Seismic Performance Target and Fragility of Masonry Infilled RC Frames under In-Plane Loading
Abstract
:1. Introduction
2. Database of Experimental Tests
3. Seismic Performance Targets of Infilled RC Frame
3.1. Definition of Damage States (DSs)
3.2. IDR Limits at DSs of Each Test
3.3. Seismic Performance Target
4. Fragility Analysis of Masonry Infilled RC Frames
4.1. Design of Structures
4.2. Modeling of Infilled RC Frame
4.3. Selected Ground Motions
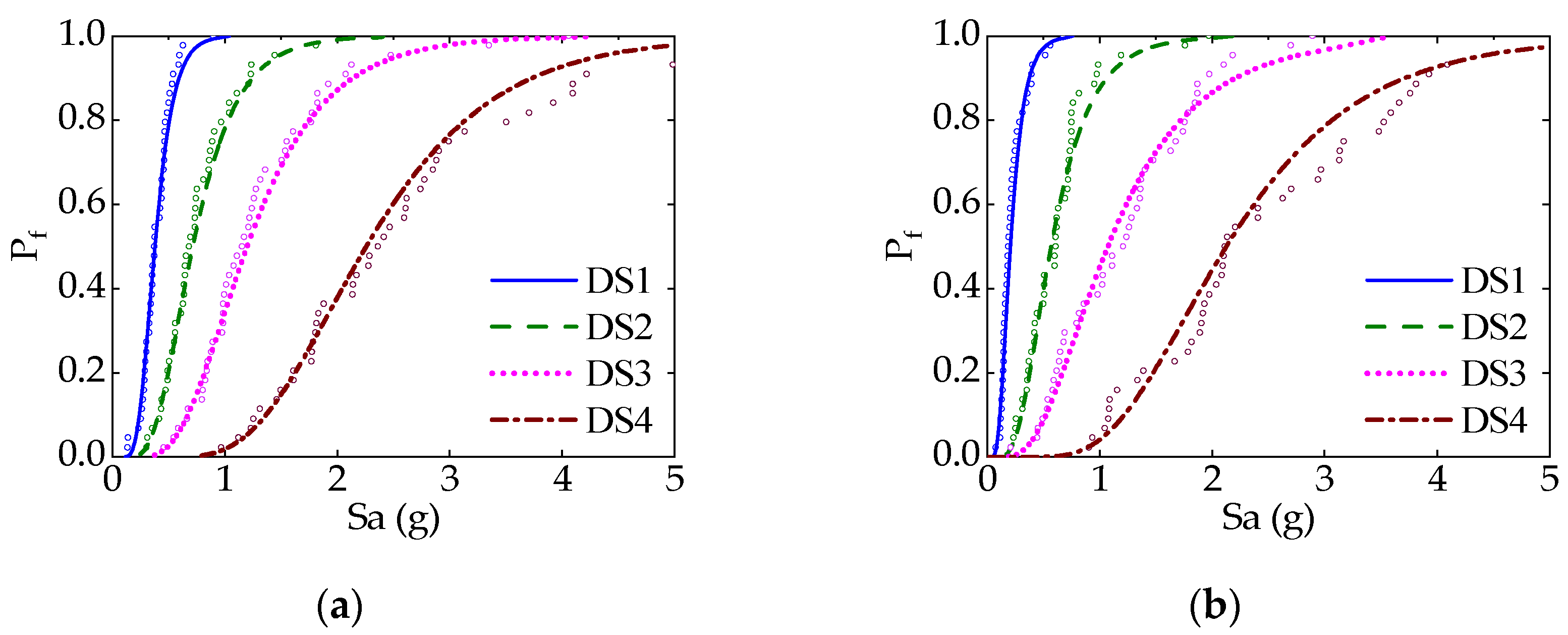
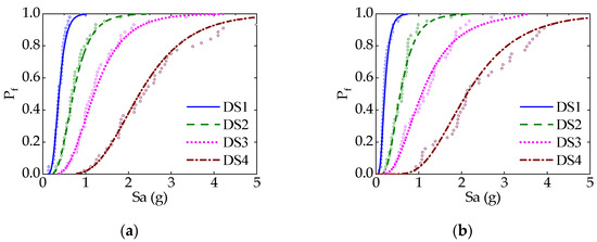
4.4. Structure Fragility Analysis
5. Conclusions
Author Contributions
Funding
Institutional Review Board Statement
Informed Consent Statement
Acknowledgments
Conflicts of Interest
References
- Shah, S.A.A.; Shahzada, K.; Samiullah, Q. Influence of Brick Masonry Infilled Wall on Seismic Performance of Reinforced Concrete Frame. NED Univ. J. Res. 2020, 17, 15–29. [Google Scholar] [CrossRef]
- Khan, N.; Monti, G.; Nuti, C.; Vailati, M. Effects of Infills in the Seismic Performance of an RC Factory Building in Pakistan. Buildings 2021, 11, 276. [Google Scholar] [CrossRef]
- Mazza, F.; Donnici, A. In-plane-out-of-plane single and mutual interaction of masonry infills in the nonlinear seismic analysis of RC framed structures. Eng. Struct. 2022, 257, 114076. [Google Scholar] [CrossRef]
- Zhai, C.H.; Wang, X.M.; Kong, J.C.; Wei, Y.L.; Jin, W.; Zhao, Y. Progress and prospect of seismic performance of masonry-infilled RC frames. J. Harbin Inst. Technol. 2018, 50, 1–13. [Google Scholar] [CrossRef]
- Demirel, I.O.; Yakut, A.; Binici, B. Seismic performance of mid-rise reinforced concrete buildings in Izmir Bayrakli after the 2020 Samos earthquake. Eng. Fail. Anal. 2022, 137, 106277. [Google Scholar] [CrossRef]
- Mazza, F. Base-isolation of a hospital pavilion against in-plane-out-of-plane seismic collapse of masonry infills. Eng. Struct. 2021, 228, 111504. [Google Scholar] [CrossRef]
- Malla, S.; Karanjit, S.; Dangol, P.; Gautam, D. Seismic Performance of High-Rise Condominium Building during the 2015 Gorkha Earthquake Sequence. Buildings 2019, 9, 36. [Google Scholar] [CrossRef] [Green Version]
- Bai, J.; He, J.; Li, C.; Jin, S.; Yang, H. Experimental investigation on the seismic performance of a novel damage-control replaceable RC beam-to-column joint. Eng. Struct. 2022, 267, 114692. [Google Scholar] [CrossRef]
- Furtado, A.; Teresa de Risi, M. Recent Findings and Open Issues concerning the Seismic Behaviour of Masonry Infill Walls in RC Buildings. Adv. Civ. Eng. 2020, 2020, 9261716. [Google Scholar] [CrossRef] [Green Version]
- Arumugam, V.; Keshav, L.; Achuthan, A.; Dasappa, S.; Chelladurai, S.J.S. Seismic Evaluation of Advanced Reinforced Concrete Structures. Adv. Mater. Sci. Eng. 2022, 2022, 4518848. [Google Scholar] [CrossRef]
- Adhikari, R.; Rupakhety, R.; Giri, P.; Baruwal, R.; Subedi, R.; Gautam, R.; Gautam, D. Seismic Fragility Analysis of Low-Rise RC Buildings with Brick Infills in High Seismic Region with Alluvial Deposits. Buildings 2022, 12, 72. [Google Scholar] [CrossRef]
- Baggio, C.; Bernardini, A.; Colozza, R.; Corazza, L.; Della Bella, M.; Di Pasquale, G.; Dolce, M.; Goretti, A.; Martinelli, A.; Orsini, G. Field Manual for Post-Earthquake Damage and Safety Assessment and Short Term Countermeasures (AeDES); European Commission—Joint Research Centre—Institute for the Protection and Security of the Citizen, EUR, 22868; European Commission: Brussels, Belgium, 2007. [Google Scholar]
- Colangelo, F. Drift-sensitive non-structural damage to masonry-infilled reinforced concrete frames designed to Eurocode 8. Bull. Earthq. Eng. 2013, 11, 2151–2176. [Google Scholar] [CrossRef]
- Cardone, D.; Perrone, G. Developing fragility curves and loss functions for masonry infill walls. Earthq. Struct. 2015, 9, 257–279. [Google Scholar] [CrossRef]
- Chiozzi, A.; Miranda, E. Fragility functions for masonry infill walls with in-plane loading. Earthq. Eng. Struct. Dyn. 2017, 46, 2831–2850. [Google Scholar] [CrossRef]
- Kong, J.C.; Zhai, C.H.; Li, S.; Xie, L.L. Study on in-plane seismic performance of solid masonry-infilled RC frames. China Civ. Eng. J. 2012, 45, 137–141. [Google Scholar] [CrossRef]
- Zhai, C.H.; Kong, J.C.; Wang, X.M.; Chen, Z.Q. Experimental and Finite Element Analytical Investigation of Seismic Behavior of Full-Scale Masonry Infilled RC Frames. J. Earthq. Eng. 2016, 20, 1171–1198. [Google Scholar] [CrossRef]
- ASCE. Seismic Rehabilitation of Existing Buildings; American Society of Civil Engineers: Reston, VA, USA, 2007. [Google Scholar]
- He, A.; Zhao, Z.Z. Study on fragility of autoclaved aerated concrete block infills. Earthq. Eng. Eng. Dyn. 2020, 40, 178–185. [Google Scholar] [CrossRef]
- Liu, J.Y. Performance-Based Seismic Evaluation for Infilled Frames. Master’s Thesis, Xi’an University of Architecture and Technology, Xi’an, China, 2008. [Google Scholar]
- Zhang, M.Y. Components Performance-Based Seismic Vulnerability Analysis of Masonry infilled Frame Structures. Master’s Thesis, Institute of Engineering Mechanics, China Earthquake Administration, Harbin, China, 2017. [Google Scholar]
- FEMA. Prestandard and Commentary for the Seismic Rehabilitation of Buildings; FEMA P356; Federal Emergency Management Agency: Washington, DC, USA, 2000.
- GB/T 24335-2009; Classification of Earthquake Damage to Buildings and Special Structures. Institute of Engineering Mechanics, C.E.A: Harbin, China, 2009.
- Masi, A.; Manfredi, V.; Cetraro, G. In-plane performance of RC infilled frames under seismic actions: Experimental versus code provision values. In Brick and Block Masonry—Trends, Innovations and Challenges; Modena, C., da Porto, F., Valluzzi, M.R., Eds.; CRC Press: Boca Raton, FL, USA, 2016. [Google Scholar]
- Sassun, K.; Sullivan, T.J.; Morandi, P.; Cardone, D. Characterising the in-plane seismic performance of infill masonry. Bull. N. Z. Soc. Earthq. Eng. 2016, 49, 98–115. [Google Scholar] [CrossRef]
- Tong, Y.S.; Qian, G.F. Deformation Behavior and Load Capacity of Reinforced Concrete Frames with Brick Filled Walls. J. Xi’an Univ. Archit. Technol. Nat. Sci. Ed. 1985, 17, 1–21. [Google Scholar]
- Shi, Q.X.; Tong, Y.S.; Qian, G.F. Earthquake response analysis for reinforced concrete frames with masonry filler walls. J. Xi’an Univ. Archit. Technol. Nat. Sci. Ed. 1996, 28, 71–75. [Google Scholar]
- Xiong, H. The Research on Analysis of Frame Filled Wall under Seismic Action. Master’s Thesis, Hunan University, Changsha, China, 2013. [Google Scholar]
- Sun, Y.D.; Xiao, J.Z.; Zhou, D.Y.; Zhang, P. Expermiental research on seismic behavior of recycled concrete frame filled with recycled lightweight masonry blocks. Earthq. Eng. Eng. Dyn. 2005, 25, 126–133. [Google Scholar] [CrossRef]
- Angel, R.; Abrams, D.; Shapiro, D.; Uzarski, J.; Webster, M. Behavior of Reinforced Concrete Frames with Masonry Infills; University of Illinois Engineering Experiment Station, College of Engineering, University of Illinois at Urbana-Champaign: Champaign, IL, USA, 1994. [Google Scholar]
- Cavaleri, L.; Di Trapani, F. Cyclic response of masonry infilled RC frames: Experimental results and simplified modeling. Soil Dyn. Earthq. Eng. 2014, 65, 224–242. [Google Scholar] [CrossRef]
- Chiou, T.C.; Hwang, S.J. Tests on cyclic behavior of reinforced concrete frames with brick infill. Earthq. Eng. Struct. Dyn. 2015, 44, 1939–1958. [Google Scholar] [CrossRef]
- Colangelo, F. Pseudo-dynamic seismic response of reinforced concrete frames infilled with non-structural brick masonry. Earthq. Eng. Struct. Dyn. 2005, 34, 1219–1241. [Google Scholar] [CrossRef]
- Haider, S. In-Plane Cyclic Response of Reinforced Concrete Frames with Unreinforced Masonry Infills. Master’s Thesis, Rice University, Houston, TX, USA, 1995. [Google Scholar]
- Mansouri, A.; Marefat, M.S.; Khanmohammadi, M. Experimental evaluation of seismic performance of low-shear strength masonry infills with openings in reinforced concrete frames with deficient seismic details. Struct. Des. Tall Spec. Build. 2014, 23, 1190–1210. [Google Scholar] [CrossRef]
- Misir, I.S.; Ozcelik, O.; Girgin, S.C.; Yucel, U. The Behavior of Infill Walls in RC Frames Under Combined Bidirectional Loading. J. Earthq. Eng. 2015, 20, 559–586. [Google Scholar] [CrossRef]
- Pereira, M.F.P.; Pereira, M.; Ferreira, J.; Lourenço, P.B. Behavior of masonry infill panels in RC frames subjected to in plane and out of plane loads. In Proceedings of the 7th International Conference AMCM 2011, Krakow, Poland, 13–15 June 2011. [Google Scholar]
- Schwarz, S.; Hanaor, A.; Yankelevsky, D.Z. Experimental Response of Reinforced Concrete Frames with AAC Masonry Infill Walls to In-plane Cyclic Loading. Structures 2015, 3, 306–319. [Google Scholar] [CrossRef]
- Sabouri-Ghomi, S.; Payandehjoo, B. Analytical and Experimental Studies of the Seismic Performance of Drawer Bracing System (DBS). Int. J. Civ. Eng. 2017, 15, 1087–1096. [Google Scholar] [CrossRef]
- Žarnić, R.; Tomazevic, M. Study of the Behavior of Masonry Infilled Reinforced Concrete Frames Subjected to Seismic Loading—Part One; Report ZRMK/IKPI-84/04; Institute for Testing and Research in Materials and Structures: Ljubljana, Yugoslavia, 1984. [Google Scholar]
- Vasconcelos, G.; Akhoundi, F.; Loureno, P.B.; Palha, C.; Silva, L. In-plane and out-of plane experimental characterization of RC masonry infilled frames. In Proceedings of the 6th International Conference on Mechanics and Materials in Design, Ponta Delgada, Portugal, 26–30 July 2015. [Google Scholar]
- Zovkic, J.; Sigmund, V.; Guljas, I. Cyclic testing of a single bay reinforced concrete frames with various types of masonry infill. Earthq. Eng. Struct. Dyn. 2013, 42, 1131–1149. [Google Scholar] [CrossRef]
- Huang, Q.X. Study on Seismic Behavior and Elastic-Plastic Analysis Method for Seismic Responses of RC Frame Infilled with New Masonry. Ph.D. Thesis, Huaqiao University, Quanzhou, China, 2011. [Google Scholar]
- Li, J.H.; Xue, Y.T.; Xiao, C.Z.; Chang, Z.Z.; Li, Y. Experimental study on seismic performance of full-scale RC frame infilled with autoclaved aerated concrete blocks. China Civ. Eng. J. 2015, 48, 12–18. [Google Scholar] [CrossRef]
- Gu, X.L.; CHEN, G.L.; Ma, J.Y.; Li, X. Experimental study on mechanical behavior of concrete perforated brick walls under cyclic loading. J. Build. Struct. 2010, 31, 123–131. [Google Scholar] [CrossRef]
- Jiang, L.X.; Zheng, Q.W. Tests of seismic behavior of reinforced concrete frames with infilled wall or strengthened infilled wall. Ind. Constr. 2009, 39, 40–47. [Google Scholar] [CrossRef]
- Lin, C.; Guo, Z.X.; Huang, Q.X.; Ye, Y.; Chai, Z.L.; Liu, Y. Experimental study on seismic behavior of full-scale infilled RC frames. J. Build. Struct. 2018, 39, 30–37. [Google Scholar] [CrossRef]
- Zhou, X.J.; Li, Z.X.; Xu, D.D.; Jiang, X.L. Experiment on Seismic Behavior of Flexible Connection Masonry Infilled Frame Structure. J. Tianjin Univ. Sci. Technol. 2015, 48, 155–166. [Google Scholar] [CrossRef]
- Su, Q.W.; Zhang, Y.; Xu, Z.Y.; Cai, H.R. Full-Scale Tests on Seismic Behavior of RC Frames Infilled with Hollow Bricks. J. SouthWest Jiaotong Univ. 2017, 52, 532–539. [Google Scholar] [CrossRef]
- Cheng, J.T.; Tang, X.R. Nonlinear finite element analysis of reinforced concrete frame structures with opening masonry infilled wall. J. Suzhou Univ. Sci. Technol. Eng. Technol. 2013, 26, 24–27. [Google Scholar]
- Lin, C. Seismic Performance and Interaction Mechanism of Infilled RC Frames Using New Masonry Blocks. Ph.D. Thesis, Huaqiao University, Quanzhou, China, 2019. [Google Scholar]
- Li, X.D. Experimental and Analytical Study of Seismic Performance of Lightweight Masonry-Infilled RC Frames. Master’s Thesis, Harbin Institute of Technology, Harbin, China, 2013. [Google Scholar]
- Xiong, F.; Wang, P.; Zhang, W.B.; Chen, J. Experimental Study on the Seismic Behavior of RC Frame with Fiber Gypsum Infilled Wall. Adv. Eng. Sci. 2017, 49, 1–9. [Google Scholar] [CrossRef]
- Tang, X.R.; Zhou, Z.Y.; Liu, L.H.; Yang, L. Experimental study on seismic behavior of multi-story masonry infilled reinforced concrete frame structures. J. Build. Struct. 2012, 33, 72–81. [Google Scholar] [CrossRef]
- Kakaletsis, D.; Karayannis, C. Experimental investigation of infilled r/c frames with eccentric openings. Struct. Eng. Mech. 2007, 26, 231–250. [Google Scholar] [CrossRef]
- Yang, W.J.; Chen, L.Q.; Zhu, X.Q. Experimental study on seismic behavior of concrete perforated brick walls. Eng. Mech. 2008, 25, 126–133. [Google Scholar]
- Hao, T.; Liu, L.X.; Wang, R.Y. Experimental study on seismic performance of concrete perforated brick wall. Struct. Units Units Archit. 2008, 22–25. [Google Scholar]
- Zhang, Y.T.; Shen, D.M. Quasi-static Experimental Study on Concrete Perforated Brick Wall. Build. Struct. 2007, 3, 91–93. [Google Scholar] [CrossRef]
- Wu, F.B.; Zhu, H.F.; Ouyang, J.; Jiang, W.; Zhou, X.H. Experiment on Seismic Behavior of Concrete Horizontal-hole Hollow Blocks Infilled Wall-RC Frames. J. Archit. Civ. Eng. 2016, 33, 7–13. [Google Scholar]
- Zhan, H. Experimental Research on the Seismic Behavior and Shear-Bearing Capacity of the Walls Made of KP1 Burned Shale-Farinosecoal Porous Bricks. Master’s Thesis, Hunan University, Changsha, China, 2001. [Google Scholar]
- Wang, Y.H.; Ai, J.; Zhang, C.F.; Lv, Z.T. Experimental study on prestressed concrete block wall under low cyclic reversed loading. Build. Struct. 2003, 4, 3–7. [Google Scholar] [CrossRef]
- Zhao, Q.B. Experimental Research on the Improvement of Seismic Behavior of Load Bearing Masonry made of Autoclaved Aerated Concrete. Master’s Thesis, Tianjin University, Tianjin, China, 2005. [Google Scholar]
- Liao, Q.; Li, B.X.; Shi, Y.X.; Meng, C.Y. Experimental study on seismic performance of RC frames filled with lightweight wallboards. J. Build. Struct. 2018, 39, 44–51. [Google Scholar] [CrossRef]
- Cheng, C.Y.; Wu, M.S. Experimental study on seismic performance of yitong aerated concrete masonry wall. In Proceedings of the 2005 National Masonry Structure Basic Theory and Engineering Application Conference, Shanghai, China, 17 December 2005; pp. 99–104. [Google Scholar]
- Xia, G.M. Testing Study on Anti-Seismic Behavior of the Masonry Walls of Nonbearing Anti-Seismic Energy-Saving Bliocks. Master’s Thesis, Dalian University of Technology, Dalian, China, 2004. [Google Scholar]
- Dautaj, A.D.; Kadiri, Q.; Kabashi, N. Experimental study on the contribution of masonry infill in the behavior of RC frame under seismic loading. Eng. Struct. 2018, 165, 27–37. [Google Scholar] [CrossRef]
- Alwashali, H.; Sen, D.; Jin, K.; Maeda, M. Experimental investigation of influences of several parameters on seismic capacity of masonry infilled reinforced concrete frame. Eng. Struct. 2019, 189, 11–24. [Google Scholar] [CrossRef]
- Cheng, C.Y.; Zhu, B.L.; Wang, X.M.; Zheng, Y. Seismic performance of lime-sand brick wall under low cyclic loading. Sichuan Build. Sci. 1989, 5–9. [Google Scholar]
- Bergami, A.V.; Nuti, C. Experimental tests and global modeling of masonry infilled frames. Earthq. Struct. 2015, 9, 281–303. [Google Scholar] [CrossRef]
- Calvi, G.M.; Bolognini, D. Seismic Response of Reinforced Concrete Frames Infilled with Weakly Reinforced Masonry Panels. J. Earthq. Eng. 2008, 5, 153–185. [Google Scholar] [CrossRef]
- Gazić, G.; Sigmund, V. Cyclic testing of single-span weak frames with masonry infill. Građevinar 2016, 68, 617–633. [Google Scholar]
- Stylianidis, K.C. Experimental Investigation of Masonry Infilled R/C Frames. Open Constr. Build. Technol. J. 2012, 6, 194–212. [Google Scholar] [CrossRef] [Green Version]
- GB 50011-2010; Code for Seismic Design of Buildings. Ministry of Housing and Urban-rural Construction of the People’s Republic of China: Beijing, China, 2010.
- Yan, Q.X. Seismic Resilience Assessment of RC Frame Structure Considering Mainshock-Aftershock Effect. Master’s Thesis, Harbin Institute of Technology, Harbin, China, 2021. [Google Scholar]
- Pinching4 Material. Available online: https://opensees.berkeley.edu/wiki/index.php/Pinching4_Material (accessed on 20 May 2022).
- Liberatore, L.; Noto, F.; Mollaioli, F.; Franchin, P. In-plane response of masonry infill walls: Comprehensive experimentally-based equivalent strut model for deterministic and probabilistic analysis. Eng. Struct. 2018, 167, 533–548. [Google Scholar] [CrossRef]
- Furtado, A.; Rodrigues, H.; Arêde, A. Modelling of masonry infill walls participation in the seismic behaviour of RC buildings using OpenSees. Int. J. Adv. Struct. Eng. 2015, 7, 117–127. [Google Scholar] [CrossRef] [Green Version]
- Blasi, G.; De Luca, F.; Aiello, M.A. Brittle failure in RC masonry infilled frames: The role of infill overstrength. Eng. Struct. 2018, 177, 506–518. [Google Scholar] [CrossRef] [Green Version]
- Kumar, M.; Rai, D.C.; Jain, S.K. Ductility Reduction Factors for Masonry-Infilled Reinforced Concrete Frames. Earthq. Spectra 2015, 31, 339–365. [Google Scholar] [CrossRef]
- FEMA. Quantification of Building Seismic Performance Factors; FEMA P695; Federal Emergency Management Agency: Washington, DC, USA, 2009.









| Number | Literatures | Number of Selected Tests | Research Parameters |
|---|---|---|---|
| 1 | Xiong (2013) [28] | 4 | axial compression ratio, opening |
| 2 | Sun, et al. (2005) [29] | 1 | masonry material |
| 3 | Shi, et al. (1996) [27] | 1 | opening |
| 4 | Angel, et al. (1994) [30] | 5 | in-plane damage |
| 5 | Cavaleri, et al. (2014) [31] | 1 | masonry material |
| 6 | Chiou, et al. (2015) [32] | 2 | Height, axial compression ratio |
| 7 | Colangelo (2005) [33] | 6 | in-plane damage |
| 8 | Haider (1995) [34] | 3 | in-plane damage |
| 9 | Mansouri, et al. (2014) [35] | 1 | opening |
| 10 | Misir, et al. (2015) [36] | 1 | masonry material |
| 11 | Pereira, et al. (2011) [37] | 1 | masonry material |
| 12 | Schwarz, et al. (2015) [38] | 5 | height-width ratio |
| 13 | Sabouri-Ghomi, et al. (2017) [39] | 3 | boundary condition |
| 14 | Žarnić, et al. (1984) [40] | 1 | masonry material |
| 15 | Vasconcelos, et al. (2015) [41] | 1 | loading method |
| 16 | Zovkic, et al. (2013) [42] | 1 | masonry material |
| 17 | Huang (2011) [43] | 5 | masonry material, height-width ratio |
| 18 | Li, et al. (2015) [44] | 1 | boundary condition, masonry material |
| 19 | Gu, et al. (2010) [45] | 5 | masonry material |
| 20 | Jiang, et al. (2009) [46] | 2 | panel reinforcement |
| 21 | Lin, et al. (2018) [47] | 4 | masonry material |
| 22 | Zhou, et al. (2015) [48] | 1 | boundary condition, wall-filling rate |
| 23 | Su, et al. (2017) [49] | 1 | opening |
| 24 | Cheng, et al. (2013) [50] | 1 | opening |
| 25 | Lin (2019) [51] | 4 | masonry material |
| 26 | Li (2013) [52] | 1 | masonry material |
| 27 | Xiong, et al. (2017) [53] | 2 | masonry material |
| 28 | Tang, et al. (2012) [54] | 5 | number of layers, spans |
| 29 | Kakaletsis, et al. (2007) [55] | 1 | opening |
| 30 | Yang, et al. (2008) [56] | 2 | height-width ratio, opening, constructional column |
| 31 | Hao, et al. (2008) [57] | 3 | height-width ratio |
| 32 | Zhang, et al. (2007) [58] | 2 | masonry material |
| 33 | Wu, et al. (2016) [59] | 1 | masonry material |
| 34 | Zhan (2001) [60] | 6 | mortar strength |
| 35 | Wang, et al. (2003) [61] | 1 | prestress |
| 36 | Zhao (2005) [62] | 1 | Reinforcement, constructional column |
| 37 | Liao, et al. (2018) [63] | 3 | masonry material |
| 38 | Cheng, et al. (2005) [64] | 2 | constructional column |
| 39 | Xia (2004) [65] | 5 | boundary condition |
| 40 | Dautaj, et al. (2018) [66] | 7 | frame strength |
| 41 | Alwashali, et al. (2019) [67] | 5 | concrete strength, mortar strength |
| 42 | Cheng, et al. (1989) [68] | 8 | masonry material, opening |
| 43 | Bergami, et al. (2015) [69] | 2 | with or without block |
| 44 | Calvi, et al. (2008) [70] | 2 | in-plane damage |
| 45 | Gazić, et al. (2016) [71] | 5 | masonry material, mortar strength |
| 46 | C. Stylianidis (2012) [72] | 7 | strengthening |
| Damage Stage | Brief Description |
|---|---|
| DS1 | Minor cracks at the junction of the wall, gray joints or wall frames, no damage to blocks, no slippage in cracks |
| DS2 | Wall extension mortar joints or blocks with obvious cracks greater than 2mm, local block crushing, and cracks with small slips appear |
| DS3 | Large cracks appear, the crack width is generally greater than 4mm, cracks have obvious slippage, masonry unit large area crushing and spalling |
| Stage | State | Elastic/Plastic State | Infill Wall State | RC Frame State | Definition |
|---|---|---|---|---|---|
| DS1 | Basically intact | Elastic | No cracks to small cracks | Intact | No cracks to small cracks |
| DS2 | Slight damage | Elastic-plastic | Inclined cracks appear and gradually penetrate the wall, and mortar peels off at the cracks | Tiny cracks | Small cracks to Penetration cracks |
| DS3 | Moderate damage | Plastic | Corner damage blocks fall down, and the cracks develop into an X shape | Increased cracks | Penetration cracks to peak load |
| DS4 | Severe damage | Failed | Mass shedding of mortar and broken blocks | Beam and column yield and plastic hinges appear | Peak load to infill collapse |
| # | Reference | Label | DS1(%) | DS2(%) | DS3(%) | DS4(%) |
|---|---|---|---|---|---|---|
| 1 | Xiong (2013) [28] | W-1 | 0.39 | - | 0.93 | 2.00 |
| 2 | W-2 | 0.39 | - | 0.82 | 1.26 | |
| 3 | W-3 | 0.47 | - | 1.11 | 1.34 | |
| 4 | W-4 | 0.63 | - | 1.52 | 2.41 | |
| 5 | Sun, et al. (2005) [29] | RCF | 0.08 | - | 2.13 | 3.39 |
| 6 | Shi, et al. (1996) [27] | Infill wall frame | 0.04 | 0.21 | 0.79 | 3.33 |
| 7 | Angel, et al. (1994) [30] | 2a | 0.17 | - | - | - |
| 8 | 3a | 0.11 | - | - | - | |
| 9 | 6a | 0.13 | - | - | - | |
| 10 | 7a | 0.13 | - | - | - | |
| 11 | 8a | 0.20 | - | - | - | |
| 12 | Cavaleri, et al. (2014) [31] | s1b2 | - | - | 0.50 | 1.53 |
| 13 | Chiou, et al. (2015) [32] | B39L | 0.13 | 0.50 | - | 2.00 |
| 14 | B83T | 0.13 | 0.50 | - | 2.00 | |
| 15 | Colangelo (2005) [33] | C1 | 0.03 | 0.05 | - | 1.42 |
| 16 | C2 | 0.02 | 0.11 | - | - | |
| 17 | L1 | 0.03 | 0.16 | - | 1.63 | |
| 18 | L2 | 0.03 | 0.16 | - | 2.28 | |
| 19 | N1 | - | - | 0.21 | 2.03 | |
| 20 | N2 | 0.03 | - | 0.20 | 2.16 | |
| 21 | Haider (1995) [34] | A1 | 0.25 | - | - | 2.50 |
| 22 | B1 | 0.25 | - | - | 2.50 | |
| 23 | D2 | 0.25 | - | - | 2.50 | |
| 24 | Mansouri, et al. (2014) [35] | S | 0.05 | - | - | 3.50 |
| 25 | Misir, et al. (2015) [36] | SWF | - | - | - | - |
| 26 | Pereira, et al. (2011) [37] | Ref_Wall | - | - | 0.20 | - |
| 27 | Schwarz, et al. (2015) [38] | 1000 | 0.33 | - | 1.20 | 2.67 |
| 28 | 1100 | 0.10 | - | 0.30 | 2.33 | |
| 29 | 0000 | - | - | 0.70 | 2.67 | |
| 30 | 0100 | 0.33 | - | 0.40 | 4.00 | |
| 31 | 0101 | - | - | 1.20 | - | |
| 32 | Sabouri-Ghomi, et al. (2017) [39] | CU2 | 0.05 | - | - | 1.01 |
| 33 | CU5 | 0.06 | - | - | 1.23 | |
| 34 | CU6 | 0.07 | - | - | 1.38 | |
| 35 | Žarnić, et al. (1984) [40] | M2 | 0.11 | - | - | - |
| 36 | Vasconcelos, et al. (2015) [41] | 2 | 0.11 | - | 1.15 | 1.43 |
| 37 | Zovkic, et al. (2013) [42] | Model 3 | 0.06 | - | - | - |
| 38 | Huang (2011) [43] | AFKJ1 | 0.20 | 0.33 | 4.40 | 4.00 |
| 39 | AFKJ2 | 0.10 | 0.20 | 2.20 | 4.00 | |
| 40 | AFKJ3 | 0.10 | 0.14 | 1.69 | 4.00 | |
| 41 | AFKJ4 | 0.10 | 0.14 | 4.40 | 4.00 | |
| 42 | AFKJ5 | 0.10 | 0.50 | 4.40 | 4.00 | |
| 43 | Li, et al. (2015) [44] | W2 | 0.06 | - | 1.62 | - |
| 44 | Gu, et al. (2010) [45] | PD10-5-0.6 | 0.13 | - | 0.18 | 0.25 |
| 45 | PD10-10-0.6 | 0.19 | - | 0.28 | 0.36 | |
| 46 | PM-0.3 | 0.10 | - | 0.15 | 0.20 | |
| 47 | PM-0.6 | 0.04 | - | 0.35 | 0.37 | |
| 48 | PM-0.9 | 0.26 | - | 0.35 | 0.37 | |
| 49 | Jiang, et al. (2009) [46] | F2 | 0.09 | 0.22 | - | - |
| 50 | F3 | 0.10 | 0.19 | - | - | |
| 51 | Lin, et al. (2018) [47] | IF1 | 0.19 | 0.33 | 0.94 | 1.61 |
| 52 | IF2 | 0.06 | 0.20 | 0.62 | 1.56 | |
| 53 | IF3 | 0.19 | 0.33 | 0.47 | 1.68 | |
| 54 | IF4 | 0.06 | 0.20 | 1.52 | 2.68 | |
| 55 | Zhou, et al. (2015) [48] | GWF2 | 0.13 | 0.14 | 1.80 | 3.09 |
| 56 | Su, et al. (2017) [49] | HBF-1 | 0.04 | - | 0.25 | 0.37 |
| 57 | Cheng, et al. (2013) [50] | MWF-11 | - | - | 0.61 | 1.02 |
| 58 | Lin (2019) [51] | IF1 | 0.18 | 0.30 | 0.91 | 1.46 |
| 59 | IF2 | 0.09 | 0.13 | 0.76 | 1.66 | |
| 60 | IF5 | 0.06 | 0.18 | 1.82 | 2.85 | |
| 61 | IF6 | 0.18 | 0.30 | 0.68 | 1.88 | |
| 62 | Li (2013) [52] | Infill wall RC frame | 0.14 | 0.27 | 0.70 | 1.10 |
| 63 | Xiong, et al. (2017) [53] | KJQ-1 | 0.13 | 0.53 | 1.43 | 2.46 |
| 64 | KJQ-3 | 0.09 | 0.48 | 0.78 | 1.49 | |
| 65 | Tang, et al. (2012) [54] | GPF-1 | 0.01 | 0.50 | 1.44 | 2.68 |
| 66 | MGPF-0 | 0.17 | - | 1.96 | 2.66 | |
| 67 | MGPF-1 | 0.01 | - | 0.58 | 1.20 | |
| 68 | MGPF-2 | 0.06 | - | 0.86 | 2.72 | |
| 69 | MGPF-3 | 0.07 | - | 1.09 | 2.63 | |
| 70 | Kakaletsis, et al. (2007) [55] | S | - | - | 0.83 | 1.20 |
| 71 | Yang, et al. (2008) [56] | W-1a | 0.35 | - | 0.77 | 0.90 |
| 72 | W-3a | 0.16 | - | 0.39 | 0.52 | |
| 73 | Hao, et al. (2008) [57] | W-5 | 0.03 | - | 0.22 | 0.30 |
| 74 | W-6 | 0.03 | - | 0.20 | 0.33 | |
| 75 | W-7 | 0.04 | - | 0.17 | 0.67 | |
| 76 | Zhang, et al. (2007) [58] | KZ1 | 0.08 | 0.77 | - | - |
| 77 | KZ2 | 0.07 | - | |||
| 78 | Wu, et al. (2016) [59] | QKJ | 0.09 | 0.23 | - | - |
| 79 | Zhan (2001) [60] | W5.0-1 | 0.12 | - | 0.27 | 0.54 |
| 80 | W5.0-2 | 0.06 | 0.18 | 0.27 | - | |
| 81 | W5.0-3 | 0.05 | 0.07 | 0.33 | - | |
| 82 | W7.5-1 | 0.12 | 0.15 | 0.18 | - | |
| 83 | W7.5-2 | 0.05 | 0.08 | 0.11 | - | |
| 84 | W7.5-3 | 0.02 | 0.05 | 0.08 | - | |
| 85 | Wang, et al. (2003) [61] | W1 | 0.16 | - | 0.67 | 1.33 |
| 86 | Zhao (2005) [62] | ZS-1 | 0.05 | - | 0.21 | 0.35 |
| 87 | Liao, et al. (2018) [63] | M-1 | 0.12 | 1.45 | 2.69 | - |
| 88 | M-2 | 0.09 | 0.67 | 2.87 | - | |
| 89 | M-3 | 0.07 | 0.48 | 0.71 | - | |
| 90 | Cheng, et al. (2005) [64] | CZ-1 | 0.10 | - | - | 0.14 |
| 91 | CZ-2 | 0.09 | - | - | 0.09 | |
| 92 | Xia (2004) [65] | A1 | 0.09 | - | 0.19 | - |
| 93 | A2 | 0.08 | - | 0.19 | - | |
| 94 | A3 | 0.12 | - | 1.08 | - | |
| 95 | B2 | 0.13 | - | 1.03 | - | |
| 96 | B3 | 0.70 | - | 1.18 | - | |
| 97 | Dautaj, et al. (2018) [66] | 2 | 0.30 | 0.30 | 1.90 | 6.00 |
| 98 | 6 | 0.26 | 0.26 | 1.28 | 6.00 | |
| 99 | 8 | 0.18 | 0.18 | 1.38 | 5.25 | |
| 100 | 9 | 0.16 | 0.16 | 1.50 | - | |
| 101 | 10 | 0.24 | - | 1.48 | - | |
| 102 | 11 | 0.11 | - | 1.35 | - | |
| 103 | 13 | 0.28 | - | 1.88 | - | |
| 104 | Alwashali, et al. (2019) [67] | F-0.4 | 0.10 | - | 0.80 | - |
| 105 | F-0.6 | 0.08 | 0.10 | 0.50 | - | |
| 106 | F-1.5 | - | - | 0.60 | - | |
| 107 | WM | 0.10 | - | 0.60 | - | |
| 108 | WB | 0.10 | - | 0.70 | - | |
| 109 | Cheng, et al. (1989) [68] | QZ-TJ-02 | 0.03 | - | 0.17 | - |
| 110 | QZ-TJ-01 | 0.05 | - | 0.20 | - | |
| 111 | QZ-TJ-04 | 0.06 | - | 0.29 | - | |
| 112 | QZ-TJ-03 | 0.03 | - | 0.17 | - | |
| 113 | QZ-TJ-09 | 0.02 | - | 0.14 | - | |
| 114 | QZ-TJ-14 | 0.02 | - | 0.28 | - | |
| 115 | QZ-TJ-13 | 0.04 | - | 0.27 | - | |
| 116 | QZ-TJ-15 | 0.03 | - | 0.25 | - | |
| 117 | Bergami, et al. (2015) [69] | FT1 | 0.16 | - | 1.21 | - |
| 118 | FT2 | 0.09 | - | 1.08 | - | |
| 119 | Calvi, et al. (2008) [70] | 2 | 0.06 | 0.18 | - | - |
| 120 | 6 | 0.06 | 0.20 | - | - | |
| 121 | Gazić, et al. (2016) [71] | O3 bpm | 0.16 | - | - | - |
| 122 | O4 bpm | 0.18 | - | - | - | |
| 123 | O1 bpm | 0.11 | - | - | - | |
| 124 | O1 bvm | 0.06 | - | - | - | |
| 125 | O1 bpm * | 0.05 | - | - | - | |
| 126 | C. Stylianidis (2012) [72] | F1,1,6 | 0.12 | 0.31 | 0.81 | - |
| 127 | FN1,1,6 | 0.06 | 0.28 | 0.73 | - | |
| 128 | F1,1,9 | 0.14 | 0.31 | 0.81 | - | |
| 129 | FN1,1,9 | 0.08 | 0.31 | 0.81 | - | |
| 130 | FN1 | 0.07 | 0.28 | 0.72 | - | |
| 131 | FN2 | 0.09 | 0.31 | 0.81 | - | |
| 132 | FN6 | 0.20 | 0.83 | 2.15 | - |
| Damage State | β | ||
|---|---|---|---|
| DS1 | 0.1% | −2.3718 | 0.7952 |
| DS2 | 0.3% | −1.4255 | 0.6818 |
| DS3 | 0.9% | −0.4275 | 0.9039 |
| DS4 | 1.9% | 0.3626 | 0.8590 |
| Category | Dead Load (kN/m2) | Live Load (kN/m2) | The Thickness of Slab (mm) | |||
|---|---|---|---|---|---|---|
| 4-Story | 8-Story | 4-Story | 8-Story | 4-Story | 8-Story | |
| Room | 1.5 | 2 | 2.0 | 2.5 | 100 | 120 |
| Corridor | 1.5 | 2 | 3.5 | 3.5 | 100 | 120 |
| Roof | 5.5 | 3 | 0.4 | 2 | 120 | 120 |
| Floor | Beam (mm) | Column (mm) | The Stirrup Ratio of Beam | The Stirrup Ratio of Column | Concrete Grades | Steel Bars Grades | |
|---|---|---|---|---|---|---|---|
| 4-story | 1~4 | 500 × 500 | 400 × 300 | 0.5% | 0.3% | C30 | HRB400 |
| 8-story | 1 | Side 750 × 300 Middle 500 × 500 | 800 × 800 | 0.3% | 0.8% | C50 | |
| 2~3 | C45 | ||||||
| 4 | C30 | ||||||
| 5~8 | 650 × 650 | C30 |
Publisher’s Note: MDPI stays neutral with regard to jurisdictional claims in published maps and institutional affiliations. |
© 2022 by the authors. Licensee MDPI, Basel, Switzerland. This article is an open access article distributed under the terms and conditions of the Creative Commons Attribution (CC BY) license (https://creativecommons.org/licenses/by/4.0/).
Share and Cite
Liu, C.; Liu, B.; Wang, X.; Kong, J.; Gao, Y. Seismic Performance Target and Fragility of Masonry Infilled RC Frames under In-Plane Loading. Buildings 2022, 12, 1175. https://doi.org/10.3390/buildings12081175
Liu C, Liu B, Wang X, Kong J, Gao Y. Seismic Performance Target and Fragility of Masonry Infilled RC Frames under In-Plane Loading. Buildings. 2022; 12(8):1175. https://doi.org/10.3390/buildings12081175
Chicago/Turabian StyleLiu, Chunhui, Bo Liu, Xiaomin Wang, Jingchang Kong, and Yuan Gao. 2022. "Seismic Performance Target and Fragility of Masonry Infilled RC Frames under In-Plane Loading" Buildings 12, no. 8: 1175. https://doi.org/10.3390/buildings12081175
APA StyleLiu, C., Liu, B., Wang, X., Kong, J., & Gao, Y. (2022). Seismic Performance Target and Fragility of Masonry Infilled RC Frames under In-Plane Loading. Buildings, 12(8), 1175. https://doi.org/10.3390/buildings12081175

