Experimental Study on the Structural Behavior of the Oldest Timber Frame in China
Abstract
:1. Introduction
2. Overview of Tang Dynasty Architecture
2.1. General Description and History
2.2. Structural Features of Tang Dynasty Architecture
2.3. Construction Techniques for Timber-Framed Buildings of the Tang Dynasty
3. Experimental Program
3.1. Fabrication of Specimen
3.2. Experimental Setup
3.3. Vertical Load and Loading Schemes
4. Experimental Results
4.1. General Observations
4.2. Load–Displacement Curves
4.3. Stiffness Degradation
4.4. Energy Dissipation
4.5. Bending Moment
5. Conclusions
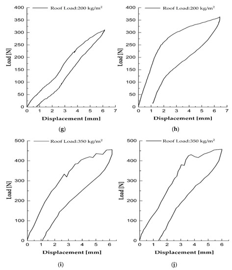
- The accompanying increase in vertical load leads to an increase in lateral resistance. Setting a larger vertical load also leads to higher stiffness, high lateral forces, and a higher energy dissipation capacity. At a vertical load of 200 kg/m2, the lateral resistance (363 N) is greater than the frontal resistance (306 N), by approximately 1.2 times.
- The effect of the vertical load on the stiffness of the building is due to the increase in stiffness of the building as the vertical load rises. Furthermore, the building’s initial stiffness is greatest when applied to horizontal lateral forces, and it decreases as the horizontal displacement rises. The Lan’E (29 cm × 16 cm) on the front of the Nanchan Temple has different cross-sectional dimensions than the other three sides (23 cm × 13 cm), which may result in different stiffnesses on the frontal and lateral directions. The effect of the same size Lan’E on the structural stiffness of the Tang Dynasty building will be continued as a future research topic.
- The most significant load-bearing components and ones that support the highest vertical loads are Ping Liang and Sichuan Fu. Through the roof, the vertical weight is conveyed first to Cha Shou and then to Ping Liang. The maximum bending moment of Ping Liang is 1.75 N·m, with a roof load of 350 kg/m2, which is 16.5 times higher than that of Sichuan Fu (28.8 N·m).
- A further study could assess the long-term effects of the structural characteristics of the three preserved Tang Dynasty buildings and the effect of vertical loads on these structures, and to verify the reasonableness of the removal of Zhuru Zhu during the 1975 restoration project. Moreover, to provide a structural reference for the restoration of heritage buildings.
Author Contributions
Funding
Institutional Review Board Statement
Informed Consent Statement
Data Availability Statement
Conflicts of Interest
References
- Cha, Q. Early conservation practices of Chinese cultural heritage (1). Chi. Cul. Herit. 2018, 1, 78–86. (In Chinese) [Google Scholar]
- Gao, T. The Restoration of the main hall of Nanchan Temple and the development of the concept of conservation of cultural heritage buildings in early New China. Anci. Gard. Technol. 2011, 2, 15–19. (In Chinese) [Google Scholar]
- Shi, J.P. Form and space: A study of configurational relationships based on sculpture at Nanchan Temple. Art. Stu. 2020, 2, 10–11. (In Chinese) [Google Scholar]
- Yang, B. Conservation and use of painted sculptures at Wutai Nanchan Temple. World Abtiqu. 2015, 2, 42–45. (In Chinese) [Google Scholar]
- Zhang, R.; Wang, Y.Z.; Wang, L.; Li, Y.M. A study on the background of the reconstruction of the main hall of Nanchan Temple, the analysis of the system of building materials and the spatial layout of the building statues. J. Arch. His. 2022, 2, 5–23. (In Chinese) [Google Scholar]
- Long, X.H. An exploration of beam fitting techniques in traditional woodwork construction. Anci. Gard. Technol. 2013, 2, 46–50. (In Chinese) [Google Scholar]
- Yu, Z.Y.; Zhou, S.Q. A preliminary study of the seismic performance of Chinese ancient buildings. J. Nat. Palace Mus. 1999, 2, 1–8. (In Chinese) [Google Scholar]
- Zhang, Z.L. Analysis of the development of other roof sections from the practice of the corner section of Nanchan Temple. Anc. Gard. Technol. 1993, 2, 35–37. (In Chinese) [Google Scholar]
- Liang, S.C. The Complete Works of Liang Sicheng; China Construction Industry Press: Beijing, China, 2001. (In Chinese) [Google Scholar]
- Fu, X.N. History of Ancient Chinese Architecture; China Construction Industry Press: Beijing, China, 1997. (In Chinese) [Google Scholar]
- Chen, M.D. Ancient Chinese Timber Construction Techniques; Antiquities Press: Beijing, China, 1990. (In Chinese) [Google Scholar]
- Shi, X.H. Chinese Tang Dynasty Wooden Architecture and Culture; China Construction Industry Press: Beijing, China, 2012. (In Chinese) [Google Scholar]
- Tsinghua University Architectural Design and Research Institute, Beijing Tsinghua Institute of Urban Planning and Design, Institute of Cultural Heritage Conservation. Architectural Reconnaissance Study of the Main Hall of Foguang Temple; Antiquities Press: Beijing, China, 2011. (In Chinese) [Google Scholar]
- Xiao, M. Dunhuang Architectural Research; Mechanical Industry Press: Beijing, China, 2004. (In Chinese) [Google Scholar]
- Wang, H.F. An Exploration of Dou Gong in the Tang Dynasty. J. Chang’an Univ. 1991, 2, 127–139. (In Chinese) [Google Scholar]
- Zhang, X.; Zhang, F.T. The Double Wall of Tang Dynasty Wooden Architecture—NanchanTemple and Foguang Temple Great Hall. Shanxi Sci. Technol. 2007, 1, 22–25. (In Chinese) [Google Scholar]
- Zhan, J.Q.; Zhou, Q. The Influence of Tang Aesthetic Thought on the Architectural Style of the Tang Dynasty. Shanxi Arch. 2008, 12, 60–61. (In Chinese) [Google Scholar]
- Yan, W.M.; Zhou, Q.; Zhang, B.; Li, Z.B. Seismic testing of tinplate reinforced ancient buildings. J. Beijing Univ. Technol. 2012, 4, 502–508. (In Chinese) [Google Scholar]
- Li, X.; Zhao, J.; Ma, G.; Chen, W. Experimental Study on the Seismic Performance of a Double-Span Traditional Timber Frame. Eng. Struct. 2015, 98, 141–150. [Google Scholar] [CrossRef]
- Meng, X.; Li, T.; Yang, Q. Experimental Study on the Seismic Mechanism of a Full-Scale Traditional Chinese Timber Structure. Eng. Struct. 2019, 180, 484–493. [Google Scholar] [CrossRef]
- Xue, J.; Guo, R.; Qi, L.; Xu, D. Experimental Study on the Seismic Performance of Traditional Timber Mortise-Tenon Joints with Different Looseness under Low-Cyclic Reversed Loading. Adv. Struct. Eng. 2019, 22, 1312–1328. [Google Scholar] [CrossRef]
- Shen, Y.; Yan, X.; Yu, P.; Liu, H.; Wu, G.; He, W. Seismic Resistance of Timber Frames with Mud and Stone Infill Walls in a Chinese Traditional Village Dwelling. Buildings 2021, 11, 580. [Google Scholar] [CrossRef]
- Xie, Q.; Zhang, L.; Wang, L.; Zhou, W.; Zhou, T. Lateral Performance of Traditional Chinese Timber Frames: Experiments and Analytical Model. Eng. Struct. 2019, 186, 446–455. [Google Scholar] [CrossRef]
- Xue, J.; Ma, L.; Dong, X.; Zhang, X.; Zhang, X. Investigation on the Behaviors of Tou–Kung Sets in Historic Timber Structures. Adv. Struct. Eng. 2020, 23, 485–496. [Google Scholar] [CrossRef]
- Sha, B.; Xie, L.; Yong, X.; Li, A. An Experimental Study of the Combined Hysteretic Behavior of Dougong and Upper Frame in Yingxian Wood Pagoda. Constr. Build. Mater. 2021, 305, 124723. [Google Scholar] [CrossRef]
- Huang, H.; Sun, Z.; Guo, T.; Li, P. Experimental Study on the Seismic Performance of Traditional Chuan-Dou Style Wood Frames in Southern China. Struct. Eng. Intern. 2017, 27, 246–254. [Google Scholar] [CrossRef]
- Meng, X.; Yang, Q.; Wei, J.; Li, T. Experimental Investigation on the Lateral Structural Performance of a Traditional Chinese Pre-Ming Dynasty Timber Structure Based on Half-Scale Pseudo-Static Tests. Eng. Struct. 2018, 167, 582–591. [Google Scholar] [CrossRef]
- Shi, X.; Li, T.; Chen, Y.F.; Chen, J.; Yang, Q. Full-Scale Tests on the Horizontal Hysteretic Behavior of a Single-Span Timber Frame. Int. J. Arch. Herit. 2020, 14, 398–414. [Google Scholar] [CrossRef]
- Qi, Y.T.; Chai, Z.J. The main hall of Nanchan Temple restoration. Artifacts 1980, 1, 63–75. (In Chinese) [Google Scholar]
- He, D.L. The Tang Dynasty Wooden Hall of Guangren Wang Temple, Ruicheng, Shanxi. Artifacts 2014, 8, 69–80. (In Chinese) [Google Scholar]
- Li, J. Yingzao Fashi; People’s Publishing House: Beijing, China, 2011. (In Chinese) [Google Scholar]
- Li, H.Z. Evolution and illustration of the beam structure of religious timber buildings in Shanxi from Tang to Qing dynasties. World Abtiqu. 2016, 3, 39–43. (In Chinese) [Google Scholar]
- Shenton, H.W.; Dinehart, D.W.; Elliott, T.E. Stiffness and energy degradation of wood frame shear walls. Can. J. Civ. Eng. 1998, 25, 412–423. [Google Scholar] [CrossRef]
- Magenes, G.; Calvi, G.M. In-plane seismic response of brick masonry walls. Earthq. Eng. Struct. Dyn. 1997, 26, 1091–1112. [Google Scholar] [CrossRef]
- Ido, H.F.; Gaona, H.F.; Kato, H.D. Strength of yellow cypress lumber-Bending strength, compressive strength parallel to the grain, tensile strength parallel to the grain, shear strength parallel to the grain, and compressive strength perpendicular to the grain. Bull. FFPRI 2010, 9, 125–148. [Google Scholar]

















| Item | Description | ||
|---|---|---|---|
| Temple | Nanchan Temple | Five Dragons Temple | Foguang Temple |
| Location | Shanxi, Wutai | Shanxi, Ruicheng | Shanxi, Wutai |
| Construction Date | C.E. 782 | C.E. 831 | C.E. 857 |
| Flat dimensions (m) | 13.75 × 10 | 11.47 × 4.9 | 34.02 × 17.64 |
| Height (m) | 9.5 | 6.1 | 11.83 |
| Item | Height (m) | Width (m) | Section Area (m2) | Section Factor (m3) * |
|---|---|---|---|---|
| Lan’E (front eaves) | 0.029 | 0.016 | 4.64 × 10−4 | 2.24 × 10−6 |
| Lan’E (rear eaves) | 0.023 | 0.013 | 2.99 × 10−4 | 1.14 × 10−6 |
| Ping Liang | 0.035 | 0.025 | 8.75 × 10−4 | 5.10 × 10−6 |
| Cha Shou | 0.023 | 0.013 | 2.99 × 10−4 | 1.15 × 10−6 |
| Sichuan Fu | 0.042 | 0.032 | 1.34 × 10−3 | 9.41 × 10−6 |
| Jiao Bei | 0.023 | 0.017 | 3.91 × 10−4 | 1.50 × 10−6 |
| Fang | 0.026 | 0.017 | 4.42 × 10−4 | 1.91 × 10−6 |
Publisher’s Note: MDPI stays neutral with regard to jurisdictional claims in published maps and institutional affiliations. |
© 2022 by the authors. Licensee MDPI, Basel, Switzerland. This article is an open access article distributed under the terms and conditions of the Creative Commons Attribution (CC BY) license (https://creativecommons.org/licenses/by/4.0/).
Share and Cite
Jing, S.; Nishizawa, H. Experimental Study on the Structural Behavior of the Oldest Timber Frame in China. Buildings 2022, 12, 1860. https://doi.org/10.3390/buildings12111860
Jing S, Nishizawa H. Experimental Study on the Structural Behavior of the Oldest Timber Frame in China. Buildings. 2022; 12(11):1860. https://doi.org/10.3390/buildings12111860
Chicago/Turabian StyleJing, Songfeng, and Hidekazu Nishizawa. 2022. "Experimental Study on the Structural Behavior of the Oldest Timber Frame in China" Buildings 12, no. 11: 1860. https://doi.org/10.3390/buildings12111860
APA StyleJing, S., & Nishizawa, H. (2022). Experimental Study on the Structural Behavior of the Oldest Timber Frame in China. Buildings, 12(11), 1860. https://doi.org/10.3390/buildings12111860

