Next Article in Journal
Refurbishing Classrooms for Hybrid Learning: Balancing between Infrastructure and Technology Improvements
Previous Article in Journal
Effects of Floor System on Progressive Collapse Behavior of RC Frame Sub-Assemblages
 
 
Font Type:
Arial Georgia Verdana
Font Size:
Aa Aa Aa
Line Spacing:
Column Width:
Background:
Article

Shear Capacity Stochasticity of Simply Supported and Symmetrically Loaded Reinforced Concrete Beams

Hunan Provincial Key Lab on Damage Diagnosis for Engineering Structures, College of Civil Engineering, Hunan University, Changsha 410082, China
*
Author to whom correspondence should be addressed.
Buildings 2022, 12(6), 739; https://doi.org/10.3390/buildings12060739
Submission received: 10 May 2022 / Revised: 25 May 2022 / Accepted: 26 May 2022 / Published: 30 May 2022
(This article belongs to the Section Building Structures)

Abstract

:
For shear tests of reinforced concrete (RC) beams, a simply supported and symmetrical loading system is usually applied. In deterministic analysis, shear capacities of the paired shear spans of such beams are the same. However, considering the randomness of concrete strength, geometric dimension, and other factors, shear failure often occurs in the weaker one of the paired shear spans of a beam rather than occurring in the two shear spans simultaneously. Therefore, from the perspective of probability theory, the shear capacities of the paired shear spans of such simply supported and symmetrically loaded beams can be regarded as two random variables with the same distribution. The beam shear capacity, which is the minimum of the two random variables, is also a random variable. Hence, probabilistic differences exist between the shear capacities of shear spans and beams. In this paper, the transformation relationship between the stochasticities of shear span shear capacity and beam shear capacity is theoretically derived. By taking the RC beams without web reinforcement as an example, the shear capacity stochasticities of shear spans and beams, which are valuable for reliability-based design codes, are quantitatively analyzed based on three shear strength models in design codes and a reliable experimental database. Their probabilistic differences are identified and verified to have an impact on the model calibration in the reliability analysis. The results also show that there are obvious differences in the shear capacity stochasticities obtained by different models. It indicates that to obtain the real stochasticity of the shear capacity, it is not enough to consider the model uncertainty merely but to minimize it. Therefore, models based on a solid understanding of the shear mechanisms are urgently needed for practical design.

1. Introduction

In shear tests of RC beams, a symmetrical three- or four-point loading system is widely used, as shown in Figure 1. It is impossible to predict in advance that shear failure will occur in which shear span. As the load increases, the flexural-shear diagonal cracks appear gradually in the shear spans. When the beam reaches its ultimate shear capacity, shear failure occurs with one of the two shear spans separated along the critical shear crack. At this point, generally, less damage can be observed in the other shear span. If the failed shear span is reinforced (such as by external stirrups) and then re-loads to shear failure of the other shear span, the ultimate capacity is often higher than that in the first load. This phenomenon can be observed in the experiments performed by Feldman and Siess [1], Leonhardt and Walther [2], Chana [3], Collins and Kuchma [4], Lubell et al. [5,6], and Sherwood et al. [7,8].
In deterministic analysis, for a symmetrically loaded and simply supported beam, the capacities (all of the following “capacity” refers to “shear capacity”) of the two spans (all of the following “span” refers to “shear span”) Vs are the same due to their identical values of geometry parameters and material strength. In this case, there is no difference between span capacity Vs and beam capacity Vb. On the other hand, considering the randomness of concrete strength, geometric dimension, and other factors, the shear failure occurs in one of the paired spans of the beam, which has a lower shear capacity than the other one. In this case, the beam capacity equals the lower span capacity.
Suppose the capacities of the two spans of a symmetrically loaded and simply supported beam are regarded as two random variables with an identical distribution. In that case, the capacity of the beam is a function of the two variables and also a random variable. For a real beam, each span’s capacity can be considered a sample of the corresponding random variable, and the smaller one of the span capacities determines the capacity of the beam.
Yi and Chen [9] assumed that shear capacities Vs1 and Vs2 of the two spans of a symmetrically loaded and simply supported beam obey the same normal distribution (the mean value was 300 kN, and the standard deviation was 50 kN). By Monte Carlo sampling, 500,000 pairs of data were generated as 500,000 virtual beams. The smaller value of each pair of data was selected as the shear capacity Vb of the virtual beam. The probability density function (PDF) curves of Vs1, Vs2, and Vb indicate significant differences between the stochasticities of the span capacity and the beam capacity. However, as the PDF of the span capacity was entirely hypothetical, and the PDF of the beam capacity was obtained by numerical simulation, they cannot truly reflect the differences and relationships between the stochasticities of the span capacity and the beam capacity.
According to the probability theory [10], the transformation relation between the stochasticities of span capacity Vs and beam capacity Vb of symmetrically loaded simple beams was established in this paper. By taking the RC beams without web reinforcement as an example, the stochasticity of Vb was obtained based on a reliable shear test database. On this basis, Vs was theoretically derived, and the probabilistic differences between the stochasticities of Vs and Vb were identified.
The shear capacity stochasticity is important in the reliability analysis. In practical design, shear capacity models of design codes are used to calculate the shear capacity of a shear span or the critical (diagonal) section in a shear span. However, most test results used to calibrate the models are beam capacities of symmetrically loaded simple beams. The discrepancy between the prediction and calibration of the models and the influence on reliability were discussed. In addition, this study also explored the influences of different shear models (i.e., different model uncertainties) on the shear capacity stochasticity.

2. Methodology: Formulation of Shear Capacity Stochasticity

When the shear capacity is regarded as a random variable, the span capacity Vs and beam capacity Vb, respectively, are
V s = V P K P s
V b = V P K P b
where VP is the shear capacity predicted by shear models, and KPs and KPb are the model uncertainties corresponding to Vs and Vb, respectively.

2.1. Stochasticity of Beam Capacity

As most shear tests of simple beams are symmetrically loaded, the tested beam capacity is the smaller value of the capacities of the paired spans. According to the Equation (2), there is
K p b = V b V P
The samples of the model uncertainty Kpb can be obtained by Equation (3) with the samples of the beam capacity Vb. When the VP in Equation (3) is calculated, the measured values of material properties and geometrical dimensions should be used to exclude material uncertainties and geometric uncertainties.
After the samples of Kpb are obtained, the PDF of Kpb can be obtained by fitting, and then the PDF of Vb can be obtained according to Equation (2). However, the number of samples of the span capacity Vs is very limited. Thus, the PDF of Vs cannot be determined by this method.

2.2. Stochasticity of Span Capacity

Assuming that the shear capacities of the paired spans of a simple beam are random variables Vs1 and Vs2 respectively, the beam capacity Vb is
V b = min ( V s 1 , V s 2 )
For a symmetrically loaded simple beam with identical structural characteristics in the paired spans, the span capacities Vs1 and Vs2 are assumed to be statistically independent and identically distributed. According to probability theory [10], the cumulative distribution function (CDF) FY (y) of the minimum Y of the sample random variables X1, X2, ···, Xn, which are statistically independent and identically distributed, is
F Y ( y ) = 1 [ 1 F X ( y ) ] n
The corresponding PDF fY (y) of Y is
f Y ( y ) = n [ 1 F X ( y ) ] n - 1 f X ( y )
The above general conclusion can be used for the establishment of the transformation relationship between the stochasticity of span capacity Vs and beam capacity Vb.
{ F V b ( y ) = 1 [ 1 F V s ( y ) ] 2 f V b ( y ) = 2 [ 1 F V s ( y ) ] f V s ( y )
{ F V s ( y ) = 1 1 F V b ( y ) f V s ( y ) = f V b ( y ) 2 1 F V b ( y )
where FVb (y) and fVb (y) are the CDF and PDF of Vb respectively, and FVs (y) and fVs (y) are the CDF and PDF of Vs respectively.
Thus, once the stochasticity of the beam capacity Vb is known, the stochasticity of the span capacity Vs can be further determined by Equation (8).
It should be noted that although there is a certain correlation between the span capacities of a beam, this correlation is difficult to be quantified and verified. Moreover, considering the correlation will make the theoretical transformation relationship much more complicated [11]. Therefore, for the sake of simplicity, this study adopted the assumption that the paired span capacities in a symmetrically loaded simple beam are independent. Similarly, the independent assumption was also applied to adjacent strips (macroelements) for numerical analysis of the statistical size effect of span in four-point bending beams [12,13].

3. Example: Shear Capacity Stochasticity of Simple RC Beams without Stirrups

3.1. Shear Tests Database

In this paper, the ACI-DAfStb database established by Reineck et al. [14] is considered. The shear failure of slender beams, characterized by diagonal tension, differs from the shear-compression failure of deep beams [15,16,17,18,19]. The transition of slender and deep beams occurs at a shear span-to-depth ratio a/d of 2.0 to 2.5 [20]. Therefore, in order to keep a consistent shear failure mode (i.e., diagonal tension failure), 605 point-loaded rectangular RC beams with shear span-to-depth ratio a/d greater than 2.5 from the database are used to obtain the statistical samples required for this study.
Of the 605 beams, 573 simple beams with symmetrical structural characteristics were symmetrically loaded. The test results of these beams can be regarded as the samples of beam capacity Vb. For the removed 32 beams [1,2,3,4,5,6,7,8,21,22,23], the shear failures of 4 beams (specimens H50/5 and H100/5 in [23], SB2012/0, and SB2003/0 in [22]) were fixed in the selected spans by reinforcing the other spans with stirrups, which can be regarded as the samples of the span capacity Vs.

3.2. Shear Capacity Models

In this study, the shear capacity models of RC beams without stirrups in the European code EC2 [24], the American code ACI 318-14 (ACI) [25], and the Chinese code GB 50010-10 (GB) [26] are selected and listed in Table 1. Since the bending moment weakens shear capacity in the ACI model, it is necessary to determine the critical cross-section. As the shear failure surface involves a length along the beam axis approximately equal to effective depth d, sections closer than d to the face of the support or the face of the load will not be critical [27,28], as shown in Figure 2. Therefore, the cross-section with a distance d from the loading point is selected as the critical section in the ACI model.

3.3. Model Uncertainty Kpb of RC Beams without Stirrups

By filtering the ACI-DAfStb database, 573 samples of beam capacity Vb are obtained, while there are only four samples of span capacity Vs. Therefore, the samples of Vb are used to calculate the samples of model uncertainty Kpb according to Equation (3). In order to exclude the impact of material uncertainty and geometrical uncertainty, the measured values of material properties and geometrical dimensions should be used for Vp. Then, the distribution function of Kpb can be obtained by fitting.
The shear capacities of the 573 beams are calculated by the models in Table 1, and the comparison of the model predictions and the test results are shown in Figure 3. The correlation coefficient R between the predictions by the EC2 model and the test results is the highest, reaching 0.876. Figure 3a shows the prediction points of the EC2 model are closest to the red line, which indicates that the predicted value is equal to the test value. In comparison, the R of the GB model is the lowest, only 0.566. Figure 3c shows the prediction points by the GB model are most significantly scattered on both sides of the red line. The comparison shows that the EC2 model best predicts the shear capacity, followed by the ACI model, while the GB model performs worst.
After the samples of the model uncertainty Kpb are obtained, they are fitted by the normal distribution, lognormal distribution, generalized extreme value (GEV) distribution, logistic distribution, and log-logistic distribution, respectively. The Kolmogorov-Smirnov (KS) test is carried out on whether Kpb obeys the distributions at the 0.05 significance level, and the results are shown in Table 2. For the distributions accepted by the KS test, their fitting results are shown in Figure 4, and the fitting degree is quantified in the log-likelihood value shown in Table 2. The results indicate that the logistic distribution is accepted by the KS test for all the shear capacity models, and its fitting degree is relatively high. Therefore, the logistic distribution is selected for Kpb, and its estimated parameters (i.e., mean μKpb and standard deviation σKpb) are shown in Table 3.

3.4. Beam Capacity Vb of RC Beams without Stirrups

The stochasticity of the model shear capacity Vp can be determined by the random variables considered. According to JCSS Probabilistic Model Code [29], the distribution types and probabilistic properties of the geometric and material variables (including b, d, a, ρ, fc and ft) in the shear capacity models are defined [30], as shown in Table 4.
The concrete compressive strength is defined as [29]
f c = α ( t , τ ) ( f c o ) λ Y 1
where fco is the basic concrete compression strength; α(t,τ) is a deterministic function which takes into account the concrete age at the loading time t and the duration of loading τ; λ is a lognormal variable with mean 0.96 and coefficient of variation 0.005, and generally it suffices to take λ deterministically; Y1 is a log-normal variable representing additional variations due to the special placing, curing and hardening conditions of in situ concrete.
The concrete tensile strength is defined as [29]
f t = 0.3 ( f c ) 2 / 3 Y 2
where the variable Y2 mainly reflects variations due to factors not well accounted for by concrete compressive strength (e.g., gravel type and size, chemical composition of cement and other ingredients, climatical conditions).
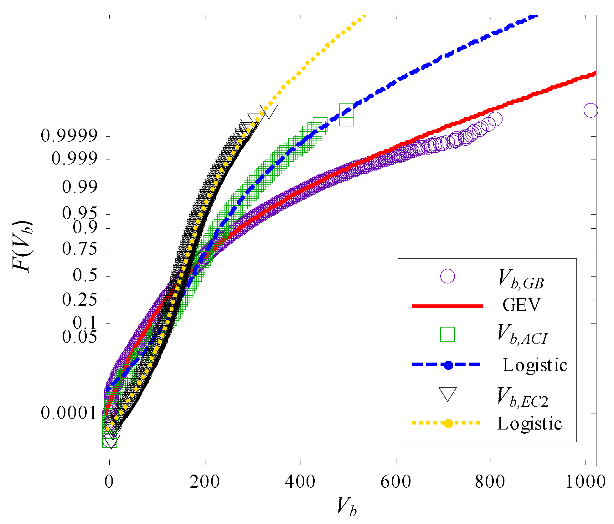
By referring to the specimen OA1 tested by Bresler and Scordelis [31], the values of the distribution parameters are assumed as follows: bm = 310 mm, dm = 556 mm, am = 1830 mm, As,m = 2579 mm2, μ (fco,m) = 22.6 MPa, and σ (fco,m) = 2.5 MPa. According to Equation (2), the Monte Carlo method is used to simulate 100,000 samples of Vp and Kpb each to obtain the samples of Vb, which are then fitted by appropriate distribution types. The fitting results are shown in Figure 5, and the estimation values of the distribution parameters are shown in Table 5.

3.5. Span Capacity Vs of RC Beams without Stirrups

The stochasticity of the span capacity Vs is determined by Equation (8) after obtaining the stochasticity of the beam capacity Vb, and the PDFs of Vs are shown in Table 6. From the comparison of the PDFs of Vb and Vs in Figure 6, it can be seen that the mean and standard deviation of the span capacity Vs are larger than the beam capacity Vb, which is consistent with the conclusion by Nowak et al. [32,33] that both the mean value and the variance decrease with an increasing sample random variable number (i.e., n in Equations (5) and (6)). Therefore, the difference between the stochasticities of Vb and Vs is theoretically verified, and its influence on the reliability analysis is discussed in Section 3.6.
The stochasticities of beam and span capacities of RC simple beams are inherent characters and should be independent of the design models. However, by comparing the calculated PDFs of Vb and Vs obtained based on different models, as shown in Figure 7, it can be seen that there are great differences among them. It can be inferred that the differences are transferred from the various model uncertainties Kpb, which quantify the deficiencies of the empirical models. To obtain the real stochasticity of the shear capacity, it is not enough to consider the model uncertainty but also to make the model as far as possible to reflect the mechanism of shear failure, i.e., to minimize the model uncertainty. Therefore, models based on a solid understanding of the shear mechanisms are urgently needed for practical design.

3.6. Reliability Analysis of Span and Beam Capacities

In order to achieve the predetermined target reliability of designed structures, design models in codes need to be calibrated using test results [32,33]. The shear capacity models in the design codes are used to calculate the shear capacity of a shear span or the critical (diagonal) section in a shear span. However, most test results used to calibrate the models are beam capacities of symmetrically loaded simple beams, which are the lower span capacities of the paired spans. The discrepancy between the prediction and calibration of the models and the influence on reliability need to be evaluated.
In this study, the reliability analysis is carried out by using the ACI model and specimen OA1 [31] as an example. The dead load D and the live load L are determined according to Equation (11) and Table 7.
1.2 D n + 1.6 L n ϕ V P , A C I
where Dn and Ln are the nominal values of D and L, respectively, and their statistical parameters are shown in Table 7 [32,33]. Resistance factors ϕ is 0.75 for shear failure according to ACI [25].
The limit state functions ZVs and ZVb for the shear failure of span and beam, respectively, are formulated as Equations (12) and (13).
Z V s = V P K P s D L = V s D L
Z V b = V P K P b D L = V b D L
Using Monte Carlo simulations, the reliability indexes for Vs and Vb are shown in Figure 8, showing that the reliability index of Vs is about 0.25 higher than that of Vb, which means the failure probability of Vs is about half of that of Vb under the same load combination.
It should be noted that the reliability indexes obtained in this study are lower than those provided by Szerszen and Nowak [33]. The main reason is that the COV (about 0.28) of the shear capacity obtained in this study is much larger than the COV (about 0.11) used by Szerszen and Nowak [33]. If the COV = 0.11 is used in the reliability analysis of this study, the reliability indexes will be close to those provided by Szerszen and Nowak [33].
As previously mentioned, in practical design, the shear capacity models are used to calculate the shear capacity of shear spans. However, most test results available to calculate the model uncertainty are beam capacities of symmetrically loaded simple beams, so the shear models are actually calibrated only at the beam-level, which causes the reliability of shear spans designed by the beam-level calibrated shear models to be underestimated.
To more reasonably calibrate the reliability of the beam shear capacity, attentions should be paid to (1) the selection criteria of test results in the database, (2) the inconsistency of the shear capacity stochasticities between the shear span and the beam for symmetrically loaded simple beams, and (3) the minimizing of the model uncertainty. On the other hand, the independence assumption of the paired span capacities of symmetrically loaded simple beams is adopted in this study, which still needs to be further discussed.

4. Summary and Conclusions

  • The transformation relationship between the stochasticities of span capacity and beam capacity was theoretically derived. It is applicable to shear controlled members with symmetrical boundary conditions and structural parameters, including symmetrically loaded simple and continuous beams with and without stirrups.
  • By taking the RC beams without web reinforcement as an example, the stochasticities of the span and beam capacities, which are valuable for reliability-based design code, were quantitatively analyzed on the basis of three shear strength models in design codes and a reliable experimental database. The results theoretically verified the probabilistic difference between the stochasticities of Vb and Vs.
  • Differences in the shear capacity stochasticities obtained by different models were also identified, which indicated that to obtain the real stochasticity of the shear capacity, it is not enough to merely consider the model uncertainty, but to minimize it.
  • The reliability analysis showed that the reliability index of Vs is higher than that of Vb, and the failure probability of Vs is about half of Vb under the same load combination. In addition, the discrepancy between the prediction and calibration of the models and the influence on reliability were evaluated, indicating the reliability of shear spans designed by the beam-level calibrated shear models is underestimated.

Author Contributions

Conceptualization, H.C. and W.-J.Y.; methodology, H.C.; software, H.C.; validation, H.C. and K.-J.Z.; formal analysis, H.C.; investigation, H.C.; data curation, K.-J.Z.; writing—original draft preparation, H.C.; writing—review and editing, W.-J.Y.; visualization, H.C.; supervision, W.-J.Y.; project administration, W.-J.Y.; funding acquisition, H.C. and W.-J.Y. All authors have read and agreed to the published version of the manuscript.

Funding

This research was funded by the National Natural Science Foundation of China, grant number 52008161 and 51878260, and China Postdoctoral Science Foundation, grant number 2020M682557 and 2021T140196. The APC was funded by 2020M682557.

Data Availability Statement

The data used to support the findings of this study are included within the article.

Acknowledgments

The authors would like to acknowledge the financial support provided for this work by the National Natural Science Foundation of China (Nos. 52008161, 51878260) and China Postdoctoral Science Foundation (Nos. 2020M682557, 2021T140196).

Conflicts of Interest

The authors declare no conflict of interest.

Notations

ashear span measured center-to-center from load to support
Asarea of longitudinal reinforcement
bwidth of the beam
Ddead load
fccompressive strength of concrete
fcobasic concrete compression strength
fttensile strength of concrete
kscale parameter of generalized extreme value distribution
KPs, KPbmodel uncertainties corresponding to Vs and Vb, respectively
Llive load
Mpbending moment occurs simultaneously with VP at the section considered
sscale parameter of logistic and log-logistic distribution
Vbbeam shear capacity
VPshear capacity predicted by model
Vsshear capacity of shear span
Y1log-normal variable representing additional variations due to the special placing, curing and hardening conditions of in situ concrete
Y2variable reflects variations due to factors not well accounted for by concrete compressive strength
Zlimit state functions
α(t,τ)deterministic function which takes into account the concrete age at the loading time t and the duration of loading τ
βdfactor considering the influence of d on shear capacity
μmean value of random valuable
ρratio of longitudinal reinforcement
σstandard deviation of random valuable

References

  1. Feldman, A.; Siess, C. Effect of Moment-Shear Ratio on Diagonal Tension Cracking and Strength in Shear of Reinforced Concrete Beams; University of Illinois Urbana: Champaign, IL, USA, 1955. [Google Scholar]
  2. Leonhardt, F.; Walther, R. Schubversuche an Einfeldrigen Stahlbetonbalken mit und Ohne Schubbewehrung; DAfStb H.151; Ernst & Sohn: Berlin, Germany, 1962. [Google Scholar]
  3. Chana, P.S. Some Aspects of Modelling the Behaviour of Reinforced Concrete under Shear Loading; Cement and Concrete Association: Buckinghamshire, UK, 1981; ISBN 9780721012452. [Google Scholar]
  4. Collins, M.P.; Kuchma, D. How safe are our large, lightly reinforced concrete beams, slabs, and footings? ACI Struct. J. 1999, 96, 482–491. [Google Scholar]
  5. Lubell, A.; Sherwood, T.; Bentz, E.; Collins, M.P. Safe Shear Design of Large, Wide Beams. Concr. Int. 2004, 26, 66–78. [Google Scholar]
  6. Lubell, A.S. Shear in Wide Reinforced Concrete Beams. Ph.D. Thesis, University of Toronto, Toronto, ON, Canada, 2006. [Google Scholar]
  7. Sherwood, E.G.; Bentz, E.C.; Collins, M.P. Effect of aggregate size on beam-shear strength of thick slabs. ACI Struct. J. 2007, 104, 180–190. [Google Scholar]
  8. Sherwood, E.G. One-Way Shear Behaviour of Large, Lightly-Reinforced Concrete Beams and Slabs; University of Toronto: Toronto, ON, Canada, 2008. [Google Scholar]
  9. Yi, W.-J.; Chen, H. DISCUSSION of ACI-DAfStb Database of Shear Tests on Slender Reinforced Concrete Beams without Stirrups. ACI Struct. J. 2014, 111, 989–990. [Google Scholar]
  10. Ang, A.H.S.; Tang, W.H. Probability Concepts in Engineering Planning and Design, Vol. II, Decision, Risk, and Reliability; John Wiley & Sons, Inc.: New York, NY, USA, 1984; p. 562. [Google Scholar]
  11. Castillo, E. Extreme Value Theory in Engineering; Elsevier: Amsterdam, The Netherlands, 2012. [Google Scholar]
  12. Bazant, Z.; Pang, S.; Vorechovský, M.; Novák, D.; Pukl, R. Statistical size effect in quasibrittle materials: Computation and extreme value theory. Fract. Mech. Concr. Struct. 2004, 1, 189–196. [Google Scholar]
  13. Novák, D.; Bažant, Z.; Vořechovský, M. Computational modeling of statistical size effect in quasibrittle structures. In Proceedings of the ICASP 9 International Conference on Applications of Statistics and Probability in Civil Engineering, San Francisco, CA, USA, 6–9 July 2003; Millpress: Rotterdam, The Netherlands, 2003; pp. 621–628. [Google Scholar]
  14. Reineck, K.-H.; Bentz, E.C.; Fitik, B.; Kuchma, D.A.; Bayrak, O. ACI-DAfStb Database of Shear Tests on Slender Reinforced Concrete Beams without Stirrups. ACI Struct. J. 2013, 110, 867–875. [Google Scholar]
  15. Chen, H.; Yi, W.-J.; Hwang, H.-J. Cracking strut-and-tie model for shear strength evaluation of reinforced concrete deep beams. Eng. Struct. 2018, 163, 396–408. [Google Scholar] [CrossRef]
  16. Chen, H.; Yi, W.-J.; Ma, Z.J. Shear size effect in simply supported RC deep beams. Eng. Struct. 2019, 182, 268–278. [Google Scholar] [CrossRef]
  17. Chen, H.; Yi, W.-J.; Ma, Z.J.; Hwang, H.-J. Shear strength of reinforced concrete simple and continuous deep beams. ACI Struct. J. 2019, 116, 31–40. [Google Scholar] [CrossRef]
  18. Chen, H.; Yi, W.-J.; Ma, Z.J. Shear-Transfer Mechanisms and Strength Modeling of RC Continuous Deep Beams. J. Struct. Eng. 2020, 146, 04020240. [Google Scholar] [CrossRef]
  19. Chen, H.; Yi, W.-J.; Ma, Z.J.; Hwang, H.-J. Modeling of shear mechanisms and strength of concrete deep beams reinforced with FRP bars. Compos. Struct. 2020, 234, 111715. [Google Scholar] [CrossRef]
  20. Tuchscherer, R.G.; Birrcher, D.B.; Bayrak, O. Reducing Discrepancy between Deep Beam and Sectional Shear-Strength Predictions. ACI Struct. J. 2016, 113, 3–16. [Google Scholar] [CrossRef]
  21. Adebar, P.; Collins, M.P. Shear strength of members without transverse reinforcement. Can. J. Civ. Eng. 1996, 23, 30–41. [Google Scholar] [CrossRef]
  22. Cao, S. Size Effect and the Influence of Longitudinal Reinforcement on the Shear Response of Large Reinforced Concrete Members. Ph.D. Thesis, University of Toronto, Toronto, ON, Canada, 2001. [Google Scholar]
  23. Cladera Bohigas, A. Shear Design of Reinforced High-Strength Concrete Beams. Ph.D. Thesis, Universitat Politècnica de Catalunya, Barcelona, Spain, 2003. [Google Scholar]
  24. BS EN 1992-1-1:2004; Eurocode 2: Design of Concrete Structures: Part 1-1: General Rules and Rules for Buildings. British Standards Institution: London, UK, 2004.
  25. ACI 318R-14; Building Code Requirements for Structural Concrete (ACI 318-14): Commentary on Building Code Requirements for Structural Concrete. American Concrete Institute: Farmington Hills, MI, USA, 2014; p. 519.
  26. GB 50010-2010; Code for Design of Concrete Structures. Chinese Building Press: Beijing, China, 2010.
  27. ACI-ASCE Committee 326. Shear and Diagonal Tension. ACI J. 1962, 59, 1–124. [Google Scholar]
  28. Collins, M.P.; Bentz, E.C.; Quach, P.T.; Proestos, G.T. The Challenge of Predicting the Shear Strength of Very Thick Slabs. Concr. Int. 2015, 37, 29–37. [Google Scholar]
  29. Vrouwenvelder, T. Probabilistic Model Code; Joint Committee on Structural Safety: Amsterdam, The Netherlands, 2001; ISBN 978-3-909386-79-6. [Google Scholar]
  30. Sangiorgio, F.; Silfwerbrand, J.; Mancini, G. Scatter in the Shear Capacity of RC Slender Members without Web Reinforcement: Overview Study. Struct. Concr. 2015, 17, 11–20. [Google Scholar] [CrossRef]
  31. Bresler, B.; Scordelis, A.C. Shear Strength of Reinforced Concrete Beams. ACI J. 1963, 60, 51–74. [Google Scholar]
  32. Nowak, A.S.; Szerszen, M.M. Calibration of design code for buildings (ACI 318): Part 1—Statistical models for resistance. ACI Struct. J. 2003, 100, 377–382. [Google Scholar]
  33. Szerszen, M.M.; Nowak, A.S. Calibration of design code for buildings (ACI 318): Part 2—Reliability analysis and resistance factors. ACI Struct. J. 2003, 100, 383–391. [Google Scholar]
Figure 1. Typical shear test for RC beams. (a) three-point symmetrical loading. (b) Four-point symmetrical loading.
Figure 1. Typical shear test for RC beams. (a) three-point symmetrical loading. (b) Four-point symmetrical loading.
Buildings 12 00739 g001
Figure 2. Critical section in ACI model.
Figure 2. Critical section in ACI model.
Buildings 12 00739 g002
Figure 3. Comparison of model predictions with test results. (a) EC2. (b) ACI. (c) GB.
Figure 3. Comparison of model predictions with test results. (a) EC2. (b) ACI. (c) GB.
Buildings 12 00739 g003
Figure 4. Fitting of the model uncertainty Kpb by the distributions accepted by KS test.
Figure 4. Fitting of the model uncertainty Kpb by the distributions accepted by KS test.
Buildings 12 00739 g004
Figure 5. Distribution fitting of the beam capacity Vb.
Figure 5. Distribution fitting of the beam capacity Vb.
Buildings 12 00739 g005
Figure 6. Comparison of the PDFs of Vb and Vs. (a) EC2. (b) ACI. (c) GB.
Figure 6. Comparison of the PDFs of Vb and Vs. (a) EC2. (b) ACI. (c) GB.
Buildings 12 00739 g006
Figure 7. Comparison of the PDFs of shear capacity by different models. (a) PDFs of Vb. (b) PDFs of Vs.
Figure 7. Comparison of the PDFs of shear capacity by different models. (a) PDFs of Vb. (b) PDFs of Vs.
Buildings 12 00739 g007
Figure 8. Reliability indexes β of Vb and Vu.
Figure 8. Reliability indexes β of Vb and Vu.
Buildings 12 00739 g008
Table 1. Shear capacity models for RC beams without stirrups in the codes.
Table 1. Shear capacity models for RC beams without stirrups in the codes.
CodeShear Capacity ModelNote
EC2 V P , E C 2 = 0.18 ( 1 + 200 d ) ( 100 ρ f c ) 1 / 3 b d where b is the width of the beam; d is the effective depth of the beam; ρ is the ratio of longitudinal reinforcement; a is the shear span measured center-to-center from load to support; fc and ft are the compressive and tensile strength of concrete; bending moment Mp,ACI occurs simultaneously with Vp,ACI at the section considered; and βd in GB is the factor considering the influence of d on shear capacity.
ACI V P , A C I = ( 0.16 f c + 17 ρ V P , A C I d M P , A C I ) b d = ( 0.16 f c + 17 ρ d a d ) b d
GB V P , G B = β d 1.75 a / d + 1 f t b d ,   1.5 a / d 3.0 where   β d = ( 800 d ) 1 / 4 ,   800 d 2000
Table 2. Fitting results of the model uncertainty Kpb.
Table 2. Fitting results of the model uncertainty Kpb.
CodeFitting ResultDistribution Type
NormalLognormalGeneralized Extreme Value (GEV)LogisticLog-Logistic
EC2KS testRejectedAcceptedAcceptedAcceptedAccepted
log-likelihood value-229.678222.272237.324247.25
ACIKS testRejectedRejectedRejectedAcceptedRejected
log-likelihood value---−175.865-
GBKS testAcceptedRejectedAcceptedAcceptedAccepted
log-likelihood value−179.592-−178.583−181.497−197.03
Table 3. Parameter estimation for the logistic distribution of model uncertainty Kpb.
Table 3. Parameter estimation for the logistic distribution of model uncertainty Kpb.
CodeParameter of Logistic Distribution
μKpbσKpb
EC20.9780.161
ACI1.2250.332
GB1.0220.339
Table 4. Probabilistic properties of the variables considered by the models.
Table 4. Probabilistic properties of the variables considered by the models.
VariableDistribution TypeUnitParameters of the DistributionNote
μσCOV
Geometryb Normalmmbm4 + 0.006 bm ≤ 10-where COV is the coefficient of variation, and equals σ/μ; bm, dm, am, As,m, and fco,m are the mean values of the corresponding variables.
d Normalmmdm10-
a Normalmmam4 + 0.006 am ≤ 10-
As NormalmmAs,m-0.02
Materialfc -MPa---
α (t,τ)Deterministic-1.0--
fcoLognormalMPaμ (fco,m)σ (fco,m)-
λDeterministic-0.96--
Y1Lognormal-1.0-0.06
ft -MPa---
Y2Lognormal-1.0-0.3
Table 5. Parameter estimation for the distributions of beam capacity Vb.
Table 5. Parameter estimation for the distributions of beam capacity Vb.
Beam Capacity VbDistribution TypeParameter of Distributions
μVbσVbkVb
Vb,EC2Logistic149.91825.748-
Vb,ACILogistic173.89448.140-
Vb,GBGEV148.54568.506−0.034
Note: kVb is the scale parameter of GEV distribution.
Table 6. Probability density functions for the shear span’s shear strength Vu.
Table 6. Probability density functions for the shear span’s shear strength Vu.
Span Capacity VsProbability Density Function
Vs,EC2 f V u ( y ) = ( exp ( y μ V b s V b ) ) 1 / 2 2 s V b ( 1 + exp ( y μ V b s V b ) ) 3 / 2 ,   where   s V b = 3 σ V b π
Vs,ACI
Vs,GB f V u ( y ) = 1 σ V b exp ( ( 1 + k ( y u V b ) σ V b ) 1 / k ) ( 1 + k ( y u V b ) σ V b ) 1 1 / k 2 1 exp ( ( 1 + k ( y u V b ) σ V b ) 1 / k )
Table 7. Probabilistic properties for the dead load D and live load L.
Table 7. Probabilistic properties for the dead load D and live load L.
Load TypeDistribution TypeStatistical Parameters
μ(D)/DnCOV
DNormal1.050.10
LExtreme type I1.000.18
Publisher’s Note: MDPI stays neutral with regard to jurisdictional claims in published maps and institutional affiliations.

Share and Cite

MDPI and ACS Style

Chen, H.; Yi, W.-J.; Zhou, K.-J. Shear Capacity Stochasticity of Simply Supported and Symmetrically Loaded Reinforced Concrete Beams. Buildings 2022, 12, 739. https://doi.org/10.3390/buildings12060739

AMA Style

Chen H, Yi W-J, Zhou K-J. Shear Capacity Stochasticity of Simply Supported and Symmetrically Loaded Reinforced Concrete Beams. Buildings. 2022; 12(6):739. https://doi.org/10.3390/buildings12060739

Chicago/Turabian Style

Chen, Hui, Wei-Jian Yi, and Ke-Jing Zhou. 2022. "Shear Capacity Stochasticity of Simply Supported and Symmetrically Loaded Reinforced Concrete Beams" Buildings 12, no. 6: 739. https://doi.org/10.3390/buildings12060739

APA Style

Chen, H., Yi, W.-J., & Zhou, K.-J. (2022). Shear Capacity Stochasticity of Simply Supported and Symmetrically Loaded Reinforced Concrete Beams. Buildings, 12(6), 739. https://doi.org/10.3390/buildings12060739

Note that from the first issue of 2016, this journal uses article numbers instead of page numbers. See further details here.

Article Metrics

Back to TopTop