Performance Improvement of Innovative Shear Damper Using Diagonal Stiffeners for Concentrically Braced Frame Systems
Abstract
1. Introduction
2. Proposed Damper
3. Design of Proposed Damper
3.1. Mechanism of Damper
3.2. Ultimate Strength
3.3. Elastic Stiffness
3.4. Design of Elements outside Damper
4. Parametric Study
5. Numerical Simulation
5.1. Numerical Models
5.2. Boundary Conditions and Materials
5.3. Verification of FE Results
6. Results and Discussion
6.1. Comparing Dampers with and without X-Stiffeners
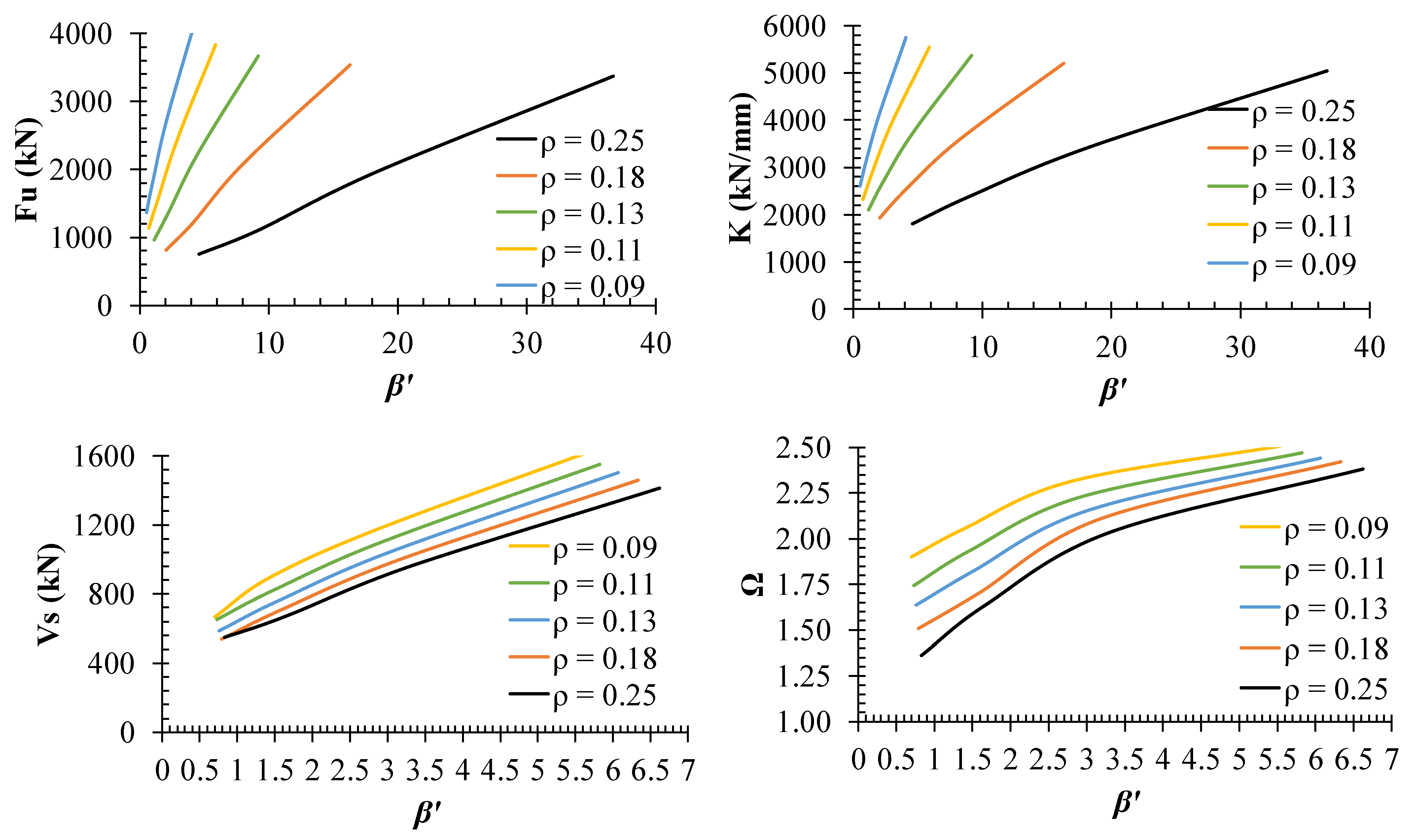
6.2. Effect of ρ
6.3. Effect of β′
6.4. Effect of Ls/ts and bs/ts
6.5. Effect of ts/tf and ts/tp
6.6. Accuracy of Proposed Equations
7. Conclusions
- Adding the X-stiffeners to the I-shaped dampers improves their performance.
- Low ts increases Fu between 19 and 54%, whereas it can reach 3.5–6.94 times by thick stiffeners. Additionally, the elastic stiffness is enhanced by the thin and thick stiffeners, respectively, between 31–60% and 2.89–4.48 times.
- By adding the thin stiffeners, Ω is reduced around 10%, whereas by increasing ts, it is improved between 21 and 55%.
- Although ρ affects the response curve of the dampers, Fu and the elastic stiffness do not have an impact on the stiffness in the nonlinear zone.
- For ψ′ < 1 or Vp < Vs, the largest reduction of Fu and K occurred. However, in ψ′ > 1 or Vp > Vs, the reduction tends to coincide with different values of ρ. Therefore, when ψ′ < 1 or Vp < Vs, Fu and K are considerably sensitive to ρ.
- Considering the behavior of the dampers, it was indicated that better performance of the damper is obtained when Vs > Vf.
- The dependence of the parameters; Fu, K, Vs, and Ω on Ls/ts can be categorized into three parts: Ls/ts < 18, 20 < Ls/ts < 30, and Ls/ts > 30. In the first part, the maximum reduction occurs, the rate of reduction dwindles in the second part, and the third part shows a smooth reduction.
- Since for Ls/ts < 18 and 20 < Ls/ts < 30, Fu is very sensitively dependent on Ls/ts, the range of 30 < Ls/ts < 80 is proposed for the design of the stiffeners. A similar performance is seen for bs/ts in bs/ts < 15, 15 < bs/ts < 30, and bs/ts > 30, then 30 < bs/ts < 60 is recommended.
- For small Ls/ts and bs/ts, the effect of ρ on Ω is ignorable, and it is recommended to have Ω = 2.5 in the design of the elements outside the damper. However, for Ls/ts lower or greater than 40 and for bs/ts lower or larger than 30, the reduction rate of Ω is changed, which is related to ρ.
8. Recommendations for Future Works
Author Contributions
Funding
Data Availability Statement
Conflicts of Interest
References
- Zhao, Z.; Zhang, W.; Ding, Y.; Li, H. Effects of Reserve Capacity on Seismic Response of Concentrically Braced Frames by Considering Brace Failure. Materials 2022, 15, 4377. [Google Scholar] [CrossRef] [PubMed]
- Bagheri, A.; Hadidi, A.; Alilou, A. Heightwise Distribution of Stiffness Ratio for Optimum Seismic Design of Steel Frames with Metallic-Yielding. Procedia Eng. 2011, 14, 2891–2898. [Google Scholar] [CrossRef][Green Version]
- Khavari, M. Investigation on Dynamics Nonlinear Analysis of Steel Frames with Steel Dampers. Procedia Eng. 2013, 54, 401–412. [Google Scholar] [CrossRef][Green Version]
- Chen, Y.; Yu, W.; Zhang, M.; Li, Y. A novel energy dissipation damper for multi-level earthquakes. J. Constr. Steel Res. 2022, 192, 107214. [Google Scholar] [CrossRef]
- Xu, Y.; Xu, Z.; Guo, Y.; Huang, X.; Dong, Y.; Li, Q. Dynamic Properties and Energy Dissipation Study of Sandwich Viscoelastic Damper Considering Temperature Influence. Buildings 2021, 11, 470. [Google Scholar] [CrossRef]
- Chalarca, B.; Filiatrault, A.; Perrone, D. Parametric study and prediction models of the seismic response of single-degree-of-freedom structural systems equipped with Maxwell material fluid viscous dampers. Structures 2022, 43, 388–406. [Google Scholar] [CrossRef]
- Dong, B.; Ricles, J. Simplified seismic design procedure for steel MRF structure with nonlinear viscous dampers. J. Constr. Steel Res. 2021, 185, 106857. [Google Scholar] [CrossRef]
- Ramhormozian, S.; Clifton, G.C.; Latour, M.; MacRae, G.A. Proposed Simplified Approach for the Seismic Analysis of Multi-Storey Moment Resisting Framed Buildings Incorporating Friction Sliders. Buildings 2019, 9, 130. [Google Scholar] [CrossRef]
- Guo, J.; Li, H.; Zhang, C.; Chu, S.; Dang, X. Effect of an Innovative Friction Damper on Seismic Responses of a Continuous Girder Bridge under Near-Fault Excitations. Buildings 2022, 12, 1019. [Google Scholar] [CrossRef]
- Ramhormozian, S.; Clifton, G.C.; MacRae, G.A.; Davet, G.P. Stiffness-based approach for Belleville springs use in friction sliding structural connections. J. Constr. Steel Res. 2017, 138, 340–356. [Google Scholar] [CrossRef]
- Zhou, X.; Sun, T.; Sun, B.; Ma, N.; Ou, J. Vibration-Reduction Strategy for High-Rise Braced Frame Using Viscoelastic-Yielding Compounded BRB. Buildings 2022, 12, 1159. [Google Scholar] [CrossRef]
- Wang, J.; Lu, F.; Li, F. Subassemblage tests and analysis of buckling-restrained braced reinforced concrete frames with various gusset connections. Structures 2022, 39, 39–56. [Google Scholar] [CrossRef]
- Bai, J.; Chen, H.; Ma, G.; Duan, L. Development of a four-tube-assembled buckling-restrained brace for convenient post-earthquake damage examination and replacement. J. Build. Eng. 2022, 50, 104209. [Google Scholar] [CrossRef]
- Castaldo, P.; Tubaldi, E.; Selvi, F.; Gioiella, L. Seismic performance of an existing RC structure retrofitted with buckling restrained braces. J. Build. Eng. 2021, 33, 101688. [Google Scholar] [CrossRef]
- Zhao, B.; Lu, B.; Zeng, X.; Gu, Q. Experimental and numerical study of hysteretic performance of new brace type damper. J. Constr. Steel Res. 2021, 183, 106717. [Google Scholar] [CrossRef]
- Tsai, K.-C. Design of steel triangular plate energy absorbers for seismic-resistant construction. Earthq. Spectra 1993, 9, 505–528. [Google Scholar] [CrossRef]
- Liyanage, U.D.D.; Perera, T.N.; Maneetes, H. Analysis of X-shaped and Double X-shaped Metallic Dampers on Multistorey Frames. J. Univ. Ruhuna 2020, 7, 12–24. [Google Scholar] [CrossRef]
- Bergman, D.M.; Goel, S.C. Evaluation of Cyclic Testing of Steel-Plate Devices for Added Damping and Stiffness; Department of Civil Engineering, University of Michigan: Ann Arbor, MI, USA, 1987. [Google Scholar]
- Xia, C.; Hanson, R.D. Influence of ADAS Element Parameters on Building Seismic, Response. J. Struct. Eng. 1992, 118, 1903–1918. [Google Scholar] [CrossRef]
- Askariani, S.; Garivani, S. Introducing and numerical study of a new brace-type slit damper. Structures 2020, 27, 702–717. [Google Scholar] [CrossRef]
- Lu, L.; Xu, Y.; Liu, J.; Lim, J. Cyclic performance and design recommendations of a novel weak-axis Reduced Beam Section connection. Steel Compos. Struct. 2018, 27, 1–12. [Google Scholar]
- Rai, D.; Benjamin, J. Aluminium shear-links for enhanced seismic resistance. Earthq. Eng. Struct. Dyn. 1998, 27, 315–342. [Google Scholar] [CrossRef]
- Ghamari, A.; Kim, C.; Jeong, S.H. Development of an innovative metallic damper for concentrically braced frame systems based on experimental and analytical studies. Struct. Des. Tall Spéc. Build. 2022, 31, e1927. [Google Scholar] [CrossRef]
- Ghamari, A.; Almasi, B.; Kim, C.-h.; Jeong, S.H.; Hong, K.-J. An Innovative Steel Damper with a Flexural and Shear–Flexural Mechanism to Enhance the CBF System Behavior: An Experimental and Numerical Study. Appl. Sci. 2021, 11, 11454. [Google Scholar] [CrossRef]
- Ghamari, A.; Haeri, H.; Khaloo, A.; Zhu, Z. Improving the hysteretic behavior of Concentrically Braced Frame (CBF) by a proposed shear damper. Steel Compos. Struct. 2019, 30, 383–392. [Google Scholar] [CrossRef]
- Thongchom, C.; Mirzai, N.; Chang, B.; Ghamari, A. Improving the CBF brace’s behavior using I-shaped dampers, numerical and experimental study. J. Constr. Steel Res. 2022, 197, 107482. [Google Scholar] [CrossRef]
- Hjelmstad, K.D.; Popov, E.P. Seismic Behavior of Active Beam Link in Eccentrically Braced Frames; Rep. No. UCB/EERC-83/15; Earthquake Engineering Research Center, University of California: Berkeley, CA, USA, 1983. [Google Scholar]
- Kasai, K.; Popov, E.P. A Study of Seismically Resistant Eccentrically Braced 418 Frames; Rep. No. UCB/EERC-86/01; Earthquake Engineering Research Center, University of California: Berkeley, CA, USA, 1986. [Google Scholar]
- Popov, E.P.; Engelhardt, M.D. Seismic eccentrically braced frames. J. Constr. Steel Res. 1988, 10, 321–354. [Google Scholar] [CrossRef]
- Okazaki, T.; Arce, G.; Ryu, H.C.; Engelhardt, M.D. Experimental study of 431 local buckling, overstrength, and fracture of links in eccentrically braced frames. J. Struct. 2005, 131, 1526–1535.433. [Google Scholar]
- Bahrami, A.; Heidari, M. Investigation of steel frames equipped with steel eccentric braces and steel-concrete buckling restrained braces having moment link. Open Construct. Build. Technol. J. 2021, 15, 55–69. [Google Scholar] [CrossRef]
- Bahrami, A.; Heidari, M. Evaluation of structural response of composite steel-concrete eccentrically buckling-restrained braced frames. J. Appl. Eng. Sci. 2020, 18, 591–600. [Google Scholar] [CrossRef]
- Seki, M.; Katsumata, H.; Uchida, H.; Takeda, T. Study on earthquake response of two-storied steel frame with Y-shaped braces. In Proceedings of the 9th World Conference on Earthquake Engineering, Tokyo-Kyoto, Japan, 7–9 August 1998; pp. 65–70. [Google Scholar]
- Baradaran, M.R.; Hamzezarghani, F.; RastegariGhiri, M.; Mirsanjari, Z. The effect of vertical shear-link in improving the seismic performance of structures with eccentrically bracing systems. Int. J. Civil. Environ. Eng. 2015, 9, 1078–1082. [Google Scholar]
- Vetr, M.; Ghamari, A. Experimentally and analytically study on eccentrically braced frame with vertical shear links. Struct. Des. Tall Spéc. Build. 2019, 28, e1587. [Google Scholar] [CrossRef]
- Bouwkamp, J.; Vetr, M.; Ghamari, A. An analytical model for inelastic cyclic response of eccentrically braced frame with vertical shear link (V-EBF). Case Stud. Struct. Eng. 2016, 6, 31–44. [Google Scholar] [CrossRef]
- Caprili, S.; Morelli, F.; Mussini, N. Walter SALVATORE, Experimental tests on real-scale EBF structures with horizontal and vertical links. Data Brief 2018, 21, 1246–1257. [Google Scholar] [CrossRef]
- ANSI/AISC 360-16, Specification for Structural Steel Buildings. Inst. Steel Constr. Am. 2016, 1, 1–612.
- McDaniel, C.; Uang, C.; Seible, F. Cyclic testing of built-up steel shear links for the new bay bridge. J. Struct. Eng. ASCE 2003, 129, 801–809. [Google Scholar] [CrossRef]
- Manheim, D.N.; Popov, E.P. Plastic shear hinges in steel frames. J. Struct. Eng. ASCE 1983, 109, 2404–2419. [Google Scholar] [CrossRef]
- Richards, P.W. Cyclic Stability and Capacity Design of Steel Eccentrically Braced Frames. Ph.D. Thesis, Department of Structural Engineering, University of California, San Diego, CA, USA, 2004. [Google Scholar]
- Ghamari, A.; Kim, Y.-J.; Bae, J. An Innovative shear link as damper: An experimental and numerical study. Steel Compos. Struct. 2022, 42, 539–552. [Google Scholar] [CrossRef]









| Model | tf (mm) | ρ | β | ts (mm) | β′ | β/β′ | |
|---|---|---|---|---|---|---|---|
| I-shaped dampers | I-0.25-5.54-N | 10 | 0.25 | 5.54 | --- | --- | --- |
| I-0.18-2.58-N | 15 | 0.18 | 2.58 | --- | --- | --- | |
| I-0.13-1.51-N | 20 | 0.13 | 1.51 | --- | --- | --- | |
| I-0.11-1.01-N | 25 | 0.11 | 1.01 | --- | --- | --- | |
| I-0.09-0.73-N | 30 | 0.09 | 0.73 | --- | --- | --- | |
| Dampers strengthened with X-stiffeners | X-0.25-5.54-1.21 | 10 | 0.25 | 5.54 | 2.5 | 1.21 | 4.59 |
| X-0.25-5.54-0.60 | 10 | 0.25 | 5.54 | 5 | 0.60 | 9.18 | |
| X-0.25-5.54-0.30 | 10 | 0.25 | 5.54 | 10 | 0.30 | 18.35 | |
| X-0.25-5.54-0.15 | 10 | 0.25 | 5.54 | 20 | 0.15 | 36.70 | |
| X-0.18-2.58-1.21 | 15 | 0.18 | 2.58 | 2.5 | 1.21 | 2.04 | |
| X-0.18-2.58-0.60 | 15 | 0.18 | 2.58 | 5 | 0.60 | 4.08 | |
| X-0.18-2.58-0.30 | 15 | 0.18 | 2.58 | 10 | 0.30 | 8.16 | |
| X-0.18-2.58-0.15 | 15 | 0.18 | 2.58 | 20 | 0.15 | 16.31 | |
| X-0.13-1.51-1.21 | 20 | 0.13 | 1.51 | 2.5 | 1.21 | 1.15 | |
| X-0.13-1.51-0.60 | 20 | 0.13 | 1.51 | 5 | 0.60 | 2.29 | |
| X-0.13-1.51-0.30 | 20 | 0.13 | 1.51 | 10 | 0.30 | 4.59 | |
| X-0.13-1.51-0.15 | 20 | 0.13 | 1.51 | 20 | 0.15 | 9.18 | |
| X-0.11-1.01-1.21 | 25 | 0.11 | 1.01 | 2.5 | 1.21 | 0.73 | |
| X-0.11-1.01-0.60 | 25 | 0.11 | 1.01 | 5 | 0.60 | 1.47 | |
| X-0.11-1.01-0.30 | 25 | 0.11 | 1.01 | 10 | 0.30 | 2.94 | |
| X-0.11-1.01-0.15 | 25 | 0.11 | 1.01 | 20 | 0.15 | 5.87 | |
| X-0.09-0.73-1.21 | 30 | 0.09 | 0.73 | 2.5 | 1.21 | 0.51 | |
| X-0.09-0.73-0.60 | 30 | 0.09 | 0.73 | 5 | 0.60 | 1.02 | |
| X-0.09-0.73-0.30 | 30 | 0.09 | 0.73 | 10 | 0.30 | 2.04 | |
| X-0.09-0.73-0.15 | 30 | 0.09 | 0.73 | 20 | 0.15 | 4.08 |
| Model | tf (mm) | ts (mm) | ρ | β | Fu (kN) | K (kN/mm) | Vs | Ω | Stiffened Damper | |||
|---|---|---|---|---|---|---|---|---|---|---|---|---|
| I-Shaped Damper | ||||||||||||
| Fu | K | Vs | Ω | |||||||||
| I-0.25-5.54-N | 10 | 0.25 | 5.54 | 484.8 | 1126.2 | 315.25 | 1.54 | |||||
| I-0.18-2.58-N | 15 | 0.18 | 2.58 | 583.9 | 1254.7 | 350.48 | 1.67 | |||||
| I-0.13-1.51-N | 20 | 0.13 | 1.51 | 728 | 1438 | 400.11 | 1.82 | |||||
| I-0.11-1.01-N | 25 | 0.11 | 1.01 | 917 | 1684 | 469.75 | 1.95 | |||||
| I-0.09-0.73-N | 30 | 0.09 | 0.73 | 1155 | 1989 | 556.27 | 2.08 | |||||
| X-0.25-5.54-1.21 | 10 | 2.5 | 0.25 | 5.54 | 748.60 | 1803.44 | 549.61 | 1.36 | 1.54 | 1.60 | 1.74 | 0.89 |
| X-0.25-5.54-0.60 | 10 | 5 | 0.25 | 5.54 | 1100.05 | 2405.06 | 673.29 | 1.63 | 2.27 | 2.14 | 2.14 | 1.06 |
| X-0.25-5.54-0.30 | 10 | 10 | 0.25 | 5.54 | 1958.83 | 3434.85 | 961.64 | 2.04 | 4.04 | 3.05 | 3.05 | 1.32 |
| X-0.25-5.54-0.15 | 10 | 20 | 0.25 | 5.54 | 3366.46 | 5047.38 | 1413.2 | 2.38 | 6.94 | 4.48 | 4.48 | 1.55 |
| X-0.18-2.58-1.21 | 15 | 2.5 | 0.18 | 2.58 | 815.29 | 1928.81 | 539.95 | 1.51 | 1.40 | 1.54 | 1.54 | 0.91 |
| X-0.18-2.58-0.60 | 15 | 5 | 0.18 | 2.58 | 1207.04 | 2532.93 | 709.09 | 1.7 | 2.07 | 2.02 | 2.02 | 1.02 |
| X-0.18-2.58-0.30 | 15 | 10 | 0.18 | 2.58 | 2107.93 | 3572.84 | 1000.3 | 2.11 | 3.61 | 2.85 | 2.85 | 1.26 |
| X-0.18-2.58-0.15 | 15 | 20 | 0.18 | 2.58 | 3531.51 | 5209.52 | 1458.6 | 2.42 | 6.05 | 4.15 | 4.16 | 1.45 |
| X-0.13-1.51-1.21 | 20 | 2.5 | 0.13 | 1.51 | 961.15 | 2099.45 | 587.72 | 1.64 | 1.32 | 1.46 | 1.47 | 0.90 |
| X-0.13-1.51-0.60 | 20 | 5 | 0.13 | 1.51 | 1376.29 | 2696.73 | 754.96 | 1.82 | 1.89 | 1.88 | 1.89 | 1.00 |
| X-0.13-1.51-0.30 | 20 | 10 | 0.13 | 1.51 | 2252.87 | 3730.70 | 1044.5 | 2.16 | 3.10 | 2.60 | 2.61 | 1.19 |
| X-0.13-1.51-0.15 | 20 | 20 | 0.13 | 1.51 | 3665.94 | 5368.18 | 1503 | 2.44 | 5.04 | 3.73 | 3.76 | 1.34 |
| X-0.11-1.01-1.21 | 25 | 2.5 | 0.11 | 1.01 | 1136.27 | 2325.69 | 651.07 | 1.75 | 1.24 | 1.38 | 1.39 | 0.89 |
| X-0.11-1.01-0.60 | 25 | 5 | 0.11 | 1.01 | 1575.04 | 2908.92 | 814.38 | 1.93 | 1.72 | 1.73 | 1.73 | 0.99 |
| X-0.11-1.01-0.30 | 25 | 10 | 0.11 | 1.01 | 2448.17 | 3924.41 | 1098.7 | 2.23 | 2.67 | 2.33 | 2.34 | 1.14 |
| X-0.11-1.01-0.15 | 25 | 20 | 0.11 | 1.01 | 3835.65 | 5544.21 | 1552.3 | 2.47 | 4.18 | 3.29 | 3.30 | 1.27 |
| X-0.09-0.73-1.21 | 30 | 2.5 | 0.09 | 0.73 | 1370.11 | 2604.33 | 665.22 | 1.9 | 1.19 | 1.31 | 1.20 | 0.91 |
| X-0.09-0.73-0.60 | 30 | 5 | 0.09 | 0.73 | 1822.76 | 3167.79 | 886.87 | 2.06 | 1.58 | 1.59 | 1.59 | 0.99 |
| X-0.09-0.73-0.30 | 30 | 10 | 0.09 | 0.73 | 2692.03 | 4155.37 | 1163.4 | 2.31 | 2.33 | 2.09 | 2.09 | 1.11 |
| X-0.09-0.73-0.15 | 30 | 20 | 0.09 | 0.73 | 4039.66 | 5743.36 | 1608.1 | 2.51 | 3.50 | 2.89 | 2.89 | 1.21 |
| Model | ρ | Fu (kN) | K (kN/mm) | Vs (kN) | Ω | Damper with ρ = i (I = 0.18, 0.13, 0.11, and 0.09) Divided by Damper with ρ = 0.25 | |||
|---|---|---|---|---|---|---|---|---|---|
| Fu | K | Vs | Ω | ||||||
| I-0.25-5.54-N | 0.25 | 484.76 | 1126.24 | 315.25 | 1.54 | ||||
| I-0.18-2.58-N | 0.18 | 583.88 | 1254.71 | 350.48 | 1.67 | 1.2 | 1.11 | 1.11 | 1.08 |
| I-0.13-1.51-N | 0.13 | 727.55 | 1437.6 | 400.11 | 1.82 | 1.5 | 1.28 | 1.27 | 1.18 |
| I-0.11-1.01-N | 0.11 | 917.02 | 1684.32 | 469.75 | 1.95 | 1.89 | 1.50 | 1.49 | 1.27 |
| I-0.09-0.73-N | 0.09 | 1155.3 | 1989.45 | 556.27 | 2.08 | 2.38 | 1.77 | 1.76 | 1.35 |
| X-0.25-5.54-1.21 | 0.25 | 748.6 | 1803.44 | 315.25 | 1.54 | ||||
| X-0.25-5.54-0.60 | 0.18 | 815.29 | 1928.81 | 556.27 | 2.08 | 1.09 | 1.07 | 1.76 | 1.35 |
| X-0.25-5.54-0.30 | 0.13 | 961.15 | 2099.45 | 1413.17 | 2.38 | 1.28 | 1.16 | 4.48 | 1.55 |
| X-0.25-5.54-0.15 | 0.11 | 1136.3 | 2325.69 | 1458.58 | 2.42 | 1.52 | 1.29 | 4.63 | 1.57 |
| X-0.18-2.58-1.21 | 0.09 | 1370.1 | 2604.33 | 1503.03 | 2.44 | 1.83 | 1.44 | 4.77 | 1.59 |
| X-0.18-2.58-0.60 | 0.25 | 1100.1 | 2405.06 | 350.48 | 1.67 | ||||
| X-0.18-2.58-0.30 | 0.18 | 1207 | 2532.93 | 549.61 | 1.36 | 1.10 | 1.05 | 1.57 | 0.82 |
| X-0.18-2.58-0.15 | 0.13 | 1376.3 | 2696.73 | 539.95 | 1.51 | 1.25 | 1.12 | 1.54 | 0.91 |
| X-0.13-1.51-1.21 | 0.11 | 1575 | 2908.92 | 587.72 | 1.64 | 1.43 | 1.21 | 1.68 | 0.98 |
| X-0.13-1.51-0.60 | 0.09 | 1822.8 | 3167.79 | 651.07 | 1.75 | 1.66 | 1.32 | 1.86 | 1.05 |
| X-0.13-1.51-0.30 | 0.25 | 1958.8 | 3434.85 | 400.11 | 1.82 | ||||
| X-0.13-1.51-0.15 | 0.18 | 2107.9 | 3572.84 | 673.29 | 1.63 | 1.08 | 1.04 | 1.68 | 0.9 |
| X-0.11-1.01-1.21 | 0.13 | 2252.9 | 3730.7 | 709.09 | 1.7 | 1.15 | 1.09 | 1.77 | 0.94 |
| X-0.11-1.01-0.60 | 0.11 | 2448.2 | 3924.41 | 754.96 | 1.82 | 1.25 | 1.14 | 1.89 | 1 |
| X-0.11-1.01-0.30 | 0.09 | 2692 | 4155.37 | 814.38 | 1.93 | 1.37 | 1.21 | 2.04 | 1.06 |
| X-0.11-1.01-0.15 | 0.25 | 3366.5 | 5047.38 | 469.75 | 1.95 | ||||
| X-0.09-0.73-1.21 | 0.18 | 3531.5 | 5209.52 | 961.64 | 2.04 | 1.05 | 1.03 | 2.05 | 1.04 |
| X-0.09-0.73-0.60 | 0.13 | 3665.9 | 5368.18 | 1000.28 | 2.11 | 1.09 | 1.06 | 2.13 | 1.08 |
| X-0.09-0.73-0.30 | 0.11 | 3835.7 | 5544.21 | 1044.49 | 2.16 | 1.14 | 1.1 | 2.22 | 1.1 |
| X-0.09-0.73-0.15 | 0.09 | 4039.7 | 5743.36 | 1098.74 | 2.23 | 1.20 | 1.14 | 2.34 | 1.14 |
| Models | FE | Proposed Equations | FE/Proposed Equations | ||||||
|---|---|---|---|---|---|---|---|---|---|
| Fu (kN) | K (kN/mm) | Ω | Fu (kN) | K (kN/mm) | Ω | Fu (kN) | K (kN/mm) | Ω | |
| I-0.25-5.54-N | 484.76 | 1126.24 | 1.54 | 400.46 | 719.15 | 1.42 | 0.93 | 1.57 | 0.93 |
| I-0.18-2.58-N | 583.88 | 1254.71 | 1.67 | 469.03 | 887.67 | 1.57 | 0.94 | 1.41 | 0.94 |
| I-0.13-1.51-N | 727.55 | 1437.60 | 1.82 | 565.03 | 1187.39 | 1.72 | 0.95 | 1.21 | 0.95 |
| I-0.11-1.01-N | 917.02 | 1684.32 | 1.95 | 688.46 | 1662.03 | 1.83 | 0.94 | 1.01 | 0.94 |
| I-0.09-0.73-N | 1155.30 | 1989.45 | 2.08 | 839.31 | 2355.34 | 1.92 | 0.92 | 0.84 | 0.92 |
| X-0.25-5.54-1.21 | 748.60 | 1803.44 | 1.36 | 715.04 | 1378.93 | 1.39 | 1.02 | 1.31 | 1.02 |
| X-0.25-5.54-0.60 | 1100.05 | 2405.06 | 1.63 | 1029.63 | 2038.72 | 1.60 | 0.98 | 1.18 | 0.98 |
| X-0.25-5.54-0.30 | 1958.83 | 3434.85 | 2.04 | 1658.80 | 3358.28 | 1.78 | 0.87 | 1.02 | 0.87 |
| X-0.25-5.54-0.15 | 3366.46 | 5047.38 | 2.38 | 2917.14 | 5997.42 | 2.10 | 0.88 | 0.84 | 0.88 |
| X-0.18-2.58-1.21 | 815.29 | 1928.81 | 1.51 | 783.61 | 1547.45 | 1.60 | 1.06 | 1.25 | 1.06 |
| X-0.18-2.58-0.60 | 1207.04 | 2532.93 | 1.70 | 1098.20 | 2207.24 | 1.67 | 0.98 | 1.15 | 0.98 |
| X-0.18-2.58-0.30 | 2107.93 | 3572.84 | 2.11 | 1727.37 | 3526.81 | 1.81 | 0.86 | 1.01 | 0.86 |
| X-0.18-2.58-0.15 | 3531.51 | 5209.52 | 2.42 | 2985.71 | 6165.94 | 2.10 | 0.87 | 0.84 | 0.87 |
| X-0.13-1.51-1.21 | 961.15 | 2099.45 | 1.64 | 879.61 | 1847.17 | 1.71 | 1.04 | 1.14 | 1.04 |
| X-0.13-1.51-0.60 | 1376.29 | 2696.73 | 1.82 | 1194.20 | 2506.96 | 1.75 | 0.96 | 1.08 | 0.96 |
| X-0.13-1.51-0.30 | 2252.87 | 3730.70 | 2.16 | 1823.37 | 3826.52 | 1.86 | 0.86 | 0.97 | 0.86 |
| X-0.13-1.51-0.15 | 3665.94 | 5368.18 | 2.44 | 3081.71 | 6465.66 | 2.13 | 0.87 | 0.83 | 0.87 |
| X-0.11-1.01-1.21 | 1136.27 | 2325.69 | 1.75 | 1003.04 | 2321.82 | 1.80 | 1.03 | 1.00 | 1.03 |
| X-0.11-1.01-0.60 | 1575.04 | 2908.92 | 1.93 | 1317.63 | 2981.60 | 1.83 | 0.95 | 0.98 | 0.95 |
| X-0.11-1.01-0.30 | 2448.17 | 3924.41 | 2.23 | 1946.80 | 4301.17 | 1.93 | 0.87 | 0.91 | 0.87 |
| X-0.11-1.01-0.15 | 3835.65 | 5544.21 | 2.47 | 3205.14 | 6940.31 | 2.18 | 0.88 | 0.80 | 0.88 |
| X-0.09-0.73-1.21 | 1370.11 | 2604.33 | 1.90 | 1153.90 | 3015.12 | 2.08 | 1.01 | 0.86 | 1.09 |
| X-0.09-0.73-0.60 | 1822.76 | 3167.79 | 2.06 | 1468.48 | 3674.90 | 1.91 | 0.93 | 0.86 | 0.93 |
| X-0.09-0.73-0.30 | 2692.03 | 4155.37 | 2.31 | 2097.65 | 4994.47 | 2.00 | 0.86 | 0.83 | 0.86 |
| X-0.09-0.73-0.15 | 4039.66 | 5743.36 | 2.51 | 3355.99 | 7633.61 | 2.23 | 0.89 | 0.75 | 0.89 |
Publisher’s Note: MDPI stays neutral with regard to jurisdictional claims in published maps and institutional affiliations. |
© 2022 by the authors. Licensee MDPI, Basel, Switzerland. This article is an open access article distributed under the terms and conditions of the Creative Commons Attribution (CC BY) license (https://creativecommons.org/licenses/by/4.0/).
Share and Cite
Thongchom, C.; Bahrami, A.; Ghamari, A.; Benjeddou, O. Performance Improvement of Innovative Shear Damper Using Diagonal Stiffeners for Concentrically Braced Frame Systems. Buildings 2022, 12, 1794. https://doi.org/10.3390/buildings12111794
Thongchom C, Bahrami A, Ghamari A, Benjeddou O. Performance Improvement of Innovative Shear Damper Using Diagonal Stiffeners for Concentrically Braced Frame Systems. Buildings. 2022; 12(11):1794. https://doi.org/10.3390/buildings12111794
Chicago/Turabian StyleThongchom, Chanachai, Alireza Bahrami, Ali Ghamari, and Omrane Benjeddou. 2022. "Performance Improvement of Innovative Shear Damper Using Diagonal Stiffeners for Concentrically Braced Frame Systems" Buildings 12, no. 11: 1794. https://doi.org/10.3390/buildings12111794
APA StyleThongchom, C., Bahrami, A., Ghamari, A., & Benjeddou, O. (2022). Performance Improvement of Innovative Shear Damper Using Diagonal Stiffeners for Concentrically Braced Frame Systems. Buildings, 12(11), 1794. https://doi.org/10.3390/buildings12111794

