Sign in to use this feature.

Years

Between: -

Subjects

remove_circle_outline
remove_circle_outline
remove_circle_outline
remove_circle_outline
remove_circle_outline
remove_circle_outline
remove_circle_outline
remove_circle_outline
remove_circle_outline

Journals

Article Types

Countries / Regions

Search Results (221)

Search Parameters:
Keywords = timber frame

Order results
Result details
Results per page
Select all
Export citation of selected articles as:
20 pages, 5917 KB  
Article
Seismic Performance and Parameter Optimization of Traditional Chinese Timber Structure Reinforced with Friction Dampers
by Meng Xiang, Yanping Niu, Leilei Liu, Xicheng Zhang, Maozhe Nie and Yao Cui
CivilEng 2026, 7(1), 17; https://doi.org/10.3390/civileng7010017 - 11 Mar 2026
Abstract
To effectively enhance the seismic performance of traditional Chinese timber structures, this study proposes a reinforcement method utilizing friction dampers. Based on the working mechanism of friction dampers and the extended discrete element theory, an analytical model for timber structures equipped with these [...] Read more.
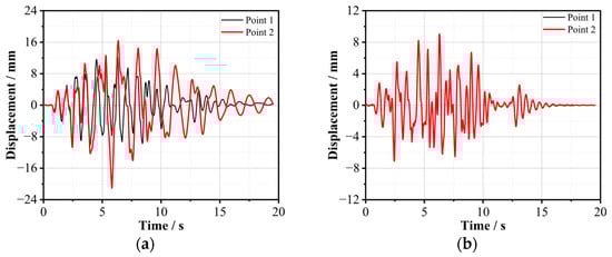
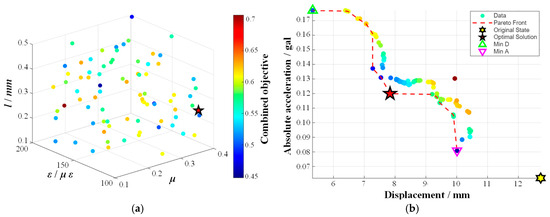
To effectively enhance the seismic performance of traditional Chinese timber structures, this study proposes a reinforcement method utilizing friction dampers. Based on the working mechanism of friction dampers and the extended discrete element theory, an analytical model for timber structures equipped with these dampers was developed and validated through shake table tests. Subsequently, dynamic analyses were conducted to systematically evaluate the enhanced seismic energy dissipation capacity of the ancient timber structures by the reinforcement of friction dampers. The friction coefficient (μ), bolt pre-tension strain (ε), and action distance (l) were selected as key parameters. A multi-objective optimization function was constructed using the weighted sum method, enabling a multi-objective parameter optimization analysis for the friction dampers to identify the optimal parameter combination under specific conditions. The results indicate that the established extended discrete element model effectively simulates the dynamic characteristics of the structure. The installation of friction dampers significantly enhanced the structure’s energy dissipation capacity and substantially reduced the peak displacement. However, due to the initial stiffness introduced by the dampers, the lateral stiffness of the column frame increased markedly, leading to a significant amplification of the acceleration response, with a maximum increase in peak acceleration reaching 77%. The multi-objective optimization analysis revealed that with weighting coefficients λa = λb = 0.5, the optimal damper parameter combination is μ = 0.36, ε = 102 με, and l = 268 mm. Under these conditions, the structural displacement response decreased by 38.5%, while the acceleration response increased by 93.7%. It is noted that the derived optimal design solutions are pertinent to the specific structural typology and ground motions considered. Full article
(This article belongs to the Section Structural and Earthquake Engineering)
Show Figures

Graphical abstract

21 pages, 6598 KB  
Article
Standardization of Prefabricated Wood Panels to Improve Housing Manufacturing in SMEs
by Jose Pablo Undurraga, Roberto Aedo-García and Francisco Ramis Lanyon
Buildings 2026, 16(5), 908; https://doi.org/10.3390/buildings16050908 - 25 Feb 2026
Viewed by 199
Abstract
Small and medium enterprises (SMEs) are critical actors in housing supply chains; however, they often struggle to adopt industrialized construction. High variability, limited infrastructure, and skill constraints can reduce repeatability and quality. This study shows that SMEs can start with targeted standardization of [...] Read more.
Small and medium enterprises (SMEs) are critical actors in housing supply chains; however, they often struggle to adopt industrialized construction. High variability, limited infrastructure, and skill constraints can reduce repeatability and quality. This study shows that SMEs can start with targeted standardization of prefabricated wood panels. A panel library and coded kits support scalable production, repeatable quality, and a structured workflow for light timber framing. Evidence is provided by a Chilean industrial case study using a time-study campaign. The campaign quantified processing, setup, and internal movement times across a five-station manual layout. Results indicate that a standardized panel set for larger housing typologies stabilizes manual operations. Throughput improves only after key bottlenecks are addressed as staffing increases from 12 to 18 operators, enabling production above 200 homes per year. When two of eight activities are automated at Station 2 using CNC (fixing and cutting), annual capacity can approach 300 homes. Overall, the findings suggest a staged pathway for SMEs: standardize first, add selective automation once constraints are removed, and then integrate internal logistics to sustain the transition from craft-based to industrialized housing production. Full article
(This article belongs to the Section Construction Management, and Computers & Digitization)
Show Figures

Figure 1

21 pages, 5599 KB  
Article
Tornado Impact on Public Infrastructure in the Czech Republic: A Case Study of the 2021 Moravia Event
by Federla Jakub, Nikola Cihalova, Frolova Simona, Cupal Martin and Korytarova Jana
Buildings 2026, 16(4), 697; https://doi.org/10.3390/buildings16040697 - 8 Feb 2026
Viewed by 328
Abstract
Tornadoes represent a significant natural hazard to critical infrastructure worldwide, as they can cause sudden and severe damage with far-reaching societal consequences. In this study, the authors investigate the vulnerability and resilience of public and critical infrastructure buildings in the Czech Republic to [...] Read more.
Tornadoes represent a significant natural hazard to critical infrastructure worldwide, as they can cause sudden and severe damage with far-reaching societal consequences. In this study, the authors investigate the vulnerability and resilience of public and critical infrastructure buildings in the Czech Republic to tornado impacts, with a particular focus on the 2021 South Moravian tornado. The research identifies key structural weaknesses, damage patterns, and protective factors through a detailed field survey of 46 tornado-affected buildings. The results highlight that building size, construction quality, material durability, and maintenance significantly influence tornado resistance. Buildings of reinforced concrete and steel frames showed higher resistance, while older, inadequately maintained masonry and timber buildings were highly susceptible to collapse. The conclusions recommend regular maintenance of building, structural reinforcement, installation of protection elements and robust roof system of public buildings. These insights provide a practical foundation for strengthening disaster preparedness policies at regional or national levels. Full article
(This article belongs to the Section Building Structures)
Show Figures

Figure 1

17 pages, 2537 KB  
Article
Numerical Analysis of In-Plane Stiffness of Light-Timber-Framed Wall Elements with Various Sheathing Materials
by Jelena Vilotijević and Miroslav Premrov
Buildings 2026, 16(3), 629; https://doi.org/10.3390/buildings16030629 - 2 Feb 2026
Viewed by 209
Abstract
This paper numerically analyses numerous parameters with the most sensitive impact on the in-plane lateral behaviour of light timber-framed (LTF) wall elements. Different types of sheathing material (fibre-plaster boards, OSB) are studied according to the parametrically chosen distance between the fasteners, using three [...] Read more.
This paper numerically analyses numerous parameters with the most sensitive impact on the in-plane lateral behaviour of light timber-framed (LTF) wall elements. Different types of sheathing material (fibre-plaster boards, OSB) are studied according to the parametrically chosen distance between the fasteners, using three different calculation procedures: (a) a previously developed semi-analytical procedure using the Modified Gamma Method (MGM) accounts for bending, shear, and timber-to-framing connection flexibility simultaneously; (b) a previously developed FEM Spring Model as the most accurate approach; and (c) in this study, a specially developed innovative FEM 2D Hinge Model using the two-dimensional hinge layer to simulate the deformability between the sheathing boards and the timber frame, which enables significantly faster FEM analysis compared to the already developed FEM Spring Model. This, in turn, realistically allows for much faster analysis of real multi-storey timber structures. In order to only judge the influence of the sheathing material and fastener disposition, in all cases, the tensile and compressive vertical supports are considered to be stiff-supported wall elements as prescribed by the valid Eurocode 5 standard; however, it is possible to additionally include all three possible supporting flexibilities. The study places particular emphasis on the deformation of sliding fasteners between the sheathing boards and the timber frame, which arises from fastener flexibility and can significantly reduce the overall in-plane stiffness of LTF wall elements. For specially selected parametric values of fastener spacing (s = 20, 37.5, 75, and 150 mm), parametric FEM analysis using a special 2D hinge layer is additionally developed and performed to validate the previously developed semi-analytical expressions by the MGM for the in-plane wall stiffness, which seems to be the most appropriate for designing engineering implementation. All applied approaches to modelling wall elements considered the same parameters for evaluating the stiffness of an individual wall element, which represents a fundamental input parameter in the modelling of frame wall elements within the overall structure. The aim of the study is to determine the most suitable and accurate model, as the response of the entire structure to horizontal loading depends on the design of the individual wall element. Among these, it has been demonstrated that the thickness of the load-bearing timber frame and the type of resisting LTF walls (internal or external) have practically no significant effect on the in-plane stiffness of such wall elements. Consequently, the type of sheathing material (FPB or OSB) and especially the spacing between the fasteners are much more sensitive parameters, which would probably need to be given further consideration in future FEM studies. Full article
Show Figures

Figure 1

16 pages, 1454 KB  
Article
Carbon Footprint Analysis of Residential Buildings in Japan
by Ai Nagata, Sora Matsushima and Shigemi Kagawa
Energies 2026, 19(3), 783; https://doi.org/10.3390/en19030783 - 2 Feb 2026
Viewed by 453
Abstract
The decarbonization of the building sector is a critical challenge for achieving Japan’s net-zero targets. However, comprehensive assessments comparing residential construction methods and building heights at the national scale remain limited. This study applies Environmentally Extended Input–Output Analysis (EEIOA) to evaluate the embodied [...] Read more.
The decarbonization of the building sector is a critical challenge for achieving Japan’s net-zero targets. However, comprehensive assessments comparing residential construction methods and building heights at the national scale remain limited. This study applies Environmentally Extended Input–Output Analysis (EEIOA) to evaluate the embodied CO2 emissions associated with four distinct residential construction methods. The results reveal that, when accounting for carbon storage, the net CO2 emissions per unit of floor area were significantly lower for wooden houses (195 kg-CO2/m2) compared to steel-reinforced concrete (1109 kg-CO2/m2), reinforced concrete (857 kg-CO2/m2), and steel-framed houses (803 kg-CO2/m2). A further analysis based on building height indicates a structural divergence: while wooden houses account for the majority of emissions in one- to three-story buildings due to their high market share, reinforced concrete houses dominate emissions in four- to nine-story buildings driven by their high carbon intensity. These findings suggest that promoting timber construction, particularly in taller buildings, is a vital strategy for climate change mitigation. Consequently, policy support focusing on technological advancement, cost reduction, and consumer awareness is essential to accelerate the adoption of wooden architecture. Full article
(This article belongs to the Section G: Energy and Buildings)
Show Figures

Figure 1

21 pages, 1825 KB  
Article
Cradle-to-Grave Life Cycle Analysis of Engineered Bamboo for Structural Applications in Australia
by Daniel Milling, Marzieh Kadivar and Aziz Ahmed
Designs 2026, 10(1), 10; https://doi.org/10.3390/designs10010010 - 27 Jan 2026
Viewed by 327
Abstract
As structural engineers face increasing pressure to minimize the embodied carbon of building components, selecting appropriate materials is critical for sustainable design. Thiemission ts study evaluates the life cycle performance of engineered bamboo beams to determine their viability as a low-carbon alternative to [...] Read more.
As structural engineers face increasing pressure to minimize the embodied carbon of building components, selecting appropriate materials is critical for sustainable design. Thiemission ts study evaluates the life cycle performance of engineered bamboo beams to determine their viability as a low-carbon alternative to traditional timber in structural framing applications. Utilizing OpenLCA software and the Ecoinvent database, a cradle-to-grave analysis was conducted to inform material selection for the Australian construction context. A parametric design study compared two specific bamboo species, Moso and Asper, against traditional Laminated Veneer Lumber (LVL) to identify the optimal material for minimizing environmental impact. The assessment revealed that Asper bamboo beams represent a superior design choice; a 30.74 kg strand-woven functional unit (FU) achieved net-negative emissions of −13.30 kg CO2e under 2025 conditions. This offers a significant design advantage over traditional LVL options, which are net-positive emitters, and outperforms Moso bamboo, which yielded higher net emissions (+24.60 kg CO2e) due to lower sequestration rates. Furthermore, dynamic analysis demonstrated the temporal efficiency of this material in the structural life cycle: in the time required for a single Radiata Pine rotation, Asper bamboo completes five growth cycles, storing a net 103.25 kg of CO2e per functional unit. Confirmed by a sensitivity analysis for robustness, these findings provide quantitative design criteria supporting the integration of Asper bamboo into sustainable building standards and structural specifications. Full article
Show Figures

Figure 1

21 pages, 6376 KB  
Article
Carbon Reduction Benefits and Economic Performance Analysis of Lattice Structural Systems Utilizing Small-Diameter Round Timber as the Primary Material
by Ying Wu, Jianmei Wu, Hongpeng Xu, Jiayi Li and Yuncheng Ji
Buildings 2026, 16(2), 372; https://doi.org/10.3390/buildings16020372 - 15 Jan 2026
Viewed by 252
Abstract
To address the imbalance between the “ecological advantage” and “economic benefit” of wooden structure buildings, this study examines two structural construction methods utilizing inexpensive and readily available small-diameter round timber as the primary material. It demonstrates the advantages of these two structural systems [...] Read more.
To address the imbalance between the “ecological advantage” and “economic benefit” of wooden structure buildings, this study examines two structural construction methods utilizing inexpensive and readily available small-diameter round timber as the primary material. It demonstrates the advantages of these two structural systems in terms of material consumption, life cycle carbon emissions, and economic efficiency. Through the research methods and processes of “Preliminary analysis–Proposing the construction system–The feasibility analysis of structural technology–Efficiency assessment”, the sustainable wood structure technical system suitable for the development of China is explored. The main conclusions are as follows: (1) Employing the preliminary analysis method, this paper examines and analyzes construction cases that primarily utilize small-diameter round timber as the main material. It delineates specific construction types based on the characteristics of small-diameter round timber. Additionally, it technically reconstructs the methodology for utilizing small-diameter round timber. (2) Two lattice structural systems are proposed, leveraging the mechanical properties and fundamental morphological characteristics of inexpensive and readily available small-diameter round timber of fast-growing Northeast larch. The technical feasibility of these two small-diameter log structure systems is validated through simulation analysis of their spatial threshold suitability. (3) This study conducted a comprehensive comparison between the two small-diameter round timber structural systems and the conventional grain-parallel glued laminated timber (Cross-Laminated Timber) frame structural systems. The analysis was performed from three perspectives. As the primary structural material, grain-parallel glued laminated timber frame structural systems exhibits significant advantages in terms of timber utilization per unit area of the structural system. From a life cycle carbon emission analysis perspective, compared to grain-parallel glued laminated timber frame structures, small-diameter round timber structures can achieve carbon emission reductions ranging from 79.19% to 97.74%. Additionally, the unit area cost of small-diameter round timber structures is reduced by 21.02% to 40.42% relative to grain-parallel glued laminated timber frame structures. Consequently, it can be concluded that small-diameter round timber structural systems possess technical feasibility and construction advantages for small and medium-sized buildings, offering practical value in optimizing technical systems to meet the objective needs of ecological construction. Full article
(This article belongs to the Section Architectural Design, Urban Science, and Real Estate)
Show Figures

Figure 1

22 pages, 6715 KB  
Article
Architecture for Rural Renewal: Reconstructing the Domestic Fabric of Abandoned Settlements for New Sustainable Uses
by María Eugenia Torner-Feltrer, Emma Barelles-Vicente, Daniela Besana and Mar Cañada-Soriano
Buildings 2026, 16(1), 67; https://doi.org/10.3390/buildings16010067 - 23 Dec 2025
Viewed by 611
Abstract
This study presents an integrated intervention strategy for the adaptive reuse of vernacular architecture in a state of ruin, focusing on the fortified village of Moya (Cuenca, Spain). The proposal is framed within a rural revitalization program aimed at educational and cultural tourism [...] Read more.
This study presents an integrated intervention strategy for the adaptive reuse of vernacular architecture in a state of ruin, focusing on the fortified village of Moya (Cuenca, Spain). The proposal is framed within a rural revitalization program aimed at educational and cultural tourism uses, with the goal of reactivating abandoned built fabric through the incorporation of new functions that generate social value and contribute to territorial development. The proposed methodology combines archival research, digital documentation, material characterization, and a constructive solution based on the insertion of a reversible, structurally autonomous timber volume within the existing stone masonry. Through material characterization, a differentiated consolidation protocol is developed to stabilize the ruins while maintaining historical legibility. The new architectural volume, built with prefabricated cross-laminated timber (CLT) and insulated with locally sourced expanded cork, is designed to meet contemporary standards of energy efficiency, reversibility, and environmental responsibility, while remaining fully independent from the original structure. The intervention offers a replicable model for sustainable rural regeneration, balancing conservation ethics with functional adaptation. Future lines of research include the dynamic simulation of the energy performance of the inserted dwelling, with the aim of assessing its contribution to climate neutrality and net-zero emissions targets. Full article
(This article belongs to the Section Building Materials, and Repair & Renovation)
Show Figures

Figure 1

23 pages, 2937 KB  
Article
Stakeholder Perspectives on Aligning Sawmilling and Prefabrication for Greater Efficiency in Australia’s Timber Manufacturing Sector
by Harshani Dissanayake, Tharaka Gunawardena and Priyan Mendis
Sustainability 2026, 18(1), 148; https://doi.org/10.3390/su18010148 - 22 Dec 2025
Viewed by 388
Abstract
Improving alignment between timber sawmilling and prefabrication, defined as the coordination of information, materials, and decision-making across the supply chain, is critical for sustainable construction. This study examined integration through semi-structured interviews with 15 industry practitioners. Using framework analysis supported by NVivo, eight [...] Read more.
Improving alignment between timber sawmilling and prefabrication, defined as the coordination of information, materials, and decision-making across the supply chain, is critical for sustainable construction. This study examined integration through semi-structured interviews with 15 industry practitioners. Using framework analysis supported by NVivo, eight interlinked themes were identified: supply chain fragmentation and market cycles; data-driven forecasting; inventory and moisture management; digital integration; smart planning and production; quality assurance and workforce capability; circular economy and residue utilisation; and systemic enablers and constraints. The findings show that technical capabilities such as optimisation, grading, and QR-based traceability are often undermined by organisational and policy barriers, including distributor-mediated purchasing, limited interoperability, outdated standards, and uneven skills pathways. Integration was considered more feasible for mass timber prefabrication, where batch planning, tighter quality assurance, and vertical integration align with mill operations, compared with frame-and-truss networks that rely on just-in-time project workflows. The study provides empirical evidence of practitioner perspectives and identifies priorities for action that translate into sustainability gains through improved material efficiency, waste reduction, higher-value residue pathways, and supportive policy settings. Full article
Show Figures

Figure 1

27 pages, 11596 KB  
Article
A Study on Fire Prevention Strategies for Bamboo-Wood Frames and Natural Vegetation Roofs in Southwest China Based on FDS: A Case Study of Wengding Village, Yunnan
by Xiyao Huang, Yinghan Li and Xinyi Huang
Fire 2025, 8(11), 449; https://doi.org/10.3390/fire8110449 - 20 Nov 2025
Viewed by 1547
Abstract
In Southwest China, traditional wooden buildings in historic villages commonly feature natural vegetation roofing materials, such as thatch or bamboo shingles, which are highly susceptible to fire. Existing research has primarily focused on traditional timber-frame buildings with tiled roofs, while limited attention has [...] Read more.
In Southwest China, traditional wooden buildings in historic villages commonly feature natural vegetation roofing materials, such as thatch or bamboo shingles, which are highly susceptible to fire. Existing research has primarily focused on traditional timber-frame buildings with tiled roofs, while limited attention has been given to those with natural vegetation roofs. This study, taking Wengding village in Cangyuan Wa Autonomous County, Yunnan Province, as an exemplary case, conducts a fire risk assessment and explores fire prevention strategies for buildings with bamboo-wood frames and natural vegetation roofs on the basis of Fire Dynamics Simulator (FDS): the application of fire-retardant coatings, the use of synthetic thatched roofing materials, and a combination of both. The results indicate that the strategy employing synthetic thatched roofing materials offers the best fire resistance performance. By integrating traditional fire prevention knowledge with modern technologies, this study provides a scientifically grounded reference for mitigating fire risks in historic buildings with natural vegetation roofs in China’s ethnic minority regions, aiming to enhance fire safety while preserving architectural authenticity. Full article
Show Figures

Figure 1

26 pages, 3165 KB  
Article
The Perception and Performance of Wood in Relation to Tourist Experience—A Pilot Study
by Veronika Kotradyová and Erik Vavrinsky
Buildings 2025, 15(19), 3626; https://doi.org/10.3390/buildings15193626 - 9 Oct 2025
Cited by 1 | Viewed by 1004
Abstract
This article explores how natural wood materials—especially untreated or minimally treated timber—are perceived and experienced during tourist experiences in recreational and tourism-oriented built environments. Drawing on principles of biophilic design and cultural theories of authenticity, the study examines both the psychological and the [...] Read more.
This article explores how natural wood materials—especially untreated or minimally treated timber—are perceived and experienced during tourist experiences in recreational and tourism-oriented built environments. Drawing on principles of biophilic design and cultural theories of authenticity, the study examines both the psychological and the physiological impacts of wood surfaces on users. One of the objectives of this study is to strengthen the theoretical background and to explore the connections between tourists’ experiences and the material environment. Two pilot studies were conducted: a questionnaire administered to visitors of a national design fair (n = 37) and a physiological experiment measuring user responses to three material types (solid oak, chipboard, and white laminate). The results indicate that natural wood evokes significantly more positive emotional responses and is strongly associated with authenticity, sustainability, and comfort, although concerns about hygiene and surface aging persist. A SWOT analysis is used to summarize the strategic opportunities and risks associated with wood in tourism design. The findings support the inclusion of natural wood as a multisensory design element that enhances atmosphere, emotional engagement, and perceived environmental quality—especially when surface maintenance and cultural framing are appropriately addressed. Full article
Show Figures

Figure 1

24 pages, 4719 KB  
Article
Seismic Collapse of Frictionally Isolated Timber Buildings in Subduction Zones: An Assessment Considering Slider Impact
by Diego Quizanga, José Luis Almazán and Pablo Torres-Rodas
Buildings 2025, 15(19), 3593; https://doi.org/10.3390/buildings15193593 - 7 Oct 2025
Viewed by 1073
Abstract
Due to their potential to reduce greenhouse gas emissions, light-frame timber buildings (LFTBs) are widely used in seismically active regions. However, their construction in these areas remains limited, primarily due to the high costs associated with continuous anchor tie systems (ATSs), which are [...] Read more.
Due to their potential to reduce greenhouse gas emissions, light-frame timber buildings (LFTBs) are widely used in seismically active regions. However, their construction in these areas remains limited, primarily due to the high costs associated with continuous anchor tie systems (ATSs), which are required to withstand significant seismic forces. To address this challenge, frictional seismic isolation offers an alternative by enhancing seismic protection. Although frictional base isolation is an effective mitigation strategy, its performance can be compromised by extreme ground motions that induce large lateral displacements, resulting in impacts between the sliders and the perimeter protection ring. The effects of these internal lateral impacts on base-isolated LFTBs remain largely unexplored. To fill this knowledge gap, this study evaluates the collapse capacity of a set of base-isolated LFTBs representative of Chilean real estate developments. Nonlinear numerical models were developed in the OpenSeesPy platform to capture the nonlinear behavior of the superstructure, including the impact effects within the frictional isolation system. Incremental dynamic analyses following the FEMA P695 methodology were performed using subduction ground motions. Collapse margin ratios (CMRs) and fragility curves were derived to quantify seismic performance. Results indicate that frictional base-isolated LFTBs can achieve acceptable collapse safety without ATS, even with compact-size bearings. Code-conforming archetypes achieved CMRs ranging from 1.24 to 1.55, indicating sufficient safety margins. These findings support the cost-effective implementation of frictional base isolation in mid-rise timber construction for high-seismic regions. Full article
(This article belongs to the Special Issue Research on Timber and Timber–Concrete Buildings)
Show Figures

Figure 1

38 pages, 15055 KB  
Article
Towards a Generative Frame System of Ancient Chinese Timber Architecture: Structural Generation and Optimization of “Column Reduction” and “Column Relocation”
by Tonghao Liu, Binyue Zhang and Yamin Zhao
Buildings 2025, 15(18), 3329; https://doi.org/10.3390/buildings15183329 - 15 Sep 2025
Viewed by 1374
Abstract
In traditional Chinese timber architecture, “column reduction” (Jian Zhu Zao) and “column relocation” (Yi Zhu Zao) enhances spatial continuity, yet often produces bending-dominated, material-intensive frames. This study develops a generative frame system that encodes raised beam logic into a parametric line-model workflow and [...] Read more.
In traditional Chinese timber architecture, “column reduction” (Jian Zhu Zao) and “column relocation” (Yi Zhu Zao) enhances spatial continuity, yet often produces bending-dominated, material-intensive frames. This study develops a generative frame system that encodes raised beam logic into a parametric line-model workflow and couples it with simulation-based optimization. Informed by case analysis, the tool implements three lateral strategies—ridge-support revision, insertion of inclined members, and inclination of originally horizontal members—and one longitudinal strategy—longitudinal truss formation—whose use is governed by a user-defined historical authenticity parameter. Structural responses were evaluated using Karamba3D, and cross-section sizing was searched using Wallacei under gravity-dominant loading. The results indicate clearer load paths, greater axial-force participation, and reduced bending, yielding lower maximum displacements at comparable self-weight; moreover, the performance ranking aligns with the calibrated authenticity loss schedule, suggesting that the authenticity controller also acts as a practical proxy for expected stiffness gains. The framework improves design and modeling efficiency while offering quantitative decision support for culturally sensitive conservation and imitation design. Limitations include line-model idealization, simplified timber and joint behavior, gravity-only loading, and a modest historical corpus. The approach is extensible to other traditional systems via parameter and rule adaptation. Full article
(This article belongs to the Section Architectural Design, Urban Science, and Real Estate)
Show Figures

Figure 1

22 pages, 3550 KB  
Article
Empirical Assessment of Passive Thermal Resilience in Buildings with Varying Heat Storage Capacity During Heatwaves and Power Outages
by Marta Gortych, Anna Staszczuk and Tadeusz Kuczyński
Energies 2025, 18(18), 4871; https://doi.org/10.3390/en18184871 - 13 Sep 2025
Cited by 3 | Viewed by 1507
Abstract
This study evaluates the passive thermal resilience of two full-scale residential buildings during natural summer heatwaves and blackout-like conditions in a temperate European climate. The buildings share identical geometry and ventilation but differ in envelope mass and ground coupling. Building B1 is a [...] Read more.
This study evaluates the passive thermal resilience of two full-scale residential buildings during natural summer heatwaves and blackout-like conditions in a temperate European climate. The buildings share identical geometry and ventilation but differ in envelope mass and ground coupling. Building B1 is a masonry structure with a slab-on-ground floor, while B2 is a lightweight timber-frame house. In 2019, B1 underwent a retrofit in which floor insulation was removed to enable direct subsoil heat exchange. Three complementary frameworks were applied: model IOD, AWD, OEF, the indicators AF and αIOD, and the health-based scenario rating HE, HIHH, and WBGT. Across all metrics, B1 demonstrated superior resilience, with overheating fully eliminated after ground coupling was introduced. B2, in contrast, remained vulnerable under both moderate and extreme events. The findings highlight the critical role of thermal mass and soil buffering in maintaining safe indoor conditions without active systems. Under certain circumstances, omitting under-slab insulation can improve summer resilience without significantly compromising winter performance. A companion life-cycle analysis confirms lower cumulative carbon emissions for B1 under all SSP scenarios to 2100. Passive ground coupling thus emerges as a low-cost, maintenance-free adaptation strategy with co-benefits for mitigation and occupant safety. Full article
Show Figures

Figure 1

18 pages, 21787 KB  
Article
Influence of Bio-Based Infill Materials on the Fire Resistance of Panelised Timber Wall Assemblies—A Pilot Study
by Ľudmila Tereňová, Zuzana Vidholdová and Ľubomír Valigurský
Polymers 2025, 17(17), 2420; https://doi.org/10.3390/polym17172420 - 6 Sep 2025
Cited by 1 | Viewed by 1248
Abstract
In the pursuit of low-impact and renewable construction materials, various by-products from agriculture, forestry, and the wood processing industry are being explored as potential bio-based infill materials for wall assemblies. This study presents an experimental assessment of the fire performance of timber wall [...] Read more.
In the pursuit of low-impact and renewable construction materials, various by-products from agriculture, forestry, and the wood processing industry are being explored as potential bio-based infill materials for wall assemblies. This study presents an experimental assessment of the fire performance of timber wall systems composed of block units filled with different lignocellulosic materials, subjected to radiative heat exposure. These assemblies are representative of external walls in contemporary timber-framed buildings. Two configurations were examined: one with sawdust infill and the other with wood pellet infill. Both samples were exposed to radiant heat from the interior side for 60 min, simulating conditions of a fully developed compartment fire. The applied heat flux was 20 kW·m−2, delivered by a calibrated radiant panel. The results indicate that even minor design variations—particularly the choice of infill material—can significantly influence the thermal response, degradation kinetics of wood-based components, and the overall fire resistance of the wall assembly. The sawdust-filled system exhibited superior performance, achieving an estimated fire resistance rating of 60 min (60 REI). It showed reduced internal thermal degradation compared to the pellet-filled variant, which experienced greater charring depth due to internal voids between pellets, although it maintained structural integrity. Full article
(This article belongs to the Special Issue Sustainable Bio-Based and Circular Polymers and Composites)
Show Figures

Figure 1

Back to TopTop