Study on Flexural Behavior of Self-Compacting Concrete Beams with Recycled Aggregates
Abstract
:1. Introduction
2. Experimental Procedures
2.1. Material Properties and Design of Mix Proportion
2.2. Specimen Design
2.3. Test Apparatus and Loading Method
3. Analysis of Test Results
3.1. Failure Form
3.2. Bending Moment–Deflection Curves
3.3. Reinforcement and Concrete Strain
3.4. Crack Width and Average Crack Interval
4. Computational Models
4.1. Cracking Moment
4.2. Flexural Capacity
4.3. Deflection
- (1)
- Internal arm of force coefficient η
- (2)
- Elastic–plastic resisting moment coefficient of the section ζ
- (3)
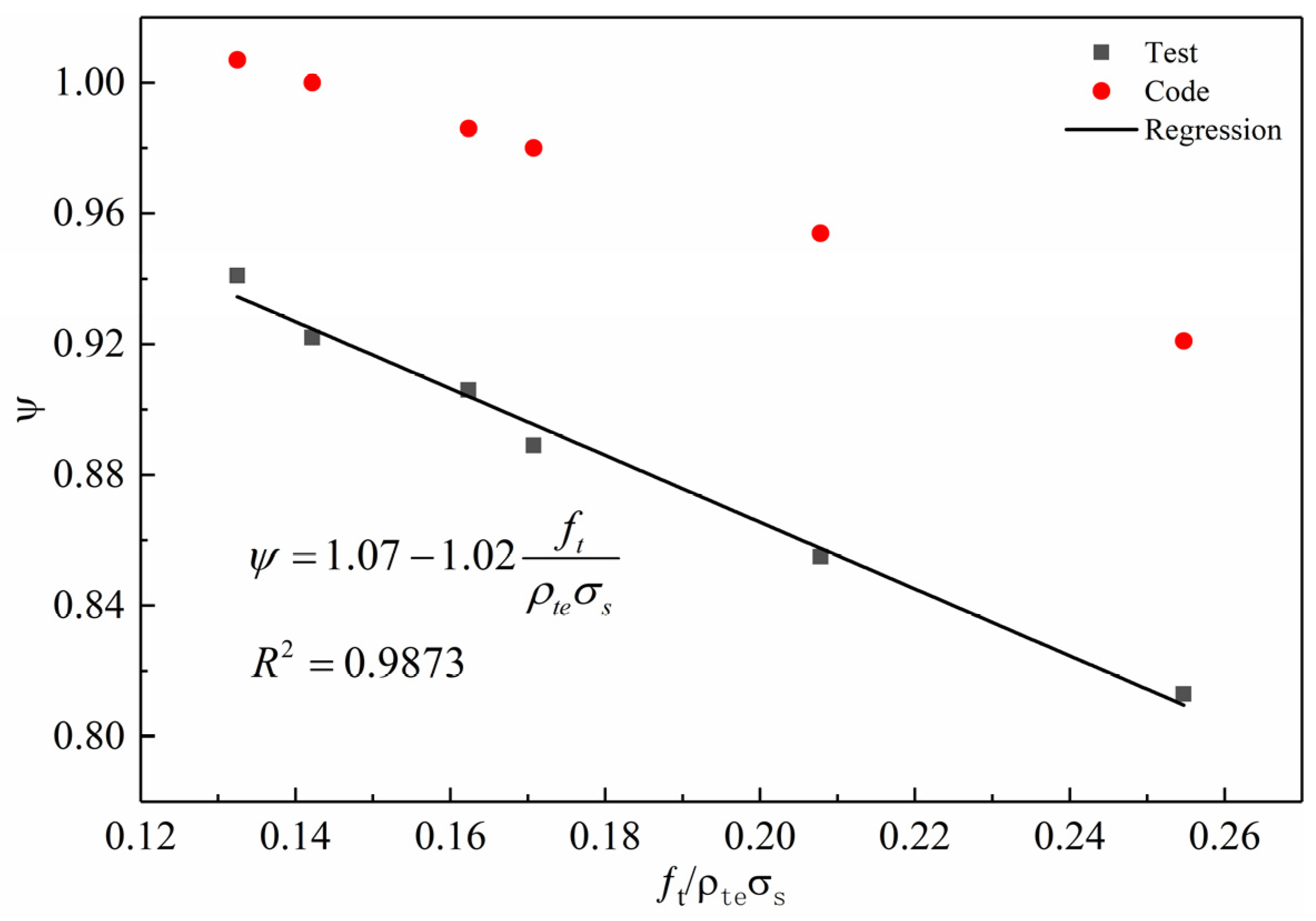
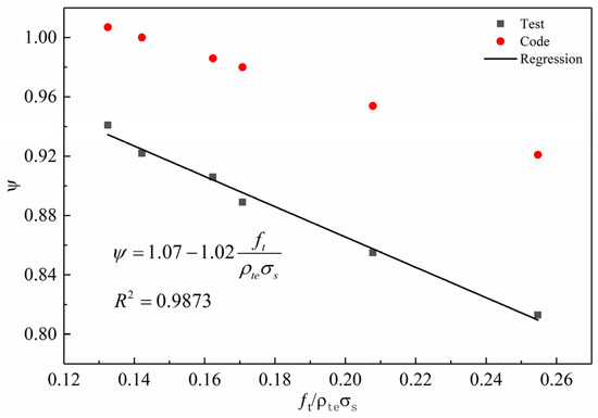
- Non-uniformity coefficient ψ
- (4)
- Deflection calculation
4.4. Crack Width
- (1)
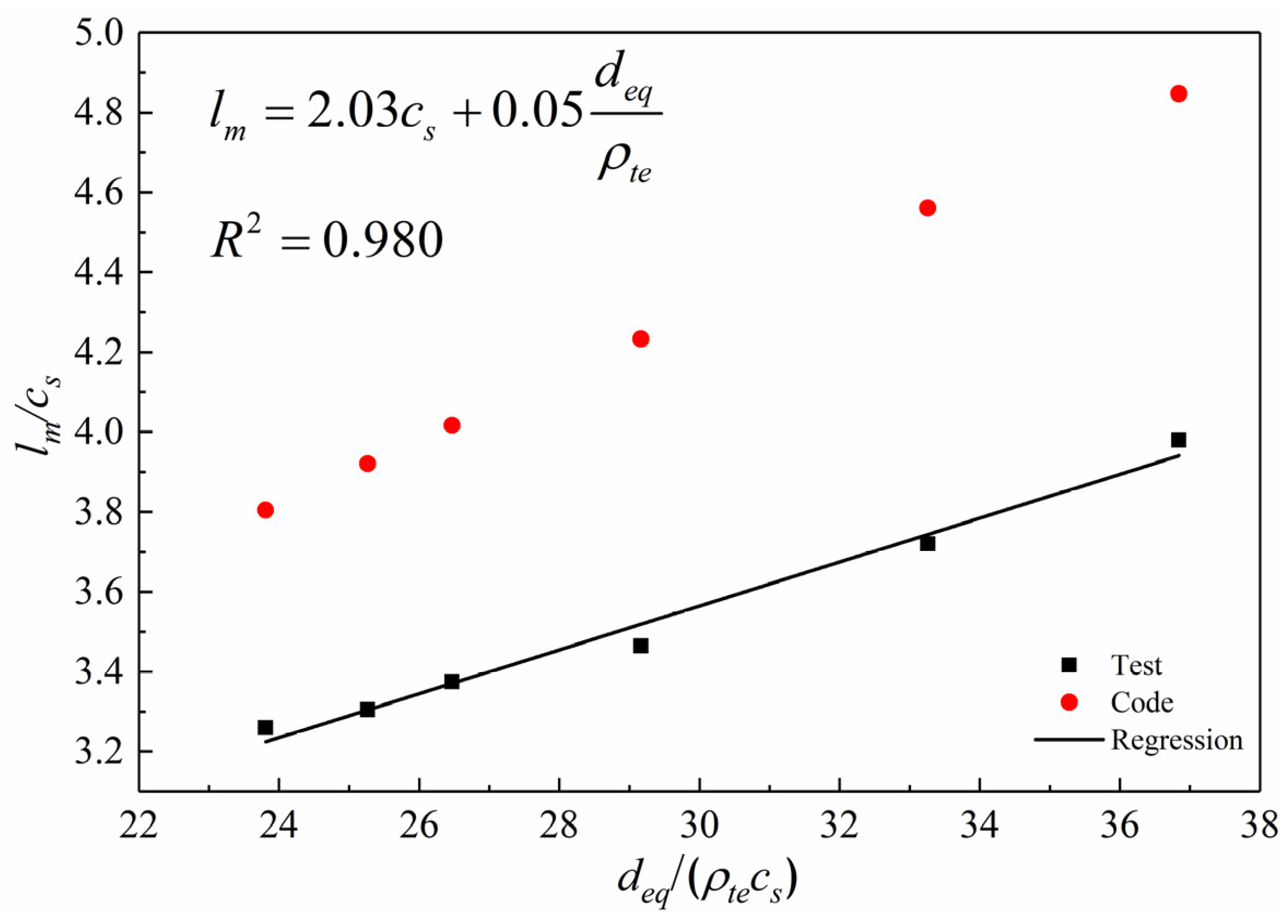
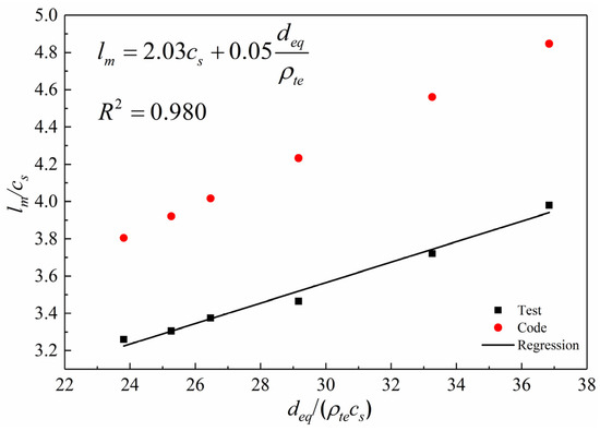
- Average crack interval lm
- (2)
- Crack width
5. Conclusions
- (1)
- The bending failure form of RASCC beams is similar to that of NC beams. Under-reinforced, balanced-reinforced, and over-reinforced failures occur as the reinforcement ratio increases in RASCC beams.
- (2)
- Under the same reinforcement ratio, the flexural capacity of RASCC is almost equal to that of NC beams, while the cracking moment of beams is smaller. The cracking moment and flexural capacity of RASCC beams calculated using the code equation agree well with the test results.
- (3)
- The moment–deflection curve of RASCC beams almost coincides with that of NC beams in the elastic and elastic–plastic phases. However, the deflection of RASCC beams calculated using the code equation is smaller than the test values, while the revised formula in this paper is close to the test results.
- (4)
- RASCC beams exhibit smaller crack widths and shorter crack intervals than NC beams under the same reinforcement condition. Compared with the test results of the maximum crack width, the calculated value of the code equation is larger, and the method proposed in this paper agrees well with it.
Author Contributions
Funding
Institutional Review Board Statement
Informed Consent Statement
Data Availability Statement
Conflicts of Interest
References
- Kefelegn, A.; Gebre, A. Performance of self-compacting concrete used in congested reinforcement structural element. Eng. Struct. 2020, 214, 110665. [Google Scholar] [CrossRef]
- Pacheco, J.; de Brito, J. Recycled aggregates produced from construction and demolition waste for structural concrete, constituents, properties and production. Materials 2021, 14, 5748. [Google Scholar] [CrossRef] [PubMed]
- Aslani, F.; Ma, G.; Wan, D.L.Y.; Muselin, G. Development of high-performance self-compacting concrete using waste recycled concrete aggregates and rubber granules. J. Clean. Prod. 2018, 182, 553–566. [Google Scholar] [CrossRef]
- Sun, C.; Chen, Q.; Xiao, J.; Liu, W. Utilization of waste concrete recycling materials in self-compacting concrete. Resour. Conserv. Recycl. 2020, 161, 104930. [Google Scholar] [CrossRef]
- Martínez-García, R.; Guerra-Romero, M.I.; Pozo, J.M.M.-D.; de Brito, J.; Juan-Valdés, A. Recycling Aggregates for Self-Compacting Concrete Production: A Feasible Option. Materials 2020, 13, 868. [Google Scholar] [CrossRef] [Green Version]
- Revilla-Cuesta, V.; Skaf, M.; Faleschini, F.; Manso, J.M.; Ortega-López, V. Self-compacting concrete manufactured with recycled concrete aggregate: An overview. J. Clean. Prod. 2020, 262, 121362. [Google Scholar] [CrossRef]
- Duan, Z.H.; Singh, A.; Xiao, J.Z.; Hou, S.D. Combined use of recycled powder and recycled coarse aggregate derived from construction and demolition waste in self-compacting concrete. Constr. Build. Mater. 2020, 254, 119323. [Google Scholar] [CrossRef]
- Hilal, N.; Hadzima-Nyarko, M. Improvement of eco-efficient self-compacting concrete manufacture by recycling high quantity of waste materials. Environ. Sci. Pollut. Res. 2021, 28, 53282–53297. [Google Scholar] [CrossRef]
- Nili, M.; Sasanipour, H.; Aslani, F. The Effect of Fine and Coarse Recycled Aggregates on Fresh and Mechanical Properties of Self-Compacting Concrete. Materials 2019, 12, 1120. [Google Scholar] [CrossRef] [Green Version]
- Nieto, D.; Dapena, E.; Alaejos, P.; Olmedo, J.; Pérez, D. Properties of Self-Compacting Concrete Prepared with Coarse Recycled Concrete Aggregates and Different Water:Cement Ratios. J. Mater. Civ. Eng. 2019, 31, 4018376. [Google Scholar] [CrossRef]
- Revilla-Cuesta, V.; Ortega-López, V.; Skaf, M.; Manso, J.M. Effect of fine recycled concrete aggregate on the mechanical behavior of self-compacting concrete. Constr. Build. Mater. 2020, 263, 120671. [Google Scholar] [CrossRef]
- Sasanipour, H.; Aslani, F. Durability properties evaluation of self-compacting concrete prepared with waste fine and coarse recycled concrete aggregates. Constr. Build. Mater. 2019, 236, 117540. [Google Scholar] [CrossRef]
- Mo, K.H.; Lingt, C.; Cheng, Q. Examining the Influence of Recycled Concrete Aggregate on the Hardened Properties of Self-Compacting Concrete. Waste Biomass Valorization 2021, 12, 1133–1141. [Google Scholar] [CrossRef]
- Ignjatović, I.S.; Marinković, S.B.; Mišković, Z.M.; Savić, A. Flexural behavior of reinforced recycled aggregate concrete beams under short-term loading. Mater. Struct. 2012, 46, 1045–1059. [Google Scholar] [CrossRef]
- Knaack, A.M.; Kurama, Y.C. Behavior of Reinforced Concrete Beams with Recycled Concrete Coarse Aggregates. J. Struct. Eng. 2015, 141, B4014009. [Google Scholar] [CrossRef]
- Paz, S.S.; González-Fonteboa, B.; Martínez-Abella, F.; Eiras-López, J. Flexural performance of reinforced concrete beams made with recycled concrete coarse aggregate. Eng. Struct. 2018, 156, 32–45. [Google Scholar] [CrossRef]
- Zhang, H.; Wan, K.; Wu, B.; Hu, Z. Flexural behavior of reinforced geopolymer concrete beams with recycled coarse aggregates. Adv. Struct. Eng. 2021, 24, 3281–3298. [Google Scholar] [CrossRef]
- Arezoumandi, M.; Smith, A.; Volz, J.S.; Khayat, K.H. An experimental study on flexural strength of reinforced concrete beams with 100% recycled concrete aggregate. Eng. Struct. 2015, 88, 154–162. [Google Scholar] [CrossRef]
- Sunayana, S.; Barai, S.V. Flexural performance and tension-stiffening evaluation of reinforced concrete beam incorporating recycled aggregate and fly ash. Constr. Build. Mater. 2018, 174, 210–223. [Google Scholar] [CrossRef]
- Yang, I.H.; Park, J.; Kim, K.C.; Lee, H. Structural behavior of concrete beams containing recycled coarse aggregates under flexure. Adv. Mater. Sci. Eng. 2020, 2020, 8037131. [Google Scholar] [CrossRef]
- Deng, Z.; Wang, Y.; Yang, H.; Qian, J. Research on Crack Behavior of Recycled Concrete Beams under Short-term Loading. KSCE J. Civ. Eng. 2017, 22, 1763–1770. [Google Scholar] [CrossRef]
- Luo, S.R.; Hu, X.L.; Huang, J.; Zheng, J.L. Experimental study on bearing properties of self-compacting high-performance concrete flexural members. J. Fuzhou Univ. (Nat. Sci. Ed.) 2004, 3, 339–343. [Google Scholar]
- Huang, H.; Ye, Y.H.; Han, J.; Qian, F.F. Flexure bearing property experiment of self-compacting concrete beams. J. Nanjing Univ. Technol. (Nat. Sci. Ed.) 2011, 33, 95–100. [Google Scholar]
- Petrović, Z.; Milošević, B.; Zorić, A.; Ranković, S.; MladenoviĆ, B.; Zlatkov, D. Flexural Behavior of Continuous Beams Made of Self-Compacting Concrete (SCC)—Experimental and Numerical Analysis. Appl. Sci. 2020, 10, 8654. [Google Scholar] [CrossRef]
- Xue, Z.H.; Ye, Y.H.; Sun, R.; Sun, H.X. Analysis of flexural behavior of reinforced self-compacting concrete beams. J. Nanjing Univ. Technol. (Nat. Sci. Ed.) 2013, 35, 65–68. [Google Scholar]
- Al-Ansari, M.S.; Abu Taqa, A.G.; Senouci, A.B.; Eldin, N.N.; Helal, M.; Asiado, C. Proposed Formulas for Estimating Splitting Tensile, Shear and Flexural Strengths, and Long Term Deflection Assessment of Self-Compacting Concrete Elements. Sci. Adv. Mater. 2017, 9, 1751–1761. [Google Scholar] [CrossRef]
- Ministry of Housing and Urban-Rural Construction of the People’s Republic of China. JGJ/T 283-2012; Technical Specification for Application of Self-Compacting Concrete. China Building Industry Press: Beijing, China, 2012.
- Ministry of Housing and Urban-Rural Construction of the People’s Republic of China. GB/T 50081-2019; Standard for Test Methods of Concrete Physical and Mechanical Properties. China Building Industry Press: Beijing, China, 2019.
- Ministry of Housing and Urban-Rural Construction of the People’s Republic of China. GB50010-2010; Code for Design of Concrete Structures. China Building Industry Press: Beijing, China, 2010.
- Ministry of Housing and Urban-Rural Construction of the People’s Republic of China. JGJ/T 443-2018; Technical Standard for Recycled Concrete Structures. China Building Industry Press: Beijing, China, 2018.
- Yang, W.C. Experimental Research on Stressing Performances of Self-Compacting Recycled Concrete Beams. Master’s Thesis, Shenyang University of Technology, Shenyang, China, 2018. [Google Scholar]












| Aggregate | Grain Composition (mm) | Apparent Density (kg/m3) | Bulk Density (kg/m3) | Void Fraction (%) | Crushing Index (%) | Absorption (%) |
|---|---|---|---|---|---|---|
| RCA | 5~20 mm | 2730 | 1525 | 41.2 | 14.1 | 5.10 |
| NCA | 5~20 mm | 2830 | 1632 | 39.5 | 8.71 | 0.91 |
| Concrete Mix | Composition of Concrete Mixtures in (kg/m3) | ||||||
|---|---|---|---|---|---|---|---|
| Water | Cement | Fly Ash | Sand | RCA | NCA | Water-Reducing Agent | |
| RASCC | 190 | 375 | 125 | 870.4 | 816 | 0 | 1.07 |
| NC | 168 | 400 | 0 | 585.6 | 0 | 1244.4 | 0.45 |
| Concrete Mix | Fresh Concrete Workability | Hardened Concrete Mechanical Properties | |||||
|---|---|---|---|---|---|---|---|
| Slumps (mm) | Slump Flow (mm) | J-Ring Flow (mm) | T500 (s) | Cubic Compressive Strength fcu (MPa) | Splitting Tensile Strength ft (MPa) | Elastic Modulus Ec (GPa) | |
| RASCC | — | 690 | 680 | 3 | 45.0 | 2.57 | 32.6 |
| NC | 120 | — | — | — | 48.5 | 2.77 | 34.1 |
| Beam No. | Concrete Type | Dimension b × h/mm × mm | Reinforcement Ratio ρ/% | Longitudinal Steel Bar | Stirrups |
|---|---|---|---|---|---|
| B1-1 | RASCC | 120 × 200 | 0.25 | 1Φ8 | Φ6.5@100 |
| B2-1 | RASCC | 120 × 200 | 1.12 | 2Φ12 | Φ6.5@100 |
| B3-1 | RASCC | 120 × 200 | 1.32 | 2Φ12 + 1Φ8 | Φ6.5@100 |
| B4-1 | RASCC | 120 × 200 | 1.72 | 2Φ14 + 1Φ8 | Φ6.5@100 |
| B5-1 | RASCC | 120 × 200 | 2.02 | 2Φ16 | Φ6.5@100 |
| B6-1 | RASCC | 120 × 200 | 2.27 | 2Φ16 + 1Φ8 | Φ6.5@100 |
| B7-1 | RASCC | 120 × 200 | 2.82 | 2Φ18 | Φ6.5@100 |
| B1-2 | NC | 120 × 200 | 0.25 | 1Φ8 | Φ6.5@100 |
| B3-2 | NC | 120 × 200 | 1.32 | 2Φ12 + 1Φ8 | Φ6.5@100 |
| B4-2 | NC | 120 × 200 | 1.72 | 2Φ14 + 1Φ8 | Φ6.5@100 |
| B6-2 | NC | 120 × 200 | 2.27 | 2Φ16 + 1Φ8 | Φ6.5@100 |
| (a) | ||||||||||
| Beam No. | Concrete Type | Mcr,t (kN·m) | Mcr,c (kN·m) | Mcr,t /Mcr,c | Mu,t (kN·m) | Mu,c (kN·m) | Mu,t /Mu,c | δt (mm) | δc (mm) | δc/δt |
| B1-1 | RASCC | 2.5 | 3.0 | 0.828 | 4.93 | 3.72 | 1.326 | — | — | — |
| B2-1 | 3.1 | 3.3 | 0.947 | 18.01 | 17.54 | 1.027 | 3.82 | 3.71 | 0.971 | |
| B3-1 | 3.3 | 3.3 | 0.985 | 21.79 | 21.18 | 1.029 | 4.06 | 3.90 | 0.959 | |
| B4-1 | 3.6 | 3.5 | 1.039 | 26.51 | 25.15 | 1.054 | 4.25 | 4.02 | 0.947 | |
| B5-1 | 3.8 | 3.5 | 1.080 | 27.70 | 26.14 | 1.060 | 4.16 | 3.99 | 0.960 | |
| B6-1 | 4.0 | 3.6 | 1.113 | 31.05 | 29.06 | 1.069 | 4.23 | 4.12 | 0.975 | |
| B7-1 | 4.4 | 3.9 | 1.216 | 35.12 | 31.04 | 1.131 | 4.96 | 4.80 | 0.969 | |
| Avg | 1.030 | 1.099 | 0.964 | |||||||
| S.D. | 0.116 | 0.098 | 0.002 | |||||||
| (b) | ||||||||||
| Beam No. | Concrete Type | Mcr,t (kN·m) | Mcr,c (kN·m) | Mcr,t /Mcr,c | Mu,t (kN·m) | Mu,c (kN·m) | Mu,t /Mu,c | δt (mm) | δc (mm) | δc/δt |
| B1-2 | NC | 3.0 | 3.2 | 0.951 | 5.06 | 3.72 | 1.360 | — | — | — |
| B3-2 | 3.8 | 3.5 | 1.090 | 22.04 | 21.30 | 1.035 | 4.12 | 4.20 | 1.019 | |
| B4-2 | 4.2 | 3.6 | 1.166 | 26.39 | 25.33 | 1.042 | 4.20 | 4.26 | 1.015 | |
| B6-2 | 4.6 | 3.7 | 1.233 | 30.89 | 29.32 | 1.054 | 4.33 | 4.40 | 1.016 | |
| Avg | 1.110 | 1.123 | 1.017 | |||||||
| S.D. | 0.105 | 0.137 | 0.016 | |||||||
| Beam No. | M (kN·m) | δt (mm) | η | ζ | ψ | Bs (1012 kN·m) | δcl (mm) | δcl/δt |
|---|---|---|---|---|---|---|---|---|
| B2-1 | 13.51 | 3.82 | 0.72 | 0.119 | 0.810 | 0.753 | 3.75 | 0.982 |
| B3-1 | 16.34 | 4.06 | 0.71 | 0.123 | 0.858 | 0.851 | 4.02 | 0.989 |
| B4-1 | 19.88 | 4.25 | 0.72 | 0.130 | 0.896 | 0.989 | 4.20 | 0.989 |
| B5-1 | 20.78 | 4.16 | 0.72 | 0.134 | 0.904 | 1.039 | 4.18 | 1.005 |
| B6-1 | 23.29 | 4.23 | 0.70 | 0.136 | 0.925 | 1.121 | 4.34 | 1.027 |
| B7-1 | 26.34 | 4.96 | 0.75 | 0.139 | 0.935 | 1.086 | 5.07 | 1.023 |
| Avg | 1.003 | |||||||
| S.D. | 0.017 |
| (a) | ||||||||
| Beam No. | Concrete Type | M (kN·m) | M/Mu | wmax,t (mm) | wmax,c (mm) | wmax,c /wmax,t | wmax,cl (mm) | wmax,cl /wmax,t |
| B2-1 | RASCC | 9.0 | 0.5 | 0.16 | 0.20 | 1.248 | 0.16 | 0.998 |
| 10.8 | 0.6 | 0.20 | 0.25 | 1.272 | 0.21 | 1.048 | ||
| B3-1 | 10.9 | 0.5 | 0.14 | 0.20 | 1.406 | 0.16 | 1.172 | |
| 13.1 | 0.6 | 0.17 | 0.25 | 1.460 | 0.21 | 1.244 | ||
| B4-1 | 13.2 | 0.5 | 0.12 | 0.18 | 1.486 | 0.15 | 1.289 | |
| 15.9 | 0.6 | 0.18 | 0.22 | 1.239 | 0.2 | 1.092 | ||
| B5-1 | 13.8 | 0.5 | 0.18 | 0.16 | 0.882 | 0.14 | 0.779 | |
| 16.6 | 0.6 | 0.22 | 0.20 | 0.899 | 0.18 | 0.805 | ||
| B6-1 | 15.5 | 0.5 | 0.14 | 0.16 | 1.110 | 0.14 | 0.993 | |
| 18.6 | 0.6 | 0.18 | 0.19 | 1.068 | 0.17 | 0.967 | ||
| B7-1 | 17.6 | 0.5 | 0.15 | 0.17 | 1.112 | 0.15 | 1.011 | |
| 21.1 | 0.6 | 0.16 | 0.21 | 1.283 | 0.19 | 1.179 | ||
| Avg | 1.205 | 1.048 | ||||||
| S.D. | 0.190 | 0.152 | ||||||
| (b) | ||||||||
| Beam No. | Concrete Type | M (kN·m) | M/Mu | wmax,t (mm) | wmax,c (mm) | wmax,c/wmax,t | ||
| B3-2 | NC | 11.0 | 0.5 | 0.18 | 0.18 | 1.002 | ||
| 13.2 | 0.6 | 0.22 | 0.23 | 1.031 | ||||
| B4-2 | 13.2 | 0.5 | 0.16 | 0.17 | 1.052 | |||
| 15.8 | 0.6 | 0.20 | 0.21 | 1.045 | ||||
| B6-2 | 15.4 | 0.5 | 0.15 | 0.16 | 1.038 | |||
| 18.5 | 0.6 | 0.19 | 0.19 | 1.015 | ||||
| Avg | 1.031 | |||||||
| S.D. | 0.017 | |||||||
Publisher’s Note: MDPI stays neutral with regard to jurisdictional claims in published maps and institutional affiliations. |
© 2022 by the authors. Licensee MDPI, Basel, Switzerland. This article is an open access article distributed under the terms and conditions of the Creative Commons Attribution (CC BY) license (https://creativecommons.org/licenses/by/4.0/).
Share and Cite
Yu, F.; Wang, M.; Yao, D.; Yang, W. Study on Flexural Behavior of Self-Compacting Concrete Beams with Recycled Aggregates. Buildings 2022, 12, 881. https://doi.org/10.3390/buildings12070881
Yu F, Wang M, Yao D, Yang W. Study on Flexural Behavior of Self-Compacting Concrete Beams with Recycled Aggregates. Buildings. 2022; 12(7):881. https://doi.org/10.3390/buildings12070881
Chicago/Turabian StyleYu, Fang, Min Wang, Dali Yao, and Weichuang Yang. 2022. "Study on Flexural Behavior of Self-Compacting Concrete Beams with Recycled Aggregates" Buildings 12, no. 7: 881. https://doi.org/10.3390/buildings12070881
APA StyleYu, F., Wang, M., Yao, D., & Yang, W. (2022). Study on Flexural Behavior of Self-Compacting Concrete Beams with Recycled Aggregates. Buildings, 12(7), 881. https://doi.org/10.3390/buildings12070881
