Behavior of Self-Tapping Screws Used in Hybrid Light Wood Frame Structures Connected to a CLT Core
Abstract
:1. Introduction
2. Test Program
3. Experimental Results
4. Conclusions
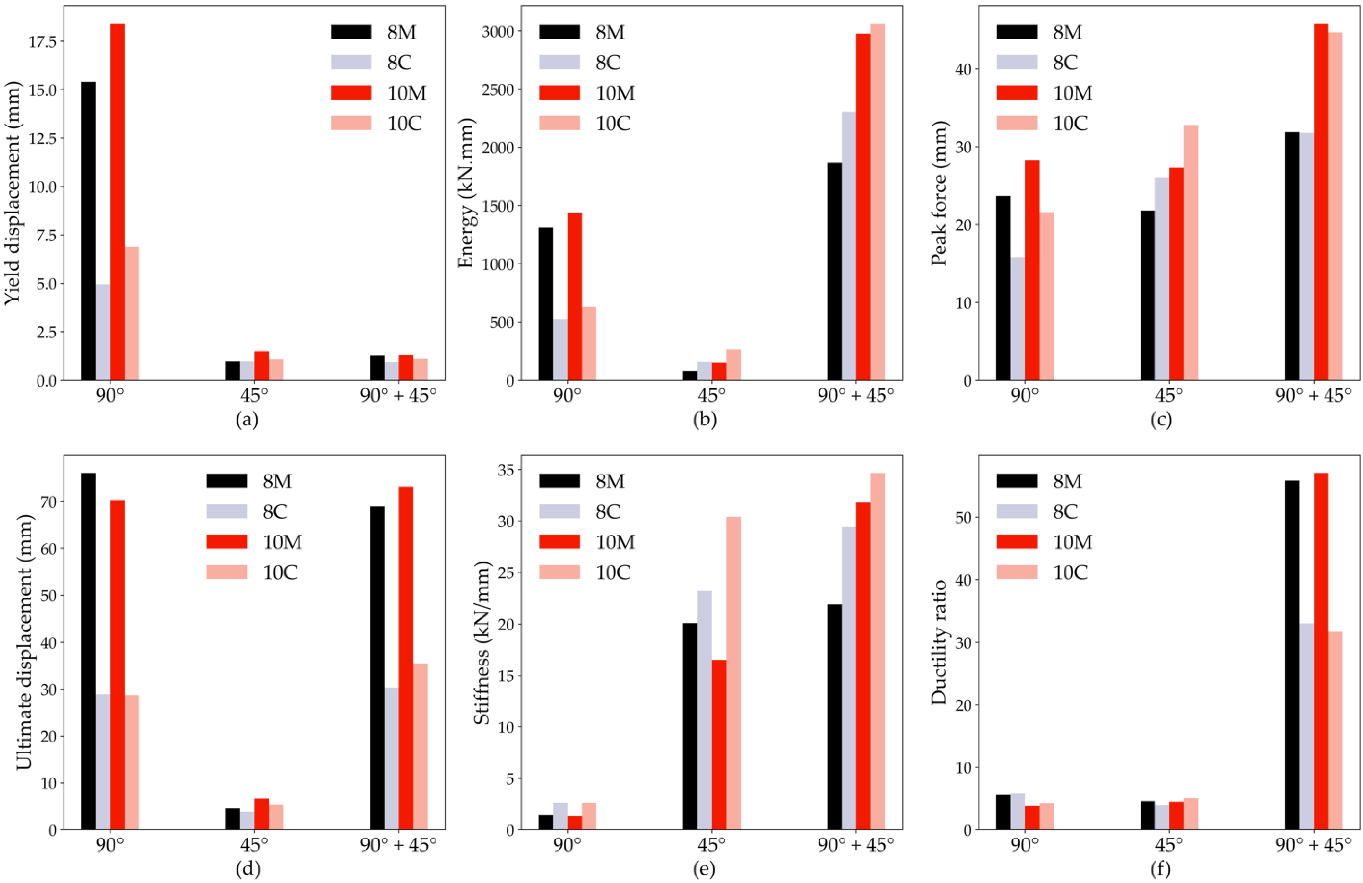
- STSs were capable of transferring high lateral forces, which makes them feasible to be used in hybrid light-frame wood structures connected to CLT cores where a limited length of CLT core is available for installing the connections.
- Connections with 10 mm STSs had slightly higher strength than that with 8 mm STSs. However, 10 mm STSs were more prone to splitting wood; therefore, distance should be maintained between screws when they are connected to dimension lumber. Predrilling may also help prevent lumber splitting if enough distance cannot be guaranteed.
- 45° STS connections had greater stiffness but significantly lower ultimate displacement than 90° STS connections. It is recommended that these connections be detailed in accordance with capacity design principles and be regarded as non-dissipative (force-controlled) connections.
- Although the 90° STS connections had similar ductility to 45° STS connections, which is due to the definition of ductility ratio, their energy dissipation capacity was much larger than that of 45° STS connections.
- When combining 45° and 90° STSs in a connection, the system benefitted from the advantages of individual connection and made the STS joint a much more ductile connection.
- All test specimens provided acceptable energy dissipation capacity, as indicated by equivalent viscous damping values, which is not consistent with the conductions derived based on ductility ratio and energy dissipation values. Further research is needed to address this issue.
Author Contributions
Funding
Institutional Review Board Statement
Informed Consent Statement
Data Availability Statement
Acknowledgments
Conflicts of Interest
References
- NBCC 2015. National Building Code of Canada: Ottawa, Canadian Commission on Building and Fire Code; National Research Council of Canada: Ottawa, ON, Canada, 2015.
- Polastri, A.; Pozza, L.; Loss, C.; Smith, I. Numerical analyses of high- and medium-rise CLT buildings braced with cores and additional shear walls. Struct. Archit. 2016, 5, 128–136. [Google Scholar] [CrossRef]
- Van de Lindt, J.W.; Asce, M. Evolution of Wood Shear Wall Testing, Modeling, and Reliability Analysis: Bibliography. Pract. Period. Struct. Des. Constr. 2004, 1, 44–53. [Google Scholar] [CrossRef]
- Ceccotti, A.; Lauriola, M.P.; Pinna, M.; Sandhaas, C. SOFIE project-cyclic tests on cross-laminated wooden panels. In Proceedings of the 9th World Conference on Timber Engineering (WCTE), Portland, OR, USA, 6–10 August 2006. [Google Scholar]
- Nguyen, T.T.; Dao, T.N.; Aaleti, S.; van de Lindt, J.W.; Fridley, K.J. Seismic assessment of a three-story wood building with an integrated CLT-lightframe system using RTHS. Eng. Struct. 2018, 167, 695–704. [Google Scholar] [CrossRef]
- Anandan, Y.K.; van de Lindt, J.W.; Amini, M.O.; Dao, T.N.; Aaleti, S. Experimental Dynamic Testing of Full-Scale Light-Frame-CLT Wood Shear Wall System. J. Archit. Eng. 2021, 1, 04020042. [Google Scholar] [CrossRef]
- Karacabeyli, E.; Gagnon, S. Pîrvu, Canadian CLT Handbook: Cross-Laminated Timber; FPInnovations: Québec, QC, Canada, 2019. [Google Scholar]
- Loss, C.; Hossain, A.; Tannert, T. Simple cross-laminated timber shear connections with spatially arranged screws. Eng. Struct. 2018, 173, 340–356. [Google Scholar] [CrossRef]
- Muñoz, W.; Mohammad, M.; Gagnon, S. Lateral and withdrawal resistance of typical CLT connections. In Proceedings of the 11th World Conference on Timber Engineering (WCTE ), Riva del Garda, Italy, 20–24 June 2010. [Google Scholar]
- Hossain, A.; Popovski, M.; Tannert, T. Cross-laminated timber connections assembled with a combination of screws in withdrawal and screws in shear. Eng. Struct. 2018, 168, 1–11. [Google Scholar] [CrossRef]
- Tomasi, R.; Piazza, M.; Angeli, A.; Mores, M. A new ductile approach design of joints assembled with screw connectors. In Proceedings of the 9th World Conference on Timber Engineering (WCTE), Portland, OR, USA, 6–10 August 2006. [Google Scholar]
- Gavric, I.; Fragiacomo, M.; Ceccotti, A. Cyclic behavior of typical screwed connections for cross-laminated (CLT) structures. Eur. J. Wood Wood Prod. 2015, 2, 179–191. [Google Scholar] [CrossRef]
- Brown, J.R.; Li, M.; Tannert, T.; Moroder, D. Experimental study on orthogonal joints in cross-laminated timber with self-tapping screws installed with mixed angles. Eng. Struct. 2021, 228, 111560. [Google Scholar] [CrossRef]
- CSA O86; Engineering Design in Wood. Canadian Standard Association: Toronto, ON, Canada, 2019.
- MTC. Solutions. Structural Screw Design Guide 2019. In Pîrvu, Canadian CLT Handbook: Cross-Laminated Timber; Karacabeyli, E., Gagnon, S., Eds.; FPInnovations: Vancouver, BC, Canada, 2020. [Google Scholar]
- ANSI/APA PRG 320; Standard for Performance-rated Cross Laminates Timber. American National Standards Institute, The Engineered Wood Association: New York, NY, USA, 2018.
- CCMC. Evaluation Report SWG ASSY® VG Plus and SWG ASSY® 3.0 Self-Tapping Wood Screws; CCMC: Ottawa, ON, Canada, 2020. [Google Scholar]
- ASTM D1761; Standard test Methods for Mechanical Fasteners in Wood. American Society for Testing Material Standard: West Conshohocken, PA, USA, 2020. [CrossRef]
- ASTM E2126; Standard Test Methods for Cyclic (Reversed) Load Test for Shear Resistance of Vertical Elements of the Lateral Force Resisting Systems for Buildings. American Society for Testing Material Standard: West Conshohocken, PA, USA, 2019. [CrossRef]
- Varum, H.S.A. Seismic Assessment, Strengthening and Repair of Existing Buildings. Doctoral Dissertation, Universidade de Aveiro, Aveiro, Portugal, 2003. [Google Scholar]








| CLT [14] | Layers | |
|---|---|---|
| Longitudinal | Transversal | |
| Bending at extreme fibre, fb (MPa) | 28.2 | 7.0 |
| Longitudinal shear, fv (MPa) | 1.5 | 1.5 |
| Rolling shear, fs (MPa) | 0.5 | 0.5 |
| Compression parallel to grain, fc (MPa) | 19.3 | 9.0 |
| Compression perpendicular to grain, fcp (MPa) | 5.3 | 5.3 |
| Tension parallel to grain, ft (MPa) | 15.4 | 3.2 |
| Modulus of elasticity, E (MPa) | 11700 | 9000 |
| Shear modulus, G (MPa) | 731 | 563 |
| Longitudinal shear, fv (MPa) | 73.1 | 56.3 |
| STS [16] | Diameter | |
| 8 mm | 10 mm | |
| Bending yield strength (MPa) | 1015 | 942 |
| Unfactored tension strength (kN) | 18.9 | 24 |
| Unfactored shear strength (kN) | 641 | 691 |
| Loading Type | STS Insertion Angle | STS Type | Diameter of Fasteners (mm) | Length of Fasteners (mm) |
|---|---|---|---|---|
| Monotonic | 90° | PT 1 | 8 | 160 |
| 10 | 160 | |||
| 45° | FT 2 | 8 | 240 | |
| 10 | 240 | |||
| 45° + 90° | FT + PT | 8 | 160 + 240 | |
| 10 | 160 + 240 | |||
| Cyclic | 90° | PT | 8 | 160 |
| 10 | 160 | |||
| 45° | FT | 8 | 240 | |
| 10 | 240 | |||
| 45° + 90° | FT + PT | 8 | 160 + 240 | |
| 10 | 160 + 240 |
| Monotonic | Screw Diameter | Δy (mm) | Fy (kN) | Fpeak (kN) | Δpeak (mm) | Δu (mm) | K (kN/mm) | µ | E 2 (kN·mm) |
|---|---|---|---|---|---|---|---|---|---|
| 90° | 8 mm | 18.4 | 21.1 | 26.2 | 53.9 | 66.9 | 1.1 | 3.6 | 1217.5 |
| 22.4 | 20.6 | 25.7 | 61.1 | 86.1 | 0.9 | 3.9 | 1542.9 | ||
| 12.3 | 18.8 | 22.6 | 52.0 | 72.3 | 1.5 | 5.9 | 1243.6 | ||
| 8.7 | 16.6 | 20.3 | 61.7 | 79.1 | 1.9 | 9.1 | 1240.9 | ||
| Mean | 15.4 | 19.2 | 23.7 | 57.2 | 76.1 | 1.4 | 5.6 | 1311.2 | |
| COV | 34% | 9% | 10% | 8% | 10% | 27% | 39% | 10% | |
| 45° | 8 mm | 0.9 | 20.6 | 22.9 | 1.7 | 3.1 | 23.9 | 3.6 | 54.6 |
| 1.0 | 20.0 | 22.2 | 2.0 | 4.8 | 21.0 | 5.1 | 86.0 | ||
| 1.3 | 21.2 | 23.4 | 2.2 | 5.4 | 16.0 | 4.1 | 100.7 | ||
| 0.9 | 17.5 | 18.6 | 1.9 | 5.2 | 19.4 | 5.8 | 83.1 | ||
| Mean | 1.0 | 19.8 | 21.8 | 1.9 | 4.6 | 20.1 | 4.6 | 81.1 | |
| COV | 18% | 7% | 9% | 9% | 20% | 14% | 19% | 21% | |
| 45° + 90° | 8 mm | 1.12 | 24.9 | 29.0 | 56.5 | 68.8 | 22.2 | 61.5 | 1699.2 |
| 1.18 | 27.6 | 32.0 | 55.2 | 75.0 | 23.3 | 63.4 | 2053.7 | ||
| 1.63 | 22.1 | 26.3 | 47.4 | 58.5 | 13.5 | 35.9 | 1274.8 | ||
| 1.17 | 33.4 | 40.2 | 58.4 | 73.6 | 28.5 | 62.9 | 2438.7 | ||
| Mean | 1.28 | 27.0 | 31.9 | 54.4 | 69.0 | 21.9 | 55.9 | 1866.6 | |
| COV | 16% | 16% | 16% | 8% | 9% | 25% | 21% | 23% | |
| 90° | 10 mm | 20.8 | 22.7 | 27.2 | 57.3 | 75.9 | 1.1 | 3.7 | 1486.9 |
| 14.1 1 | 21.1 1 | 25.7 1 | 39.3 1 | 41.1 1 | 1.5 1 | 2.9 1 | 718.5 1 | ||
| 5.6 1 | 16.2 1 | 20.8 1 | 20.7 1 | 23.3 1 | 2.9 1 | 4.2 1 | 332.1 1 | ||
| 16.0 | 24.6 | 29.4 | 52.6 | 64.7 | 1.5 | 4.0 | 1394.8 | ||
| Mean | 18.4 | 23.6 | 28.3 | 42.5 | 70.3 | 1.3 | 3.8 | 1440.8 | |
| COV | 13% | 4% | 4% | 33% | 8% | 17% | 5% | 3% | |
| 45° | 10 mm | 1.4 | 25.4 | 28.0 | 2.3 | 6.1 | 17.5 | 4.2 | 137.2 |
| 1.5 | 28.3 | 31.1 | 2.7 | 7.0 | 18.7 | 4.6 | 176.9 | ||
| 1.5 | 23.0 | 25.8 | 2.5 | 6.5 | 15.2 | 4.3 | 132.3 | ||
| 1.5 | 22.3 | 24.3 | 2.6 | 7.3 | 14.7 | 4.8 | 146.1 | ||
| Mean | 1.5 | 24.8 | 27.3 | 2.5 | 6.7 | 16.5 | 4.5 | 148.1 | |
| COV | 2% | 9% | 9% | 6% | 7% | 10% | 5% | 12% | |
| 45° + 90° | 10 mm | 1.21 | 39.3 | 44.5 | 51.0 | 72.4 | 32.5 | 59.9 | 2821.5 |
| 1.15 | 37.4 | 43.4 | 63.1 | 74.6 | 32.5 | 64.9 | 2768.5 | ||
| 1.30 | 40.3 | 43.2 | 44.8 | 72.7 | 31.1 | 55.9 | 2903.6 | ||
| 1.53 | 47.5 | 52.3 | 38.6 | 72.6 | 31.1 | 47.5 | 3412.2 | ||
| Mean | 1.30 | 41.1 | 45.8 | 49.4 | 73.1 | 31.8 | 57.1 | 2976.5 | |
| COV | 11% | 9% | 8% | 18% | 1% | 2% | 11% | 9% |
| Cyclic | Screw Diameter | Δy (mm) | Fy (KN) | Fpeak (KN) | Δpeak (mm) | Δu (mm) | K (kN/mm) | µ | E 2 (kN·mm) |
|---|---|---|---|---|---|---|---|---|---|
| 90° | 8 mm | 6.1 | 13.0 | 16.6 | 26.8 | 29.8 | 2.1 | 4.9 | 550.6 |
| 4.2 | 11.8 | 14.4 | 26.2 | 28.3 | 2.8 | 6.7 | 495.8 | ||
| 5.4 | 13.3 | 16.7 | 26.5 | 27.9 | 2.5 | 5.2 | 530.3 | ||
| 4.4 | 13.0 | 15.5 | 20.2 | 29.7 | 3.0 | 6.8 | 520.6 | ||
| Mean | 5.0 | 12.8 | 15.8 | 24.9 | 28.9 | 2.6 | 5.9 | 524.3 | |
| COV | 15% | 4% | 6% | 11% | 3% | 13% | 15% | 4% | |
| 45° | 8 mm | 1.0 | 21.5 | 23.9 | 2.5 | 4.3 | 21.9 | 4.4 | 174.8 |
| 1.1 | 25.5 | 28.1 | 2.0 | 3.8 | 23.6 | 3.5 | 150.2 | ||
| 1.2 | 24.9 | 27.8 | 2.2 | 3.9 | 20.5 | 3.2 | 174.1 | ||
| 0.8 | 22.1 | 24.2 | 1.8 | 3.5 | 27.0 | 4.3 | 151.4 | ||
| Mean | 1.0 | 23.5 | 26.0 | 2.1 | 3.9 | 23.2 | 3.9 | 162.6 | |
| COV | 14% | 7% | 8% | 12% | 7% | 10% | 13% | 7% | |
| 45° + 90° | 8 mm | 0.92 | 29.4 | 32.9 | 34.1 | 34.1 | 32.0 | 37.1 | 2214.5 |
| 0.81 | 24.2 | 27.2 | 27.9 | 31.3 | 30.0 | 38.8 | 2184.1 | ||
| 0.91 | 29.3 | 36.6 | 27.5 | 29.5 | 32.2 | 32.5 | 2411.4 | ||
| 1.11 | 26.0 | 30.6 | 19.9 | 26.5 | 23.4 | 23.9 | 2409.2 | ||
| Mean | 0.94 | 27.2 | 31.8 | 27.4 | 30.4 | 29.4 | 33.1 | 2304.8 | |
| COV | 12% | 8% | 11% | 18% | 9% | 12% | 17% | 5% | |
| 90° | 10 mm | 7.0 | 17.3 | 20.9 | 26.4 | 30.0 | 2.5 | 4.3 | 621.5 |
| 8.3 | 18.6 | 23.0 | 25.8 | 30.3 | 2.2 | 3.7 | 663.4 | ||
| 5.4 | 16.8 | 20.9 | 23.5 | 25.8 | 3.1 | 4.7 | 608.3 | ||
| 1.8 1 | 9.1 1 | 10.4 1 | 8.0 1 | 9.0 1 | 5.2 1 | 5.2 1 | 163.0 1 | ||
| Mean | 6.9 | 17.6 | 21.6 | 25.2 | 28.7 | 2.6 | 4.2 | 631.1 | |
| COV | 17% | 4% | 5% | 36% | 7% | 13% | 10% | 4% | |
| 45° | 10 mm | 1.5 | 31.8 | 35.7 | 2.3 | 4.8 | 21.9 | 3.3 | 250.0 |
| 0.7 | 35.1 | 39.5 | 0.6 | 4.0 | 52.6 | 6.0 | 261.1 | ||
| 0.9 | 28.8 | 32.2 | 1.0 | 5.8 | 32.9 | 6.6 | 300.0 | ||
| 1.5 | 21.4 | 23.8 | 3.2 | 6.6 | 14.3 | 4.4 | 252.3 | ||
| Mean | 1.1 | 29.3 | 32.8 | 1.8 | 5.3 | 30.4 | 5.1 | 265.8 | |
| COV | 32% | 17% | 18% | 59% | 18% | 47% | 26% | 8% | |
| 45° + 90° | 10 mm | 1.10 | 34.5 | 38.3 | 33.6 | 41.7 | 31.2 | 37.7 | 3052.6 |
| 1.15 | 39.9 | 48.9 | 24.8 | 33.5 | 34.8 | 29.2 | 3252.6 | ||
| 1.17 | 44.9 | 50.2 | 27.1 | 32.7 | 38.4 | 27.9 | 3326.7 | ||
| 1.06 | 36.6 | 41.3 | 27.5 | 34.1 | 34.4 | 32.0 | 2614.9 | ||
| Mean | 1.12 | 39.0 | 44.7 | 28.2 | 35.5 | 34.7 | 31.7 | 3061.7 | |
| COV | 4% | 10% | 11% | 11% | 10% | 7% | 12% | 9% |
Publisher’s Note: MDPI stays neutral with regard to jurisdictional claims in published maps and institutional affiliations. |
© 2022 by the authors. Licensee MDPI, Basel, Switzerland. This article is an open access article distributed under the terms and conditions of the Creative Commons Attribution (CC BY) license (https://creativecommons.org/licenses/by/4.0/).
Share and Cite
Eini, A.; Zhou, L.; Ni, C. Behavior of Self-Tapping Screws Used in Hybrid Light Wood Frame Structures Connected to a CLT Core. Buildings 2022, 12, 1018. https://doi.org/10.3390/buildings12071018
Eini A, Zhou L, Ni C. Behavior of Self-Tapping Screws Used in Hybrid Light Wood Frame Structures Connected to a CLT Core. Buildings. 2022; 12(7):1018. https://doi.org/10.3390/buildings12071018
Chicago/Turabian StyleEini, Ariya, Lina Zhou, and Chun Ni. 2022. "Behavior of Self-Tapping Screws Used in Hybrid Light Wood Frame Structures Connected to a CLT Core" Buildings 12, no. 7: 1018. https://doi.org/10.3390/buildings12071018
APA StyleEini, A., Zhou, L., & Ni, C. (2022). Behavior of Self-Tapping Screws Used in Hybrid Light Wood Frame Structures Connected to a CLT Core. Buildings, 12(7), 1018. https://doi.org/10.3390/buildings12071018

