An Explicit Finite Difference Method for Dynamic Interaction of Damped Saturated Soil Site-Pile Foundation-Superstructure System and Its Shaking Table Analysis
Abstract
:1. Introduction
2. Explicit Difference Method of the System
2.1. Nonlinear Finite Element Equation of Damped System
2.2. Explicit Difference Formulation
2.3. OpenSees Implementation of the Method
- (1)
- Distinguish the node numbers of the soil, pile foundation (superstructure), and pile cap subsystem expressed by different element models;
- (2)
- Based on the explicit difference formulation of different subsystems, namely, Equation (8), the solutions of each node at are deduced according to the results at time and ;
- (3)
- The real solutions are updated according to Equation (11).
2.4. Numerical Verification
3. Shaking Table Test Verification and Analysis
3.1. Experiment Description
3.2. Element and Material Definition
3.3. Boundaries, Damp and Mass of the Superstructure
3.4. Numerical Results and Analysis
- (1)
- Responses and development mechanism of the pore pressure
- (2)
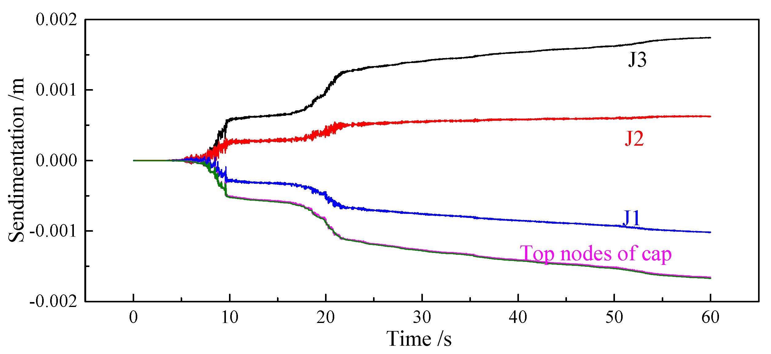
- Lateral deformation and seismic subsidence mechanism of soil
- (3)
- Acceleration responses and structural force mechanism
4. Conclusions
- (1)
- Compared with the implicit method, the proposed explicit difference formulation has the diagonalization of the matrix and the explicit step-by-step recursion formulation, which have the characteristics of decoupling both in time and space;
- (2)
- This proposed method does not need to solve the equations simultaneously, which saves computational time and has high computational efficiency;
- (3)
- Liquefaction significantly affects the acceleration amplitude of the soil, indicating that the liquefied soil dissipates the seismic energy;
- (4)
- For the liquefiable soil layer with an overlying clay layer with an extremely low permeability, a water film layer with a very low shear strength is easily formed, which directly affects the horizontal and vertical discontinuous displacements at the interface, indicating that this material discontinuity results in the discontinuous displacement of the soils on the two sides.
Author Contributions
Funding
Institutional Review Board Statement
Informed Consent Statement
Data Availability Statement
Conflicts of Interest
References
- Zhao, C.G.; You, C.L. Liquefaction and steady state strength. China Civ. Eng. J. 2001, 34, 90–96. (In Chinese) [Google Scholar]
- Meymand, P.J. Shaking Table Scale Model Tests of Nonlinear Soil-Pile-Superstructure Interaction in Soft Clay. Ph.D. Thesis, University of California, Berkeley, CA, USA, 1998; pp. 2–15. [Google Scholar]
- Seed, H.B.; Lee, K.L. Liquefaction of saturated sands during cyclic loading. J. Soil Mech. Found. Div. 1966, 92, 105–134. [Google Scholar] [CrossRef]
- Mori, S.; Namuta, A.; Miwa, S. Feature of Liquefaction Damage During the 1993 Hokkaido Nanseioki Earthquake. In Proceedings of the 29th Annual Conference of Japanese Society of Soil Mechanics and Foundation Engineering, New Delhi, India, June 1994; pp. 1005–1008. [Google Scholar]
- Liu, H.S. Liquefaction characteristics of the Great Hanshin Earthquake in 1995. Earthq. Resist. Eng. 2001, 1, 22–26. (In Chinese) [Google Scholar]
- Xu, P.J. Seismic Response Analysis and Simplified Method of Bridge Pile Fundation in Liquefiable Ground. Ph. D. Thesis, Harbin Institute of Technology, Harbin, China, 2011. (In Chinese). [Google Scholar]
- Cao, Z.Z.; Hou, L.Q.; Yuan, X.M.; Sun, R.; Wang, W.; Chen, L. Characteristics of liquefaction-induced damages during Wenchuan Ms 8.0 earthquake. Rock Soil Mech. 2010, 31, 3549–3555. (In Chinese) [Google Scholar]
- Lu, X.B.; Tan, Q.M.; Wang, S.Y. The advances of liquefaction research on saturated soils. Adv. Mech. 2004, 34, 87–96. (In Chinese) [Google Scholar]
- Yasushi, S.; Ikuo, T.; Kenichi, T.; Kazuhiko, Y.; Hideo, M.; Yukio, T.; Shoichi, S. Mechanism of permanent displacement of ground caused by seismic liquefaction. Soils Found. 1992, 32, 79–96. [Google Scholar]
- You, D.T.L.; Perkins, D.M. Mapping of liquefaction severity index. J. Geotech. Eng. 1987, 113, 1374–1391. [Google Scholar]
- Zhou, Y.D.; Liu, H.L.; Ding, X.F.; Hu, W.X. Reconsolidation volumetric behavior of saturated sand soil after liquefaction. J. Hohai Univ. 2003, 31, 403–406. (In Chinese) [Google Scholar]
- Liu, H.L.; Zhou, Y.D.; Gao, Y.F. Design of static-dynamic dual purpose triaxial compression test apparatus and its application in the study of earthquake-induced large deformation. Dam Obs. Geotech. Tests 2001, 25, 48–51. (In Chinese) [Google Scholar]
- Liu, H.L.; Zhou, Y.D.; Gao, Y.F. Study on the behavior of large ground displacement of sand due to seismic liquefaction. Chin. J. Geotech. Eng. 2002, 24, 142–146. (In Chinese) [Google Scholar]
- Du, X.L.; Lu, D.C. Advances in soil dynamics and geotechnical earthquake engineering. Rock Soil Mech. 2011, 32, 10–20. (In Chinese) [Google Scholar]
- Varghese, R.M.; Latha, G.M. Shaking Table Studies on the Conditions of Sand Liquefaction. In Proceedings of the Geo-Congress 2014 Technical Papers: Geo-Characterization and Modeling for Sustainability, ASCE, Atlanta, GA, USA, 23–26 February 2014; pp. 1244–1253. [Google Scholar]
- Chen, Y.Q.; Lu, X.L. Shaking table testing on seismic liquefaction of soft soil under building footing. J. Wuhan Univ. Hydraul. Electr. Eng. 2003, 1, 59–63. (In Chinese) [Google Scholar]
- Wang, Z.H.; Xu, C.; Zhou, E.Q.; Chen, G. Shaking table test on effects of sand flow on pile in liquefied ground. Earthq. Eng. Eng. Dyn. 2014, 34, 246–251. (In Chinese) [Google Scholar]
- Ling, X.Z.; Wang, D.S.; Wang, Z.Q. Large-scale saking table model test of dynamic soil-pile-bridge structure interaction in ground of liquefaction. China Civ. Eng. J. 2004, 37, 67–72. (In Chinese) [Google Scholar]
- Ling, X.Z.; Wang, L.X.; Wang, D.S.; Wang, Z.-Q.; Wang, C. Study of large-scale shaking table proportional model test of the dynamic property of foundation in unfreedom ground of liquefaction. China J. Highw. Transp. 2005, 18, 34–39. (In Chinese) [Google Scholar]
- Ling, X.Z.; Wang, C.; Wang, Z.Q.; Wang, D. Study on large-scale shaking table proportional model test for free-ground liquefaction arisen from earthquake. Earthq. Eng. Eng. Vib. 2003, 23, 138–143. (In Chinese) [Google Scholar]
- Ling, X.Z.; Tang, L.; Yu, E.Q. Large-scale shaking table test and its numerical simulation of research on build-up behaviour of seismically-induced pore water pressure in liquefiable site. Chin. J. Rock Mech. Eng. 2006, 25, 3998–4003. (In Chinese) [Google Scholar]
- Tang, L.; Ling, X.Z.; Xu, P.J.; Gao, X.; Wang, D. Shake table test of soil-pile groups-bridge structure interaction in liquefiable ground. Earthq. Eng. Eng. Vib. 2010, 9, 39–50. [Google Scholar] [CrossRef]
- Xu, P.J.; Tang, L.; Ling, X.Z.; Gao, X.; Su, L.; Xin, Q.; Zhang, Y. Simplified Analysis Method for Seismic Pile-Soil-Bridge Structure Interaction in Liquefying Ground. J. Jilin Univ. 2010, 40, 1121–1127. (In Chinese) [Google Scholar]
- Tang, L.; Ling, X.Z.; Xu, P.J. Effect of cap type on seismic responses of bridge pile-column pier in liquefiable ground by shaking table test. J. Earthq. Eng. Eng. Vib. 2010, 30, 155–160. (In Chinese) [Google Scholar]
- Wang, M.W. Centrifuge modeling of soil-pile interaction in liquefiable soils subjected to strong motion. Chin. J. Rock Mech. Eng. 2005, 24, 5555–5560. (In Chinese) [Google Scholar]
- McVay, M.; Casper, R.; Shang, T.-I. Lateral Response of Three-Row Groups in Loose to Dense Sands at 3D and 5D Pile Spacing. J. Geotech. Eng. 1995, 121, 436–441. [Google Scholar] [CrossRef]
- McVay, M.; Zhang, L.; Molnit, T.; Lai, P. Centrifuge Testing of Large Laterally Loaded Pile Groups in Sands. J. Geotech. Geoenviron. Eng. 1998, 124, 1016–1026. [Google Scholar] [CrossRef]
- Haigh, S.K.; Madabhushi, S.P.G. Centrifuge modelling of lateral spreading past pile foundations. In Proceedings of the International Conference on Physical Modelling in Geotechnics, St. John’s, NL, Canada, 10–12 July 2002. [Google Scholar]
- Knappett, J.A.; Madabhushi, S.P. Liquefaction-induced settlement of pile groups in liquefiable and laterally spreading soils. J. Geotech. Geoenviron. Eng. 2008, 134, 1609–1618. [Google Scholar] [CrossRef]
- Wang, X.; Ji, B.; Ye, A. Seismic behavior of pile-group-supported bridges in liquefiable soils with crusts subjected to potential scour: Insights from shake-table tests. J. Geotech. Geoenviron. Eng. 2020, 146, 04020030. [Google Scholar] [CrossRef]
- Sahare, A.; Ueda, K.; Uzuoka, R. Influence of the sloping ground conditions and the subsequent shaking events on the pile group response subjected to kinematic interactions for a liquefiable sloping ground. Soil Dyn. Earthq. Eng. 2022, 152, 107036. [Google Scholar] [CrossRef]
- Chiou, J.S.; Huang, T.J.; Chen, C.L.; Chen, C.H. Shaking table testing of two single piles of different stiffnesses subjected to liquefaction induced lateral spreading. Eng. Geol. 2021, 281, 105956. [Google Scholar] [CrossRef]
- Fayez, A.F.; El Naggar, M.H.; Cerato, A.B.; Elgamal, A. Assessment of SSI effects on stiffness of single and grouped helical piles in dry sand from large shake table tests. Bull. Earthq. Eng. 2022, 20, 3077–3116. [Google Scholar] [CrossRef]
- Chen, Y.; Lv, Y.; Wu, K.; Huang, X. Centrifuge shaking table study on the hydrodynamic effects on a pile foundation bridge pier in soft soil under earthquakes. Mar. Struct. 2022, 85, 103261. [Google Scholar] [CrossRef]
- Cui, J.; Zhang, Z.; Tang, L.; Ling, X.; Man, X.; Si, P. P-y curve characteristics of pile group soil dynamic interaction in mildly inclined liquefiable ground. Earthq. Eng. Eng. Dyn. 2021, 5, 154–164. (In Chinese) [Google Scholar]
- Tang, L.; Liu, S.X.; Ling, X.Z.; Liu, Z.; Chen, P.; Fu, X. Research on p-y curves of soil-pile dynamic interaction in liquefiable ground. J. Nat. Disasters 2022, 2, 156–164. (In Chinese) [Google Scholar]
- Valsamis, A.I.; Bouckovalas, G.D.; Dimitriadi, V. Numerical Evaluation of Lateral Spreading Displacements in Layered Soils. In Proceedings of the 4th International Conference on Earthquake Geotechnical Engineering (ISSMGE), Thessaloniki, Greece, 25–28 June 2007. [Google Scholar]
- Valsamis, A.I.; Bouckovalas, G.D.; Papadimitriou, A.G. Parametric investigation of lateral spreading of gently sloping liquefied ground. Soil Dyn. Earthq. Eng. 2010, 30, 490–508. [Google Scholar] [CrossRef]
- Lin, S.S.; Tseng, Y.J.; Liao, J.C.; Wang, C.H.; Lee, W.F. Ground lateral spread effects on single pile using uncoupled analysis method. J. GeoEng. 2006, 1, 51–62. [Google Scholar]
- Su, L.; Wan, H.P.; Li, Y.; Ling, X.-Z. Soil-pile-quay wall system with liquefaction-induced lateral spreading: Experi-mental investigation, numerical simulation, and global sensitivity analysis. J. Geotech. Geoenviron. Eng. 2018, 144, 0401–8087. [Google Scholar] [CrossRef]
- Su, L.; Wan, H.P.; Luo, Y.Z.; Dong, Y.; Niu, F.; Lu, J.; Ling, X.Z.; Elgamal, A.; Arulmoli, A.K. Seismic performance assessment of a pile-supported wharf retrofitted with different slope strengthening strategies. Soil Dyn. Earthq. Eng. 2020, 129, 105903. [Google Scholar] [CrossRef]
- Ghasemi-Fare, O.; Pak, A. Numerical investigation of the effects of geometric and seismic parameters on liquefaction-induced lateral spreading. Soil Dyn. Earthq. Eng. 2016, 89, 233–247. [Google Scholar] [CrossRef]
- Jiang, B.J.; Xian, Q.L.; Zhou, F.L. The influence analysis of the effect of pile-soil contact on the seismic response of the high speed railway bridge. J. Guangzhou Univ. 2016, 1, 57–63. (In Chinese) [Google Scholar]
- Yu, L. Pile-Soil-Structure Synamic Interaction Test and Numerical Simulation. Master’s Thesis, Institute of Engineering Mechanics, CEA, Harbin, China, 2020. (In Chinese). [Google Scholar]
- Yang, Z.H.; Lu, J.C.; Elgamal, A. OpenSees Soil Models and Solid-Fluid Fully Coupled Elements: User’s Manual; Department of Structural Engineering, University of California: San Diego, CA, USA, 2008. [Google Scholar]
- Wang, X.; Ye, A.; Shang, Y.; Zhou, L. Shake-table investigation of scoured RC pile-group-supported bridges in liquefiable and nonliquefiable soils. Earthq. Eng. Struct. Dyn. 2019, 48, 1217–1237. [Google Scholar] [CrossRef]
- Liu, C.; Tang, L.; Ling, X.; Deng, L.; Su, L.; Zhang, X. Investigation of liquefaction-induced lateral load on pile group behind quay wall. Soil Dyn. Earthq. Eng. 2017, 102, 56–64. [Google Scholar] [CrossRef]
- Elgamal, A.; Zeghal, M.; Taboada, V.; Dobry, R. Analysis of Site Liquefaction and Lateral Spreading Using Centrifuge Testing Records. Soils Found. 1996, 36, 111–121. [Google Scholar] [CrossRef] [Green Version]
- Dou, P.F. Experimental Study on Seismic Responses and Dynamic Interaction of Different Site Soil-Structure System. Master’s Thesis, Beijing University of Technology, Beijing, China, 2020. (In Chinese). [Google Scholar]


























| Loose Sand Layer 1 | Dense Sand Layer 2 | Dense Sand Layer 3 | Clay Layer 1 | |
|---|---|---|---|---|
| Density /(ton/m3) | 1.84 | 2.24 | 2.24 | 1.68 |
| Reference shear modulus /kPa | 4.3 × 104 | 4.3×104 | 4.3 × 104 | 1.4 × 104 |
| Reference bulk modulus /kPa | 1.3 × 105 | 1.3×105 | 1.3 × 105 | 4.2 × 104 |
| Friction angle | 33 | 40 | 40 | 0.0 |
| Peak shear strain | 0.1 | 0.1 | 0.1 | 0.1 |
| Reference press/kPa | 100 | 100 | 100 | 100 |
| Press coefficient n | 0.5 | 0.5 | 0.5 | 0.0 |
| Phase transformation angle | 26 | 26 | 26 | - |
| Shear contraction parameter | 0.067 | 0.013 | 0.013 | - |
| Shear dilation parameter | 0.06 | 0.3 | 0.3 | - |
| Number of yield surfaces | 30 | 30 | 30 | 30 |
| Liquefaction parameter | 1 | 1 | 1 | - |
| Initial void ratio e | 0.73 | 0.532 | 0.49 | - |
| Cohesion c/kPa | - | - | - | 35.9 |
| Thickness of element/m | 1.0 | 1.0 | 1.0 | 1.0 |
| Undrained bulk modulus/kPa | 5.2 × 106 | 6.3 × 106 | 6.7 × 106 | 2.2 × 105 |
| Horizontal permeability/(m/s) | 10−4 | 10−3 | 10−3 | 10−5 |
| Vertical permeability/(m/s) | 10−4 | 10−3 | 10−3 | 10−5 |
| Concrete Cover | Core Concrete | |
|---|---|---|
| Compressive strength/kPa | −2.8 × 104 | −3.4 × 104 |
| Peak strain | 0.002 | −0.004 |
| Yield strength/kPa | 0 | −2.1 × 104 |
| Yield strain | −0.008 | −0.014 |
| Steel | ||
| Elastic modulus/kPa | 2.0 × 108 | |
| Yield strength/kPa | 2.5 × 105 | |
| Isotropic hardening modulus/kPa | 0 | |
| Kinematic hardening modulus/kPa | 1.6129 × 106 | |
| Parameters | Clay Layer | Loose Sand Layer | Dense sand Layer | Pile Cap |
|---|---|---|---|---|
| Thickness of element/m | 1.0 | 1.0 | 1.0 | 1.0 |
| Horizontal acceleration of gravity/(m/s2) | 0.0 | 0.0 | 0.0 | 0.0 |
| Vertical acceleration of gravity/(m/s2) | −9.81 | −9.81 | −9.81 | −9.8 |
| Undrained bulk modulus/kPa | 2.2 × 105 | 4.4 × 106 | 5.5 × 106 | - |
| Horizontal permeability/(m/s) | 3 × 10−6 | 3 × 10−4 | 1 × 10−5 | - |
| Vertical permeability/(m/s) | 3 × 10−6 | 3 × 10−4 | 1 × 10−5 | - |
| Parameters | Clay Layer | Parameters | Loose Sand Layer | Dense sand Layer |
|---|---|---|---|---|
| Density /(ton/m3) | 1.4 | Density /(ton/m3) | 1.6 | 1.7 |
| Reference shear modulus /kPa | 1.5 × 104 | Reference shear modulus /kPa | 3.3278 × 104 | 4.0278 × 104 |
| Reference bulk modulus /kPa | 1.1 × 104 | Reference bulk modulus /kPa | 1.2185 × 104 | 2.0185 × 104 |
| Cohesion c/kPa | 18 | Friction angle | 29 | 30 |
| Peak shear strain | 0.1 | Peak shear strain | 0.1 | 0.1 |
| Friction angle | 0.0 | Reference press/kPa | 101 | 101 |
| Reference press | 100 | Press coefficient n | 0.5 | 0.5 |
| Press coefficient n | 0.0 | Phase transformation angle | 29 | 30 |
| Number of yield surfaces | 20 | Shear contraction parameter | 0.087 | 0.087 |
| Shear contraction parameter | 0.18 | 0.18 | ||
| Shear dilation parameter | 0.0 | 0.0 | ||
| Shear dilation parameter | 0.0 | 0.0 | ||
| Number of yield surfaces | 20 | 20 | ||
| Shear contraction parameter | 5 | 5 | ||
| Shear dilation parameter | 3 | 3 | ||
| Liquefaction parameter /kPa | 1 | 1 | ||
| Liquefaction parameter | 0.0 | 0.0 | ||
| Initial void ratio e | 0.85 | 0.85 |
| Compressive Strength | Peak Strain | Yield Strength | Yield Strain | Density | |
|---|---|---|---|---|---|
| Concrete cover | −2.76 × 104 kPa | −0.002 | 0.0 kPa | −0.008 | 2.0 t/m3 |
| Core concrete | −3.45 × 104 kPa | −0.004 | −2.07 × 104 kPa | −0.014 | 2.0 t/m3 |
| Elastic modulus | Yield strength | Isotropic hardening parameter | |||
| Steel | 2.1 × 108/kPa | 2.482 × 105 kPa | 0.02 | ||
| H shaped steel | 2.1 × 108/kPa | 2.482 × 105 kPa | 0.02 | ||
Publisher’s Note: MDPI stays neutral with regard to jurisdictional claims in published maps and institutional affiliations. |
© 2022 by the authors. Licensee MDPI, Basel, Switzerland. This article is an open access article distributed under the terms and conditions of the Creative Commons Attribution (CC BY) license (https://creativecommons.org/licenses/by/4.0/).
Share and Cite
Song, J.; Ma, X.; Jia, K.; Yang, Y. An Explicit Finite Difference Method for Dynamic Interaction of Damped Saturated Soil Site-Pile Foundation-Superstructure System and Its Shaking Table Analysis. Buildings 2022, 12, 1186. https://doi.org/10.3390/buildings12081186
Song J, Ma X, Jia K, Yang Y. An Explicit Finite Difference Method for Dynamic Interaction of Damped Saturated Soil Site-Pile Foundation-Superstructure System and Its Shaking Table Analysis. Buildings. 2022; 12(8):1186. https://doi.org/10.3390/buildings12081186
Chicago/Turabian StyleSong, Jia, Xuelian Ma, Kemin Jia, and Yu Yang. 2022. "An Explicit Finite Difference Method for Dynamic Interaction of Damped Saturated Soil Site-Pile Foundation-Superstructure System and Its Shaking Table Analysis" Buildings 12, no. 8: 1186. https://doi.org/10.3390/buildings12081186
APA StyleSong, J., Ma, X., Jia, K., & Yang, Y. (2022). An Explicit Finite Difference Method for Dynamic Interaction of Damped Saturated Soil Site-Pile Foundation-Superstructure System and Its Shaking Table Analysis. Buildings, 12(8), 1186. https://doi.org/10.3390/buildings12081186

