Strength, Chloride Ion Penetration, and Nanoscale Characteristics of Concrete Prepared with Nano-Silica Slurry Pre-Coated Recycled Aggregate
Abstract
1. Introduction
2. Materials and Methods
2.1. Materials
2.2. Methods
2.2.1. Compressive Strength
2.2.2. Chloride Ion Penetration
2.2.3. Microstructure Analysis
2.2.4. Nanoindentation Test
2.3. Economic and Environmental Impact Evaluations
3. Results and Discussions
3.1. Compressive Strength
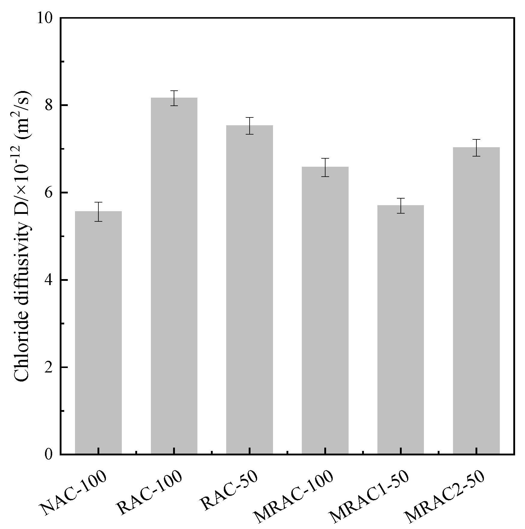
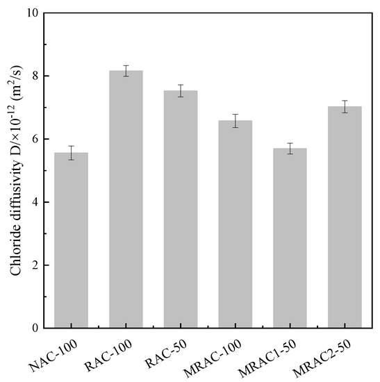
3.2. Chloride Ion Penetration
3.3. SEM Analysis
3.4. MIP
3.5. Nano-Indentation Analysis
3.6. Economic and Environmental Assessment
4. Conclusions
- (1)
- MRCAs can be used instead of RCAs in concrete. Compared with RAC with the same composition at different ages, the compressive strength of MRAC samples was increased by 12.5~22.6%. However, the compressive strength of MRCA-100 at different ages is still lower than that of NAC-100.
- (2)
- Compared with RAC with the same composition, the chloride diffusivities of MRAC-100 and MRAC-1-50 samples decreased by 19.4% and 24.3%, respectively. Similarly, when MRCA replaces 50% RCA, MRAC2-50 shows lower chloride diffusivities than RAC-100.
- (3)
- SEM and MIP results show that compared with RAC with the same composition, the microstructure of MRAC near ITZ is denser and the porosity is lower. This is mainly due to the fact that NS slurry filled the pores and microfracture on RCA surface, and the secondary hydration reaction between unreacted NS and the hydration product calcium hydroxide of fresh cement produced more C-S-H gel to fill the pores in ITZ.
- (4)
- Nanoindentation tests demonstrated that ITZs had the lowest indentation modulus in concrete, suggesting that ITZs had a negative effect on concrete performance. Compared with the ITZ in the RAC-100 sample, the ITZ width of MRAC-100 sample decreased by about 23.1%, and the average indentation modulus of ITZ and new mortar increased by 89.4% and 15.9%, respectively.
- (5)
- Compared with ordinary RAC, NS slurry improves the economic and environmental benefits of RAC and is similar to NAC. In addition, the use of MRCA can reduce the consumption of non-renewable resources.
Author Contributions
Funding
Data Availability Statement
Acknowledgments
Conflicts of Interest
References
- Xu, Y.; Jin, R.; Hu, L.; Li, B.; Chen, W.; Shen, J.; Wu, P.; Fang, J. Studying the mix design and investigating the photocatalytic performance of pervious concrete containing TiO2-Soaked recycled aggregates. J. Clean. Prod. 2020, 248, 119281. [Google Scholar] [CrossRef]
- Hu, H.; He, Z.; Fan, K.; Shibro, T.; Liu, B.; Shi, J. Properties enhancement of recycled coarse aggregates by pre-coating/pre-soaking with zeolite powder/calcium hydroxide. Constr. Build. Mater. 2021, 286, 122888. [Google Scholar] [CrossRef]
- Zhan, P.; He, Z. Application of shrinkage reducing admixture in concrete: A review. Constr. Build. Mater. 2019, 201, 676–690. [Google Scholar] [CrossRef]
- Li, W.; Jiang, T.; Jin, R.; Xu, Y. Optimization of the preparation process of Fair-Faced concrete incorporating recycled aggregates. Constr. Build. Mater. 2022, 326, 126908. [Google Scholar] [CrossRef]
- Akbarnezhad, A.; Ong, K.C.G.; Zhang, M.H.; Tam, C.T.; Foo, T.W.J. Microwave-assisted beneficiation of recycled concrete aggregates. Constr. Build. Mater. 2011, 25, 3469–3479. [Google Scholar] [CrossRef]
- Wang, B.; Yan, L.; Fu, Q.; Kasal, B. A Comprehensive Review on Recycled Aggregate and Recycled Aggregate Concrete. Resour. Conserv. Recycl. 2021, 171, 105565. [Google Scholar] [CrossRef]
- Zhang, J.; Shi, C.; Li, Y.; Pan, X.; Poon, C.-S.; Xie, Z. Performance Enhancement of Recycled Concrete Aggregates through Carbonation. J. Mater. Civ. Eng. 2015, 27, 04015029. [Google Scholar] [CrossRef]
- Xu, Y.; Song, Y. Chemical-mechanical transformation of the expansion effect for nonuniform steel corrosion and its application in predicting the concrete cover cracking time. Cem. Concr. Compos. 2022, 127, 104376. [Google Scholar] [CrossRef]
- Kou, S.; Poon, C. Properties of concrete prepared with PVA-impregnated recycled concrete aggregates. Cem. Concr. Compos. 2010, 32, 649–654. [Google Scholar] [CrossRef]
- Ho, H.; Huang, R.; Lin, W.; Cheng, A. Pore-structures and durability of concrete containing pre-coated fine recycled mixed aggregates using pozzolan and polyvinyl alcohol materials. Constr. Build. Mater. 2018, 160, 278–292. [Google Scholar] [CrossRef]
- Xu, J.; Wang, B.; Zuo, J. Modification effects of nanosilica on the interfacial transition zone in concrete: A multiscale approach. Cem. Concr. Compos. 2017, 81, 1–10. [Google Scholar] [CrossRef]
- He, Z.; Shen, M.; Shi, J.; Yalçınkaya, C.; Du, S.; Yuan, Q. Recycling coral waste into eco-friendly UHPC: Mechanical strength, microstructure, and environmental benefits. Sci. Total. Environ. 2015, 61, 7–17. [Google Scholar] [CrossRef]
- Xu, Y.; Zeng, J.; Chen, W.; Jin, R.; Li, B.; Pan, Z. A holistic review of cement composites reinforced with graphene oxide. Constr. Build. Mater. 2018, 171, 291–302. [Google Scholar] [CrossRef]
- Mukharjee, B.B.; Barai, S.V. Influence of incorporation of nano-silica and recycled aggregates on compressive strength and microstructure of concrete. Constr. Build. Mater. 2014, 71, 570–578. [Google Scholar] [CrossRef]
- Zhan, P.; He, Z.; Ma, Z.; Liang, C.; Zhang, X.; Abreham, A.A.; Shi, J. Utilization of nano-metakaolin in concrete: A review. J. Build. Eng. 2020, 30, 101259. [Google Scholar] [CrossRef]
- Mukharjee, B.B.; Barai, S.V. Statistical techniques to analyze properties of nano-engineered concrete using Recycled Coarse Aggregates. J. Clean. Prod. 2014, 83, 273–285. [Google Scholar] [CrossRef]
- Zheng, Y.; Zhuo, J.; Zhang, P. A review on durability of nano-SiO2 and basalt fiber modified recycled aggregate concrete. Constr. Build. Mater. 2021, 304, 124659. [Google Scholar] [CrossRef]
- Zhang, H.; Zhao, Y.; Meng, T.; Shah, S.P. The modification effects of a nano-silica slurry on microstructure, strength, and strain development of recycled aggregate concrete applied in an enlarged structural test. Constr. Build. Mater. 2015, 95, 721–735. [Google Scholar] [CrossRef]
- Yeke, L.; Yu, Z. Effect of graphene oxide on mechanical properties of UHPC and analysis of micro-control mechanism. Mater. Res. Express 2021, 8, 095001. [Google Scholar] [CrossRef]
- Xu, J.; Corr, D.J.; Shah, S.P. Nanomechanical investigation of the effects of nanoSiO(2) on C-S-H gel/cement grain interfaces. Cem. Concr. Compos. 2015, 61, 7–17. [Google Scholar] [CrossRef]
- Zhan, P.; Zhang, X.; He, Z.; Shi, J.; Gencel, O.; Hai Yen, N.T.; Wang, G. Strength, microstructure and nanomechanical properties of recycled aggregate concrete containing waste glass powder and steel slag powder. J. Clean. Prod. 2022, 341, 130892. [Google Scholar] [CrossRef]
- Ali, B.; Qureshi, L.A.; Khan, S.U. Flexural behavior of glass fiber-reinforced recycled aggregate concrete and its impact on the cost and carbon footprint of concrete pavement. Constr. Build. Mater. 2020, 262, 120820. [Google Scholar] [CrossRef]
- Yang, K.H.; Jung, Y.B.; Cho, M.S.; Tae, S.H.; Nazari, A.; Sanjayan, J.G. Effect of Supplementary Cementitious Materials on Reduction of CO2 Emissions from Concrete. J. Clean. Prod. 2015, 103, 774–783. [Google Scholar] [CrossRef]
- Cantero, B.; Bravo, M.; de Brito, J.; Saez del Bosque, I.F.; Medina, C. Mechanical behaviour of structural concrete with ground recycled concrete cement and mixed recycled aggregate. J. Clean. Prod. 2020, 275, 122913. [Google Scholar] [CrossRef]
- Hu, H.-B.; He, Z.-H.; Shi, J.-Y.; Liang, C.-F.; Shibro, T.-G.; Liu, B.-J.; Yang, S.-Y.-B.; He, Z.-H.; Shi, J.-Y.; Liang, C.-F.; et al. Mechanical properties, drying shrinkage, and nano-scale characteristics of concrete prepared with zeolite powder pre-coated recycled aggregate. J. Clean. Prod. 2021, 319, 128710. [Google Scholar] [CrossRef]
- Lu, B.; Shi, C.; Cao, Z.; Guo, M.; Zheng, J. Effect of carbonated coarse recycled concrete aggregate on the properties and microstructure of recycled concrete. J. Clean. Prod. 2019, 233, 421–428. [Google Scholar] [CrossRef]
- Zhan, P.; Xu, J.; Wang, J.; Zuo, J.; He, Z. A review of recycled aggregate concrete modified by nanosilica and graphene oxide: Materials, performances and mechanism. J. Clean. Prod. 2022, 375, 134116. [Google Scholar] [CrossRef]
- Zhan, P.; Xu, J.; Wang, J.; Jiang, C. Multi-scale study on synergistic effect of cement replacement by metakaolin and typical supplementary cementitious materials on properties of ultra-high performance concrete. Constr. Build. Mater. 2021, 307, 125082. [Google Scholar] [CrossRef]
- He, Z.; Zhan, P.; Du, S.; Liu, B.; Yuan, W. Creep behavior of concrete containing glass powder. Compos. Part B-Eng. 2019, 166, 13–20. [Google Scholar] [CrossRef]
- Li, L.; Xuan, D.; Sojobi, A.O.; Liu, S.; Chu, S.H.; Poon, C.S. Development of nano-silica treatment methods to enhance recycled aggregate concrete. Cem. Concr. Compos. 2021, 118, 103963. [Google Scholar] [CrossRef]
- Hou, P.; Kawashima, S.; Wang, K.; Corr, D.J.; Qian, J.; Shah, S.P. Effects of colloidal nanosilica on rheological and mechanical properties of fly ash-cement mortar. Cem. Concr. Compos. 2013, 35, 12–22. [Google Scholar] [CrossRef]
- Yang, H.; Monasterio, M.; Zheng, D.; Cui, H.; Tang, W.; Bao, X.; Chen, X. Effects of nano silica on the properties of cement-based materials: A comprehensive review. Constr. Build. Mater. 2021, 282, 122715. [Google Scholar] [CrossRef]
- Xiang, T.; Liu, J.; Lv, Z.; Wei, F.; Liu, Q.; Zhang, Y.; Ren, H.; Zhou, S.; Chen, D. The effect of silicon-based waterproof agent on the wettability of superhydrophobic concrete and enhanced corrosion resistance. Constr. Build. Mater. 2021, 313, 125482. [Google Scholar] [CrossRef]
- Xiang, T.; Chen, D.; Lv, Z.; Yang, Z.; Yang, L.; Li, C. Robust superhydrophobic coating with superior corrosion resistance. J. Alloy. Compd. 2019, 798, 320–325. [Google Scholar] [CrossRef]
- Dimitriou, G.; Savva, P.; Petrou, M.F. Enhancing mechanical and durability properties of recycled aggregate concrete. Constr. Build. Mater. 2018, 158, 228–235. [Google Scholar] [CrossRef]










| SiO2 | Al2O3 | Fe2O3 | CaO | MgO | SO3 | K2O | Na2O | L.O.I |
|---|---|---|---|---|---|---|---|---|
| 34.64 | 9.4 | 3.91 | 40.52 | 2.01 | 2.32 | 1.64 | 1.08 | 3.24 |
| Exterior | Average Particle Size/nm | Content/% | Solvent | PH Value |
|---|---|---|---|---|
| Transparent liquid | 20 ± 5 | 30 | Transparency liquid | 9–11 |
| Aggregate | Apparent Density (kg·m−3) | Water Absorption (%) | Crush Value (%) |
|---|---|---|---|
| NAC | 2700 | 0.86 | 9.7 |
| RAC | 2540 | 7.8 | 16.4 |
| MRAC | 2585 | 5.6 | 13.1 |
| Types of Mixture | Cement | Water | NCA | RCA | MRCA | Sand | PS |
|---|---|---|---|---|---|---|---|
| NAC-100 | 450 | 180 | 1085 | - | - | 725 | 1.5 |
| RAC-100 | 450 | 180 | - | 1085 | - | 725 | 2.15 |
| RAC-50 | 450 | 180 | 542.5 | 542.5 | - | 725 | 1.85 |
| MRAC-100 | 450 | 180 | - | - | 1085 | 725 | 2.40 |
| MRAC1-50 | 450 | 180 | 542.5 | - | 542.5 | 725 | 2.05 |
| MRAC2-50 | 450 | 180 | - | 542.5 | 542.5 | 725 | 2.23 |
| Types of Mixture | Cost for One Ton ($) | CO2 Emission | Ref. |
|---|---|---|---|
| Cement | 77.5 | 0.92 | [22] |
| NAC | 18.6 | 0.0075 | [23] |
| RAC | 2.325 | 0.003 | [24] |
| MRAC | 4.65 | 0.0035 | [25] |
| Sand | 27.9 | 0.0026 | [23] |
| PS | 5245 | 0.00018 | [22] |
| Types of Mixture | Porosity (%) | Total Porosity (mL/g) | Porosity in Varied Pore Size Intervals, mL/g | |||
|---|---|---|---|---|---|---|
| Harmless <20 nm | Less Harmful 20~50 nm | Harmful 50~200 nm | Much Harmful >200 nm | |||
| NAC-100 | 14.9 | 0.0706 | 0.0184 | 0.0131 | 0.0102 | 0.0289 |
| RAC-100 | 21.3 | 0.1087 | 0.0217 | 0.0226 | 0.0091 | 0.0554 |
| MRAC-100 | 15.4 | 0.0728 | 0.0157 | 0.0195 | 0.0117 | 0.0259 |
Publisher’s Note: MDPI stays neutral with regard to jurisdictional claims in published maps and institutional affiliations. |
© 2022 by the authors. Licensee MDPI, Basel, Switzerland. This article is an open access article distributed under the terms and conditions of the Creative Commons Attribution (CC BY) license (https://creativecommons.org/licenses/by/4.0/).
Share and Cite
Shan, H.; Yu, Z. Strength, Chloride Ion Penetration, and Nanoscale Characteristics of Concrete Prepared with Nano-Silica Slurry Pre-Coated Recycled Aggregate. Buildings 2022, 12, 1707. https://doi.org/10.3390/buildings12101707
Shan H, Yu Z. Strength, Chloride Ion Penetration, and Nanoscale Characteristics of Concrete Prepared with Nano-Silica Slurry Pre-Coated Recycled Aggregate. Buildings. 2022; 12(10):1707. https://doi.org/10.3390/buildings12101707
Chicago/Turabian StyleShan, Haoliang, and Zhouping Yu. 2022. "Strength, Chloride Ion Penetration, and Nanoscale Characteristics of Concrete Prepared with Nano-Silica Slurry Pre-Coated Recycled Aggregate" Buildings 12, no. 10: 1707. https://doi.org/10.3390/buildings12101707
APA StyleShan, H., & Yu, Z. (2022). Strength, Chloride Ion Penetration, and Nanoscale Characteristics of Concrete Prepared with Nano-Silica Slurry Pre-Coated Recycled Aggregate. Buildings, 12(10), 1707. https://doi.org/10.3390/buildings12101707
