Next Article in Journal
Effect of Column Flexural Stiffnesses on the Seismic Performance of Stiffened Steel Plate Shear Walls
Previous Article in Journal
Modelling of Strengthened Steel Connections under Static and Cyclic Loading
 
 
Font Type:
Arial Georgia Verdana
Font Size:
Aa Aa Aa
Line Spacing:
Column Width:
Background:
Article

General Mathematical Model for Analysing the Bending Behaviour of Rectangular Concrete Beams with Steel, Fibre-Reinforced Polymers (FRP) and Hybrid FRP–Steel Reinforcements

1
Équipe de Recherche Mécanique et Ingénierie Intégrée (M2I), École Nationale Supérieure d’Arts et Métiers (ENSAM), Université Moulay Ismail, Meknès 50500, Morocco
2
Laboratoire des Technologies Innovantes (LTI), École Nationale des Sciences Appliquées (ENSA), Université Abdelmalek Essaâdi, Tanger 93000, Morocco
*
Author to whom correspondence should be addressed.
Buildings 2022, 12(11), 1964; https://doi.org/10.3390/buildings12111964
Submission received: 28 September 2022 / Revised: 4 November 2022 / Accepted: 8 November 2022 / Published: 12 November 2022
(This article belongs to the Section Building Materials, and Repair & Renovation)

Abstract

The design guidelines available in building codes for steel and fibre reinforced polymer (FRP) reinforced concrete (RC) beams have been developed on the basis of empirical models. While these models are successfully used for practical purposes, they require continuous improvements with more experimental data. This paper aims to develop a general mathematical model derived from the intrinsic material properties of concrete and certain reinforcements to analyse the bending behaviour of reinforced concrete beams. The proposed model takes into account the effects of non-linearity and ductility on the real behaviour of concrete under compression as well as the concrete tension stiffening. The model focused on analysing the flexural behaviour of rectangular steel, FRP and hybrid FRP–steel RC beams, using the moment–curvature relationship. A general static equilibrium equation was developed and mathematically solved with precise methods to establish a moment–curvature relationship. The effective flexural stiffness (EFS) is therefore calculated by the slope of the moment–curvature diagram, and then the load–deflection response is immediately deduced according to the loading conditions. The present model results were compared with numerous test data reported by various researchers. The comparisons reveal a good accuracy for predicting the EFS and load–deflection response for either steel, FRP, and hybrid reinforced concrete beams, with an error average less than 10%.

Graphical Abstract

1. Introduction

Since its invention, the combination of concrete and steel has demonstrated great functionality in all types of buildings. Based on more than a century of experience on construction sites and a large database of laboratory tests, the use of steel-reinforced concrete (RC) is currently subject to well-established building codes. Nevertheless, the corrosion of steel bars in cracked concrete greatly reduces stiffness and load capacity. This has a significant effect on the durability of structures and their maintenance and rehabilitation costs. Therefore, research has focused on finding other combinations of concrete with reinforcement materials that are more resistant to corrosion, such as FRP.
Due to their excellent performance, especially in corrosion resistance and a higher strength, FRP composites are good alternatives to conventional reinforcing steel [1,2,3,4]. In fact, FRP RC has been introduced to the construction industry through numerous projects in Europe, North America and Japan (ACI Committee 440, 1996). Moreover, several design guidelines for FRP RC structural members have been produced based on existing models initially developed for steel RC and adapted with empirical factors through experimental test results.
Previous experimental studies observed a significant loss in the flexural stiffness of FRP RC beams compared to those reinforced with steel. This variance in flexural stiffness was justified by the difference between the mechanical properties of FRP and steel [5]. Therefore, it was concluded that the deflection control may become as important as the flexural strength for the design of FRP-reinforced concrete structures. This is why researchers have made a multitude of revisions to FRP RC design models over the past three decades to accurately estimate their flexural stiffness.
Different approaches have been proposed in the literature for estimating the flexural stiffness of steel RC beams. Effective flexural stiffness is the most popular approach used by structural engineers to design flexural concrete members. This approach was originally introduced by Branson [6] for calculating the effective moment of inertia I e of steel RC member. The Branson equation frequently used in North America was adopted by many building codes for its good estimate of the deflection of steel RC beams. This equation has been re-evaluated by numerous studies for the design of FRP RC beams. Indeed, many studies have shown that the Branson equation overestimates the effective moment of inertia for FRP RC beams [7]. These studies also observed a good tendency between the results obtained by the Branson equation and experimental tests. Therefore, it was concluded that a proper calibration of this equation allows the same accuracy for FRP RC beams as that of steel RC beams. Numerous proposals were made to calibrate the Branson equation by introducing empirical factors [8,9]. These empirical factors were later revised by incorporating the elasticity modulus and the reinforcement ratio of FRP on the stiffness of RC beams, as proven in several investigations [10]. This revision is adopted by ISIS, 2001 [11] and ACI-440, 2003 [12].
Another equation derived from the tension–stiffening relationship was found in European code [13] that was proposed to accurately predict I e for FRP RC beams [14]. This equation is simplified [15] and revised to account for different types of loading and boundary conditions [16], which were later recommended by ACI440, 2015 [17]. Other experimental studies found that the European model is also inaccurate for estimating the tension–stiffening of FRP RC beams. To improve the precision of the model, a modified expression, including the effects of the elasticity modulus and the reinforcement ratio, was proposed [18].
Thus far, researchers care about the accuracy of the available methods for estimating the effective moment of inertia of RC FRP beams [19,20]. Recently, it was discovered that, in addition to the material and dimensional parameters identified above, the accuracy of estimating (EFS) is influenced by the compressive strength of concrete ( f c ) and ( d / h ) the ratio of the tensile reinforcement depth relative to the height of the beam cross-section. Therefore, another equation was proposed, based on the fit results of existing models and experimental tests in order to precisely predict the effective flexural stiffness (EFS) of FRP RC beams [21]. Furthermore, a new model for making analytical predictions of the bending capacity of concrete elements reinforced with FRP bars was proposed to improve the reliability of the analytical model of the ACI440, 2015 design code by introducing a new empirical coefficient incorporating material parameters [22].
All of these previous modifications mainly aimed to soften the response of the FRP RC beams by reducing the tension–stiffening effect in the Branson equation. This is integrated by introducing empirical correction factors to decrease the ratio of the un-cracked to fully cracked stiffness of the cross-section ( I g / I cr ) to improve the accuracy of estimating I e for the FRP RC beams. The researchers’ awareness of material parameters leads to more experimental testing and continuous revisions of empirical factors. The empirical models developed thus far are of great practical importance for the design of RC beams with FRP and steel. However, these models cannot be generalized for all RC beam designs and require continuous adaptation by experimental tests for new cases.
The present study proposes a general mathematical model derived from the intrinsic material properties of concrete and reinforcement. The model aims to analyse the bending behaviour of rectangular concrete beams simply or doubly reinforced with steel, FRP or hybrid FRP–steel. The proposed model could be of great practical use in the building industry by opening up the potential for alternative materials to steel bars in constructions with concrete and avoid the time-consuming process of testing the reliability of models through prototyping and experimental testing. The model describes the flexure-dominated cross-section response of RC beams by plotting the moment–curvature diagram. This is obtained by combining the analytical expression of static equilibrium and the strain compatibility condition, accounting for the tension–stiffening effect in a cracked state of concrete under tension. Subsequently, the effective flexural stiffness variation and the load–deflection response are immediately predicted.

2. Proposed Mathematical Model

The development of the proposed model starts with a cross-section analysis. Subsequently, the calculation of the general static equilibrium equation and the moment balance for FRP, steel and hybrid FRP–steel RC beams are established following the fundamental principles of compatibility and equilibrium. The resolution of the static equilibrium equation is mathematically obtained with precise methods by analysing the deformation processes in the blocks of tensile and compressive stress under increasing curvature. An algorithm is therefore established to generate the moment–curvature relationship using the moment balance equation. Finally, the effective flexural stiffness is immediately deduced, and then the load–deflection response is calculated based on the initial loading conditions of the RC beams.

2.1. Basic Assumptions

The assumptions taken in the model are as follows:
  • Plane sections before bending remain plane after bending (Bernoulli’s principle).
  • Perfect bond between reinforcing and concrete.
  • The beam cross-section does not contain any deformation before loading.
  • Shear effect is not considered.
The first hypothesis (a) is basic assumption derived from the general theory of flexural strength of a reinforced concrete cross-section [23] The assumption (b) ensures the full applicability of Bernoulli’s principle to concrete in the vicinity of a crack [24]. The hypothesis (c) assumes a correct implementation and that the stripping of the beam is carried out within the regulatory deadlines. In the assumption (d), shear effect is not considered. This is practically achieved by the use of steel stirrups to confine concrete and enhance the shear strength of beam members.

2.2. Cross-Section Analysis

In this section, the geometric, dimensional and material behaviour laws are presented to characterize the beam cross-section.

2.2.1. The Geometric and Dimensional Model

Figure 1 shows the cross-section of the rectangular RC beam.
In Figure 1, ( h ; b ) are the height and the width of the cross-section, respectively; ( y ¯ ) is the neutral axis depth; and ( d ; d ) are the depths of the area’s centroids of the upper reinforcements and lower reinforcements, respectively, measured from the most compressed layer at ( y = 0 ) .   A Upp . R   and   A Low . R   are the cross-section areas of compression and tension reinforcement, with their elastic modulus: E Upp . R   and   E Low . R , respectively. Their available strains are   ε Upp . R   and   ε Low . R .
In this study, it was considered that:
  • ( A Upp . R = 0 ) : For the simply reinforced cross-section.
  • ( A Upp . R 0 ) : For the doubly reinforced cross-section.

2.2.2. Mechanical Properties of Materials

In order to design reinforced concrete beams, several studies have characterized the mechanical behaviour of the materials constituting the beam (concrete and reinforcing material) under compressive and tensile stresses.
(a)
Mechanical behaviour of concrete under compression
Many models developed for the mechanical behaviour characterization of concrete under compression emphasize stress–strain curves, such as the bilinear diagram, the rectangular equivalent stress diagram, and the parabola–rectangular diagram. In this study, the latter was chosen to account for the non-linearity and ductile effects on the confined concrete real behaviour under compression [25]. The diagram in Figure 2 can be expressed by using Equation (1) for concrete with a compressive strength f co . c of less than 50 Mpa:
σ co . c = { f co . c [ 1 ( 1 ε co . c ε co . c . pk ) 2 ] ;   0 ε co . c ε co . c . pk f co . c                                             ;   ε co . c . pk ε co . c ε co . c . ult    
where σ co . c   ; ε co . c are the available stress and the available strain of concrete under compression, respectively; ε co . c . pk is the compressive strain of concrete at the peak compressive stress and ε co . c . pk = 0.2 % ;   ε co . c . ult is the ultimate compressive strain of concrete and ε co . c . ult = 0.35 % .
(b)
Mechanical behaviour of concrete in tension
The mechanical behaviour of concrete in tension is assumed to be linearly elastic and perfectly brittle. This behaviour may be characterized by the stress–strain diagram, as shown in Figure 3 and Equations (2)–(4):
σ co . t = { E co . t   ε co . t ;   ε co . t ε co . t . L . cr   0 ;   ε co . t > ε co . t . L . cr .
1.1   E co . t = 1.1 E co
1.2   ε co . t . L . cr = 1.5   10 0  
where   σ co . t ; ε co . t are the uniaxial available tensile stress and available tensile strain of concrete. E co . t is the tangent modulus of elasticity of concrete given by Equation (3) [26]. E co is the secant modulus of concrete in compression, and   ε co . t . L . cr : is the tensile strain corresponding to the tensile failure stress f co . t when the crack initiates in concrete under tension. In this study, concrete tensile strain softening is neglected and the tensile stress of concrete when the available tensile strain is over ε co . t . L . cr is abruptly reduced to zero.
(c)
Mechanical behaviour of unidirectional FRP
FRP is considered to behave linearly and elastically up to failure under uniaxial loading [27,28,29]. The stress–strain curve can be described by Hooke’s law, as shown in Equation (5) and the diagram in Figure 4:
σ FRP = { E FRP   ε FRP     ;     ε FRP Lt ε FRP ε FRP Lc   0           ;       ε FRP ε FRP Lt   or   FRP ε FRP Lc     .
where σ FRP ; ε FRP are the available stress and its corresponding available strain in FRP, respectively; E FRP is the elastic modulus of FRP; σ FRP LT ; ε FRP Lt are the ultimate tensile and the tensile ultimate strain of FRP, respectively; and σ FRP . Lc ; ε FRP . Lc are the ultimate compressive stress and the ultimate compressive strain of FRP.
(d)
Mechanical behaviour of steel
Steel is assumed to be elastic and perfectly plastic (Equations (6) and (7); Figure 5) [30]. In this paper, the work hardening of steel is not needed for its large plastic strain:
σ s = { E s ε s   ; ε s . el ε s ε s . el f s . el   ;   ε s . el ε s ε s . pl f s . el   ; ε s . pl ε s ε s . pl      
ε s . el = 2 %   and   ε s . pl = 10 %   or   20 %
where E s is the Young’s modulus of steel;   σ s   and   ε s are the available stress and available strain in steel, respectively. f s . el ; ε s . el are the yield stress and the yield strain of steel, respectively; and ε s . pl is the ultimate plastic strain of steel.

2.3. Compatibility Condition

Figure 6 shows an infinitesimal element of length   dx , taken at the mid-span of an RC beam subjected to simple bending. According to the Bernoulli’s principle, the strain distribution over the depth ( y ) of the cross-section is linear. By considering the small strain assumption, the equation of compatibility can be stated as follows:
φ = ε ( y ) / ( y ¯ y ) ,   with   y ¯ ϵ [ d , d ] , y ϵ [ 0 , h ]
where φ is the curvature of the cross-section; ε ( y ) 0 is the strain corresponding to the deformed layer at   y y ¯ .
A non-dimensional formulation of Equation (8) is introduced by putting: y h = y / h ; y ¯ h =   y ¯ / h ;   d h =   d / h ; d h = d / h ; φ h = h φ ; ε h ( y h ) = ε ( y ) .
The non-dimensional compatibility equation is given as below:
φ h = ε h ( y h ) / ( y ¯ h y h ) ,   with   y ¯ h ϵ [ d h , d h ] , y h ϵ [ 0 , 1 ]    

2.4. Equilibrium Condition

Figure 7 shows the distribution of stress and strain across the depth of the beam cross-section under the balanced condition, in which F co . c   and   F co . t are resultants of the compressive and tensile stresses in the concrete, respectively; F Upp . R   and   F Low . R are resultants of compression and tension reinforcement, respectively.
(a)
Static equilibrium equation
Establishing static equilibrium equation requires the calculation of stress resultants acting on a beam cross-section:
Calculation of F co . c :
F co . c   may be expressed as:
F co . c = bh 0 y ¯ h σ co . c ( y h ) dy h   .
This integral can be calculated as:
 ○
Case1 ( ε ( y h = 0 ) ε co . c . pk ) : The strain in the extreme compression fibre is less than ε co . c . pk (Figure 8).
 ○
Case2: ( ε ( y h = 0 ) > ε co . c . pk ) : when the strain in the extreme compression fibre is greater than ε co . c . pk (Figure 9).
Introducing ( u h [ 0 , y ¯ h ] ) into Equation (10), F co . c   can be expressed as:
F co . c = bh 0 u h f co . c dy h + bh u h y ¯ h f co . c [ 1 ( 1 ε ( y h ) ε co . c . pk ) 2 ] dy h
where:
u h = { 0     ;       for   case 1       y ¯ h ε co . c . pk φ   ;   for   case 2    
This equation can also be written in a simplified form in Equation (13) by introducing a Boolean parameter   β co . c . pk :
u h = β co . c . pk ( y ¯ h ε co . c . pk φ h )   ;   with   β co . c . pk = { 0 ; for   case 1     1 ; for   case 2      
By substituting φ h with its expression given in Equation (9) and then integrating Equation (11) the following is obtained:
F co . c = α bh [ 1 3 ( 1 β co . c . pk ) φ h 2 y ¯ h 3 + ε co . c . pk φ h ( 1 β co . c . pk ) y ¯ h 2 + ε co . c . pk 2 β co . c . pk y ¯ h 1 3 β co . c . pk ( ε co . c . pk 3 / φ h ) ]
with   α = f co . c / ε co . c . pk 2
  • Calculation of F Upp . R and   F Low . R :
F Upp . R and   F Low . R : are expressed by the following equations:
F Upp . R = { A Upp . R E Upp . R ε Upp . R               ;   0 ε Upp . R ε Upp . R . yld                             A Upp . R E Upp . R ε Upp . R . yld   ;   ε Upp . R . yld ε Upp . R ε Upp . R . ult
F Low . R = { A Low . R E Low . R ε Low . R               ;   0 ε Low . R ε Low . R . yld                             A Low . R E Low . R ε Low . R . yld   ;   ε Low . R . yld ε Low . R ε Low . R . ult
where, ε Upp . R . yld   and   ε Upp . R . ult are the yield and ultimate compressive strains of reinforcement placed in the upper side, respectively; ε Low . R . yld   and   ε Low . R . ult are the yield and ultimate tensile strains of reinforcement placed in the upper side, respectively.
For the case of concrete reinforced with FRP, the ultimate strain is taken as equal to the yield strain, since FRP is assumed to behave as a perfectly brittle material.
Similar to Equation (13), these equations can be simplified in Equations (17) and (18) by introducing Boolean parameters β Upp . R . yld   and   β Low . R . yld and applying the non-dimensional compatibility equation, Equation (9):
F Upp . R = bh ρ Upp . R E Upp . R ( ( 1 β Upp . R . yld ) φ h ( y ¯ h d h ) + β Upp . R . yld ε Upp . R . yld   )
  F Low . R = bh ρ Low . R E Low . R ( ( 1 β Low . R . yld ) φ h ( y ¯ h d h ) + β Low . R . yld ε Low . R . yld )
in which:
β Upp . R . yld = { 0   ;       0 ε Upp . R ε Upp . R . yld                         1   ;   ε Upp . R . yld ε Upp . R ε Upp . R . ult  
    β Low . R . yld = { 0   ;       0 ε Low . R ε Low . R . yld                                   1   ;   ε Low . R . yld ε Low . R ε Low . R . ult            
ρ Upp . R = ( A Upp . R / bh )   and   ρ Low . R = ( A Low . R / bh )   are ratios of upper and lower reinforcements, respectively.
Calculation of F co . t :
F co . t   is expressed as:
  F co . t = bh y ¯ h 1 σ co . t ( y h ) dy h
To take into account the concrete tension–stiffening, there are two cases for calculating the resultant of the tensile stresses in concrete:
 ○
Case1: ε h ( y h = 1 ) < ε co . t . L . cr un-cracked state of tensile concrete when the strain in the extreme tension fibre is less than   ε co . t . L . cr
 ○
Case2: ε ( y h = 1 ) ε co . t . L . cr cracked state of tensile concrete when the strain in the extreme tension fibre is greater than or equal to   ε co . t . L . cr . In this case,   y h . cr [ y ¯ h , 1 ]   such   as   ε ( y h . cr ) = ε co . t . L . cr   (Figure 10). Let χ h be the non-dimensional length of the crack in the tensile concrete, such as   y h . cr = 1 χ h .
The tensile concrete contribution in the cracked zone area is neglected; therefore, F co . t   can be expressed as:
  F co . t = bh y ¯ h 1 χ h σ co . t ( y h ) dy h + bh 1 χ h 1 σ co . t ( y h ) dy h = 0 = bh y ¯ h 1 χ h σ co . t ( y h ) dy h
By applying the non-dimensional compatibility condition of Equation (9) and integrating it into Equation (20), F co . t   is obtained as follows:
F co . t = 0.5 bhE co . t φ h ( y ¯ h ( 1 χ h ) )   2
Once the flexural crack starts in the extreme-tension fibre (case of the cracked state of tensile concrete), the non-dimensional curvature under static loading may be expressed as:
φ h = ε co . t . L . cr / ( y ¯ h ( 1 χ h ) )
This gives:
1 χ h =   y ¯ h ( ε co . t . L . cr / φ h )
In order to integrate the case of un-cracked state of the tensile concrete in the last equation, a Boolean parameter β cr is introduced as follows:
1 χ h = ( 1 β cr ) + β cr ( y ¯ h ε co . t . L . cr φ h )
with: β cr = {   0   for   χ h = 0   1   for   χ h 0  
By substituting Equation (24) in Equation (21), the following equation is obtained:
F co . t = 0.5 φ h bhE co . t [ ( 1 β cr ) φ h 2 y ¯ h 2 2 ( 1 β cr ) φ h 2   y ¯ h ( 1 β cr ) φ h 2 + β cr ε co . t . L . cr 2 ]
Now, the general equilibrium equation of internal forces on the cross-section for steel, FRP and hybrid FRP–steel RC beam be expressed as follows:
F co . c + F Upp . r + F Low . r + F co . t   = A ( φ h )   y ¯ h 3 + B ( φ h )   y ¯ h 2 + C ( φ h )   y ¯ h + D ( φ h ) = 0
in which:
A ( φ h ) = 1 3 α ( 1 β co . c . pk ) φ h 3
B ( φ h ) = ( α ε co . c . pk ( 1 β co . c . pk ) 0.5 ( 1 β cr ) E co . t ) φ h 2
C ( φ h ) = [ ρ Upp . R E Upp . R ( 1 β Upp . R . yld ) + ρ Low . R E Low . R ( 1 β Low . R . yld ) + ( 1 β cr ) E co . t ] φ h 2      +   α ε co . c . pk 2 β co . c . pk φ h
D ( φ h ) = [ ρ Upp . R E Upp . R d h ( 1 β Upp . R . yld ) + ρ Low . R E Low . R d h ( 1 β Low . R . yld ) + 0.5 ( 1 β cr ) E co . t ] φ h 2      + [ ρ Upp . R E Upp . R β Upp . R . yld ε Upp . R . yld + ρ Low . R E Low . R β Low . R . yld ε Low . R . yld ] φ h 1 3 α ε co . c . pk β co . c . pk 3      0.5 β cr E co . t ε co . t . L . cr 2
(b)
Balance of moments
The moment equilibrium condition is expressed as follows:
M = M co . c + M Upp . R + M Low . R + M co . t
where M is the acting moment in the cross-section, and M co . c ; M Upp . R ; M Low . R ; M co . t are the moments of the resulting internal forces of compressed concrete, compressive reinforcement. tensile reinforcement and tensile concrete, respectively. These variables are as follows:
M co . c = hF co . c ( y ¯ h y h . co . c )
M Upp . R = hF Upp . R ( y ¯ h d h )
M Low . R = hF Low . R ( y ¯ h d h )
M co . t = hF co . t ( y ¯ h y h . cot )
Additionally, y h . co . c ; y h . co . t are centroids corresponding to the resultants of the internal forces of compressive and tensile concrete.
As in F co . c + F Upp . R + F Low . R + F co . t   = 0 , the acting moment can be expressed as:
M = h ( F co . c y h . co . c + F Upp . R d h + F Low . R d h + F co . t y h . co . t )
Calculation of hF co . c   y ¯ h . co . c :
hF co . c y h . co . c can be expressed as:
  hF co . c y h . co . c = bh 2 0   y ¯ h σ co . c ( y h ) y h dy h        = bh 2 0 u h σ co . c ( y h ) y h dy h + bh 2 u h   y ¯ h σ co . c ( y h ) y h dy h
Based on the non-dimensional compatibility equation, the calculation of the integral can be expressed a s :
hF co . c y h . co . c = α bh ( 1 12 ( 1 β co . c . pk ) φ h 2   y ¯ h 4 + 1 3 ε co . c . pk ( 1 β co . c . pk ) φ h   y ¯ h 3        + β co . c . pk ( 1 2 ε co . c . pk 2   y ¯ h 2 ( 1 / 3 ) ( ε co . c . pk 3 / φ h )   y ¯ h ( 1 / 6 ) ( ε co . c . pk 4 / φ h 2 ) ) )
Calculation of hF Upp . R   d   and   hF Low . R d :
hF Upp . R d h = bh ρ Upp . R E Upp . R ( ( 1 β Upp . R . yld ) φ h ( y ¯ h d h ) + β Upp . R . yld ε Upp . R . yld ) d h
hF Low . R d h = bh ρ Low . R E Low . R ( ( 1 β Low . R . yld ) φ h ( y ¯ h d h ) + β Low . R . yld ε Low . R . yld ) d h
Calculation of F co . t y co . t :
hF co . c y h . co . c = bhE co . t φ h y ¯ h 1 χ h ( y ¯ h y h ) y h d y h       = ( 1 / 6 ) bhE co . t φ h [ y ¯ h 3 3 ( 1 χ h ) 2   y ¯ h + 3 ( 1 χ h ) 3 ]
The moment equilibrium equation can be written as:
M = bh 2 ( i = 0 4 M i φ h i / φ h 2 )
in which:
M 0 = 1 6 α β co . c . pk ε co . c . pk 4 + 1 2 E co . t ε c . t . L . cr 3
M 1 = ( 1 3 α β co . c . pk ε co . c . pk 3 + 2 E co . t ε c . t . L . cr 2 )   y ¯ h
M 2 = ( 1 2 α β co . c . pk ε co . c . pk 2 5 2 E co . t ε c . t . L . cr )   y ¯ h 2     + ρ Upp . R E Upp . R β Upp . R . yld ε Upp . R . yld d h     + ρ Low . R E Low . R β Low . R . yld ε Low . R . yld d h
M 3 = ( 1 3 α ε co . c . pk ( 1 β co . c . pk ) + 5 6 E co . t )   y ¯ h 3     + ( ρ Upp . R E Upp . R ( 1 β Upp . R . yld ) d h + ρ Low . R E Low . R ( 1 β Low . R . yld ) d h )   y ¯ h     ( ρ Upp . R E Upp . R ( 1 β Upp . R . yld ) d h 2     + ρ Low . R E Low . R ( 1 β Low . R . yld ) d h 2 )
M 4 = ( 1 / 12 ) α ( 1 β co . c . pk )   y ¯ h 4

2.5. Moment–Curvature Relationship

The moment–curvature response is an essential tool for understanding the flexure behaviour of the cross-section of an RC beam. To predict the moment–curvature diagram, the static equilibrium equations have to be solved; this requires knowledge of the deformation state.
a.
Deformation state:
Based on the compatibility condition and stress–strain distribution, the deformation state can be controlled by only two parameters: the non-dimensional curvature φ h and strain ε h ( y h ) at any given non-dimensional depth   y h   y ¯ h . The evolution of these parameters defines several regions of the deformation state, which are characterized by the Boolean factors mentioned above. These regions are delimited by non-dimensional curvature functions of strain limits versus the neutral axis depth of the tensile and compressive stress blocks as shown in Figure 11 and Figure 12. These figures show that the limit non-dimensional functions can be ordered with increasing curvature as follows:
For the tensile stress block:
φ h . co . t . L . cr ( y ¯ h ) < φ h . Low . R . yld ( y ¯ h ) < φ h . Low . R . ult ( y ¯ h )  
For the compressive stress block:
  φ h . co . c . pk ( y ¯ h ) < ( φ h . co . c . ult ( y ¯ h ) φ h . Upp . R . yld ( y ¯ h ) or φ h . Upp . R . yld ( y ¯ h ) φ h . co . c . ult ( y ¯ h ) )
b.
Deformation processes and possible flexural failure modes:
Based on these observations, the following conclusions may be drawn:
The concrete in the tensile stress block cracks before the tensed reinforcements yield.
The concrete in the compressive stress block reaches the strain at the peak stress before the upper reinforcements yield.
The possible flexural failure for the (FRP/steel) RC beams under perfect bond assumption between reinforcements and concrete can be divided into two modes:
Mode1: Tension failure when the reinforcement strain reaches the ultimate value.
Mode2: Compression failure when the concrete strain reaches the ultimate value. When using steel rebars in the compressive block, mode2 can be divided into two cases depending on whether the steel yields or not, whereas this mode occurs before the compression reinforcement ultimate strain (either with steel or FRP rebars) is reached.
Note that balanced failure occurs when both mode1 and mode2 occur at the same time.
These conclusions can be summarized by the following diagram (Figure 13).
c.
Equilibrium equation solving
This section aims to extract the explicit function of the neutral axis position y ¯ h by solving the equilibrium static equation, Equation (26), using a parametric study of the Boolean factors β cr ;   β co . c . pk   . The definition interval of the root function is determined by analysing the deformation processes in blocks of tensile and compressive stress under increasing curvature.
Parametric study of Boolean factors β cr ;   β co . c . pk
As shown in Figure 14, Equation (26) can take three polynomial forms depending on the values taken by (   β co . c . pk and β cr ) as given below:
{ C ( φ h ) y ¯ h + D ( φ h ) = 0         With       β co . c . pk = β cr = 1
{ B ( φ h ) y ¯ h + C ( φ h ) y ¯ h + D ( φ h ) = 0   With       β co . c . pk = 1 ;   β cr = 0  
{ A ( φ h ) y ¯ h + B ( φ h ) y ¯ h + C ( φ h ) y ¯ h + D ( φ h ) = 0   With       β co . c . pk = 0
These equations are analytically solved as follows:
For the first-degree polynomial form in Equation (50), the root function of the neutral axis position y ¯ h is given in Equation (53):
y ¯ h ( φ h ) = D ( φ h ) / C ( φ h )
For the second-degree polynomial form in Equation (51):
At equilibrium, the existence of the solution requires that the value of the discriminant Δ 2 = C ( φ h ) 2 4 B ( φ h ) D ( φ h ) is positive and the roots are in the form given below:
y ¯ h ( φ h ) = C ( φ h ) ± C ( φ h ) 2 4 B ( φ h ) D ( φ h ) 2 B ( φ h )
For the third-degree polynomial form in Equation (50):
Equation (52) can be solved by the Cardan method to obtain three explicit functions for neutral axis position versus curvature, these functions can be expressed in their general form as Equation (55):
y ¯ h ( φ h ) = 2 p / 3 cos ( ( 1 / 3 ) cos 1 ( ( 3 q / ( 2 p ) ) ( 3 / p ) ) + ( 2 / 3 ) k π ) ( B ( φ h ) / 3 A ( φ h ) )
with k   ϵ   { 0 , 1 , 2 }
In which:
p = ( B ( φ h ) 2 / 3 A ( φ h ) 2 ) + ( C ( φ h ) / A ( φ h ) )
q = ( B ( φ h ) / 27 A ( φ h ) ) ( ( 2 B ( φ h ) 2 / 3 A ( φ h ) 2 ) 9 ( C ( φ h ) / A ( φ h ) ) ) + ( D ( φ h ) / A ( φ h ) )
The roots founded in Equations (53)–(55) are continuous functions by continuity of the coefficients A ( φ h ) ;   B ( φ h ) ;   C ( φ h ) ;   D ( φ h ) [31] and the regions Ti Cj   ( i , j = 1 , 2 , 3 ) are connected spaces; this implies that Equations (54) and (55) have a unique solution. Consequently, it is concluded that the evolution of the neutral axis position versus curvature can be plotted according to one of possible curves, as depicted in Figure 15. Thus, the curvature in each region Ti Cj   ( i , j = 1 , 2 , 3 ) can be delimited by [ φ h ij 0 , φ h ij L ] , in which φ h ij 0 ; φ h ij L are the initial and boundary conditions of the non-dimensional curvature at region Ti Cj , respectively. Hence, the unique non-dimensional neutral axis depth is y ¯ h ij L   [ d h , d h ] , corresponding to [   φ h ij L ].
The definition interval of the root function:
By considering   ε b / ( y ¯ h y b ) as a general form for non-dimensional curvature functions and substituting it into non-dimensional curvature φ h in the equilibrium equation. Equation (26) is as follows:
A L ( φ h ) y ¯ h 3 + B L ( φ h ) y ¯ h 2 + C L ( φ h ) y ¯ h + D L ( φ h ) = 0
with:
A L ( φ h ) = 1 3 α ( 1 β co . c . pk ) ε b 3 + ( α ε co . c . pk ( 1 β co . c . pk ) 0.5 ( 1 β cr ) E co . t ) ε b 2       + α ε co . c . pk 2 β co . c . pk ε b 1 3 α β co . c . pk ε co . c . pk 3 0.5 β cr E co . t ε co . t . L . cr 2
B L ( φ h ) = ( α β co . c . pk ( 1 β co . c . pk ) 0.5 ( 1 β cr ) E co . t ) ε b 2 y h b       + [ ρ Upp . R E Upp . R ( 1 β Upp . R . yld ) + ρ Low . R E Low . R ( 1 β Low . R . yld )       + ( 1 β cr ) E co . t ] ε b 2 2 α ε co . c . pk 2 β co . c . pk ε b y h b       + [ ρ Upp . R E Upp . R . yld β Upp . R . yld ε Upp . R . yld       + ρ Low . R E Low . R β Low . R . yld ε Low . R . yld ] ε b + α β co . c . pk ε co . c . pk 3 y h b       + 3 2 β cr E co . t ε co . t . L . cr 2 y h b
C L ( φ h ) = [ ρ Upp R E Upp . R ( 1 β Upp R yld ) ( y h b +   d )       + ρ Low . R E Low . R ( 1 β Low . R . yld ) ( y h b + d )       + ( 1 β c r ) E co . t ( y h b + 0.5 ) ] ε b 2 + α ε co . c . pk 2 β co . c . pk ε b y h b 2       2 [ ρ Upp . R E Upp . R β Upp . R . yld ε Upp . R . yld       + ρ Low . R E Low . R β Low . R . yld ε Low . R . yld ] ε b y h b α β co . c . pk ε co . c . pk 3 y h b 2       3 2 β cr E co . t ε co . t . L . cr 2 y h b 2
D L ( φ h ) = [ ρ Upp . R E Upp . R d h ( 1 β Upp . R . yld ) + ρ Low . R E Low . R d h ( 1 β Low . R . yld )       + 0.5 ( 1 β cr ) E co . t ] ε b 2 y h b       + [ ρ Upp . R E Upp . R β Upp . R . yld ε Upp . R . yld       + ρ Low . R E Low . R β Low . R . yld ε Low . R . yld ] ε b y h b 2 + 1 3 α β co . c . pk ε co . c . pk 3 y h b 3       + 0.5 β cr E co . t ε co . t . L . cr 2 y h b 3
Similar to Equation (55), y ¯ h ij L is given as follows:
y ¯ h ij L = 2 p L / 3 cos ( ( 1 / 3 ) cos 1 ( ( 3 q L / ( 2 p L ) ) ( 3 / p L ) ) + ( 2 / 3 ) k π )       ( B L / 3 A L ) With   k   ϵ   { 0 , 1 , 2 }  
in which:
p L ( φ h ) = ( B ( φ h ) 2 / 3 A ( φ h ) 2 ) + ( C ( φ h ) / A ( φ h ) )
q L ( φ h ) = ( B ( φ h ) / 27 A ( φ h ) ) ( ( 2 B ( φ h ) 2 / 3 A ( φ h ) 2 ) 9 ( C ( φ h ) / A ( φ h ) ) ) + ( D ( φ h ) / A ( φ h ) )
The only admissible value for y ¯ h ij L is:
{ y ¯ h ij L [ d h , d h ] and ε b / ( y ¯ h ij L y b ) = min ( φ h . ij . Lt ( y ¯ h ij L ) ;   φ h . ij . Lc ( y ¯ h ij L ) )
with:
φ h . ij . Lt ( y ¯ h ) = ( 1 β cr ) φ h . t . L . cr + β cr ( 1 β Low . R . yld ) φ h . Low . R . yld + β Low . R . yld φ h . Low . R . ult
φ h . ij . Lc ( y ¯ h ) = ( 1 β co . c . pk ) φ h . co . c . pk + β co . c . pk ( 1 β Upp . R . yld ) min   ( φ h . co . c . ult ( y ¯ h ) . φ h . Upp . R . yld ( y ¯ h ) )        +   β Upp . R . yld φ h . co . c . ult ( y ¯ h )
The valid root function for a region Ti Cj must satisfy:
y ¯ h   ( φ h . ij . L ) =   y ¯ h . ij . L
Finally, an algorithm was written to generate the moment–curvature relation under increasing curvature for a rectangular RC beam cross-section, as shown in Figure 16.
After obtaining the diagram ( M φ h ) , the calculation of ( EI ) e is immediately deduced, as shown in Equation (69):
( EI ) e = ( M ( φ h ) / h . φ h )
Consequently, the deflection at mid-span can be estimated according to the initial condition of loading.

3. Results and Discussion

A large number of rectangular RC beams with FRP, steel and hybrid FRP–steel reinforcements obtained from different experimental investigations were used to validate the proposed model. Fifty-seven samples collected from 11 experimental studies were chosen with various geometric and material characteristics. Table 1 shows the variability of the chosen beams in terms of width, height, reinforcement ratio, modulus of elasticity, reinforcement tensile strength, and concrete compressive strength.
Table 2 provides test data parameters for four rectangular glass FRP RC beams to compare moment–curvature curves. The values at the crack initiation and in the ultimate state of moments and curvatures from the proposed model and the test data are listed in Table 3, from which a good prediction of the flexural capacity of all beams was observed. A scatter at the early moment was noted. This could be justified by the difficulty of the experimental tests to control the sudden variation of the flexural stiffness during the initiation of cracking in the tensile concrete. Figure 17 shows a good tendency of moment–curvature diagrams for all beams. This result confirms that the proposed model can also accurately predict the effective flexural stiffness.
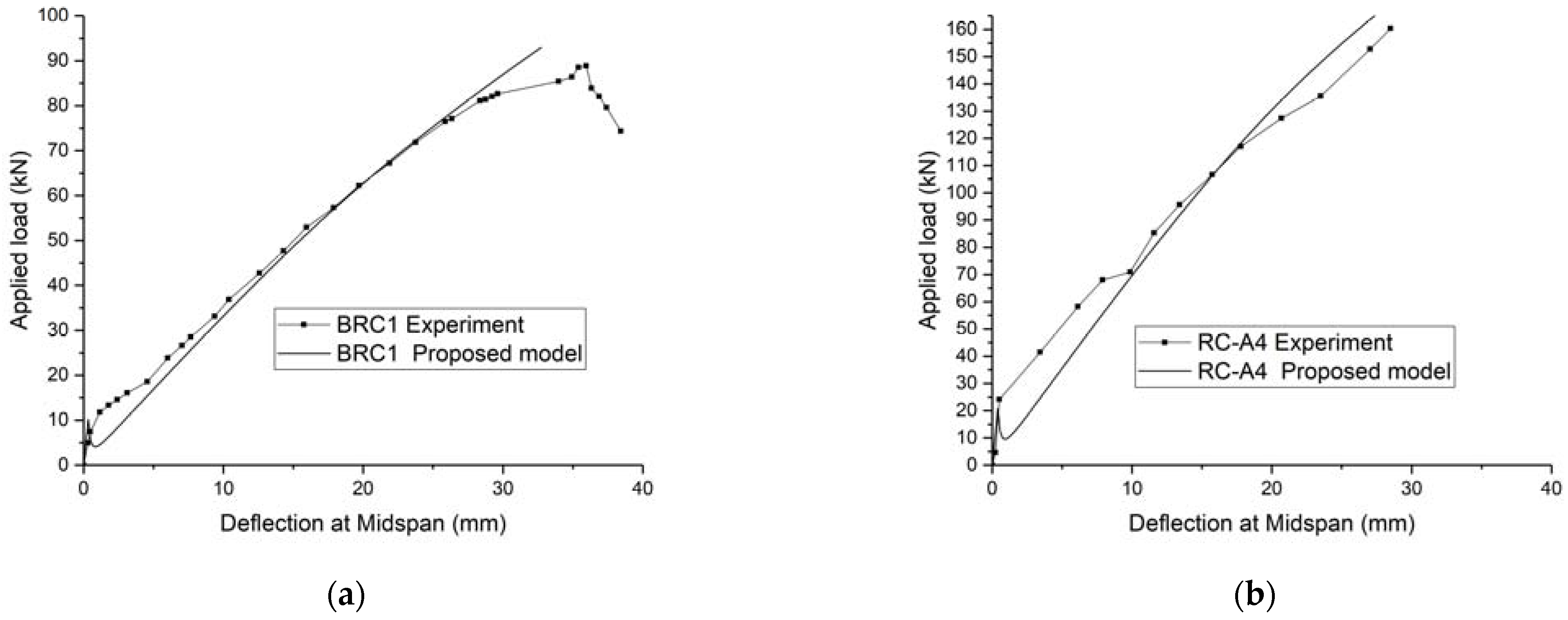
Table 4 provides test data parameters for six rectangular beams: two steel doubly RC beams, one Aramid FRP simply RC beam and two hybrid steel–carbon FRP RC beams. The comparison between the results of the present model and experiment data reveals a good agreement for the prediction, with an average accuracy equal to 5% for the load bearing capacity and 7% for deflection at mid-span, as shown in Table 5. A good tendency was observed and justified by the precise accuracy of the effective flexural stiffness obtained by the present model as shown in Figure 18, Figure 19 and Figure 20. Figure 18b show some difference in the load–deformation response of the model compared to the test data at failure stage. However, load bearing capacity and deflection limit have been accurately estimated.
The effective flexural stiffness generated from the model algorithm was compared with those obtained from the data test, ACI440-R-15 [17] and (M.M Aliasghar and A Khaloo [21]) formulations. The last model was chosen for its best fit with a large updated experimental database. Hereafter, the EFS ratio ( ( EI ) e / E c I g )   was compared to give a good reading of the results (Table 6). A background colour is used to show the level of disperience: green for errors less than 10%; yellow for errors between 10% and 20%; orange for errors between 20% and 30%; and red for errors over 30%. Figure 21 illustrate the EFS prediction disperience comparison of the present model with Aliasghar and ACI440.1R.15 models based on Table 6. The comparison reveals a satisfactory accuracy for predicting the (EFS) for an FRP RC beam with an average precision equal to 8%.

4. Conclusions

The proposed model was applied to 57 rectangular FRP, and steel and hybrid FRP–steel RC beams were collected from 11 different experiment investigations. Moment–curvature curves, the effective flexural stiffness and the load–deflection response generated from the model were compared with those obtained from the test data, and the following concluding remarks can be drawn:
  • The predicted moment–curvature response for glass FRP RC beams showed a good tendency with those obtained by experimental tests.
  • The present model adequately predicts the load bearing capacity of FRP, steel and hybrid FRP–steel RC beams.
  • The prediction of the load–deflection response by the present model for FRP, steel and hybrid FRP–steel RC beams showed good agreement with the experimental results.
  • The current model can adequately predict the effective flexural stiffness for FRP, steel and hybrid FRP–steel RC beams compared to other recent models.
  • The proposed model has some differences regarding test data, especially at the first loads before the initiation of cracking in the tension concrete. Nevertheless, the model showed a phenomenon of sudden change in bending stiffness caused by the initiation of cracks in the concrete in tension observed by several test data.

Author Contributions

Conceptualization, L.L. and I.O.; methodology, R.E.A. and I.O.; software, M.S. and I.O.; validation, R.E.A. and I.O.; formal analysis, L.L. and I.O.; investigation, R.E.A. and I.O.; resources, M.S. and I.O.; data curation, I.O.; writing—original draft preparation, I.O.; writing—review and editing, I.O.; visualization, R.E.A.; supervision, L.L.; project administration, L.L. and M.S. All authors have read and agreed to the published version of the manuscript.

Funding

This research received no external funding.

Data Availability Statement

Not applicable.

Conflicts of Interest

The authors declare no conflict of interest.

Abbreviations and Notations

cCompresion
coConcrete
tTension
Low.RLower reinforcement
Upp.RUpper reinforcement
crCrack initiation
pkPeak compressive stress of concrete
ultUltimate
LLimit

References

  1. Wegian, F.M.; Abdalla, H.A. Shear capacity of concrete beams reinforced with fiber reinforced polymers. Compos. Struct. 2005, 71, 130–138. [Google Scholar] [CrossRef]
  2. Wang, Y.C.; Chen, C.H. Analytical study on reinforced concrete beams strengthened for flexure and shear with composite plates. Compos. Struct. 2003, 59, 137–148. [Google Scholar] [CrossRef]
  3. Ge, W.; Ashour, A.F.; Cao, D.; Lu, W.; Gao, P.; Yu, J.; Ji, X.; Cai, C. Experimental study on flexural behavior of ECC-concrete composite beams reinforced with FRP bars. Compos. Struct. 2019, 208, 454–465. [Google Scholar] [CrossRef]
  4. Barris, C.; Sala, P.; Gómez, J.; Torres, L. Flexural behaviour of FRP reinforced concrete beams strengthened with NSM CFRP strips. Compos. Struct. 2020, 241, 112059. [Google Scholar] [CrossRef]
  5. Nanni, A. Flexural behavior and design of RC members using FRP reinforcement. J. Struct. Eng. 1993, 119, 3344–3359. [Google Scholar] [CrossRef]
  6. Branson, D.E. Instantaneous and time-dependent deflections of simple and continuous reinforced concrete beams; HPR Report No. 7, Part 1. Montgomery; State of Alabama Highway Department: Auburn, AL, USA, 1965. [Google Scholar]
  7. Masmoudi, R.; Theriault, M.; Benmokrane, B. Flexural Behaviour of Concrete Beams Reinforced with FRP C-BAR Reinforcing Rod; Technical Report 2 Submitted to Marshal/Industries Composites. Inc.; Department of Civil Engineering, University of Sherbrooke: Sherbrooke, QC, Canada, 1996. [Google Scholar]
  8. Benmokrane, B.; Chaallal, O.; Masmoudi, R. Flexural response of concrete beams reinforced with FRP reinforcing bars. ACI Struct. J. 1996, 93, 46–55. [Google Scholar]
  9. Thériault, M.; Benmokrane, B. Effects of FRP reinforcement ratio and concrete strength on flexural behavior of concrete beams. J. Compos. Constr. 1998, 2, 7–16. [Google Scholar] [CrossRef]
  10. Gao, D.; Benmokrane, B.; Masmoudi, R. A Calculating Method of Flexural Properties of FRP-Reinforced Concrete Beam: Part 1: Crack Width and Deflection; Technical Report; Department of Civil Engineering, University of Sherbrooke: Sherbrooke, QC, Canada, 1998. [Google Scholar]
  11. ISIS Canada. Reinforcing Concrete Structures with Fibre Reinforced Polymers, Design Manual; ISIS: Winnipeg, MB, Canada, 2001; Volume 3. [Google Scholar]
  12. ACI Committee 440. Guide for the Design and Construction of Concrete Reinforced with FRP Bars; ACI 440.1R-03; ACI: Farmington Hills, MI, USA, 2003. [Google Scholar]
  13. CEB-FIP. CEB-FIP Model Code (MC-90); EuroInternational Concrete Committee—CEB; Thomas Telford: London, UK, 1993. [Google Scholar]
  14. Ghali, A. Deflection of reinforced concrete members: A critical review. ACI Struct. J. 1993, 90, 364–373. [Google Scholar]
  15. Bischoff, P.H. Reevaluation of deflection prediction for concrete beams reinforced with steel and fiber reinforced polymer bars. J. Struct. Eng. 2005, 131, 752–767. [Google Scholar] [CrossRef]
  16. Bischoff, P.H.; Gross, P. Design Approach for Calculating Deflection of FRP-Reinforced Concrete. J. Compos. Constr. 2011, 15, 490–499. [Google Scholar] [CrossRef]
  17. ACI (American Concrete Institute). Guide for the Design and Construction of Structural Concrete Reinforced with FRP Bars; ACI 440.1R-15; ACI: Farmington Hills, MI, USA, 2015. [Google Scholar]
  18. Rafi, M.M.; Nadjai, A. Evaluation of ACI 440 deflection model for fiber-reinforced polymer reinforced concrete beams and suggested modification. ACI Struct. J. 2009, 106, 762–771. [Google Scholar]
  19. Zadeh, H.J.; Nanni, A. Flexural stiffness and second-order effects in fibre-reinforced polymer-reinforced concrete frames. ACI Struct. J. 2017, 114, 533–544. [Google Scholar] [CrossRef]
  20. Hadhood, A.; Mohamed, H.M.; Benmokrane, B. Flexural stiffness of GFRP- and CFRP-RC circular members under eccentric loads based on experimental and curvature analysis. ACI Struct. J. 2018, 115, 1185–1198. [Google Scholar] [CrossRef]
  21. Aliasghar, M.M.; Khaloo, A. Effective Flexural Stiffness of Beams Reinforced with FRP Bars in Reinforced Concrete Moment Frames; American Society of Civil Engineers: Reston, VA, USA, 2020. [Google Scholar] [CrossRef]
  22. Protchenko, K.; Leśniak, P.; Szmigiera, E.; Urbański, M. New Model for Analytical Predictions on the Bending Capacity of Concrete Elements Reinforced with FRP Bars. Materials 2021, 14, 693. [Google Scholar] [CrossRef]
  23. Wang, C.; Salmon, C.G. Reinforced Concrete Design, 4th ed.; Harper & Row: Manhattan, NY, USA, 1985; ISBN 0063507498/9780063507494. [Google Scholar]
  24. Paulay, T.; Park, R.; Preistley, M.J.N. Reinforced concrete beam-column joints under seismic actions. J. Proc. 1978, 75, 585–593. [Google Scholar]
  25. Mander, J.B.; Priestley, M.J.; Park, R. Theoretical stress-strain model for confined concrete. J. Struct. Eng. 1988, 114, 1804–1826. [Google Scholar] [CrossRef]
  26. CEN (Comité Européen de Normalisation). Eurocode 2: Design of Concrete Structures—Part 1-1: General Rules and Rules for Buildings; EN 1992–1–1; CEN (Comité Européen de Normalisation): Brussels, Belgium, 2004. [Google Scholar]
  27. Tobbi, H.; Farghaly, A.S.; Benmokrane, B. Strength model for concrete columns reinforced with fibre-reinforced polymer bars and ties. ACI Struct. J. 2014, 111, 789–798. [Google Scholar] [CrossRef]
  28. Acciai, A.; D’Ambrisi, A.; de Stefano, M.; Feo, L.; Focacci, F.; Nudo, R. Experimental response of FRP reinforced members without transverse reinforcement: Failure modes and design issues. Compos. Part B 2016, 89, 397–407. [Google Scholar] [CrossRef]
  29. Jafari, A.; Bazli, M.; Ashrafi, H.; Oskouei, A.V.; Azhari, S.; Zhao, X.-L.; Gholipour, H. Effect of fibres configuration and thickness on tensile behaviour of GFRP laminates subjected to elevated temperatures. Constr. Build. Mater. 2019, 202, 189–207. [Google Scholar] [CrossRef]
  30. Chang, G.; Mander, J. Seismic Energy Based Fatigue Damage Analysis of Bridge Columns: Part I-Evaluation of Seismic Capacity; NCEER Technical Report No. 94-0006; National Center for Earthquake Engineering Research: Buffalo, NY, USA, 1994. [Google Scholar]
  31. Harris, G.; Clyde, M. Shorter notes: The roots of a polynomial vary continuously as a function of the coefficients. Proc. Am. Math. Soc. 1987, 100, 390–392. [Google Scholar] [CrossRef]
  32. Zheng, H.; Ou, J.; Wang, B. The trilinear moment vs. curvature relationship of concrete beams reinforced with fibre reinforced polymer (FRP) rebars. Compos. Struct. 2007, 77, 30–35. [Google Scholar]
  33. Aiello, M.A.; Ombres, L. Load–deflection analysis of FRP reinforced concrete flexural members. J. Compos. Constr. 2000, 4, 164–171. [Google Scholar] [CrossRef]
  34. Alsayed, S.H. Flexural behaviour of concrete beams reinforced with GFRP bars. Cem. Concr. Compos. 1998, 20, 1–11. [Google Scholar] [CrossRef]
  35. Rafi, M.M.; Nadjai, A. A suggested model for European code to calculate deflection of FRP reinforced concrete beams. Mag. Concr. Res. 2011, 63, 197–214. [Google Scholar] [CrossRef]
  36. Nakano, K.; Matsuzaki, Y.; Fukuyama, H.; Teshigawara, M. Flexural performance of concrete beams reinforced with continuous fibre bars. In Fibre Reinforced Plastic Reinforcement for Concrete Structures; ACI SP-138; ACI: Farmington Hills, MI, USA, 1993; pp. 743–766. [Google Scholar]
  37. Wang, L.; Yi, J.; Zhang, J.; Chen, W.; Fu, F. Short-term flexural stiffness prediction of CFRP bars reinforced coral concrete beams. Materials 2021, 14, 467. [Google Scholar] [CrossRef]
  38. Yost, J.R.; Gross, S.P.; Dinehart, D.W. Effective moment of inertia for glass fiber-reinforced polymer-reinforced concrete beams. ACI Struct. J. 2003, 100, 732–739. [Google Scholar]
  39. Kassem, C.; Farghaly, A.S.; Benmokrane, B. Evaluation of flexural behaviour and serviceability performance of concrete beams reinforced with FRP bars. J. Compos. Constr. 2011, 15, 682–695. [Google Scholar] [CrossRef]
  40. Goldston, M.W.; Remennikov, A.; Sheikh, M.N. Flexural behaviour of GFRP reinforced high strength and ultra high strength concrete beams. Constr. Build. Mater. 2017, 131, 606–617. [Google Scholar] [CrossRef]
Figure 1. Geometric and dimensional cross-section details.
Figure 1. Geometric and dimensional cross-section details.
Buildings 12 01964 g001
Figure 2. Stress–strain diagram for concrete under compression.
Figure 2. Stress–strain diagram for concrete under compression.
Buildings 12 01964 g002
Figure 3. Stress–strain diagram for concrete under tension.
Figure 3. Stress–strain diagram for concrete under tension.
Buildings 12 01964 g003
Figure 4. Stress–strain diagram for FRP.
Figure 4. Stress–strain diagram for FRP.
Buildings 12 01964 g004
Figure 5. Stress–strain diagram for steel.
Figure 5. Stress–strain diagram for steel.
Buildings 12 01964 g005
Figure 6. Free body diagram for RC element.
Figure 6. Free body diagram for RC element.
Buildings 12 01964 g006
Figure 7. Stress and strain distribution of the cross-section under the balanced condition: (a) un-cracked state of tensile concrete; (b) cracked state of tensile concrete.
Figure 7. Stress and strain distribution of the cross-section under the balanced condition: (a) un-cracked state of tensile concrete; (b) cracked state of tensile concrete.
Buildings 12 01964 g007aBuildings 12 01964 g007b
Figure 8. Stress–strain compressive concrete when ( ε ( y = 0 ) ε co . c . pk ) .
Figure 8. Stress–strain compressive concrete when ( ε ( y = 0 ) ε co . c . pk ) .
Buildings 12 01964 g008
Figure 9. Stress–strain compressive concrete when ( ε ( y = 0 ) > ε co . c . pk ) .
Figure 9. Stress–strain compressive concrete when ( ε ( y = 0 ) > ε co . c . pk ) .
Buildings 12 01964 g009
Figure 10. Stress–strain compressive concrete when ε ( y h = 1 ) ε co . t . L . cr .
Figure 10. Stress–strain compressive concrete when ε ( y h = 1 ) ε co . t . L . cr .
Buildings 12 01964 g010
Figure 11. Curvature limits for the tension stress block.
Figure 11. Curvature limits for the tension stress block.
Buildings 12 01964 g011
Figure 12. Curvature limits for compressive stress block.
Figure 12. Curvature limits for compressive stress block.
Buildings 12 01964 g012
Figure 13. Deformation processes in blocks of tensile and compressive stress under increasing curvature.
Figure 13. Deformation processes in blocks of tensile and compressive stress under increasing curvature.
Buildings 12 01964 g013
Figure 14. Polynomial forms taken by Equation (26) according to values taken by (   β co . c . pk and βcr).
Figure 14. Polynomial forms taken by Equation (26) according to values taken by (   β co . c . pk and βcr).
Buildings 12 01964 g014
Figure 15. The possible deformation processes under increasing curvature.
Figure 15. The possible deformation processes under increasing curvature.
Buildings 12 01964 g015
Figure 16. An algorithm to generate the moment–curvature relationship.
Figure 16. An algorithm to generate the moment–curvature relationship.
Buildings 12 01964 g016
Figure 17. Comparison of present model with moment–curvature tests according to [32].
Figure 17. Comparison of present model with moment–curvature tests according to [32].
Buildings 12 01964 g017aBuildings 12 01964 g017b
Figure 18. Comparison of present model with load–deflection tests according to (a): [33] and (b): [34].
Figure 18. Comparison of present model with load–deflection tests according to (a): [33] and (b): [34].
Buildings 12 01964 g018
Figure 19. Comparison of present model with load–deflection tests according to (a): [35] and (b): [36].
Figure 19. Comparison of present model with load–deflection tests according to (a): [35] and (b): [36].
Buildings 12 01964 g019
Figure 20. Comparison of present model with load–deflection tests according to [37].
Figure 20. Comparison of present model with load–deflection tests according to [37].
Buildings 12 01964 g020
Figure 21. EFS prediction divergence of the present model compared to M.M Aliasghar and A Khaloo (2021) and ACI440.1R.15 models.
Figure 21. EFS prediction divergence of the present model compared to M.M Aliasghar and A Khaloo (2021) and ACI440.1R.15 models.
Buildings 12 01964 g021
Table 1. Geometric and material variability of selected beam samples.
Table 1. Geometric and material variability of selected beam samples.
b (mm)h (mm)d (mm) ρLow.R%Elow.R (GPa)σLow.R.yld (Mpa)fco.c (Mpa)
Min1201501250.3635.646521.27
Max5003002853.6200198846.52
Table 2. Test data parameters for four glass FRP RC beams.
Table 2. Test data parameters for four glass FRP RC beams.
NoRefBeamb (mm)h (mm)d′ (mm)d (mm)fco.c (Mpa)Lower Reinforcement
Bar TypeρLow.RELow.RσLow.R.yld
(%)(Gpa)(Mpa)
1Zheng He (GFRP) [32]G30W-A150300-28521.27GFRP0.5052.001.230
2Zheng He (GFRP) [32]G30W-B150300-28527.31GFRP0.7052.001.230
3Zheng He (GFRP) [32]G40W-A150300-28527.20GFRP0.5052.001.230
4Zheng He (GFRP) [32]G40W-A150300-28533.07GFRP0.7052.001.230
Table 3. Accuracy comparison of present model with experimental data for moment and curvature results.
Table 3. Accuracy comparison of present model with experimental data for moment and curvature results.
NoMcr (Cracking Moment) (kN·m)ϕcr (Cracking Curvature) (10−6/mm)Mu (Ultimate Moment) (kN·m)ϕu (Ultimate Curvature) (10 × 10−6/mm)
ExpProposed ModelExpProposed ModelExpProposed ModelProposed Model ErrorExpProposed ModelProposed Model Error
18.804.521.350.5447.3043.119%62.6763.662%
28.205.641.350.5759.6057.004%60.5663.612%
37.905.561.500.5746.6049.987%70.2170.961%
47.506.201.450.5866.8065.202%69.8070.351%
Table 4. Test data parameters for six rectangular FRP, steel and hybrid FRP–steel RC beams.
Table 4. Test data parameters for six rectangular FRP, steel and hybrid FRP–steel RC beams.
NoRefBeamb (mm)h (mm)d′ (mm)d (mm)fco.cUpper ReinforcementLower Reinforcement
Bar TypeρLow.REUpp.RσUpp.RBar TypeρLow.RElow.Rσlow.R
(Mpa)(%)(Gpa)(Mpa)(%)(Gpa)(Mpa)
1Aiello and Ombres [33]B11502002517545.70Steel0.36200.00465Steel0.75200.00465
2Alsayed [34]SERIE A2002104616031.00Steel0.07200.00553Steel1.10200.00553
3Rafai and Nadjai [35]BRC11202003016046.52Steel0.42201.00530CFRP0.56135.901.675
4Nakano et al. [36]RC-A4200300-24029.43----AFRP1.4556.001.265
5Wang, Land et al. [37]S-14-11202502918842.60CFRP0.19106.401.628Steel0.86200.00500
6Wang, Land et al. [37]S-16-11202502918742.60CFRP0.19106.401.628Steel1.34200.00500
Table 5. Accuracy comparison of present model with experimental data for load capacity and deflection at mid-span.
Table 5. Accuracy comparison of present model with experimental data for load capacity and deflection at mid-span.
NoLoad Capacity (kN)Deflection at Mid Span (mm)
ExpProposed ModelProposed Model ErrorExpProposed ModelProposed Model Error
150.548.44%70.174.56%
256.856.60%27.831.011%
388.982.77%36.029.219%
4151.7160.36%28.528.60%
581.375.08%17,5017.31%
695.097.43%17.218.26%
Average5% Average7%
Table 6. (EFS) Accuracy comparison of present model with experimental data, M.M Aliasghar and A Khaloo (2021) and (ACI 440.1R-15) formulations for FRP RC beams (the background colour shows the level of disperience).
Table 6. (EFS) Accuracy comparison of present model with experimental data, M.M Aliasghar and A Khaloo (2021) and (ACI 440.1R-15) formulations for FRP RC beams (the background colour shows the level of disperience).
RefNoRefb (mm)h (mm)d (mm)ρLow.R%Elow, R (GPa)σLow.R.yld (Mpa)fco.c (Mpa)Eie/EcIg (Exp)Eie/EcIg (Proposed Model)Proposed Model Error %Eie/EcIg M.M Aliasghar and A Khaloo (2021),M.M Aliasghar and A Khaloo (2021), Disperience %Eie/EcIg (ACI440,1R-15)(ACI440,1R-15) Disperience %
[34]1g32002602111.243.488631.30.0830.07411%0.0908%0.14170%
2g42003002481.1535.670040.70.0670.0619%0.0716%0.10861%
3g52002501982.8735.670040.70.1140.1151%0.12611%0.20378%
[8]4ISO1, ISO22003002501.145690430.0800.0748%0.0823%0.12860%
[38]5NS-1a2292862261.140.369036.30.0590.0590%0.06917%0.10781%
6NS-1b2292862261.140.369036.30.0600.0592%0.06915%0.10778%
7NS-1c2292862261.140.369036.30.0590.0590%0.06917%0.10781%
8NS-2a2292862261.6640.369036.30.0800.0834%0.09418%0.15189%
9NS-2b2292862261.6640.369036.30.0860.0833%0.0949%0.15176%
10NS-2c2292862261.6640.369036.30.0880.0836%0.0947%0.15172%
11NS-3a2542862242.0540.369036.30.0990.0954%0.1089%0.17577%
12NS-3b2542862242.0540.369036.30.0890.0957%0.10821%0.17597%
13NS-3c2542862242.0540.369036.30.0970.0952%0.10811%0.17580%
14NS-4a2292862242.2740.369036.30.1020.1031%0.11715%0.18985%
15NS-4b2292862242.2740.369036.30.1000.1033%0.11717%0.18989%
16NS-4c2292862242.2740.369036.30.1070.1034%0.1179%0.18977%
17NL-1a2541841400.7140.369040.30.0400.03610%0.04410%0.06255%
18NL-1a2541841400.7140.369040.30.0400.03610%0.04410%0.06255%
19NL-1a2541841400.7140.369040.30.0380.0365%0.04416%0.06263%
20NL-2a3051841380.9440.369040.30.0510.04414%0.0510%0.07751%
21NL-2b3051841380.9440.369040.30.0500.04412%0.0512%0.07754%
22NL-2c3051841380.9440.369040.30.0480.0448%0.0516%0.07760%
23NL-3a2411841381.1940.369040.30.0550.0542%0.0609%0.09471%
24NL-3b2411841381.1940.369040.30.0580.0547%0.0603%0.09462%
25NL-3c2411841381.1940.369040.30.0550.0542%0.0609%0.09471%
26NL-4a2031841381.4140.369040.30.0720.06115%0.0686%0.10951%
27NL-4b2031841381.4140.369040.30.0710.06213%0.0684%0.10954%
28NL-4c2031841381.4140.369040.30.0750.06217%0.0689%0.10945%
[39]29G1-82003002362.24061739.10.1120.10110%0.1111%0.13924%
30G1-62003002361.64061739.10.0780.0780%0.08610%0.14788%
31G2-82003002361.93674739.10.0960.08215%0.0915%0.11419%
32G2-62003002361.43674739.10.0830.06423%0.07213%0.233181%
33C1-82003002291.2114150639.30.1320.1302%0.14812%0.18742%
34C1-62003002290.9114150639.30.1050.1041%0.11510%0.16052%
35C1-4B2003002440.6114150640.40.0840.0918%0.10019%0.13460%
36C1-42003002290.6114150640.40.0840.07511%0.0822%0.226169%
37C2-82003002291.1122198840.80.1180.1278%0.14321%0.17750%
38C2-62003002290.8122198840.80.0970.0992%0.10912%0.14651%
39C2-4b2003002440.5122198839.90.0910.08210%0.0921%0.12234%
40C2-42003002290.5122198839.90.0870.06822%0.07613%0.13960%
[40]4140#3-1-S1001501261.1355.61764400.1130.09318%0.1048%0.16546%
4240#4-1-S1001501252.0348.61605400.1620.13119%0.14312%0.22941%
43I,65002501950.6342692350.0450.03718%0.0499%0.06749%
44II,55002501951.5242692350.0760.0771%0.08917%0.14287%
45L,45002501950.471471970350.1030.08220%0.0949%0.15248%
[35]46BRC-11202001650.7136167642.60.1120.12310%0.13218%0.21289%
47BRC-21202001650.7136167641.70.1210.1232%0.13310%0.21477%
Average8%Average10%Average68%
Publisher’s Note: MDPI stays neutral with regard to jurisdictional claims in published maps and institutional affiliations.

Share and Cite

MDPI and ACS Style

Ouahmane, I.; Alaiji, R.E.; Sallaou, M.; Lasri, L. General Mathematical Model for Analysing the Bending Behaviour of Rectangular Concrete Beams with Steel, Fibre-Reinforced Polymers (FRP) and Hybrid FRP–Steel Reinforcements. Buildings 2022, 12, 1964. https://doi.org/10.3390/buildings12111964

AMA Style

Ouahmane I, Alaiji RE, Sallaou M, Lasri L. General Mathematical Model for Analysing the Bending Behaviour of Rectangular Concrete Beams with Steel, Fibre-Reinforced Polymers (FRP) and Hybrid FRP–Steel Reinforcements. Buildings. 2022; 12(11):1964. https://doi.org/10.3390/buildings12111964

Chicago/Turabian Style

Ouahmane, Issam, Rachid El Alaiji, Mohammed Sallaou, and Larbi Lasri. 2022. "General Mathematical Model for Analysing the Bending Behaviour of Rectangular Concrete Beams with Steel, Fibre-Reinforced Polymers (FRP) and Hybrid FRP–Steel Reinforcements" Buildings 12, no. 11: 1964. https://doi.org/10.3390/buildings12111964

APA Style

Ouahmane, I., Alaiji, R. E., Sallaou, M., & Lasri, L. (2022). General Mathematical Model for Analysing the Bending Behaviour of Rectangular Concrete Beams with Steel, Fibre-Reinforced Polymers (FRP) and Hybrid FRP–Steel Reinforcements. Buildings, 12(11), 1964. https://doi.org/10.3390/buildings12111964

Note that from the first issue of 2016, this journal uses article numbers instead of page numbers. See further details here.

Article Metrics

Back to TopTop