Abstract
Many wind turbines operate in harsh marine or shore environments. This study assists industry by establishing a real-time condition-monitoring and fault-detection system, with rules for recognizing a wind turbine’s abnormal operation mainly caused by different types of fan-blade damage. This system can ensure ideal wind turbine operation by monitoring the health status of the blades, detecting sudden anomalies, and performing maintenance almost in real time. This is especially significant for wind farms in areas subject to frequent natural disasters (e.g., earthquakes and typhoons). Turbines might fail to endure these because the manufacturers have built them according to the standards developed for areas less prone to natural disasters. The system’s rules are established by utilising concepts and methods from data analytics, digital signal processing (DSP) and statistics to analyse data from the accelerometer, which measures the vibration signals in three dimensions on the platform of the wind turbine’s base. The patterns for those cases involving fan-blade damage are found to establish the rules. With the anomalies detected and reported effectively, repairs and maintenance can be carried out on the faulty wind turbines. This enables ‘maintenance by prediction’ actions for unplanned maintenance as a supplement to the ‘predictive maintenance’ tasks for regular planned maintenance.
1. Introduction
1.1. Research Background
Improving the operating efficiency of wind turbines and reducing maintenance costs are goals common to all wind farm operators. However, similar to the erosional effects caused by seawater and weather conditions on the base constructs of offshore or onshore wind turbines, machines and equipment are also prone to failure, leading to a loss of efficiency in power generation operations. However, an integrated perspective to examine these issues is seldom discussed [1,2,3].
The industry developing wind turbines has adopted a conservative attitude, i.e., it lacks integration with related upstream and downstream industries. In some countries, for example, blade manufacturers concentrate only on the R&D (research and development) of the blade shape and materials, while the generator manufacturers care only about the design and manufacture of the generator bodies. The power-converter manufacturers alone bear the final responsibility for power generation efficiency. However, converter manufacturers do not usually have the expertise to integrate blades and generators. Moreover, the international market currently lacks protocols or standard operating procedures (SOPs) for these integrative matters. This is critical for turbine maintenance.
Although avoiding the replacement of faulty major parts is the most efficient way to reduce operating costs, an alternative logic for turbine maintenance entails detecting faults efficiently and replacing the necessary part promptly, in addition to scheduled preventive maintenance (e.g., predictive maintenance). Within the entire power generation system utilising wind as a resource, the blade is an important component. To ensure the normal operation of a wind turbine, the key factors are the durability, safety and reliability of the wind turbine blades, and these have become a concern for wind farm operators and manufacturers. However, to the authors’ knowledge, most fan blade health diagnoses today still rely on subjective human efforts to identify whether the blades are damaged or not, i.e., acoustic or vision-based inspections performed by professionals, and currently there is no rapid and objective method for blade diagnosis [1,2,3].
Benbouzid et al. [4] reviewed the current progress in condition monitoring of wind turbines, from traditional condition monitoring and signal-processing tools to machine learning-based condition monitoring and predictive maintenance using big-data mining. Their systematic review of signal-based and data-driven modelling approaches using intelligence and machine learning approaches examined recent developments in the field and their use in diagnosis, prognosis, health assessment, and predictive maintenance of wind turbines and farms [4]. Natilli et al. [5] developed a multi-scale method for wind turbine gearbox fault detection and tested it in real-world test cases. The novelty of this work is that the detection method was developed using industrial datasets provided by standard SCADA (supervisory control and data acquisition) and TCM (turbine condition monitoring) systems [5].
Papi [6] proposed using an uncertainty-quantification method to model the effect of blade damage on the performance of multi-megawatt wind turbines. The proposed method aims to overcome some of the problems associated with evaluating individual test cases. In fact, treating blade damage as a random phenomenon avoids biases due to specific test cases of combinations of blade damage factors and allows for more general conclusions [6]. This point is critical for this study. Santolamazza et al. [7] presented an approach based on machine learning techniques using data from SCADA systems. Since these systems are usually already implemented on most wind turbines, they provide a lot of data without the need for additional sensors. In particular, they used artificial neural networks (ANNs) to develop models to describe the behaviour of some of the main components of wind turbines, such as gearboxes and generators, and predict operational anomalies. The proposed method was tested on real wind turbines in Italy to verify its effectiveness and applicability and proved to be able to provide important assistance in the maintenance of wind farms [7].
Knowing the status of the blades at any time should be critical to the normal operation of turbines at the lowest cost, because wind has become one of the most popular sources of green power generation (solar being another popular energy source), and more and more wind farms are operating or being constructed worldwide. The offshore equipment is usually expensive and produces electricity almost constantly; however, it may fail, incurring significant operational losses if it cannot be repaired quickly during the downtime [1,2,3].
The repair and subsequent maintenance tasks involve considerable effort and costs, thus exacerbating the problem. Moreover, in some places, such as Penghu (or the Pescadores Islands) and Taiwan, most wind turbines are maintained by non-native manufacturers, who regard internal equipment maintenance as a business secret (and do not disclose it easily). However, a discussion about this critical problem is beyond the scope of this paper. In any case, there is a need to detect and diagnose problems related to offshore wind turbines quickly, in order to launch the subsequent unplanned yet necessary repairs [1,2,3].
1.2. This Study: An Overview
In this study, a complete functioning mechanical condition monitoring system (CMS) is established with an initial stable performance, which measures parameters such as the vibrations and noises of a turbine during operation. The recorded data are stored and reported remotely (from the remote-side CMS). They are organised as datasets (on the server-side CMS), and the characteristics and patterns of/in the signal are then analysed using the established rules and classified as having different levels of fan-blade damage severity. This process automatically detects the health status of a turbine by inspecting its vibration states, rather than through human efforts.
Thus, if effective rules can be established to program the CMS (which embeds these rules) to detect the different severity levels of turbine fan-blade damage based on a real-time database that is regularly imported and updated by the (remote) CMS, the performance of the server-side CMS relies heavily on the effectiveness of the rules. Once an anomaly is detected, the CMS serves to guide the subsequent fan maintenance and repair actions. In this study, we call this ‘maintenance by prediction’, in contrast to ‘predictive maintenance’, which is a type of ‘preventive maintenance’ [1,2,3].
The CMS can thus warn of blade damage almost in real time, allowing wind farm operators to launch and arrange repair operations for maintenance by prediction at the earliest moment. This reduces the turbine’s downtime. As such, this is different from predictive maintenance, which aims to avoid wasting time and money by preventing serious damage by performing regular maintenance in advance. Maintenance by prediction operates by giving sudden fan-blade status warnings (in the event of damage) for launching the actions as soon as possible.
An example may help to illustrate the difference. During predictive maintenance, the engineers are recommended to replace some parts of the turbine, but they may be replaced improperly, ultimately resulting in a machine shutdown. By contrast, the proposed maintenance by prediction mechanism works to detect, warn of, and support addressing an incident in almost real time.
Theoretically, the mechanism proposed by this study to detect wind turbine blade damage in wind turbines aims to support unplanned maintenance and repairs, which are carried out for the faulty wind turbine(s) using rule-based predictions (i.e., the maintenance by prediction actions). If the CMS is programmed with this detection mechanism, most of the equipment manager’s efforts can be focused on the machine’s normal operations, e.g., acquiring or preparing the parts required for equipment repairs, i.e., preventive maintenance. In operational practice, such a CMS can improve the safety (effective operation) rate (or operating efficiency) of the power system, reduce maintenance costs and increase the reliability of the wind turbine [1,2,3,8,9,10,11,12].
Section 2 focuses on the design of the CMS for wind turbines, describing how our research led us to the fault-diagnosis functions for fan blades from the traditional functions used for power generators, while reviewing the relevant literature. Section 3 presents the results from the data analysis upon taking real sampling data and introduces the methods used ‘by example’ (on the fly). Although the methods being applied are individually common in data processing, statistics, and digital signal processing (DSP), hybridising them for the purpose of the application described in this study is novel. The rules are established in Section 4 based on the analytical results, followed by a discussion of key findings. Section 5 concludes this study.
2. Condition Monitoring System (CMS) and Methods
This section describes the development of the CMS, which involves remote-side and server-side subsystems. Because the remote-side CMS is mounted on the structure of a wind turbine on the base platform, we start from an overview of the wind turbines.
2.1. Wind Turbines
A wind turbine is mainly composed of control systems, transmission mechanisms, generators, converters, blades, towers, power cables, converters and transformers. The internal transmission mechanisms include gearboxes, hubs and steering systems. The performance of wind turbines varies from one model to another.
As discussed previously, the installation site’s climate conditions and the natural disasters which may occur affect wind turbines’ operation, resulting in various causes of sudden failure, which is to be resolved by maintenance by prediction. In addition to these external factors, some wind turbines may have inherent (internal) drawbacks, such as inconsistent design specifications, low manufacturing quality and inappropriate design specifications for the sites on which they operate. All of these factors could cause them to operate in an unstable manner and accelerate the possible damage to their components, including the blades.
The reasons for fan-blade damage are manifold, but each can be categorised as either internal or external. Internal damage may be caused by kinetic or mechanical reasons. For example, machine wear due to operation over a long period will result in the deformation of parts due to stress. Also, during fan operation on normal days, the tower column will produce different deformations and displacements due to different operating conditions, tower conditions, and conditions of the base. External damage, by contrast, can result from the sudden occurrence of natural disasters, e.g., large typhoons and earthquakes. These are more harmful to the blades, and the consequences are usually unexpected. While the events causing damage are all occasional, they meet the condition that the tool provided by this study can address. See these further in Section 4.3.
2.2. CMS Hardware
The central component of the remote-side CMS hardware uses Adlink’s USB-2405, with which each channel can be connected to an accelerometer or a microphone. The USB-2405 is a 24-bit USB interface for dynamic signal data acquisition. The USB-2405 has a USB-interface power supply and BNC connector; there are four analogue input channels, and each channel provides up to 128 kS/s of simultaneous sampling. The USB-2405 also features selectable AC or DC coupled inputs and a built-in high-precision 2 mA excitation current measurement integrated electronic piezoelectric (IEPE) sensor. Each channel can be connected to an accelerometer or microphone for measuring vibrations or noises. In the measurement system, each channel was connected to a PCB 601A01 accelerometers with a sensitivity of 100 mV/g and a frequency band range of 0.27 to 10,000 Hz.
Relatedly, the CMS can be divided into vibration and noise detection subsystems, and each subsystem has its effective fault detection and diagnostic methods. The integration of technologies inspecting the wind turbine near the accelerometer or microphone enables the operation status monitoring functions and the preliminary remote-side fault-diagnosis functions. However, it is difficult to derive effective rules that can be used for such fault diagnosis on the remote side. This is discussed in the next subsection.
2.3. Fault-Diagnosis Functions for Wind Turbines
This subsection illustrates the fault-diagnosis process and the analysis functions of the CMS for a wind turbine. When the machine experiences abnormal vibration, the diagnostic analysis can be performed according to the following guidelines [13,14,15,16,17,18,19]:
(A) Understand the machine’s construction. For an abnormally functioning machine, it is necessary to understand its primary structure, component transmission methods and even an overview of the system to determine the possible failure modes and the appropriate measurement method and position.
(B) Observe abnormalities. When an exception occurs in a machine, it is necessary to understand the machine’s operational conditions at that moment and to observe the abnormal phenomenon that is causing the device to operate abnormally.
(C) Abnormal phenomenon measurement. It is necessary to select appropriate sensors and instrumentation equipment, measure the vibration signal of the unusual machine phenomenon, and process the measured signal through spectrum analysis.
(D) Abnormal signal analysis. The abnormal signals measured should be analysed to determine the most severe locations and conditions and the components that are causing the problems. The reasons for these problems should be investigated. If necessary, further measurements should be made to confirm the causes of the issues.
(E) Verification of the results. After confirming the cause (or causes) of the abnormality, and after repairing or replacing the machine’s faulty components, it is necessary to observe or measure again to determine whether the abnormality still exists and whether there are any signs of improvement. If the situation has not improved, the above steps must be repeated until the problem is resolved.
The following list summarises the judging criteria for abnormal situations that have traditionally been applied for fault diagnosis on the remote side (or ‘device side’, ‘client side’, or ‘site side’) CMS for the power generator component(s). Usually, a subset of these criteria is sufficient to program the diagnostic function. Appendix A [1,2,3,17,18] presents detailed descriptions.
- Vibrations generated by the generator caused by an uneven magnetic force acting on the rotor or the stator.
- Vibrations generated by the generator or vibrations caused by an abnormal rotor or rotor coils.
- Vibrations generated by the generator or vibrations caused by an abnormal stator or stator coils [1,2,3,20].
- Unbalanced weight of the shaft of the driveshaft [1,2,3].
- Bent shaft of the driveshaft.
- Improper installation of the shaft of the driveshaft [1,2,3].
- Misalignment of the driveshaft with the coupling connecting the machine during installation, causing the machine’s severe vibration [1,2,3,13,14,15].
- Shaft diameter too small during bearing installation, resulting in the bearing’s movement relative to the inner ring of the bearing [1,2,3].
- Poor shoulder angle during bearing installation, resulting in the centre of the inner and outer rings no longer being on the same straight line [1,2,3].
- Ball bearing causing temperature rise and vibration during mounting of the bearing due to insufficient lubrication or improper lubrication viscosity [1,2,3,13,14,15].
- Gearbox [1,2,3,13,14,15,20,21].
- Bearing damage [22,23].
While the faults listed above are mainly mechanical problems that can be judged using vibration signals (with the means of judging these detailed in Appendix A), the acoustic interface is another main interface used to understand whether a wind turbine is faulty, specifically through noise measurements. Appendix B provides further details about this process [1,2,3,17,18]. Theoretically, then, the measurement results from either interface, or both, can be considered [1,2,3,13,14,15,16,17,18,19,21] on the remote side.
However, the following statements are critical for explaining the reasons this research is conducted recording only the vibration data (and not the noise data) on the ‘remote side’ of the CMS and utilising the collected datasets on the ‘server side’.
- Using the datasets recorded from an interface is sufficient. According to the above review summary, vibration and noise are the two interfaces that can be used to understand a wind turbine’s physical deterioration. However, it has been proven that most of the noises generated by a turbine are caused by vibrations.
- The criteria referenced above do not support judging the faulty conditions of the blades as addressed by this study. The experimental results from our extensive laboratory tests performed prior to this study showed that the criteria f above or judging the faulty conditions of power generators were ineffective for those of blades (i.e., they usually resulted in more incorrect judgments than correct ones) on the remote side. We referred to the usual criteria for power generators, and thus they might not be suitable for other components of turbines (even though a turbine always includes at least one generator) (see Section 2.4).
From the above discussion, as using the vibration datasets is sufficient (and using these is better than using the noise datasets due to the causal relationship), and as the traditional criteria for diagnosing a power generator do not apply in diagnosing the component of turbine blades on the remote side, we decided to seek clues to establish the judgement rules from the vibration datasets received and gathered on the server side.
2.4. Developing Wind Turbines: A Briefing
To demonstrate the role of wind turbine blades in designing and maintaining a wind turbine, as a supplemental review, Figure 1 shows the life cycle of wind turbine development.
Figure 1.
The life cycle of wind turbine development.
After a wind turbine is set up, if it becomes inoperable, most wind turbine manufacturers will assert that it was because the turbine was not properly maintained. Then, to argue with the manufacturer, the engineers in a green energy operator company would like to design a simulation program based on a given turbine manufacturer’s model and run it to determine if the design was flawed. However, it is questionable whether or not the operator can successfully request the design drawings and related data for subsequent operations, maintenance, monitoring and analysis from the manufacturer in practice, let alone build up a simulated turbine. Wind turbine manufacturers believe that wind turbine design drawings and related technologies are trade secrets, so technology transfers are impossible for them; a chance of negotiation exists only if the business deal involves a large-scale wind farm. In reality, however, most cases do not contain this possibility, even in a large-scale wind farm construction project (to the authors’ knowledge).
Therefore, based on the operation and maintenance phase in Figure 1, we must rely on the condition monitoring approach using a CMS (both remote side and server side) and perform the repair or replacement tasks (i.e., the unplanned maintenance outside of the regular, periodic maintenance tasks) when this system detects a sudden faulty status of the turbine while it is operating.
Blade design is the most commonly addressed topic in the design phase for wind turbines because it is usually used to distinguish the brand and type of the turbine directly (visually) and because the technologies for the design of all other components (generator, tower, convertor and controller) were mature long before wind turbines appeared. Thus, this study focuses on the detection of blades’ sudden faulty status. Before this, it is necessary to seek clues for establishing the effective rules for the detection process based on the vibration data transmitted to the server side in near real time from the remote side.
An effective CMS providing accurate predictive detections and posing precise warnings for subsequent maintenance by prediction actions cannot proceed without these rules. Strictly speaking, the methods to establish these rules also fall within the scope of the failure and cause-of-failure analyses phase in Figure 1, in addition to the traditional tasks usually defined based upon the testing failures. The next section presents the results obtained from the data analysis, which forms the basis for establishing the rules.
3. Results
In this section, we summarise the process for establishing effective rules and present the key results obtained from the data analysis (omitting the results from the extensive trial analysis). The process follows the methods introduced in Section 4.3 and Section 4.4, while the flows and methods for the experimental conditions, data collection, data preprocessing and data curation processes are detailed in Section 4.1 and Section 4.2.
3.1. Source Datasets and Visualisation
After the collected datasets were preprocessed and curated, the first phase involved visualising the source time-domain datasets, so that observations could be made in order to perform some initial comparisons. For this purpose, the datasets of the vibration data updated on the server-side CMS were sampled and rendered for 3.0-blade (full blades), 2.5-blade, and 2.0-blade wind turbine settings. In Appendix C, a full coverage for these is shown in Figure A1, Figure A2 and Figure A3, respectively. For space reasons, only several subfigures are preserved here in Figure 2, Figure 3 and Figure 4 as example cases, which are plotted for the data being recorded along the X, Y and Z axes subject to the ‘no wind imposed’ setting.

Figure 2.
Acceleration signals recorded for the full (normal) 3.0-blade turbine.
Figure 3.
Acceleration signals recorded for the 2.5-blade (partially broken) turbine.

Figure 4.
Acceleration signals recorded for the 2.0-blade (one blade missing) turbine.
3.2. Using the Local Regression Method (LRM) and the Smooth-Line Approach
Next, based on the first 1024 data entries in each dataset (data sequence), we found the smooth line to represent the trend of the data points using the local regression method (LRM). In Appendix D, we plotted it as a bold blue line in Figure A4, Figure A5 and Figure A6 for different wind-speeds subject to the wind turbine settings of 3.0-blade (full blades), 2.5-blade and 2.0-blade configurations, respectively. For space reason, only several subfigures used for subsequent discussions are preserved here in Figure 5, Figure 6 and Figure 7.

Figure 5.
Magnitude and trend of acceleration for the full (normal) 3.0-blade turbine. (a) Based on datasets recorded along the X axis with no wind imposed. (b) Based on datasets recorded along the Y axis with no wind imposed. (c) Based on datasets recorded along the Z axis with no wind imposed.

Figure 6.
Magnitude and trend of acceleration for the 2.5-blade (partially broken) turbine. (a) Based on datasets recorded along the X axis with no wind imposed. (b) Based on datasets recorded along the Y axis with no wind imposed. (c) Based on datasets recorded along the Z axis with no wind imposed.

Figure 7.
Magnitude and trend of acceleration for the 2.0-blade (one blade missing) turbine. (a) Based on datasets recorded along the X axis with no wind imposed. (b) Based on datasets recorded along the Y axis with no wind imposed. (c) Based on datasets recorded along the Z axis with no wind imposed.
In these visualisations, we used a small grey circle, instead of points, to denote each original data point, so that the intensity of the data points could be observed in terms of their overlaps. Through the presentation of these points, we might easily find that the cycle of a waveform roughly concurs with the interval between the ‘peaks’ or the interval between the ‘valleys’ of the original acceleration data. As seen in most of these figures (except for the acceleration signals recorded along the X-axis and the Y-axis for the 2.5-blade turbine with no wind, i.e., Figure 6a,b), a waveform containing several repeated waves with a highly static time cycle appeared.
However, despite some 2.5-blade cases being distinguished easily, the 3.0-blade cases and the 2.0-blade cases are not dissimilar visually. Therefore, no rule can be established to differentiate these three cases through the eyes till now, let alone this vision-based process lacks a mathematical foundation. Here, only the observed static time cycle is worthwhile, i.e., in each subfigure, each pair of two nearby peaks, or each pair of two nearby valleys, was almost equally spaced, so the interval for nearby peaks or that for nearby valleys was consistent as well.
However, from these graphs we also saw that (1) the number of data points outside the waveform, (2) the degree to which they were outside the waveform, (3) the concentration of these data points and (4) the proportion of data outliers were all different (i.e., they varied from case to case). For example, in general, on the same axis, there were more acceleration data outliers in Figure A5 for the 2.5-blade setting than in Figure A4 for the 3.0-blade setting and in Figure A6 for the 2.0-blade setting.
Take the settings with 0.6 m/s wind-speed arbitrarily as an example. In Figure A5a (upper-right subfigure), there are 14 outliers (out of the first 1024 data entries), according to the normal outlier equations below:
At the same time, in the upper-right subfigure in Figure A4a (no blade broken), imposing the same wind-speed, there is no (0) outlier. And surprisingly, in the upper-right subfigure in Figure A6a (a full blade broken) with the same wind-speed being imposed, there is no (0) outlier either.
In addition, in Appendix D in general, on the X axis and the Y axis, apart from the acceleration magnitude ranges, it seems that accelerations with the 2.0-blade setting (e.g., Figure 7a,b) were more concentrated than those with the 3.0-blade setting (e.g., Figure 5a,b). Combined with the previous observations, these provided further clues for obtaining the effective information for constructing the judgement rules in the next subsection.
3.3. Further Transformation: Resampling and Resmoothing
In this part of the analysis, we found that the initial 1024 data points in each data sample (i.e., the ‘data digest’) were sufficient to establish the final rules to identify the different (faulty) situations of turbine blade malfunction after further data transformations using resampling and resmoothing. After conducting experiments, we also found that resampling eight consecutive data points as a representative one (i.e., eight original sampling time units as a ‘clock’) was appropriate. Therefore, three processes were run as follows.
First, each shortened dataset was resampled using the new clock. We let the original dataset be a(t), where t = was the original sampling time sequence, and then defined the resampled dataset as , where was the redefined clock sequence and . For each clock, the information from the original data was preserved as follows:
where and are, respectively, the mean of the original data sequence on the redefined clock sequence .
Next, the curve-like piecewise line was approached using LRM, and it was in fact a predictor that also produced the ‘theoretical value’ of the acceleration degree at any specified time point t, i.e., P(t). Therefore, when the data was re-considered using a ‘clock’, this clock was also applied to the predictor function. We named this new predictor a function called , where was the redefined clock sequence and . Therefore, could be simply redefined as:
However, in the above equation, the function was identical to because both used local regression as the smoother function.
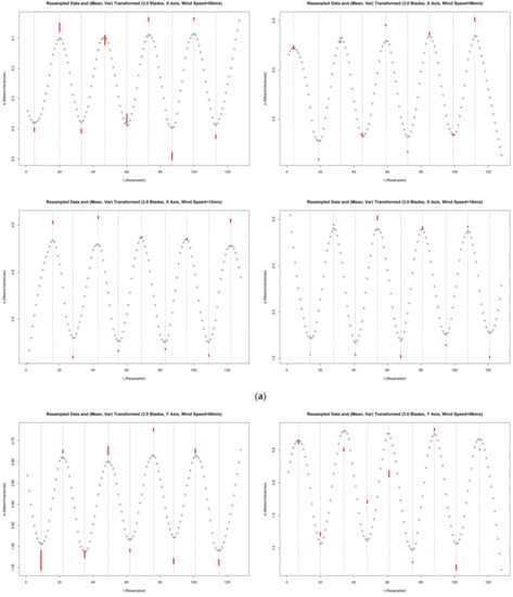
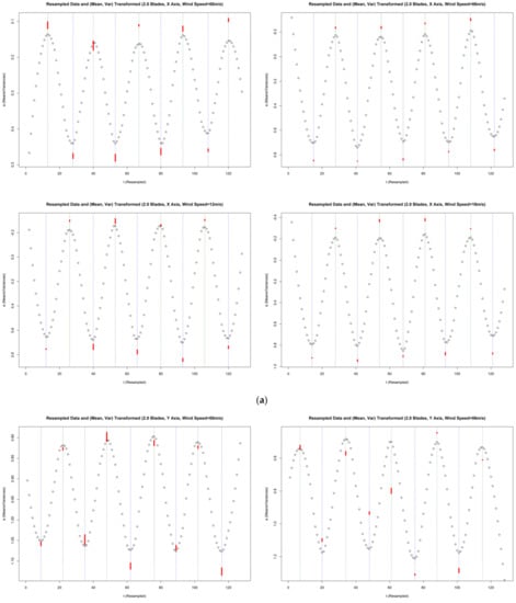
Third, the computational results are rendered in Figure A7, Figure A8 and Figure A9 for the 3.0-blade, 2.5-blade and 2.0 blade settings, respectively. Once again, for these settings, only the no-wind-imposed cases on the 3 axes are presented in Figure 8, Figure 9 and Figure 10 for simplicity. These simplified plots were qualified to clarify the features among the different faulty blade cases and establish the rules to distinguish them automatically.
Figure 8.
Means and peak/valley variances of resampled data for the 3.0-blade turbine. (a) Based on datasets recorded along the X axis with no wind imposed. (b) Based on datasets recorded along the Y axis with no wind imposed. (c) Based on datasets recorded along the Z axis with no wind imposed.
Figure 9.
Means and peak/valley variances of resampled data for the 2.5-blade turbine. (a) Based on datasets recorded along the X axis with no wind imposed. (b) Based on datasets recorded along the Y axis with no wind imposed. (c) Based on datasets recorded along the Z axis with no wind imposed.
Figure 10.
Means and peak/valley variances of resampled data for the 2.0-blade turbine. (a) Based on datasets recorded along the X axis with no wind imposed. (b) Based on datasets recorded along the Y axis with no wind imposed. (c) Based on datasets recorded along the Z axis with no wind imposed.
As can be seen, these plots provided clear ways to compare and establish the rules to identify the two malfunctioning blade cases against that with full blades working normally.
4. Establishment of Rules and Discussion
Based on these results, the rules to judge whether a blade on the wind turbine was half-broken (i.e., the 2.5-blade case), normal with full-blades running (i.e., the 3.0-blade case), or completely missing a blade (i.e., the 2.0-blade case), could be established.
4.1. First Rule to Judge the 2.5-Blade Case
First, certain features of the 2.5-blade cases emerged as salient. From the graphs in Figure A8, e.g., Figure 9b, it was easily observed that many of the 2.5-blade cases had distorted or abnormal waveshapes after the data points (t, a) were smoothly interpolated using LRM, compared to the 3.0 or 2.0 cases in Figure 8b and Figure 10b. An extreme case of this could be seen in the plot for the 2.5-blade, Y axis, no-wind case, while other trivial cases were the 2.5-blade, X axis, no wind; 2.5-blade, X axis, wind-speed = 12 m/s; 2.5-blade, X axis, wind-speed = 18 m/s; 2.5-blade, Y axis, wind-speed = 12 m/s and 2.5-blade, Y axis, wind-speed = 18 m/s cases, as seen in Figure A8. As seen in the figures, almost all of these cases appeared based on the data series recorded on the X and Y axes, despite the level of the peaks/valleys also being slightly jittered based on the data recorded on the Z axis subject to certain wind-speeds, e.g., ‘2.5-blade, Z axis, no wind’ and ‘2.5-blade, Z axis, wind-speed = 18 m/s’.
However, despite its simplicity, a rule based on the visualisation process was difficult to implement because it was established through human-based pattern recognition. For example, to what extent could the so-called ‘distortion’ and ‘abnormality’ be justified for a wave-like plot? Therefore, a numerical rule needed to be established so that an algorithm could be implemented based on the results for automatic detection in the future. This relied on the true mean and variance values of the acceleration source data that corresponded to a peak or valley in a resampled and smoothed waveform, which were displayed as bold vertical red line segments in the plot. Each such line ranged from (mean − variance) to (mean + variance) of a source data slice associated with some peak or valley.
As can be observed, in general, the red line segments were longer in the figures plotted based on the X-axis and Y-axis vibration data subject to the 2.5-blade setting, no matter how great the wind-speed imposed on the turbine, compared to those plotted based on the X-axis and Y-axis vibration data subject to either the 2.0-blade setting or the 3.0-blade setting. Moreover, no such situation was found for the figures plotted based on the Z-axis vibration data subject to the same 2.5-blade setting.
As such, this feature (Rule 1), i.e., occurrences of the long red line segments around the peaks and valleys of the LRM-smoothed and resampled waveform that appear for the X-axis and Y-axis vibration data under different wind-speed settings, can be used to identify whether half (0.5) a blade on the wind turbine, or a part of a blade, is broken (i.e., the 2.5-blade case).
4.2. Second Rule to Judge the 2.0-Blade Case
Next, since the 2.5-blade case could be excluded using the above rule, the remaining problem involved how to distinguish the 2.0-blade (one blade totally missing) case from the 3.0-blade case. A clue to the reasoning was that a turbine having full blades (the 3.0-blade setting) should be heavier than the same turbine with a blade totally missing (the 2.0-blade setting) in the case of no wind (static without other conditions changing). That is, unlike the vibration data recorded along the X axis or Y axis, the Z axis data corresponded to the vertical power (i.e., the weight factor of the turbine) of the turbine interacting with the foundation structure and the land. Therefore, lower accelerations should be detected along the Z axis for a turbine with a full blade missing than for a normal (full-bladed) turbine, and this effect could be clearly compared and displayed when no wind was imposed.
This was reflected in the experimental results. Comparing the acceleration data recorded along the Z axis for the situation with no wind (0 m/s) (see Figure 8c and Figure 10c), the interval of the predicted acceleration values for the 3.0-blade normal case was [–1.4,–2.0] (m/s) (bounded by the peaks and valleys of the waveform). In contrast, the interval of those predictions for the 2.0-blade case was [–1.2,–1.8] (m/s), a lower window.
Therefore, the results supported our theoretical suppositions. These became the second rule to distinguish a turbine with a blade totally missing (i.e., the 2.0-blade case) from a normal turbine (Rule 2): if the case is not ‘a part of a blade is broken’ (which can be detected based on the first rule), the predictive waveform identified from the Z axis data can be used to see whether or not a blade is missing for any possible reason by checking to see if waveform fluctuation of the resampled data, in terms of the interval delimited by the peaks and valleys of the smoothed function (i.e., ), is narrower than usual.
4.3. Discussion
In short, the means and variances of the time-domain data recorded along the X axis or the Y axis around the peaks and valleys of the locally regressed and resampled waveform can be used to determine whether the wind turbine already has a partially broken blade (i.e., the 2.5-blade case). The bold vertical red line segments are measured based on these means and variances, and the extraordinary appearance of these line segments may indicate the faulty 2.5-blade case or perhaps harm to a blade.
Following this rule and excluding the 2.5-blade case, the fluctuation range of the predictive waveform obtained based on the data interval recorded along the Z axis when there is no wind can be used as a measure to distinguish the 2.0-blade case from the normal 3.0-blade case. When this interval rises further upward than usual, the case in which a blade is totally missing (the 2.0-blade case) can be detected.
Combing these two rules, all three of the cases—the normal case and the two faulty cases of wind turbine fan-blade damage—can be explained systematically. As these rules are simple (with limited computational complexity), they can be used to detect these malfunctions almost in real time and to transmit the necessary warning messages to those in charge just in time, given that the vibration datasets for the wind turbines are synchronised routinely (within a short period of time) on the server side of the CMS. This greatly benefits the unplanned maintenance efforts of wind farm operations.
The Circum-Pacific Belt area is prone to super typhoons and strong typhoons, whose wind-speeds may easily reach 150 km/h or above, and thus a situation in which a wind turbine blade breaks apart or falls off completely should not be news to anyone in the green energy industry. Although the proposed set of rules does not fit the case in which a turbine totally collapses (as it is unclear whether the accelerometer and remote-side CMS would still work in this case), in most cases it can serve as a computerised remedy to detect whether a blade is broken or falling off, if the wireless transmission works.
Since another common cause of turbine damage in the studied area involves earthquakes, which are usually as unpredictable as typhoons, the maintenance by prediction mechanism is suggested as a supplement to regular predictive maintenance, even during periods of predictable weather conditions (i.e., to best control that which is controllable). In short, from the above discussions for the Circum-Pacific Belt area and articulating back to the outset of this study (see Section 1.1), it should be clear that the proposed mechanism, even just putting a puzzle piece for detecting the damages on the fan component of a turbine (with respect to the whole integrative perspective of turbine maintenance), can improve the operating efficiency of turbines. This reduces the maintenance costs and benefits the unplanned maintenance of wind farm operations.
Note that in terms of digital signal processing (DSP), we established the set of detection rules based on the converted (original) time-domain data, rather than the data in any other domain, e.g., frequency-domain data. Doing so not only maintains simplicity for future implementation and makes the entire process faithful to the original data but also avoids possible ambiguity. For example, if the upper and lower limits of the predictive waveform window determined by the peaks and valleys are logged, it becomes harder to examine whether there has been an upward shift in the interval from the 3.0-blade setting to the 2.0-blade setting (i.e., for the second rule) just because the window in the logged domain would become narrower.
4.4. Extensive Materials
This subsection provides extensive descriptions for how the rules are justified using tabularised quantitative information.
Table 1 digests how the first rule was established in Section 4.1, based on the resampled, resmoothed, and mean–var. transformed data on the X axis (see Section 3.3 and Figure A7a, Figure A8a and Figure A9a), with the setting that wind-speed (WS) = 6 m/s. Table 2 is numerically presented on the Y axis (see Section 3.3 and Figure A7b, Figure A8b and Figure A9b), because rule 1 says that using the information either on the X-axis or on the Y-axis is okay.
Table 1.
Resampled, resmoothed mean–var. transformed data on the X axis (WS = 6 m/s). (a) Min/var. peak/valley Stats for the 3.0-blade turbine. (b) Min/var. peak/valley stats for the 2.5-blade turbine. (c) Min/var. peak/valley stats for the 2.0-blade turbine.
Table 2.
Resampled, resmoothed mean–var. transformed data on the Y axis (WS = 6 m/s). (a) Min/var. peak/valley stats for the 3.0-blade turbine. (b) Min/var. peak/valley stats for the 2.5-blade turbine. (c) Min/var. peak/valley stats for the 2.0-blade turbine.
In these tables, ID is the number of the data entry in the resmoothed and resampled dataset in 3.3, based on the retrieval of the initial 1024 signals of each data sequence in 3.2. For example, in Table 2b, the ‘Mean’ and ‘Var.’ for ‘ID’ = 12 means the data entries with clocks [(12 − 1) × 8, (12) × 8 − 1] in the source accelerometer data sequence (which is 0-started) have a mean value of 1.145866 and a variance of 0.154981. ‘Peak’ = 0 and ‘Valley’ = 1 means that a valley appears here (as can be seen, in this table, entries that are neither a peak nor a valley in the figure are not shown here), and this valley is having a value delimited by [‘Valley Top’, ’Valley Bot.’] = [0.990884, 1.300847], while the ‘Valley Range’ of it is 0.309963. For this identified extreme, ‘Peak Top’, ‘Peak Bot.’ and ‘Peak Range’ do not receive any value because they are not peaks (see also in the corresponding subfigure in Figure A8b).
Rule 1 is obvious from these tables. Along the X or Y axis, either the peak range or the valley range of the 2.5-blade turbine is far greater than the peak range or the valley range of a 3.0-blade turbine or a 2.0-blade turbine. This is more salient when a total summary for all cases and the average is given in Table 3 (e.g., when wind-speed = 6 m/s, on Y axis, 0.072865 (2.5-blade) >> 0.018713 (3.0-blade) > 0.017087 (2.0-blade); 0.187026 (2.5-blade) >> 0.01901 (3.0-blade) > 0.016757 (2.0-blade)). That is, for a 2.5-blade turbine, the variance at the peak or valley along the X or Y axis is at least triple or more than the 3.0-blade or 2.0-blade cases.
Table 3.
Summary for peak/valley information for all cases.
Finally, Rule 2 should also be obvious from these tables. See in Table 3. For the 3.0-blade settings, on the Z axis, from the average of all valley values to the average of all peak values (i.e., the fluctuation), the numbers are 2.034987, 3.076206, 3.185465 and 3.424772, respectively, imposing the four wind-speeds. However, for the 2.0-blade settings, on the same axis, these numbers are 1.869613, 2.928724, 3.110773 and 3.074410, respectively. All of these numbers are below those of the 3.0-blade settings (while other settings are identical) by 7% (8.8%, 5%, 2.4% and 11.4%) in average. This quantified rule can be applied, and the reason for this is related to electromechanical conversion: more electricity is produced by the wind turbine when no blade is missing.
5. Conclusions
Green energy has become a major power source over the past two decades. Wind does not pollute and is currently one of the most promising clean and inexhaustible energy sources for power generation [24]. Recent advances in wind energy production have helped to solve practical problems [25] and improve quality of life [26]. Due to the torsional and flexural coupling of the pre-bent blades, the dynamic characteristics of blades made from orthotropic composite materials with conical pre-torsion are much more complex than those of isotropic blades. On the other hand, this means that—compared to other components of a wind turbine whose designs have had time to mature—the relevant technologies and designs for the fan blades are relatively new.
Condition monitoring and fault diagnosis of wind turbines have gained more and more practical value for reducing maintenance costs and improving wind farms’ operational efficiency [27], because more and more wind farms are being constructed and operated globally. Thus, the market has become competitive, and wind farm operators usually need to reduce their operating and maintenance costs in order to make their operations more profitable, and to maintain the sustainable competitive advantage (SCA) of the company, the maintenance strategies must be effective as operations continue. Due to these drivers, the condition monitoring and early fault diagnosis of wind turbines have become required industrial practices because they help improve the reliability and productivity of wind farms [28].
Due to the high maintenance costs (and efforts) incurred, the failure of wind turbine blades during the operation and maintenance phases has become a major problem for the wind power industry. Therefore, the utilisation of quality real-time data [29] and the development of methods to monitor the turbine blades’ integrity is critical [30] because of the novelty of the blades’ designs (which also determine the feature(s) of some turbine types of certain turbine brands).
In order to detect blade damage, after a review, we found that vibrations and noises are the two interfaces through which to determine mechanical faults, and the signals these carry can be analysed to determine the cause of the event. However, after long laboratory trials, we also found that taking these signals and using the existing justification criteria from research on power generators is infeasible and ineffective for diagnosing fan-blade faults using CMS with the wind turbine on the remote side. The rules (criteria) for detecting faulty situations therefore had to be reconsidered, and the idea of detecting faults using remote-side CMS with limited computation power had to be abandoned.
This led to the idea to establish effective new rules for the server-side CMS to detect faulty situations based on the vibration data transmitted and updated from the remote-side CMS, because using the datasets recorded from an interface were sufficient and using the interface recording vibrations would be better. This resulted in the creation of a new plug-in for the failure and cause-of-failure analysis module on the server-side CMS, which detects sudden faulty events and types of fan-blade damage in almost real time (see Figure 1). It can then send an alert message via SMS or email to the engineers on duty, so that they can make repairs immediately.
In this sense, it may help to establish a maintenance by prediction mechanism for unplanned maintenance when any fan blade is out of order, which supplements the common planned tasks carried out for the preventive maintenance of the fan blades. Despite the suggested mechanism playing a supplementary role to regular preventive maintenance being the main possible contribution, it should be particularly noted that this point is also exactly the boundary of this study, i.e., no work related to traditional preventive maintenance is presented. Another boundary of the study should be that the mechanism suggested by this study is for turbines having blades made of isotropic materials (because of current experimental limitations), so there is still room for exploring whether or not it still holds (or is there any other more effective mechanism) for those turbines having orthotropic blades.
All of this relies on the effective rules established to identify the 3.0-blade (full blade or normal), 2.5-blade (half or part of the blade broken) and 2.0-blade (one blade totally missing) cases while the turbines are operating. Fortunately, with the help of a contemporary data-driven approach and the adoption of suitable data processing/analysis methods in both DSP and statistics, we found that watching a continuous (but short, in terms of sampling time) sequence of the vibration dataset was sufficient to establish these rules. Fortunately, despite the considerable time and effort put into the data experiments to determine the rules, these rules are not difficult to implement on any given CMS, because:
(1) No real domain transformation is required, and only data conversions happen: the rules work with the data in the source domain, with just a few conversions (rather than transformations) of the data required for the computation;
(2) The rules are data-pattern-based, rather than learning-based: fixed judgements are made on the observable patterns or characteristics in the converted data, so no other processes, such as training, verifying, or parametric tuning efforts, are needed; and
(3) The rules are simple: only two rules are included (and required) to make the judgements, and they are simple, so they can be designed as additional functions of the CMS without utilising significant run-time computational resources.
The real use of these rules on the server-side CMS is expected in the future, and their true value will be shown when the unplanned maintenance by prediction tasks is someday carried out for the turbine blades. We sincerely hope that in the future, these rules can benefit not only the company operating the wind farms but also the entire wind turbine industry. They have the potential to change the ways people approach CMS design for wind turbines, as the effectiveness of data-driven server-side fault diagnostics has been made evident in this study. Finally, while the proposed mechanism works for shoreside wind turbines, a similar logic can be generalised to other wind turbines (e.g., offshore or inland) as well.
Author Contributions
Conceptualization, funding acquisition, methodology, writing—original draft preparation, M.-H.H. and Z.-Y.Z.; data curation, software (data experiments), writing—review and editing, visualization, Z.-Y.Z.; formal analysis, investigation (physical experiments), validation, M.-H.H. All authors have read and agreed to the published version of the manuscript.
Funding
This research was funded by National Science and Technology Council, Taiwan, ROC (‘Ministry of Science and Technology’ or ‘MOST’ before July 2022), under grants MOST-109-2221-E-346-001, MOST-110-2410-H-992-020 and MOST-111-2410-H-992-011.
Data Availability Statement
This research did not use publicly archived datasets.
Conflicts of Interest
The authors declare no conflict of interest.
Appendix A
(C1) The vibration generated by the generator is caused by an uneven magnetic force acting on the rotor or the stator. In the case of vibration caused by the impulse torque, the induction motor essentially generates a pulsed torque and causes vibration, and impulse torque is thus generated. It is the result of rotating the magnetic field to actuate the poles of the stator. Since each stator pole is actuated twice when the AC power source completes a cycle, the resulting vibration frequency is twice that of the AC power source. That is if the frequency of the AC power used is 60 Hz, the vibration frequency of the impulse torque is 120 Hz. This type of vibration due to pulsed torque is often not significant unless the motor needs to operate in a relatively low vibration environment or because the pulsed torque vibration frequency matches the tower’s natural frequency or blade body frame. When an abnormal phenomenon occurs, however, it must be dealt with. The magnitude of the vibration caused by the impulse torque depends on the evenness of the rotor winding. The more uniform the rotor winding, the lower the vibration value of the impulse torque. Therefore, for more demanding applications, good uniformity of windings should be required during a motor’s manufacturing. Moreover, when the rotor winding rod is loose, or the stator winding is open, it will generate 2×, 3×, or even a higher multiple of the vibration frequency at the pulse torque frequency, i.e., 120 Hz and 180 Hz will be generated in the frequency spectrum analysis.
(C2) Vibrations generated by the generator or vibrations caused by an abnormal rotor or rotor coils. The causes of faults within the generator related to the rotor coil can consist of issues such as a rotor winding bar break, a rotor winding open or short circuit, rotor deflection, rotor eccentricity, and so on. The vibrations caused by the causes mentioned above of the fault will all be unstable. In other words, if the amplitude is measured with a vibrating instrument, the pointer or digit on the instrument will oscillate continuously. It will be a single-frequency vibration due to the causes of malfunction; the amplitude will be modulated. This modulation phenomenon is based on the reasons mentioned above of failure, which causes the imbalance of the magnetic forces between the upper and lower magnetic poles and between the rotor coil and the permanent magnet. Suppose a two-pole induction rotor is winding breaks when the generator’s stator winding is actuated by AC power to generate a magnetic field. In that case, the broken part of it will be precisely aligned with the magnetic pole in a specific direction. At this moment, the current will reach a maximum value. That is, the magnetic force of the magnetic pole will be at its maximum; the magnetic pole of the other pole of the stator will act on the rotor with the maximum magnetic force. However, due to the induced magnetic poles, the rotor corresponding to one pole will be intact. The rotor corresponding to the other bar will be fractured, so the two poles’ magnetic force will not be equal, resulting in an unbalanced force being generated between the rotor and the stator. Meanwhile, the broken wire rod gradually moves away from the magnetic field, which no longer precisely aligns with the magnetic pole in either direction. Then, the magnetic force difference between the two pole-operated rotors will be reduced, and the vibration force will be reduced. As a result of this cyclic operation, the vibration amplitude generated by the rotor will form a periodic vibration, and the vibration frequency will be the rotational frequency of the magnetic field, not the rotational frequency of the rotor.
(C3) Vibrations generated by the generator or vibrations caused by an abnormal stator or stator coils. If the motor problem occurs in the winding of the stator of the generator, the frequency of the vibration generated by the generator will be the frequency of the magnetic field, but its amplitude will not be. In other words, there is a modulation phenomenon. However, abnormal vibrations appearing on a stator or stator coils often have pulsating amplitudes. This pulsation is not the result of amplitude modulation, but rather the result of a slap phenomenon caused by two very similar vibration waveforms. The stator-related faults are usually caused by stator windings or short circuits, gaps of different sizes, and phase imbalances. If the vibration problem associated with the stator produces a pulsation amplitude, it needs two vibration amplitudes near each other in their frequency spectrum. One of the vibrations of the two near-frequency frequencies may be the vibration of the rotation shaft frequency caused by an imbalance of the shaft or poor centring of the post, while the motor factor will cause the pulse of the other frequency. Since the frequency of the shaft factor is very close to the electrical equipment’s frequency, the two’s vibration amplitude will be alternately added or subtracted at the rate of the difference between the two frequencies. It causes the motor to produce a significant slap phenomenon. As a result, amplitude ripples are formed. Suppose you want to determine the pulsation amplitude. In that case, regulated by the amplitude of a single frequency or by the result of adding two very similar vibration frequencies, you can use the internal key amplification function of the frequency analyser. First, amplify the frequency coordinate axis. Then, analyse the frequency spectrum near the shaft rotation frequency. If the frequency-axis amplification analysis shows that there are two closely related vibration frequencies stacked together, the cause of the pulsation in the amplitude can be determined to be caused by a slap phenomenon. If the frequency is amplified, there is still only a single frequency. A significant up-and-down variation in the spectrum analyser’s amplitude causes the pulsation amplitude, which is the result of the modulation.
(C4) Unbalanced weight of the shaft of the driveshaft. When the shaft quality is not uniform due to the centrifugal force after the rotation, the wind turbine drive mechanism generates vibration. This unbalanced phenomenon is caused by factors such as non-uniformity in the structure of the shaft during the manufacturing process or shape asymmetry during the processing. Because of the unbalanced vibrations, radial vibrations occur. Therefore, the amount of vibration in each direction is measured. The amplitude ratio in the horizontal, vertical, and axial directions is 5:4:1, and the amplitude is proportional to the unbalanced mass. The vibration frequency based on the imbalance is one time the rotating frequency of the rotating shaft. Therefore, for the frequency spectrum analysis, the primary vibration frequency and speed are the same for determining the unbalanced force’s vibration. However, in addition to the imbalance, many vibration frequencies are the same as the vibration speed. Therefore, pure spectrum analysis often cannot determine the vibration of this one-time rotational speed, which is purely due to the imbalance phenomenon. If supplemented by phase analysis, however, the imbalance phenomenon is apparent. When the phase analysis is applied, the radial phase on the bearing seats at both ends of the shaft can be measured. The vibration value and phase can be measured at a position separated by 90°, and the results of corresponding measurements of the two bearing blocks can be compared. If the stage measured by the 90° position is different by about 90° and the vibration amount calculated by the two bearing housings is a ratio, it can be determined that this vibration frequency is generated by the unbalanced force.
(C5) The shaft of the driveshaft is bent. Due to a lack of precision in its manufacturing or external force being applied during transportation and installation, the transmission shaft may cause the shaft to bend. This bending may occur at the midpoint of the distance between the two bearings or at one of the paths. This will cause the shaft to have higher vibration in the axial direction. If the beam’s bending occurs at the centre of the distance between the two bearing seats, the axial vibrations derived from it will arise in both the free end and the bearing’s load end. If the shaft’s bending occurs at the load end of the post passing through the path, the load end’s bearing will measure higher axial vibration than the free end. The spectrum analyser’s pulse is generated by the beam bending phenomenon to find that the primary vibration frequency is double the rotation speed. Sometimes, it is accompanied by a slight dual rotation frequency. If we want to perform further analysis, we need to supplement the above analysis with a phase analysis to confirm its results. In general, when the shaft bending position is at the centre of the two bearings, the corresponding axial phases measured by both approaches are 180° out of step with each other, and the shaft is twisted so that it is measured at different positions on the bearing housing. The phases are different. When the shaft bending position is at the bearing or the bearing’s outer end, the stage measured by the direction at the load end is different from the degrees measured in other paths, but the step is measured at the free end is the same at each position.
(C6) Improper installation of the shaft of the driveshaft. Poor installation of the shaft can be attributed to material-processing factors and installation techniques. When the rotary shaft is processed, the journal’s roundness may be unsatisfactory due to a lack of precision, and ellipses or triangles may be generated, resulting in a subpar installation. The vibration caused by such a lack of roundness mainly occurs in the radial direction, horizontal or vertical. For an elliptical journal, measuring its phase angle will produce a phase difference of 180° between the horizontal and vertical directions. Still, below the vertical direction, the phase of the measured phase and the other directions will be 180° out of phase. If the frequency spectrum analyses the vibration frequency, it will be found that the main vibration frequency at the elliptical ellipse is twice the rotational frequency. The primary vibration frequency when the journal is triangular will be triple the rotational frequency. When the shaft is installed, if the shaft’s centreline cannot be installed parallel to the centreline of the two bearing seats, it will result in poor centring. When the post has a poor centring, it will produce a higher vibration in the axial direction. When the axial vibration is more generous than 1/2 of the radial (horizontal or vertical) vibration, various problems may result. If a spectrum analysis is performed, it can be found that the vibration frequency of the shaft centre is poor. In addition to indicating 1.0 times the speed, there will be 2.0 times or 3.0 times the rotation frequency, and the phases of the two bearings’ corresponding points will be 180° out of phase. For the bearing measurement horizontal and vertical phases, the phase angles will also have a difference of 180°.
(C7) When the transmission shaft is misaligned with the coupling connecting the machine during installation, it will cause the machine to vibrate violently. Generally, there are two types of misalignment: misaligned misalignment and low centripetal misalignment. Decentralization and angling do not occur at the same time. When a machine has a poor centring, it will produce high axial vibration values, and the frequency spectrum shown in the analysis of the vibration frequency will, in addition to being double the speed, have twice or three times the speed frequency. If the form of the poor centring is poor, the phase angle of the corresponding point of the bearing on both sides of the coupling is measured at the phase angle, and the horizontal phase is 180° out of phase. If the bad machine core part’s pattern is a purely eccentric type, the vertical phase of the corresponding point will also differ by 180°. When the axial vibration is more than half the horizontal vibration, it is necessary to pay attention to whether the image’s adverse effect is bad or the coupling is damaged. When the coupling is damaged, loosening occurs in the coupling portion due to the excessive clearance, and in the frequency spectrum analysis, there will be an abnormal vibration at a multiple of the rotational speed frequency that is the same as the number of coupling claws. If the cause of the diagnosis’s vibration is caused by poor coring, the axis centring correction must be done appropriately. If the coupling is damaged, the coupling needs to be replaced.
(C8) When the bearing is installed, the shaft diameter may be too small, resulting in the bearing’s relative movement and the inner ring of the bearing. The bearing seat’s diameter may be too little, causing the path to slip during operation. When this phenomenon occurs, the horizontal and vertical directions will produce more severe vibrations. For spectrum analysis, harmonic vibration frequencies with an integer multiple speeds will be generated in the low-frequency range. This harmonic frequency is based on the mains frequency or the pulsed torque frequency. The resulting harmonic vibration of the magnetic field frequency is caused by the air gap.
(C9) When the bearing is installed, the shoulder’s angle may not be good, resulting in the centre of the inner and outer rings no longer being on the same straight line. Rotating causes the motor-transmission mechanism to generate a large axial force due to this twisting. A significantly higher level of noise will accompany the amount of vibration during operation. When spectrum analysis is performed, it will show that the vibration amplitude of the spindle-rotation speed is increased. If a phase analysis is performed, the axial phase will be 90° apart every 90°.
(C10) When the bearing is mounted, the ball bearing can cause temperature rise and vibration due to insufficient lubrication or improper lubrication viscosity. In the diagnostic analysis, if the fan temperature is found to be above 30 °C above the ambient temperature, it suggests that there is poor lubrication. Sleeve bearings, on the other hand, tend to wear with the shaft and cause loosening. This loosening phenomenon will cause the wind turbine to produce eccentricity and poor centring, and different vibration patterns. Frequency spectrum analysis of the vibration frequency will be accompanied by a harmonic frequency of twice or a high multiple of its radial and axis, in addition to a doubling of the number of revolutions. There will also be no relation to the phase. As for gasification bearings, abnormal vibration may occur due to the intrusion of foreign matter. Since a magnetic field’s action forms the rotation of a gasification bearing, if foreign matter invades, the rotation speed of the wind turbine will be unstable, and it may even stop due to failure. In the spectrum analysis, it can be found that its central frequency will be intricate and cluttered, such that it is almost impossible to stabilise. Moreover, if the average signal function is applied, noise cannot be eliminated. This phenomenon is caused by the intrusion of foreign material into the gasification bearing, which results in varying rotation speed.
(C11) Gearbox. The wind turbine drives the rotating shaft by rotating the blades through the winds provided by nature. The initial low speed accelerates the rotating shaft via the speed-change gearbox, and the output is driven by the high-speed rotating shaft to drive the generator. Gearboxes play an essential role in wind power transmission systems, usually using a third-order parallel shaft gear drive. They also have a transmission mechanism designed as a hybrid of a third-order planetary gear and a helical gear. A wind turbine generator gearbox is affected by wind power generation and is subjected to extreme loads. It is also deployed in harsh environments. Its frequent faults and breakdowns are time-consuming to repair, resulting in a heavy operational burden. In general, wind turbine gearbox failures, the causes of which are complex, will not damage a single part, but rather a chain effect of damage across multiple parts. For example, when the gearbox’s oil fails, its bearings will be damaged by wear and tear, which will gradually affect the gear, causing it to crack, eventually leading to gearbox failure. The gearbox structure and components are large and complex, easily causing the deformation of the gearbox housing and the main driveshaft. When starting up, it is easy to cause wear on the gearbox bearings and cause the post’s eccentricity to run in an unbalanced manner, causing excessive vibration and noise.
The vibration frequency caused by gearbox meshing during transmission is much higher than the vibration frequency generated by an unbalanced shaft and poor centring of the gear. When the gearbox fault causes vibration or noise, the analysis of its frequency occurs at the spindle speed and is based on the shaft’s number of teeth. Besides, when the two corresponding motion gears mesh, the contact point collision is rigid and rapid, and it efficiently induces the gear vibration’s harmonic frequency. Measuring the vibration signal of the gearbox requires two sets of probe sensors. One set of probes is mounted on the bearing to measure the gear transmission shaft’s vibration signal and the bearing, and the other set of probes is fixed on the gear section near the gear mesh. The meshing frequency is the number of teeth multiplied by the number of revolutions. Usually, the gears’ meshing frequency is not much larger than the frequency of one frequency, and a large amount of vibration often occurs at twice the frequency. When the gear is engaged, the clearance between the two teeth is too large, or the rotating shaft is too loose in the bearing, there will be a loosening phenomenon during the transmission. Under these circumstances, the vibration frequency will be 0.5 times the meshing frequency. Analysing the spectrum of the complicated gearbox and studying the damage and cracking of gears, inverse Fourier analysis can be used to invert the Fourier function of the frequency domain into the time domain to calculate the defect position. The weight of a wind turbine’s gearbox can be as much as 15 tons. If the structure is deformed during installation, the base vibration will cause the gearbox to cause abnormal wear, gear eccentricity, and shaft bending. The cause of vibration due to gear deterioration is typically improper lubrication or insufficient lubrication or even the oil’s infiltration of metal impurities, all of which will allow the gearbox is operating temperature to increase, causing tooth surface wear or the intrusion of foreign matter or dust particles in gear. Relatedly, the excessive, long-term intrusion of salt into the gearbox will cause pitting on the tooth surface and even cracking of the teeth.
(C12) Bearing damage. The bearings mounted on a wind turbine drive mechanism consist of ball bearings, sleeve bearings, and gasification bearings. These bearings are often inaccessible due to handling, installation, or miscellaneous infiltration. They operate at high temperatures or high loads for a long time and have insufficient lubrication or wear. The resulting flaws can cause other defects to appear on the inner and outer ring raceways or rolling elements and retainers in ball bearings. According to the relative speed calculation, when any kind of bearing assembly is damaged, there is a specific rate. This particular frequency is the frequency at which the ball rolls over the inner and outer rings. This relative rolling frequency often occurs when the bearing is subjected to a local load. Therefore, in a frequency spectrum analysis, the passing frequency of the low frequency is often filtered out, and the frequency band of the high frequency generated by the crucible is used. Then the absolute value and envelope processing are applied. In other words, when there is a ball-rolling frequency through the frequency spectrum, it means that the bearing has a high-frequency vibration due to impact, and the specific frequency generated when the ball bearing components are damaged.
Appendix B
Noise measurement of wind turbines. The noise generated by wind turbines is itself a kind of sound, so it has all the characteristics of a sound. The vibration of an object causes a sound. Energy is then transmitted through a given elastic medium in the form of sound waves. Therefore, all the factors that cause the vibration of a rotating machine body or cause the pressure field of a transmission medium to change are all mechanical equipment noise sources. When a wind generator is in regular operation, the blades generate periodic noise due to the pulsating force of the outlet’s uneven flow. On the other hand, due to the uneven distribution of the pressure on the blades themselves, the surrounding gas and components’ disturbance during rotation also constitutes rotational noise. The turbulent pressure distribution on the blades causes turbulence noise due to the turbulent flow, airflow, and vortex shedding generated when the gas flows through the blade. The low-frequency sound is generated by the wind turbine results from this. Large-scale wind turbines have a small number of diaphragms. Under regular operation, there are not many turns, so low-frequency sounds occur. If one measures the fundamental frequency f (Hz) of the noise of the wind turbine, then the following relationship exists between the speed of the wind fan R (rpm) and the wind turbine blade Z (pieces): (Hz).
Appendix C
The sampled datasets of the vibration data updated on the server-side CMS were rendered for 3.0-blade (full blades), 2.5-blade and 2.0-blade wind turbine settings.



Figure A1.
Acceleration signals recorded for the full (normal) 3.0-blade turbine. (a) Data recorded along the X axis with different wind-speeds imposed. (b) Data recorded along the Y axis with different wind-speeds imposed. (c) Data recorded along the Z axis with different wind-speeds imposed.


Figure A2.
Acceleration signals recorded for the 2.5-blade (partially broken) turbine. (a) Data recorded along the X axis with different wind-speeds imposed. (b) Data recorded along the Y axis with different wind-speeds imposed. (c) Data recorded along the Z axis with different wind-speeds imposed.


Figure A3.
Acceleration signals recorded for the 2.0-blade (one blade missing) turbine. (a) Data recorded along the X axis with different wind-speeds imposed. (b) Data recorded along the Y axis with different wind-speeds imposed. (c) Data recorded along the Z axis with different wind-speeds imposed.
Appendix D
We plotted each result (obtained from LRM) as a series of piecewise linear line segments using the ‘connect the dots’ method as a bold blue line in Figure A4, Figure A5 and Figure A6 for different wind-speeds subject to the wind turbine settings of 3.0-blade (full blades), 2.5-blade and 2.0-blade configurations, respectively. In each figure, the plots were divided into three groups, i.e., the X-axis, Y-axis and Z-axis groups, and each group includes subfigures plotted for the no-wind (0 m/s), 6 m/s, 12 m/s and 18 m/s wind-speed settings.


Figure A4.
Magnitude and trend of acceleration for the full (normal) 3.0-blade turbine. (a) Based on datasets recorded along the X axis with different wind-speeds imposed. (b) Based on datasets recorded along the Y axis with different wind-speeds imposed. (c) Based on datasets recorded along the Z axis with different wind-speeds imposed.


Figure A5.
Magnitude and trend of acceleration for the 2.5-blade (partially broken) turbine. (a) Based on datasets recorded along the X axis with different wind-speeds imposed. (b) Based on datasets recorded along the Y axis with different wind-speeds imposed. (c) Based on datasets recorded along the Z axis with different wind-speeds imposed.


Figure A6.
Magnitude and trend of acceleration for the 2.0-blade (one blade missing) turbine. (a) Based on datasets recorded along the X axis with different wind-speeds imposed. (b) Based on datasets recorded along the Y axis with different wind-speeds imposed. (c) Based on datasets recorded along the Z axis with different wind-speeds imposed.
Appendix E
The computational results after resampling and resmoothing for all wind-speed cases on all axes are rendered in Figure A7, Figure A8 and Figure A9 for the 3.0-blade, 2.5-blade and 2.0 blade settings, respectively.

Figure A7.
Means and peak/valley variances of resampled data for the 3.0-blade turbine. (a) Based on datasets recorded along the X axis with different wind-speeds imposed. (b) Based on datasets recorded along the Y axis with different wind-speeds imposed. (c) Based on datasets recorded along the Z axis with different wind-speeds imposed.

Figure A8.
Means and peak/valley variances of resampled data for the 2.5-blade turbine. (a) Based on datasets recorded along the X axis with different wind-speeds imposed. (b) Based on datasets recorded along the Y axis with different wind-speeds imposed. (c) Based on datasets recorded along the Z axis with different wind-speeds imposed.

Figure A9.
Means and peak/valley variances of resampled data for the 2.0-blade turbine. (a) Based on datasets recorded along the X axis with different wind-speeds imposed. (b) Based on datasets recorded along the Y axis with different wind-speeds imposed. (c) Based on datasets recorded along the Z axis with different wind-speeds imposed.
References
- Hsu, M.H.; Hsia, S.Y.; Chou, Y.T.; Chu, H.M.; Cheng, J.W. Fault Diagnosis of Offshore Wind Power Generation Systems; Project Proposal; Ministry of Science and Technology: Taiwan, China, 2014.
- Tan, J.B.; Hsu, M.H. Diagnosis of Faults in Wind Power Generation Systems. In Proceedings of the IEEE Conference on Industrial Electronics and Applications (ICIEA), Hefei, China, 5–7 June 2016; pp. 1459–1462. [Google Scholar]
- Tan, J.B.; Chao, C.C.; Lin, M.C.H.; Hsu, M.H. Wind Turbine Monitoring Warning Device. In Proceedings of the IEEE Conference on Industrial Electronics and Applications, Siem Reap, Cambodia, 18–20 June 2017; pp. 510–515. [Google Scholar]
- Benbouzid, M.; Berghout, T.; Sarma, N.; Djurović, S.; Wu, Y.; Ma, X. Intelligent Condition Monitoring of Wind Power Systems: State of the Art Review. Energies 2021, 14, 5967. [Google Scholar] [CrossRef]
- Natili, F.; Daga, A.P.; Castellani, F.; Garibaldi, L. Multi-Scale Wind Turbine Bearings Supervision Techniques Using Industrial SCADA and Vibration Data. Appl. Sci. 2021, 11, 6785. [Google Scholar] [CrossRef]
- Papi, F.; Cappugi, L.; Salvadori, S.; Carnevale, M.; Bianchini, A. Uncertainty quantification of the effects of blade damage on the actual energy production of modern wind turbines. Energies 2020, 13, 3785. [Google Scholar] [CrossRef]
- Santolamazza, A.; Dadi, D.; Introna, V. A data-mining approach for wind turbine fault detection based on SCADA data analysis using artificial neural networks. Energies 2021, 14, 1845. [Google Scholar] [CrossRef]
- Gonzalez, E.; Nanos, E.M.; Seyr, H.; Valldecabres, L.; Yürüşen, N.Y.; Smolka, U.; Muskulus, M.; Melero, J.J. Key performance indicators for wind farm operation and maintenance. Energy Procedia 2017, 137, 559–570. [Google Scholar] [CrossRef]
- Ackermann, T.; Söder, L. Wind energy technology and current status: A review. Renew. Sustain. Energy Rev. 2000, 4, 315–374. [Google Scholar] [CrossRef]
- Manwell, J.F.; McGowan, J.G.; Rogers, A.L. Wind Energy Explained: Theory, Design and Application; John Wiley & Sons: Hoboken, NJ, USA, 2010. [Google Scholar]
- Crawford, C.A. An Integrated CAD Methodology Applied to Wind Turbine Optimisation. Ph.D. Thesis, Massachusetts Institute of Technology, Cambridge, MA, USA, 2003. [Google Scholar]
- Zhong, L.; Gu, D.; Lai, Y.; Wu, L. Optimal damper design for tuning vibration of the mass damper to the base. Struct. Eng. 2012, 27, 70–90. [Google Scholar]
- Brune, C.S.; Spee, R.; Wallace, A.K. Experimental evaluation of a variable-speed, doubly-fed wind-power generation system. IEEE Trans. Ind. Appl. 1994, 30, 648–655. [Google Scholar] [CrossRef]
- Hilloowala, R.M.; Sharaf, A.M. A rule-based fuzzy logic controller for a PWM inverter in a stand-alone wind energy conversion scheme. IEEE Trans. Ind. Appl. 1996, 32, 57–65. [Google Scholar] [CrossRef]
- Simoes, M.G.; Bose, B.K.; Spiegel, R.J. Design and performance evaluation of a fuzzy-logic-based variable-speed wind generation system. IEEE Trans. Ind. Appl. 1997, 33, 956–965. [Google Scholar] [CrossRef]
- Cory, W.T.W. Overview of condition monitoring methods with emphasis on industrial fans. Proc. Inst. Mech. Eng. Part A: J. Power Energy 1991, 205, 225–240. [Google Scholar] [CrossRef]
- Yan, R.; Gao, R.X. Hilbert–Huang transform-based vibration signal analysis for machine health monitoring. IEEE Trans. Instrum. Meas. 2006, 55, 2320–2329. [Google Scholar] [CrossRef]
- Bruel and Kjær. Machine Health Monitoring Using Vibration Analysis; Bruel and Kjær: Nærum, Denmark, 1988. [Google Scholar]
- Chang, H.C.; Lin, S.C.; Kuo, C.C.; Lin, C.Y.; Hsieh, C.F. Using neural network based on the shaft orbit feature for online rotating machinery fault diagnosis. In Proceedings of the 2016 International Conference on System Science and Engineering (ICSSE), Puli, Taiwan, 7–9 July 2016; IEEE: Piscataway, NJ, USA, 2016; pp. 1–4. [Google Scholar]
- Lin, S.C.; Chang, H.C.; Kuo, C.C.; Hsu, T.C.; Shen, W.C. Assessing Motor Conditions by Using Electrical and Vibrational Detection Methods. In Proceedings of the 2015 Conference on Engineering and Natural Sciences Conference, Tokyo, Japan, 3–5 February 2015; pp. 41–58. [Google Scholar]
- Tandon, N.; Choudhury, A. A review of vibration and acoustic measurement methods for the detection of defects in rolling element bearings. Tribol. Int. 1999, 32, 469–480. [Google Scholar] [CrossRef]
- Kıral, Z.; Karagülle, H. Vibration analysis of rolling element bearings with various defects under the action of an unbalanced force. Mech. Syst. Signal Process. 2006, 20, 1967–1991. [Google Scholar] [CrossRef]
- Guo, P.; Fu, J.; Yang, X. Condition Monitoring and Fault Diagnosis of Wind Turbines Gearbox Bearing Temperature Based on Kolmogorov-Smirnov Test and Convolutional Neural Network Model. Energies 2018, 11, 2248. [Google Scholar] [CrossRef]
- Zhuang, Z.Y.; Hocine, A. Meta goal programming approach for solving multi-criteria de Novo programming problem. Eur. J. Oper. Res. 2018, 265, 228–238. [Google Scholar] [CrossRef]
- Zhuang, Z.-Y.; Hocine, A.; Kouaissah, N.; Kiker, G.A. Optimising sustainable renewable energy portfolios using a multi-tolerance fuzzy goal programming approach. Int. J. Green Energy 2022, 1–16. [Google Scholar] [CrossRef]
- Ligęza, P. Basic, Advanced, and Sophisticated Approaches to the Current and Forecast Challenges of Wind Energy. Energies 2021, 14, 8147. [Google Scholar] [CrossRef]
- Pandit, R.; Infield, D. Gaussian Process Operational Curves for Wind Turbine Condition Monitoring. Energies 2018, 11, 1631. [Google Scholar] [CrossRef]
- Hossain, M.L.; Abu-Siada, A.; Muyeen, S.M. Methods for Advanced Wind Turbine Condition Monitoring and Early Diagnosis: A Literature Review. Energies 2018, 11, 1309. [Google Scholar] [CrossRef]
- Leahy, K.; Gallagher, C.; O’Donovan, P.; O’Sullivan, D.T.J. Issues with Data Quality for Wind Turbine Condition Monitoring and Reliability Analyses. Energies 2019, 12, 201. [Google Scholar] [CrossRef]
- Sanati, H.; Wood, D.; Sun, Q. Condition Monitoring of Wind Turbine Blades Using Active and Passive Thermography. Appl. Sci. 2018, 8, 2004. [Google Scholar] [CrossRef]
Publisher’s Note: MDPI stays neutral with regard to jurisdictional claims in published maps and institutional affiliations. |
© 2022 by the authors. Licensee MDPI, Basel, Switzerland. This article is an open access article distributed under the terms and conditions of the Creative Commons Attribution (CC BY) license (https://creativecommons.org/licenses/by/4.0/).