A Bi-Objective Model for Scheduling Construction Projects Using Critical Chain Method and Interval-Valued Fuzzy Sets
Abstract
:1. Introduction
2. Literature Review
3. Problem Description
- Each activity is executed only in a single-mode and a selected way. If the activity is executed in a crashing way, the duration is shortened by utilizing more resources.
- Precedence relationships between activities, finish to start with zero-time lag, and preemption of activities are unauthorized.
- The quality of activities is reduced by decreasing their execution time, which can be due to a change in mode or the execution of them in the crashing way.
- An activity on node network with N activity is considered and the Nth activity is a dummy with zero duration.
3.1. Proposed Model
| Set of project activities | |
| Set of time periods for project | |
| A set of executive modes for project activity | |
| A set of renewable resources of the project | |
| A set of non-renewable resources of the project | |
| Set the precedence relationships between project activities |
| Specified due dates for the project | |
| Total budget for renewable and non-renewable resources | |
| Cost of renewable resource unit | |
| Cost of non-renewable resource unit | |
| Earliest finish time of activity | |
| Latest finish time of activity j | |
| Duration of activity j in the executive mode m in the crashing way | |
| Duration of activity in the executive mode in the normal way | |
| Quality of activity in the executive mode in the crashing way | |
| Quality of activity in the executive mode in the normal way | |
| Renewable resource k required for activity , when performed in a crashing way on mode | |
| Renewable resource required for activity , when performed in normal way and on mode | |
| Non-renewable resource required for the activity , when performed on mode | |
| Big number | |
| Standard deviation of activity duration |
| If activity is executed in mode and ends in time Otherwise | ||
| If activity is crashed Otherwise | ||
| If activity is floating Otherwise | ||
| The amount of renewable resource allocated to the project | ||
| The amount of non-renewable resource allocated to the project | ||
| The amount of time delay of the project | ||
| Related to the float of activity | ||
| Amount of activity float | ||
| Project network complexity | ||
3.2. Mathematical Model
3.3. Linearization
4. Proposed Solution Methodology
4.1. Step 1: The Crisp Equivalent Model
4.1.1. Triangular Interval-Valued Fuzzy Numbers
4.1.2. To Convert the Fuzzy Mathematical Model to a Crisp Equivalent Model
4.2. Step 2: The Weighted Max–Min Model
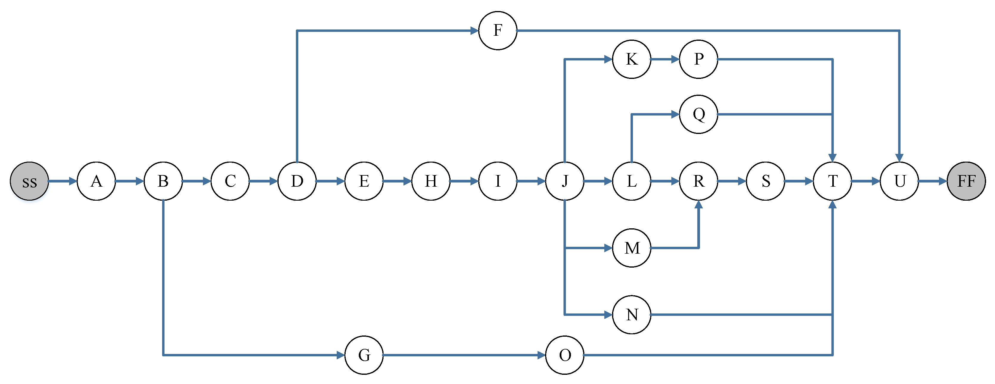
5. Case Study
Project Information
6. Computational Results of the Case Study
7. Sensitivity Analysis
- The duration of the activities is represented in the form of triangular interval-valued fuzzy numbers.
- The duration of the activities is expressed using the triangular fuzzy numbers.
- The duration of the activities is considered to be certain.
8. Conclusions
Author Contributions
Funding
Institutional Review Board Statement
Informed Consent Statement
Data Availability Statement
Conflicts of Interest
References
- Ma, G.; Wang, A.; Li, N.; Gu, L.; Ai, Q. Improved critical chain project management framework for scheduling construction projects. J. Constr. Eng. Manag. 2014, 140, 04014055. [Google Scholar] [CrossRef]
- Balta, S.; Birgonul, M.T.; Dikmen, I. Buffer sizing model incorporating fuzzy risk assessment: Case study on concrete gravity dam and hydroelectric power plant projects. ASCE-ASME J. Risk Uncertain. Eng. Syst. A Civ. Eng. 2018, 4, 04017039. [Google Scholar] [CrossRef]
- Coelho, C.; Mojtahedi, M.; Kabirifar, K.; Yazdani, M. Influence of Organisational Culture on Total Quality Management Implementation in the Australian Construction Industry. Buildings 2022, 12, 496. [Google Scholar] [CrossRef]
- Lapidus, A.; Topchiy, D.; Kuzmina, T.; Chapidze, O. Influence of the Construction Risks on the Cost and Duration of a Project. Buildings 2022, 12, 484. [Google Scholar] [CrossRef]
- Fu, F.; Zhang, T. A new model for solving time-cost-quality trade-off problems in construction. PLoS ONE 2016, 11, e0167142. [Google Scholar] [CrossRef] [PubMed] [Green Version]
- Hu, X.; Cui, N.; Demeulemeester, E.; Bie, L. Incorporation of activity sensitivity measures into buffer management to manage project schedule risk. Eur. J. Oper. Res. 2016, 249, 717–727. [Google Scholar] [CrossRef]
- Hu, X.; Demeulemeester, E.; Cui, N.; Wang, J.; Tian, W. Improved critical chain buffer management framework considering resource costs and schedule stability. Flex. Serv. Manuf. J. 2017, 29, 159–183. [Google Scholar] [CrossRef]
- Roghanian, E.; Alipour, M.; Rezaei, M. An improved fuzzy critical chain approach in order to face uncertainty in project scheduling. Int. J. Constr. Manag. 2018, 18, 1–13. [Google Scholar] [CrossRef]
- Hall, N.G. Project management: Recent developments and research opportunities. J. Syst. Sci. Syst. Eng. 2012, 21, 129–143. [Google Scholar] [CrossRef]
- Kastor, A.; Sirakoulis, K. The effectiveness of resource levelling tools for resource constraint project scheduling problem. Int. J. Proj. Manag. 2009, 27, 493–500. [Google Scholar] [CrossRef]
- Watson, K.J.; Blackstone, J.H.; Gardiner, S.C. The evolution of a management philosophy: The theory of constraints. J. Oper. Manag. 2007, 25, 387–402. [Google Scholar] [CrossRef]
- Ahlemann, F.; Arbi, F.E.; Kaiser, M.G.; Heck, A. A process framework for theoretically grounded prescriptive research in the project management field. Int. J. Proj. Manag. 2013, 31, 43–56. [Google Scholar] [CrossRef]
- Rabbani, M.; Ghomi, S.F.; Jolai, F.; Lahiji, N.S. A new heuristic for resource-constrained project scheduling in stochastic networks using critical chain concept. Eur. J. Oper. Res. 2007, 176, 794–808. [Google Scholar] [CrossRef]
- Tukel, O.I.; Rom, W.O.; Eksioglu, S.D. An investigation of buffer sizing techniques in critical chain scheduling. Eur. J. Oper. Res. 2006, 172, 401–416. [Google Scholar] [CrossRef]
- She, B.; Chen, B.; Hall, N.G. Buffer sizing in critical chain project management by network decomposition. Omega. 2021, 102, 102382. [Google Scholar] [CrossRef]
- Long, L.D.; Ohsato, A. Fuzzy critical chain method for project scheduling under resource constraints and uncertainty. Int. J. Proj. Manag. 2013, 31, 43–56. [Google Scholar] [CrossRef]
- Mirnezami, S.A.; Mousavi, S.M.; Antuchevičienė, J.; Mohagheghi, V. A new approach for multi-scenario project cash flow analysis based on todim and critical chain methods under grey uncertainty. Econ. Comput. Econ. Cybern. Stud. Res. 2020, 54, 263–279. [Google Scholar]
- Mirnezami, S.A.; Mousavi, S.M.; Mohagheghi, V. An innovative interval type-2 fuzzy approach for multi-scenario multi-project cash flow evaluation considering TODIM and critical chain with an application to energy sector. Neural. Comput. Appl. 2021, 33, 2263–2284. [Google Scholar] [CrossRef]
- Atli, O.; Kahraman, C. Fuzzy resource-constrained project scheduling using taboo search algorithm. Int. J. Intell. Syst. 2012, 27, 873–907. [Google Scholar] [CrossRef]
- Hajiagha, S.H.R.; Akrami, H.; Hashemi, S.S.; Mahdiraji, H.A. An integer grey goal programming for project time, cost and quality trade-off. Eng. Econ. 2015, 26, 93–100. [Google Scholar]
- Albert, M.; Balve, P.; Spang, K. Evaluation of project success: A structured literature review. Int. J. Manag. Proj. Bus. 2017, 10, 796–821. [Google Scholar] [CrossRef]
- Jiménez, M.; Arenas, M.; Bilbao, A.; Rodrı, M.V. Linear programming with fuzzy parameters: An interactive method resolution. Eur. J. Oper. Res. 2007, 177, 1599–1609. [Google Scholar] [CrossRef]
- Lin, C.C. A weighted max–min model for fuzzy goal programming. Fuzzy Sets. Syst. 2004, 142, 407–420. [Google Scholar] [CrossRef]
- Bie, L.; Cui, N.; Zhang, X. Buffer sizing approach with dependence assumption between activities in critical chain scheduling. Int. J. Prod. Res. 2012, 50, 7343–7356. [Google Scholar] [CrossRef]
- Zhang, J.; Song, X.; Díaz, E. Project buffer sizing of a critical chain based on comprehensive resource tightness. Eur. J. Oper. Res. 2016, 248, 174–182. [Google Scholar] [CrossRef]
- Zarghami, S.A.; Gunawan, I.; Corral de Zubielqui, G.; Baroudi, B. Incorporation of resource reliability into critical chain project management buffer sizing. Int. J. Prod. Res. 2020, 58, 6130–6144. [Google Scholar] [CrossRef]
- Li, H.; Cao, Y.; Lin, Q.; Zhu, H. Data-driven project buffer sizing in critical chains. Autom. Constr. 2022, 135, 104134. [Google Scholar] [CrossRef]
- Afruzi, E.N.; Najafi, A.A.; Roghanian, E.; Mazinani, M. A multi-objective imperialist competitive algorithm for solving discrete time, cost and quality trade-off problems with mode-identity and resource-constrained situations. Comput. Oper. Res. 2014, 50, 80–96. [Google Scholar] [CrossRef]
- Tavana, M.; Abtahi, A.R.; Khalili-Damghani, K. A new multi-objective multi-mode model for solving preemptive time–cost–quality trade-off project scheduling problems. Expert Syst. Appl. 2014, 41, 1830–1846. [Google Scholar] [CrossRef]
- Beşikci, U.; Bilge, Ü.; Ulusoy, G. Multi-mode resource constrained multi-project scheduling and resource portfolio problem. Eur. J. Oper. Res. 2015, 240, 22–31. [Google Scholar] [CrossRef] [Green Version]
- Ashtiani, B.; Haghighirad, F.; Makui, A.; ali Montazer, G. Extension of fuzzy TOPSIS method based on interval-valued fuzzy sets. Appl. Soft Comput. 2009, 9, 457–461. [Google Scholar] [CrossRef]
- Orm, M.B.; Jeunet, J. Time cost quality trade-off problems: A survey exploring the assessment of quality. CIE 2018, 118, 319–328. [Google Scholar] [CrossRef]
- Mohammadipour, F.; Sadjadi, S.J. Project cost–quality–risk tradeoff analysis in a time-constrained problem. CIE 2016, 95, 111–121. [Google Scholar] [CrossRef]
- Glover, F.; Woolsey, E. Converting the 0–1 polynomial programming problem to a 0–1 linear progra. Oper. Res. 1974, 22, 180–182. [Google Scholar] [CrossRef] [Green Version]
- Norouzi, N.; Tavakkoli-Moghaddam, R.; Ghazanfari, M.; Alinaghian, M.; Salamatbakhsh, A. A new multi-objective competitive open vehicle routing problem solved by particle swarm optimization. Netw. Spat. Econ. 2012, 12, 609–633. [Google Scholar] [CrossRef]
- Dorfeshan, Y.; Tavakkoli-Moghaddam, R.; Mousavi, S.M.; Vahedi-Nouri, B. A new weighted distance-based approximation methodology for flow shop scheduling group decisions under the interval-valued fuzzy processing time. Appl. Soft Comput. 2020, 91, 106248. [Google Scholar] [CrossRef]
- Foroozesh, N.; Jolai, F.; Mousavi, S.M.; Karimi, B. A new fuzzy-stochastic compromise ratio approach for green supplier selection problem with interval-valued possibilistic statistical information. Neural. Comput. Appl. 2021, 33, 7893–7911. [Google Scholar] [CrossRef]
- Foroozesh, N.; Tavakkoli-Moghaddam, R.; Mousavi, S.M. A novel group decision model based on mean–variance–skewness concepts and interval-valued fuzzy sets for a selection problem of the sustainable warehouse location under uncertainty. Neural Comput. Appl. 2018, 30, 3277–3293. [Google Scholar] [CrossRef]
- Zolfaghari, S.; Mousavi, S.M. A novel mathematical programming model for multi-mode project portfolio selection and scheduling with flexible resources and due dates under interval-valued fuzzy random uncertainty. Expert Syst. Appl. 2021, 182, 115207. [Google Scholar] [CrossRef]
- Patoghi, A.; Mousavi, S.M. A new approach for material ordering and multi-mode resource constraint project scheduling problem in a multi-site context under interval-valued fuzzy uncertainty. Technol. Forecast. Soc. Change 2021, 173, 121137. [Google Scholar] [CrossRef]
- Gorzałczany, M.B. A method of inference in approximate reasoning based on interval-valued fuzzy sets. Fuzzy Sets. Syst. 1987, 21, 1–17. [Google Scholar] [CrossRef]
- Yao, J.S.; Lin, F.T. Constructing a fuzzy flow-shop sequencing model based on statistical data. IJAR 2002, 29, 215–234. [Google Scholar] [CrossRef] [Green Version]
- Kuo, M.S. A novel interval-valued fuzzy MCDM method for improving airlines’ service quality in Chinese cross-strait airlines. Transp. Res. Part E Logist. Transp. Rev. 2011, 47, 1177–1193. [Google Scholar] [CrossRef]


| Buffer Size | ||||||
|---|---|---|---|---|---|---|
| 0 | 0.947 | 0.944 | 1.888 | 3 | 0.987 | 3 |
| 0.1 | 0.949 | 0.946 | 1.892 | 2 | 0.987 | 2 |
| 0.2 | 0.925 | 0.925 | 1.851 | 3.022 | 0.987 | 3.022 |
| 0.3 | 0.927 | 0.933 | 1.853 | 3.18 | 0.989 | 3.18 |
| 0.4 | 0.937 | 0.936 | 1.872 | 3.538 | 0.989 | 1.538 |
| 0.5 | 0.947 | 0.949 | 1.894 | 2.36 | 0.989 | 2.36 |
| 0.6 | 0.942 | 0.941 | 1.883 | 2.9 | 0.989 | 2.9 |
| 0.7 | 0.952 | 0.944 | 1.888 | 1.84 | 0.987 | 1.84 |
| 0.8 | 0.97 | 0.966 | 1.932 | 1.68 | 0.993 | 1.68 |
| Activities Duration under Condition | |||||
|---|---|---|---|---|---|
| 1 | 0.947 | 0.949 | 1.894 | 2.36 | 0.989 |
| 2 | 0.93 | 0.928 | 1.855 | 2.688 | 0.989 |
| 3 | 0.738 | 0.738 | 1.476 | 29 | 0.929 |
| Crashing activities | 0.947 | 0.949 | 1.894 | 2.36 | 0.989 |
| Non crashing activities | 0.873 | 0.916 | 1.746 | 7 | 0.993 |
Publisher’s Note: MDPI stays neutral with regard to jurisdictional claims in published maps and institutional affiliations. |
© 2022 by the authors. Licensee MDPI, Basel, Switzerland. This article is an open access article distributed under the terms and conditions of the Creative Commons Attribution (CC BY) license (https://creativecommons.org/licenses/by/4.0/).
Share and Cite
Dalouchei, F.; Mousavi, S.M.; Antucheviciene, J.; Minaei, A. A Bi-Objective Model for Scheduling Construction Projects Using Critical Chain Method and Interval-Valued Fuzzy Sets. Buildings 2022, 12, 904. https://doi.org/10.3390/buildings12070904
Dalouchei F, Mousavi SM, Antucheviciene J, Minaei A. A Bi-Objective Model for Scheduling Construction Projects Using Critical Chain Method and Interval-Valued Fuzzy Sets. Buildings. 2022; 12(7):904. https://doi.org/10.3390/buildings12070904
Chicago/Turabian StyleDalouchei, Fatemeh, Seyed Meysam Mousavi, Jurgita Antucheviciene, and Ahmad Minaei. 2022. "A Bi-Objective Model for Scheduling Construction Projects Using Critical Chain Method and Interval-Valued Fuzzy Sets" Buildings 12, no. 7: 904. https://doi.org/10.3390/buildings12070904
APA StyleDalouchei, F., Mousavi, S. M., Antucheviciene, J., & Minaei, A. (2022). A Bi-Objective Model for Scheduling Construction Projects Using Critical Chain Method and Interval-Valued Fuzzy Sets. Buildings, 12(7), 904. https://doi.org/10.3390/buildings12070904

