Aerodynamic Forces on a Bluff Cylinder in Sinusoidal Streamwise Winds with Different Angles of Attack
Abstract
:1. Introduction
- (i)
- Separating the effects of fluctuating winds of different length scales. Since turbulence is broadband in the frequency domain, it is difficult to obtain an in-depth analysis of the frequency-dependent aerodynamics of structures. In contrast, the single-frequency sinusoidal flow is more suitable for investigating different turbulent parameters’ effects separately [5], such as the intensity and the length scale.
- (ii)
- Determining the aerodynamic admittance functions (AAF). Calculating frequency-by-frequency the power spectral density (PSD) of the aerodynamic forces and the approaching flow, the AAF can be determined through wind tunnel tests in a series of sinusoidal flows. This method was called the “separated frequency-by-frequency method (SFFM)” and was extensively adopted in Chen et al. [6], Ma et al. [7], Yang et al. [8], Wu et al. [9], etc., to identify the AAF of a variety of structures.
2. Experimental Tests
2.1. Experimental Set-Ups
2.2. Characteristics of Sinusoidal Flow
3. Spectral Analysis
4. Time-Averaged and Fluctuating Forces
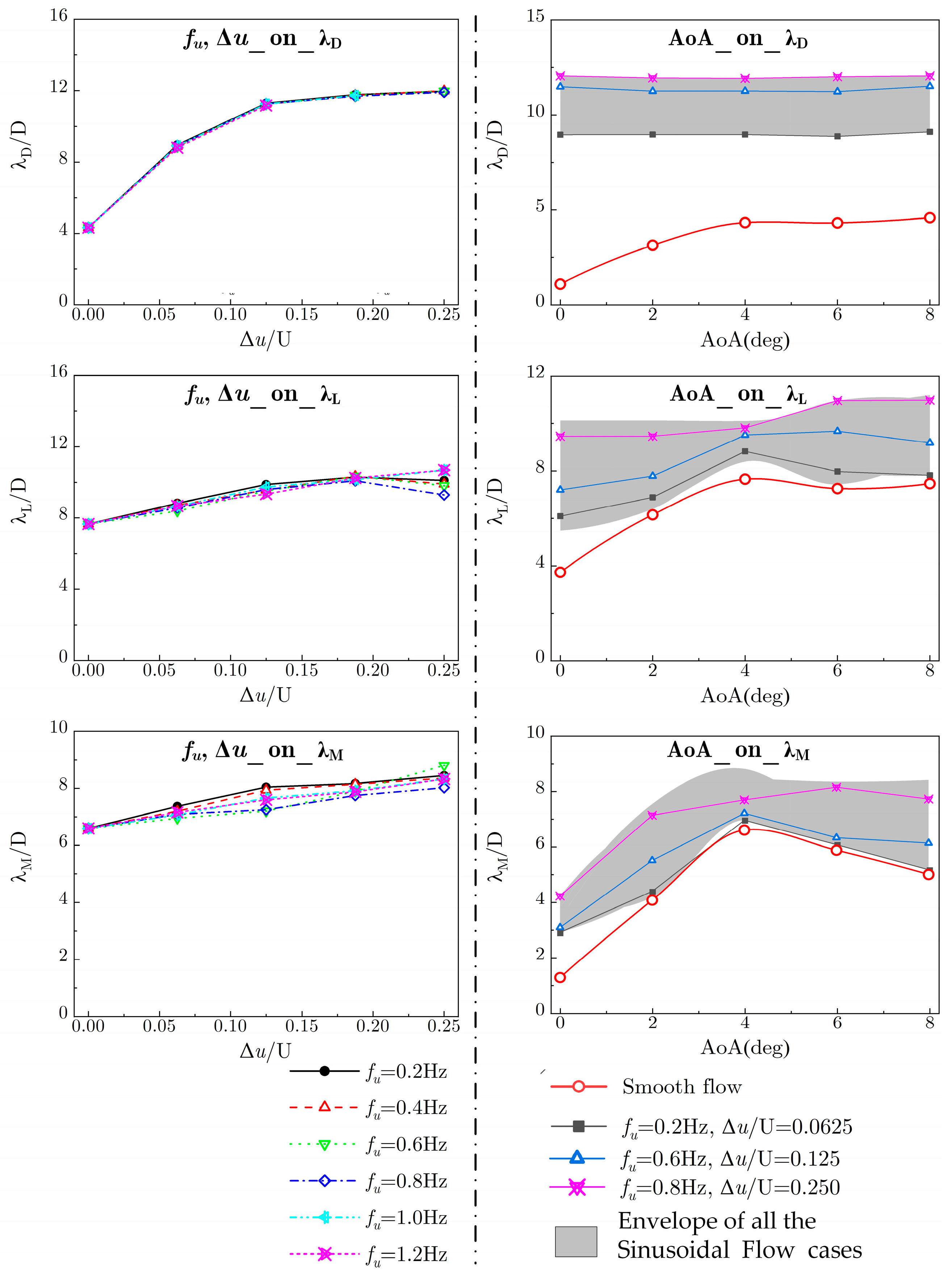
4.1. Effects of the Frequency, Amplitude, and AoA
4.2. Contributions of Inflow Velocity Oscillation and Wake Vortex-Shedding
- Sinflow: the integration of PSD centered on the frequency flow = fu, indicating the contribution from inflow velocity oscillation;
- Svs: the integration of PSD centered on the frequency fhigh = fs, indicating the contribution from wake vortex-shedding.
5. Spanwise Characteristics
6. Conclusions
Author Contributions
Funding
Institutional Review Board Statement
Informed Consent Statement
Data Availability Statement
Acknowledgments
Conflicts of Interest
References
- Theodorsen, T. General Theory of Aerodynamic Instability and the Mechanism of Flutter; No. 496; NASA: Washington, DC, USA, 1935.
- Sears, W.R. Some aspects of non-stationary airfoil theory and its practical application. J. Aeronaut. Sci. 1941, 8, 104–108. [Google Scholar] [CrossRef]
- Ribner, H.S. Spectral theory of buffeting and gust response: Unification and extension. J. Aeronaut. Sci. 1956, 23, 1075–1077. [Google Scholar] [CrossRef]
- Scanlan, R.H. Problematics in Formulation of Wind-Force Models for Bridge Decks. J. Eng. Mech. 1993, 119, 1353–1375. [Google Scholar] [CrossRef]
- Diana, G.; Bruni, S.; Cigada, A.; Zappa, E. Complex aerodynamic admittance function role in buffeting response of a bridge deck. J. Wind Eng. Ind. Aerodyn. 2002, 90, 2057–2072. [Google Scholar] [CrossRef]
- Chen, Z.Q.; Han, Y.; Hua, X.G.; Luo, Y.Z. Investigation on influence factors of buffeting response of bridges and its aeroelastic model verification for Xiaoguan Bridge. Eng. Struct. 2009, 31, 417–431. [Google Scholar] [CrossRef]
- Ma, T.T.; Zhao, L.; Cao, S.Y.; Ge, Y.J.; Miyagi, H. Investigations of aerodynamic effects on streamlined box girder using two-dimensional actively-controlled oncoming flow. J. Wind Eng. Ind. Aerodyn. 2013, 122, 118–129. [Google Scholar] [CrossRef]
- Yang, Y.; Li, M.; Ma, C.; Li, S. Experimental investigation on the unsteady lift of an airfoil in a sinusoidal streamwise gust. Phys. Fluids 2017, 29, 51703. [Google Scholar] [CrossRef]
- Wu, B.; Li, S.; Zhang, L.; Li, K. Experimental determination of the two-dimensional aerodynamic admittances of a 5:1 rectangular cylinder in streamwise sinusoidal flows. J. Wind Eng. Ind. Aerodyn. 2021, 210, 104525. [Google Scholar] [CrossRef]
- Feshalami, B.F.; He, S.; Scarano, F.; Gan, L.; Morton, C. A review of experiments on stationary bluff body wakes. Phys. Fluids 2022, 34, 11301. [Google Scholar] [CrossRef]
- Tanida, Y.; Okajima, A.; Watanabe, Y. Stability of a circular cylinder oscillating in uniform flow or in a wake. J. Fluid Mech. 1973, 61, 769–784. [Google Scholar] [CrossRef]
- Konstantinidis, E.; Balabani, S.; Yianneskis, M. The effect of flow perturbations on the near wake characteristics of a circular cylinder. J. Fluid Struct. 2003, 18, 367–386. [Google Scholar] [CrossRef]
- Nomura, T.; Suzuki, Y.; Uemura, M.; Kobayashi, N. Aerodynamic forces on a square cylinder in oscillating flow with mean velocity. J. Wind Eng. Ind. Aerodyn. 2003, 91, 199–208. [Google Scholar] [CrossRef]
- Chen, C.; Fang, F.; Li, Y.; Huang, L.; Chung, C. Fluid forces on a square cylinder in oscillating flows with non-zero-mean velocities. Int. J. Numer. Methods Fluids 2009, 60, 79–93. [Google Scholar] [CrossRef]
- Zhao, M.; Cheng, L.; Zhou, T. Three-dimensional numerical simulation of oscillatory flow around a circular cylinder at right and oblique attacks. Ocean Eng. 2011, 38, 2056–2069. [Google Scholar] [CrossRef]
- Cigada, A.; Diana, G.; Zappa, E. On the response of a bridge deck to turbulent wind: A new approach. J. Wind Eng. Ind. Aerodyn. 2002, 90, 1173–1182. [Google Scholar] [CrossRef]
- Tang, Q.; Xin, J.; Jiang, Y.; Zhou, J.; Li, S.; Chen, Z. Novel identification technique of moving loads using the random response power spectral density and deep transfer learning. Measurement 2022, 195, 111120. [Google Scholar] [CrossRef]
- Xin, J.; Jiang, Y.; Zhou, J.; Peng, L.; Liu, S.; Tang, Q. Bridge deformation prediction based on SHM data using improved VMD and conditional KDE. Eng. Struct. 2022, 261, 114285. [Google Scholar] [CrossRef]
- Huang, H.; Yan, Z.; Zeng, Y.; Yue, T.; Yan, J.; Fu, H. Experimental study on the pressure distribution of a low aspect-ratio circular cylinder and interference effects of a square cylinder in downburst flows. J. Braz. Soc. Mech. Sci. 2021, 43, 294. [Google Scholar] [CrossRef]
- Bartoli, G.; Bruno, L.; Buresti, G.; Ricciarelli, F.; Salvetti, M.V.; Zasso, A. BARC Overview Document. Available online: http://www.aniv-iawe.org/barc (accessed on 28 April 2017).
- Bruno, L.; Salvetti, M.V.; Ricciardelli, F. ERCOFTAC QNET-CFD Knowledge Base Wiki: Benchmark on the Aerodynamics of a Rectangular 5:1 Cylinder (BARC). 2017. Available online: http://www.kbwiki.ercoftac.org/w/index.php/Abstr:UFR_2-15 (accessed on 17 August 2019).
- Bruno, L.; Salvetti, M.V.; Ricciardelli, F. Benchmark on the Aerodynamics of a Rectangular 5:1 Cylinder: An overview after the first four years of activity. J. Wind Eng. Ind. Aerodyn. 2014, 126, 87–106. [Google Scholar] [CrossRef] [Green Version]
- Mannini, C.; Šoda, A.; Schewe, G. Unsteady RANS modelling of flow past a rectangular cylinder: Investigation of Reynolds number effects. Comput. Fluids 2010, 39, 1609–1624. [Google Scholar] [CrossRef] [Green Version]
- Mannini, C.; Marra, A.M.; Pigolotti, L.; Bartoli, G. The effects of free-stream turbulence and angle of attack on the aerodynamics of a cylinder with rectangular 5:1 cross section. J. Wind Eng. Ind. Aerodyn. 2017, 161, 42–58. [Google Scholar] [CrossRef]
- Bruno, L.; Fransos, D.; Coste, N.; Bosco, A. 3D flow around a rectangular cylinder: A computational study. J. Wind Eng. Ind. Aerodyn. 2010, 98, 263–276. [Google Scholar] [CrossRef] [Green Version]
- Mariotti, A.; Siconolfi, L.; Salvetti, M.V. Stochastic sensitivity analysis of large-eddy simulation predictions of the flow around a 5:1 rectangular cylinder. Eur. J. Mech. B Fluids 2017, 62, 149–165. [Google Scholar] [CrossRef]
- Mariotti, A.; Salvetti, M.V.; Omrani, P.S.; Witteveen, J.A.S. Stochastic analysis of the impact of free-stream conditions on the aerodynamics of a rectangular 5:1 cylinder. Comput. Fluids 2016, 136, 170–192. [Google Scholar] [CrossRef] [Green Version]
- Wu, B.; Li, S.; Li, K.; Zhang, L. Numerical and experimental studies on the aerodynamics of a 5:1 rectangular cylinder at angles of attack. J. Wind Eng. Ind. Aerodyn. 2020, 199, 104097. [Google Scholar] [CrossRef]
- Wu, B.; Li, S.; Li, K.; Yang, Q.; Zhang, L.; Qian, G. Large-eddy simulation of the near wake of a 5:1 rectangular cylinder in oscillating flows at Re=670. J. Wind Eng. Ind. Aerodyn. 2020, 196, 104050. [Google Scholar] [CrossRef]
- Li, M.; Li, Q.; Shi, H. Aerodynamic pressures on a 5:1 rectangular cylinder in sinusoidal streamwise oscillatory flows with non-zero mean velocities. J. Wind Eng. Ind. Aerodyn. 2021, 208, 104440. [Google Scholar] [CrossRef]
- Zhong, Y.; Li, S.; Jin, W.; Yan, Z.; Liu, X.; Li, Y. Frequency Domain Analysis of Alongwind Response and Study of Wind Loads for Transmission Tower Subjected to Downbursts. Buildings 2022, 12, 148. [Google Scholar] [CrossRef]
- Jiang, Y.; Zhao, N.; Peng, L.; Xin, J.; Liu, S. Fast simulation of fully non-stationary wind fields using a new matrix factorization assisted interpolation method. Mech. Syst. Signal Processing 2022, 172, 108973. [Google Scholar] [CrossRef]
- Liu, X.; Yang, Y.; Sun, Y.; Zhong, Y.; Zhou, L.; Li, S.; Wu, C. Tuned-Mass-Damper-Inerter Performance Evaluation and Optimal Design for Transmission Line under Harmonic Excitation. Buildings 2022, 12, 435. [Google Scholar] [CrossRef]
- Pan, T.; Zhao, L.; Cao, S.Y.; Ge, Y.J.; Ozono, S. Analysis of Aerodynamic Load Effect on Thin Plat Section in Multiple Fan Active Control Wind Tunnel. Procedia Eng. 2011, 14, 2481–2488. [Google Scholar] [CrossRef] [Green Version]
- Xu, F.Y.; Wu, T.; Ying, X.Y.; Kareem, A. Higher-Order Self-Excited Drag Forces on Bridge Decks. J. Eng. Mech. 2016, 142, 06015007. [Google Scholar] [CrossRef]
- Hillier, R.; Cherry, N.J. The effects of stream turbulence on separation bubbles. J. Wind Eng. Ind. Aerodyn. 1981, 8, 49–58. [Google Scholar] [CrossRef]
- Li, Q.S.; Melbourne, W.H. The effect of large-scale turbulence on pressure fluctuations in separated and reattaching flows. J. Wind Eng. Ind. Aerodyn. 1999, 83, 159–169. [Google Scholar] [CrossRef]
- Li, Q.S.; Melbourne, W.H. An experimental investigation of the effects of free-stream turbulence on streamwise surface pressures in separated and reattaching flows. J. Wind Eng. Ind. Aerodyn. 1995, 54, 313–323. [Google Scholar] [CrossRef]
- Zhang, M.; Xu, F.; Zhang, Z.; Ying, X. Energy budget analysis and engineering modeling of post-flutter limit cycle oscillation of a bridge deck. J. Wind Eng. Ind. Aerodyn. 2019, 188, 410–420. [Google Scholar] [CrossRef]














Publisher’s Note: MDPI stays neutral with regard to jurisdictional claims in published maps and institutional affiliations. |
© 2022 by the authors. Licensee MDPI, Basel, Switzerland. This article is an open access article distributed under the terms and conditions of the Creative Commons Attribution (CC BY) license (https://creativecommons.org/licenses/by/4.0/).
Share and Cite
Wu, B.; Zhou, J.; Xin, J.; Zhang, H.; Zhang, L.; Yang, X. Aerodynamic Forces on a Bluff Cylinder in Sinusoidal Streamwise Winds with Different Angles of Attack. Buildings 2022, 12, 1033. https://doi.org/10.3390/buildings12071033
Wu B, Zhou J, Xin J, Zhang H, Zhang L, Yang X. Aerodynamic Forces on a Bluff Cylinder in Sinusoidal Streamwise Winds with Different Angles of Attack. Buildings. 2022; 12(7):1033. https://doi.org/10.3390/buildings12071033
Chicago/Turabian StyleWu, Bo, Jianting Zhou, Jingzhou Xin, Hong Zhang, Liangliang Zhang, and Xianyi Yang. 2022. "Aerodynamic Forces on a Bluff Cylinder in Sinusoidal Streamwise Winds with Different Angles of Attack" Buildings 12, no. 7: 1033. https://doi.org/10.3390/buildings12071033
APA StyleWu, B., Zhou, J., Xin, J., Zhang, H., Zhang, L., & Yang, X. (2022). Aerodynamic Forces on a Bluff Cylinder in Sinusoidal Streamwise Winds with Different Angles of Attack. Buildings, 12(7), 1033. https://doi.org/10.3390/buildings12071033

