures and structural assemblages from laboratory testing. Bull. N. Z. Natl. Soc. Earthq. Eng. 1989, 22, 155–166. [Google Scholar] [CrossRef]
- Lykidis, G.C.; Spiliopoulos, K.V. An efficient numerical simulation of the cyclic loading experiments on RC structures. Comput. Concr. 2014, 13, 343–359. [Google Scholar] [CrossRef]
- De Maio, U.; Greco, F.; Leonetti, L.; Blasi, P.N.; Pranno, A. A cohesive fracture model for predicting crack spacing and crack width in reinforced concrete structures. Eng. Fail. Anal. 2022, 139, 106452. [Google Scholar] [CrossRef]
- Suizi, J.; Wanlin, C.; Zibin, L. Experimental study on seismic performance of a low-energy consumption composite wall structure of a pre-fabricated lightweight steel frame. R. Soc. Open Sci. 2019, 6, 181965. [Google Scholar] [CrossRef] [PubMed]
- Jia, P.; Zhao, W.; Du, X.; Chen, Y.; Zhang, C.; Bai, Q.; Wang, Z. Study on ground settlement and structural deformation for large span subway station using a new pre-supporting system. R. Soc. Open Sci. 2019, 6, 181035. [Google Scholar] [CrossRef]
- Lei, B.; Liu, H.; Yao, Z.; Tang, Z. Experimental study on the compressive strength, damping and interfacial transition zone properties of modified recycled aggregate concrete. R. Soc. Open Sci. 2020, 6, 190813. [Google Scholar] [CrossRef] [PubMed]
- Jia, S.; Cao, W.; Wang, R.; Liu, W.; Ren, L. Seismic test on fabricated composite structure of Lightweight steel frame–thin slab for low- rise housing. J. Southeast Univ. 2018, 48, 323–329. (In Chinese) [Google Scholar] [CrossRef]
- GB 50011-2010; Code for Seismic Design of Buildings. Standards Press of China: Beijing, China, 2016. (In Chinese)
- GBT 50081-2002; Ordinary Concrete Mechanics Performance Test Method Standard. China Building Industry Press: Beijing, China, 2002. (In Chinese)
- Abaqus, F. ABAQUS Analysis User’s Manual 6.14-EF; Dassault Systems Simulia Corp.: Providence, RI, USA, 2014. [Google Scholar]
















| Test Piece No. | Type of Concealed Bracing | Thickness of Wallboard | Axial Compression Ratio | Spacing between Reinforcement Bars | Reinforcement Ratio of the Distribution Bars |
|---|---|---|---|---|---|
| MX-1 | Concealed steel bar bracing | 60 mm | 0.39 | 100 mm | 0.33% |
| MX-2 | Concealed steel plate bracing | 60 mm | 0.39 | 100 mm | 0.33% |
| MX-3 | Concealed steel bar bracing | 60 mm | 0.39 | 150 mm | 0.22% |
| MX-4 | Concealed steel plate bracing | 60 mm | 0.39 | 150 mm | 0.22% |
| MX-5 | Concealed steel bar bracing | 60 mm | 0.39 | 200 mm | 0.16% |
| MX-6 | Concealed steel plate bracing | 60 mm | 0.39 | 200 mm | 0.16% |
| Strength Grade | Amount of the Materials Used in the Recycled Concrete (kg m−3) | ||||||
|---|---|---|---|---|---|---|---|
| Cement | Fly Ash | Mineral Powder | Sand | Recycled Aggregate | Water | Water Reducer | |
| C40 | 369 | 79 | 79 | 841 | 841 | 181 | 3.5 |
| Type of Steel | Plate Thickness (Diameter)/mm | Yield Strength fy/MPa | Tensile Strength fu/MPa | Elongation δ/% | Elastic Modulus E/MPa |
|---|---|---|---|---|---|
| Distribution bar/Concealed steel bar bracing | 5 | 680 | 786 | 5.5 | 2.09 × 105 |
| Frame steel plate/Connected steel lathings/Concealed steel plate bracing | 4 | 309 | 467 | 25.27 | 2.11 × 105 |
| Square steel tube | 4 | 375 | 477 | 23.23 | 2.18 × 105 |
| Test Piece No. | Type of Concealed Bracing | Strength of Recycled Concrete | Thickness of Wallboard (mm) | Axial Compression Ratio | Spacing between the Distribution Bars (mm) |
|---|---|---|---|---|---|
| MX-1-1 | Concealed steel bar bracing | C40 | 60 | 0.38 | 100 |
| MX-1-2 | Concealed steel bar bracing | C30 | 60 | 0.38 | 100 |
| MX-1-3 | Concealed steel bar bracing | C25 | 60 | 0.38 | 100 |
| MX-1-4 | Concealed steel bar bracing | C40 | 50 | 0.38 | 100 |
| MX-1-5 | Concealed steel bar bracing | C40 | 40 | 0.38 | 100 |
| MX-1-6 | Concealed steel bar bracing | C40 | 60 | 0.3 | 100 |
| MX-1-7 | Concealed steel bar bracing | C40 | 60 | 0.5 | 100 |
| MX-2-1 | Concealed steel plate bracing | C40 | 60 | 0.38 | 100 |
| MX-2-2 | Concealed steel plate bracing | C30 | 60 | 0.38 | 100 |
| MX-2-3 | Concealed steel plate bracing | C25 | 60 | 0.38 | 100 |
| MX-2-4 | Concealed steel plate bracing | C40 | 50 | 0.38 | 100 |
| MX-2-5 | Concealed steel plate bracing | C40 | 40 | 0.38 | 100 |
| MX-2-6 | Concealed steel plate bracing | C40 | 60 | 0.3 | 100 |
| MX-2-7 | Concealed steel plate bracing | C40 | 60 | 0.5 | 100 |
| MX-3-1 | Concealed steel bar bracing | C40 | 60 | 0.38 | 150 |
| MX-3-2 | Concealed steel bar bracing | C30 | 60 | 0.38 | 150 |
| MX-3-3 | Concealed steel bar bracing | C25 | 60 | 0.38 | 150 |
| MX-3-4 | Concealed steel bar bracing | C40 | 50 | 0.38 | 150 |
| MX-3-5 | Concealed steel bar bracing | C40 | 40 | 0.38 | 150 |
| MX-3-6 | Concealed steel bar bracing | C40 | 60 | 0.3 | 150 |
| MX-3-7 | Concealed steel bar bracing | C40 | 60 | 0.5 | 150 |
| MX-4-1 | Concealed steel plate bracing | C40 | 60 | 0.38 | 150 |
| MX-4-2 | Concealed steel plate bracing | C30 | 60 | 0.38 | 150 |
| MX-4-3 | Concealed steel plate bracing | C25 | 60 | 0.38 | 150 |
| MX-4-4 | Concealed steel plate bracing | C40 | 50 | 0.38 | 150 |
| MX-4-5 | Concealed steel plate bracing | C40 | 40 | 0.38 | 150 |
| MX-4-6 | Concealed steel plate bracing | C40 | 60 | 0.3 | 150 |
| MX-4-7 | Concealed steel plate bracing | C40 | 60 | 0.5 | 150 |
| Young’s Modulus | Poisson’s Ratio | Dilation Angle | Eccentricity | fbo/fco | k | Viscosity Parameter |
|---|---|---|---|---|---|---|
| 34,500 | 0.2 | 30° | 0.1 | 1.16 | 0.667 | 0.009 |
| Assembly Number | Peak Displacement (mm) | Peak Load (kN) |
|---|---|---|
| MX-1 | 14.56 | 1166.75 |
| MX-2 | 13.78 | 1076.78 |
| MX-3 | 14.22 | 1079.90 |
| MX-4 | 12.18 | 1016.27 |
Publisher’s Note: MDPI stays neutral with regard to jurisdictional claims in published maps and institutional affiliations. |
© 2022 by the authors. Licensee MDPI, Basel, Switzerland. This article is an open access article distributed under the terms and conditions of the Creative Commons Attribution (CC BY) license (https://creativecommons.org/licenses/by/4.0/).
Share and Cite
Wei, D.; Suizi, J. Restoring Force Model for Composite-Shear Wall with Concealed Bracings in Steel-Tube Frame. Buildings 2022, 12, 1315. https://doi.org/10.3390/buildings12091315
Wei D, Suizi J. Restoring Force Model for Composite-Shear Wall with Concealed Bracings in Steel-Tube Frame. Buildings. 2022; 12(9):1315. https://doi.org/10.3390/buildings12091315
Chicago/Turabian StyleWei, Ding, and Jia Suizi. 2022. "Restoring Force Model for Composite-Shear Wall with Concealed Bracings in Steel-Tube Frame" Buildings 12, no. 9: 1315. https://doi.org/10.3390/buildings12091315
APA StyleWei, D., & Suizi, J. (2022). Restoring Force Model for Composite-Shear Wall with Concealed Bracings in Steel-Tube Frame. Buildings, 12(9), 1315. https://doi.org/10.3390/buildings12091315
