Abstract
The manufacture of Ordinary Portland cement (OPC) generates around 8% of the global CO2 emissions related to human activities. The last 20 years have seen considerable efforts in the research and development of methods to lower the carbon footprint associated with cement production. Specific focus has been on limiting the use of OPC and employing alternative binders, such as calcium sulfoaluminate (CSA) cements, namely special hydraulic binders obtained from non-Portland clinkers. CSA cements could be considered a valuable OPC alternative thanks to their distinctive composition and technical performance and the reduced environmental impact of their manufacturing process. To additionally reduce CO2 emissions, CSA cements can also be blended with supplementary cementitious materials. This paper investigates the influence of two separately added chemical activators (NaOH or Na2CO3) on the technical properties and hydration behavior of four CSA blended cements obtained by adding to a plain CSA cement two different ground granulated blast furnace slags. Differential thermal-thermogravimetric, X-ray diffraction and mercury intrusion porosimetry analyses were done, along with shrinkage/expansion and compressive strength measurements.
1. Introduction
Cement production requires a great number of raw materials and a large amount of energy and represents one of the leading causes of climate change due to greenhouse gas emissions, particularly CO2. In 2019, the cement production all over the world was equal to around 4.10 billion tons and its contribution to the anthropogenic carbon dioxide emissions was estimated to be as high as 8% [1,2,3]. With a growing focus on energy efficiency and sustainable production [4], technological advancements in cement production have revealed methods to reduce CO2 emissions in the following ways: (a) more efficient manufacturing processes; (b) targeted use of non-traditional fuels and raw materials (e.g., non-carbonated CaO sources instead of limestone); (c) carbon capture and storage technologies [5]; (d) increased utilization of blended Portland cements; (e) further use of special hydraulic binders (such as alkali-activated and magnesium-based cements as well as calcium sulfoaluminate (CSA), belite and belite–calcium sulfoaluminate (BCSA) binders) [6,7,8,9,10,11,12,13,14,15,16,17,18,19,20,21,22,23].
CSA cements are obtained from non-Portland clinkers; ye’elimite (3CaO·3Al2O3·CaSO4) is their principal component and, on the basis of the synthesis temperature as well as the proportioning and the type of raw materials (typically limestone, natural gypsum and bauxite), different amounts of calcium sulfates, belite (2CaO·SiO2), brownmillerite (4CaO·Al2O3·Fe2O3), ternesite (4CaO·SiO2·CaSO4) and various calcium aluminates are also present [24].
The technical behavior of CSA cements is mainly controlled by the fast ettringite generation (3CaO·Al2O3·3CaSO4·32H2O), produced upon hydration of ye’elimite and lime and/or calcium sulfates; in addition, the amount of CaSO4 strongly influences the hydration rate as well as the phases generated upon the hydration of CSA cements [25,26,27,28,29,30]. During CSA hydration, aluminum hydroxide (Al2O3·3H2O), monosulfoaluminate (3CaO·Al2O3·CaSO4·12H2O), strätlingite (2CaO·Al2O3·SiO2·8H2O) and calcium silicate hydrate (C-S-H, where C, S and H stand for CaO, SiO2 and H2O, respectively) can be formed. CSA binders are also characterized by high chemical and frost resistance. As a result, the molar ratio of CaSO4 to 3CaO·3Al2O3·CaSO4 (M ratio) is a crucial parameter influencing the behavior of these cements. An M-value lower than 1.5 is characteristic for CSA binders with rapid setting and early hardening; when M is in the range of 1.5–2.5, self-stressing characteristics appear. Finally, CSA binders display expansive properties if M is higher than 2.5 [31,32,33]. CSA binders are also characterized by high chemical and frost resistance. Furthermore, their manufacturing process, in comparison with ordinary Portland cement (OPC), exhibits very interesting environmentally friendly features, namely: (I) reduced limestone concentration in the clinker-generating raw meal (around 60% less); (II) lower synthesis temperature (about 1300 °C); (III) minor grinding energy required for cement milling. All these aspects imply energy saving and reduced CO2 emissions [34]. Despite all these advantages, the high cost of CSA cements (depending on the elevated cost of bauxite) strongly limits their widespread use. In order to both reduce the cost and further lower the amount of CO2 associated with their production process, CSA cements can be blended with supplementary cementitious materials (SCMs), such as natural materials (e.g., limestone, natural pozzolan and calcined clays), energy production residues (e.g., coal fly ash, FA) and industrial byproducts (e.g., ground granulated blast furnace slag, GGBFS).
GGBFSs are generated in blast furnaces during the reduction process (at about 1800 °C) of iron ores (IOs) using siderurgical coke (SK) and flux limestone. Molten iron represents the principal product of the blast smelting furnace; all the other IOs and SK components form a liquid slag (LS), which, due to its lower density, floats on the melt pig iron (MPI); LS is then easily separated from the MPI and water-quenched to produce a GGBFS (usually containing more than 95% of glassy phase). This byproduct is mainly used as mineral addition in composite cements; when stimulated with the addition of a proper activator (e.g., calcium and sodium sulfates, calcium hydroxide, sodium hydroxide and carbonate) [35,36,37], GGBFS exhibits a cementitious behavior (latent hydraulic activity) and/or pozzolanic features (ability to react with calcium hydroxide, Ca(OH)2) [38,39,40]. In both cases, hydration products, such as C-S-H, C-A-H (calcium aluminate hydrate, where A stands for Al2O3), C-(A)-S-H (calcium (alumino)-silicateo hydrate) and Mg6Al2(CO3)(OH)16·4H2O (hydrotalcite, Ht), can be formed. While blended-Portland cements were extensively investigated in the past [41,42,43,44,45,46], far fewer studies have focused on blended CSA cements [47,48,49,50,51,52,53,54,55,56,57].
This paper was devoted to the exploration of the influence of two separately added chemical activators (NaOH or Na2CO3) on the hydration properties and technical behavior of four blended CSA cements containing two different GGBFSs. The hydration properties were evaluated using differential thermal-thermogravimetric (DT-TG), X-ray diffraction (XRD) and mercury intrusion porosimetry (MIP) analyses; the technical behavior was estimated by means of setting times and mechanical compressive strength (MCS) measurements as well as dimensional stability (DMS) tests. To obtain further insight into the influence of the two activators on both slags, the hydration behavior of four binary systems, each based on a different GGBFS and Na2CO3 or NaOH, was also evaluated.
2. Experimental Set-Up
2.1. Materials
A CSA industrial cement (R_C) was kindly supplied by the BUZZI UNICEM cement Company. Two GGBFSs (A and B) were used as cement substitutes, each generated in a pig iron plant, in South and Central Italy. The slags were finely pulverized in a laboratory planetary mill (Fritsch Pulverisette 6) in order to pass through a 90 μm sieve.
The chemical and mineralogical (only for R_C) composition together with the loss on ignition (l.o.i.) for R_C (containing 18% mass of natural anhydrite); A and B are indicated in Table 1.
Table 1.
Chemical and mineralogical (only for R_C) composition for the binder components, wt%.
The three materials were also characterized in terms of specific mass and surface (determined according to the EN 196-6) using a pycnometer and the Blaine apparatus, respectively. The particle size distribution for R_C, A and B was also determined by means of the Malvern Mastersizer 2000 (Malvern-Panalytical Italy, Milan, Italy) laser particle analyzer. Both NaOH (I) and Na2CO3 (C) were analytical reagents grade (Carlo Erba ≥99% purity).
Eight systems, namely the four binary and four ternary mixtures, were laboratory prepared. The binary mixtures contained the sole slag (A or B) and I or C. The ternary mixtures included R_C and A or B plus I or C. The composition of the binary and ternary mixtures is indicated in Table 2. R_C was employed as a control term.
Table 2.
Composition of raw mixtures, wt%.
2.2. Hydration Procedures, Setting Times and Expansion/Shrinkage Measurements
R_C, the four binary and the four ternary mixtures were hydrated using a water/solid (w/s) mass ratio equal to 0.50; the pastes were then poured into cylindrical molds (30 mm in diameter and 15 mm high), which were put in a thermostatic bath at 20 °C. At each established aging period, the hardened binary pastes were finely grounded for DT-TG measurements; the other cylinders were broken in half: one part was submitted to MIP analyses, the other grounded for DT-TG and XRD measurements. Acetone (to stop hydration) and diethyl ether (to remove water + acetone) were employed for the treatment of all the specimens, which were subsequently left in a desiccator containing soda lime and silica gel to ensure protection against atmospheric CO2 and H2O. The DT-TG and XRD analyses were conducted on both binary and ternary mixtures cured from 2 to 180 days. The MIP studies were carried out on samples, aged from 2 up to 180 days. Setting times were determined on CSA-based cement pastes using the Vicat apparatus according to the EN 196-3. For the DMS measurements [17], CSA-based pastes were shaped as small prisms (15 × 15 × 78 mm); the prisms were left at 20 °C in the air for 8 h and then demolded. One set of samples was kept in still water at 20 °C; the remaining samples were stored in a climate chamber at 20 °C and 50% R.H. The length variations were evaluated as the average values of four measurements taken with a caliper (accurate to ±1 μm); the reference length was measured after demolding [17].
2.3. Mechanical Tests
The MCS tests were carried out on CSA cement-based mortars prepared in accordance with the EN 196-1 and aged for periods ranging from 2 to 180 days. Three prisms (six determinations) were tested for each CSA-based mortar at each aging period.
2.4. Characterization Techniques
2.4.1. X-ray Fluorescence (XRF) Analysis
XRF analysis was employed to evaluate the chemical composition of the investigated materials (Table 1) and was performed using an energy dispersive BRUKER Explorer S4 apparatus (Bruker Italy, Milan, Italy; maximum power = 1 kW).
2.4.2. Simultaneous DT-TG Analysis
Simultaneous DT-TG analysis was carried out with a NetzchTasc (Netzch Italy, Verona, Italy) 414/3 apparatus operating in the air in the 20–1000 °C temperature interval (at a heating rate of 10 °C/min). To quantify the chemically bound water (CBW), TG analysis was also used; CBW was calculated from the mass loss from 30 °C to 600 °C and normalized to 100 g of dry binder.
2.4.3. XRD Analysis
XRD analysis was conducted using a BRUKER D2 PHASER diffractometer (Bruker Italy, Milan, Italy; CuKα radiation and 0.02°2θ s−1 scanning rate); it was equipped with EVA software for the estimation of the mineralogical composition and the amorphous content of the two GGBFSs and the phase composition of cements hydration products. The quantitative mineralogical composition for R_C- and CSA-based hydrated cements (of which the results were normalized to 100% of the accounted crystalline phases) was determined using the Rietveld method. Table 1 also lists the phases used for the Rietveld refinement and their ICDD (International Centre for Diffraction Data) codes. For the Rietveld refinement, the TOPAS software was utilized.
2.4.4. MIP Analysis
The porosity measurements were executed with a Hg-porosimeter (Thermo-Finnigan Pascal 240 Series, Thermo Electron S.p.A., Milan, Italy, EVA software v 4.0, maximum pressure 200 MPa); it was equipped with a low-pressure unit (140 Series, operating between 100 and 400 kPa) able to generate a high vacuum level (10 Pa).
3. Results and Discussion
From the chemical analysis (Table 1), it can be argued that CaO, Al2O3, SO3 and SiO2 are, in the order, the main oxides present in R_C. QXRD values clearly show that ye’elimite, belite, anhydrite, brownmillerite, celite (3CaO·Al2O3) and gehlenite (2CaO·Al2O3·SiO2) are, in sequential order, the main mineralogical phases for R_C. Table 1 also indicates that CaO and SiO2 are the main oxides for both the GGBFS samples, while Al2O3 and MgO can be considered as secondary components. Furthermore, the quality factor (Qf = (CaO + MgO + Al2O3)/(SiO2 + TiO2)), the hydration modulus (Hm = (CaO + MgO + Al2O3)/(SiO2)) and the coefficient of basicity (Kb = (CaO + MgO)/(SiO2 + Al2O3)) values for A and B are equal to 1.67 and 1.65, 1.70 and 1.67 and 1.02 and 1.03, respectively. These results allow for the classification of both the slags as hydraulic (as their Hm is higher than 1.4) and neutral (as 0.9 < Kb < 1.1) [58]. The mineralogical composition for the two slags is reported in Figure 1.
Figure 1.
XRD patterns for A (a) and B (b). Symbols: $ = calcite (CaCO3); # = akermanite (2CaO·MgO·2SiO2); @ = anhydrite (CaSO4).
The XRD patterns for A (Figure 1a) and B (Figure 1b) are quite similar; their glassy nature, responsible for their reactivity, is highlighted by a broad hump located in the 2θ range 14°–37°. The glassy content (evaluated by adding 10% mass of corundum as internal standard in each sample) was equal to 96% and 98% mass for A and B, respectively. The presence of crystalline phases (calcite, anhydrite and akermanite) is clearly evident in the diffraction profiles.
The specific mass and Blaine fineness for R_C, A and B were equal to 2.75, 2.78 and 2.83 g/cm3 and 4500 ± 50, 4200 ± 50 and 4300 ± 50 cm2/g, respectively. Figure 2 reports the particle size distribution for R_C, A and B in terms of the cumulative distribution percentage.
Figure 2.
Particle size (cumulative) distribution for R_C, A and B.
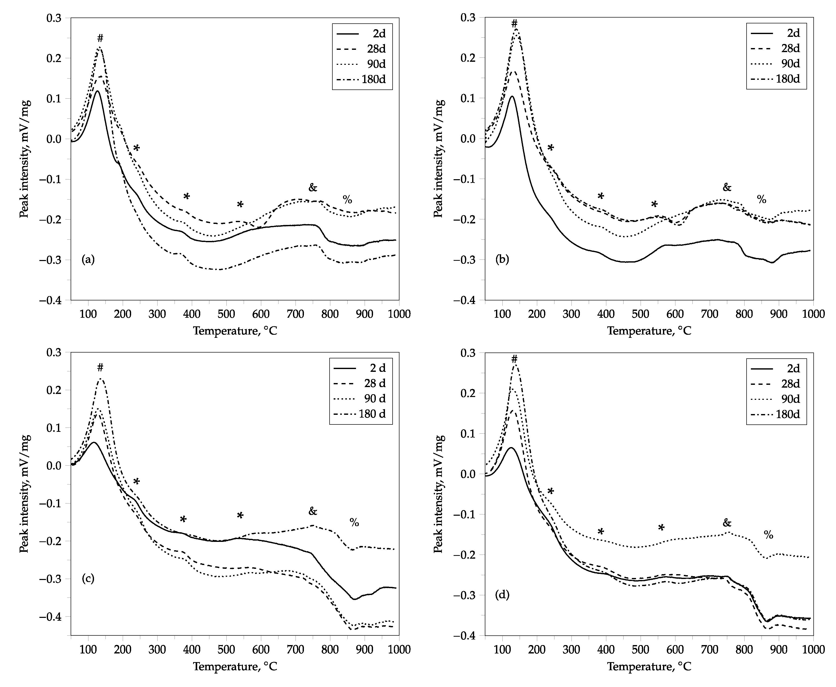
The DT outcomes for the four binary mixtures, hydrated between 2 to 180 days, are displayed in Figure 3.
Figure 3.
DT for AI (a), AC (b), BI (c) and BC (d) hydrated pastes (w/s = 0.50) for 2, 28, 90 and 180 days. Symbols: # = calcium silicate hydrates/calcium silico (aluminate) hydrates (C-S-H/C-(A)-S-H); * = hydrotalcite; & = calcite (CaCO3); % = crystallization slag effect.
Five endothermic peaks were observed for all the investigated curing periods [59]. The first peak (T = 135 °C ± 4 °C) was assigned to the dehydration of C-S-H/C-(A)-S-H, while the second (T = 247 °C ± 4 °C), the third (T = 382 °C ± 8 °C) and the fourth (T = 551 °C ± 5 °C) correspond to the dehydration, dehydroxylation and decarbonation of Ht. The last endothermal peak (T = 735 °C ± 17 °C) is related to the decarbonation of calcite. In addition, an exothermic effect was recorder at 894 °C ± 20 °C due to the crystallization of the slags. The growth of the endothermal peaks is clear when the curing period is increased. The TG curves (not reported here) revealed a mass loss increase due to ongoing hydration.
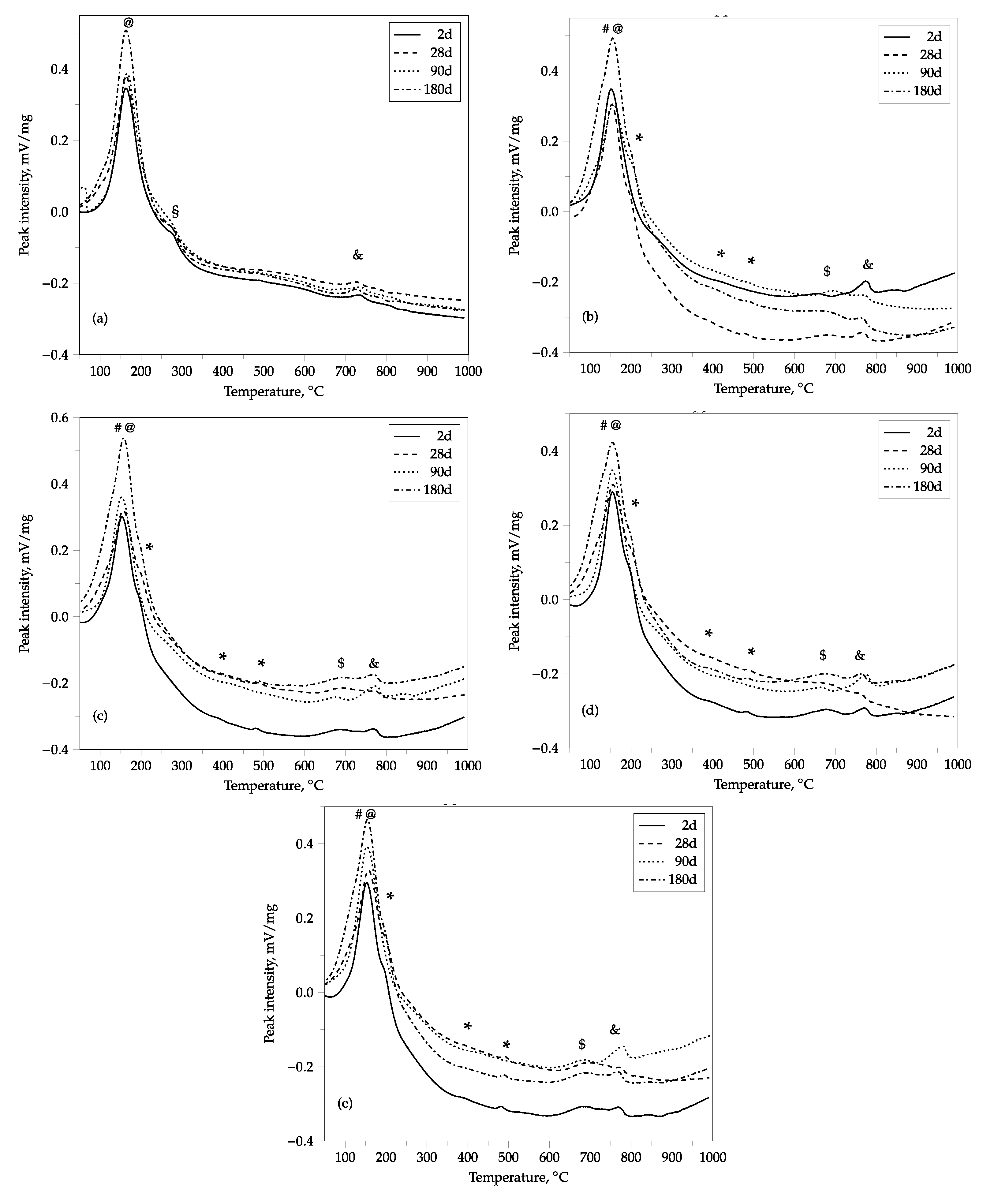
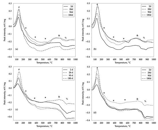
Figure 4 shows the DT curves for R_C, R_AI, R_AC, R_BI and R_BC cured between 2 and 180 days. The DT plots display that the hydration behavior of the explored systems is mainly governed by the reaction of 3CaO·3Al2O3·CaSO4 with CaSO4 to form 3CaO·Al2O3·3CaSO4·32H2O.
Figure 4.
DT for R_C (a) R_AI (b), R_AC (c), R_BI (d) and R_BC (e) hydrated pastes (w/s = 0.50) for 2, 28, 90 and 180 days. Symbols: # = calcium silicate hydrates/calcium silico (aluminate) hydrates; @ = ettringite; § = aluminum hydroxide; * = hydrotalcite; $ = magnesite (MgCO3); & = calcite.
Ettringite, aluminum hydroxide (identified only in R_C), magnesite and calcite were identified by the following fourth dehydration endothermal peaks [59]: 155 °C ± 2 °C, 274 °C ± 15 °C, 682 °C ± 7 °C and 771 °C ± 3 °C. Furthermore, three peaks, related to the Ht s, were observed in the CSA-blended cements. C-S-H and C-(A)-S-H, coming from the hydration of the activated slags, were not evident due to the overlapping of the ettringite DT signal.
The hydration rates for R_C, R_AI, R_ AC, R_BI and R_BC were also estimated through the calculation of the amount of CBW (Figure 5).
Figure 5.
CBW determined up to 180 days of curing (w/b = 0.5 and normalized to 100 g of dry binder) for R_C, R_AI, R_AC, R_BI and R_BC.
Figure 5 clearly demonstrates that the five binders follow an analogous trend during the first 7 days of hydration; in this period, the hydration rate was very fast thanks to the rapid formation of ettringite. After about one month of curing, the R_C curve displays an almost steady value, while those for the blended cements show a slight linear growth, owing to the continuous hydraulic reaction of the slags.
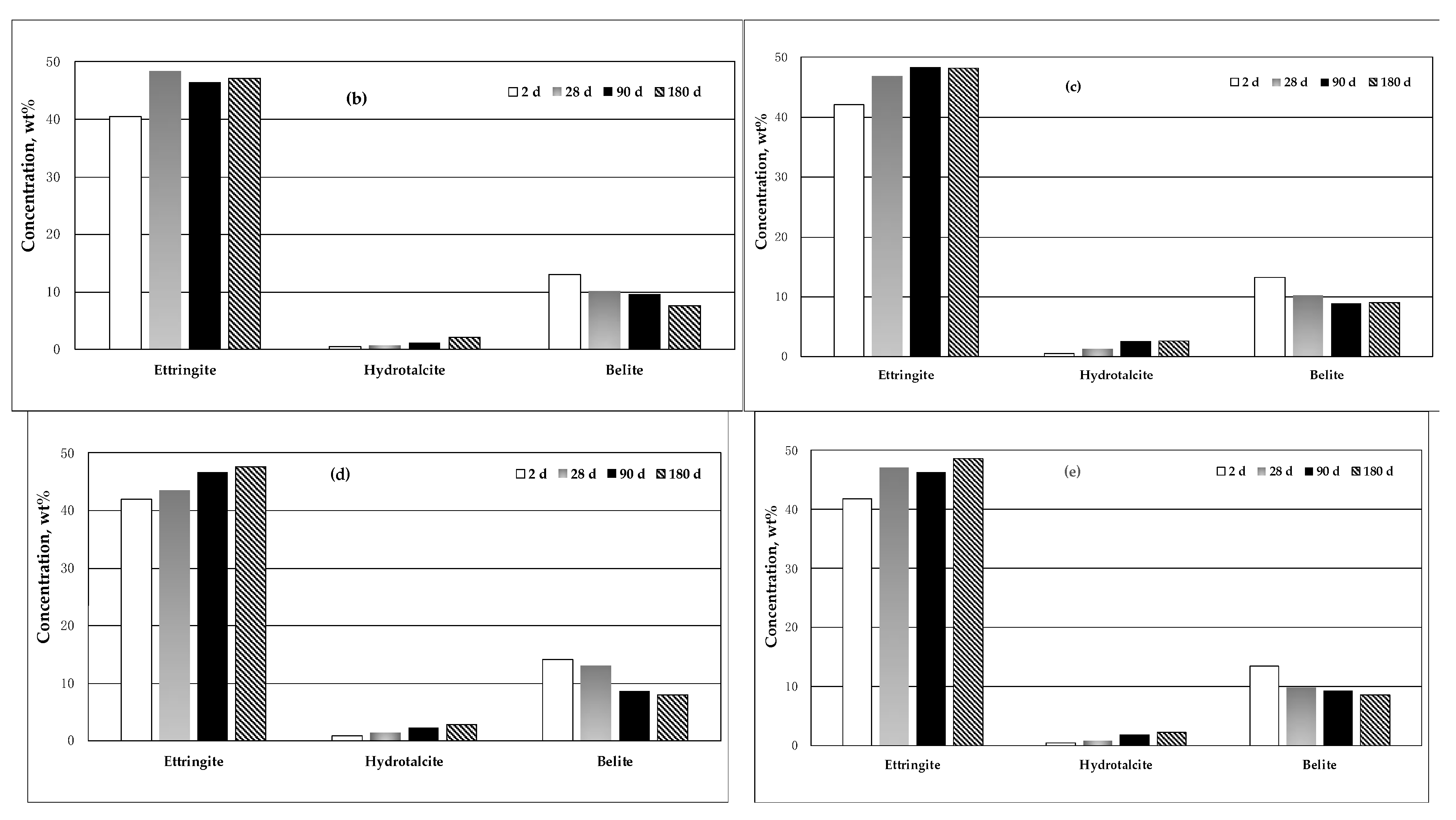
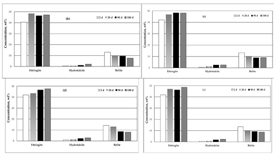
The hydration process was also estimated by means of QXRD analysis; it allowed for the evaluation of the reduction of reactants, the development of new products and the presence of inert phases between 2 and 180 days. Figure 6 shows the evolution of ettringite, hydrotalcite and belite concentrations, as a function of curing times. On the whole, it can be concluded that QXRD results strongly agree with the DT analyses outcomes. High amounts of ettringite were already present after two days of curing in all CSA-based cements; at 28 days, the ettringite concentration reaches its maximum value and remains almost constant until 180 days of curing. No ye’elimite was observed after since two days of curing; however, the presence of belite was found in the five systems at all the investigated curing periods, and its concentration value gradually decreases with the increase in curing times.

Figure 6.
Ettringite, hydrotalcite and belite concentrations (determined by the Rietveld method) for R_C (a), R_AI (b), R_AC (c), R_BI (d) and R_BC (e) at 2, 28, 90 and 180 days of curing.
As expected, peaks related to the presence of Ht, formed thanks to the hydration reaction of A or B, were found in the XRD patterns for the four ternary systems; in particular, the concentration values for Ht slightly rose with the increase in hydration age.
The setting times for the CSA-based systems are reported in Figure 7.
Figure 7.
Setting times for the CSA-based systems (IS = initial setting time; FS = final setting time).
The initial and final setting time for R_C are equal to 10.0 and 18.0 min, respectively; the initial setting times for blended cement pastes increase to 15.0 min for R_AC and R_BC and to 15.5 and 16.0 min for R_AI and R_BI, respectively. Similarly, the final setting times for CSA-blended cements also increase, being equal to 19.0 min for R_AC, 20.0 min for R_AI and R_BI and 20.5 min for R_BC. Consequently, it can be argued that the delay of setting times for blended CSA cements only depends on the presence of the slags; however, the blended CSA binders can be still considered as rapid setting cements.
The MCS results for the five CSA-based mortars are reported in Figure 8; as expected, for all the systems, the mechanical strength values continuously increase with an increase in curing time.
Figure 8.
MCS results for CSA-based mortars cured between 2–180 days.
At the shortest curing period (2 days), the blended cements exhibit compressive strength values about 22% lower than mortars only containing R_C; this is due to the dilution effect of the GGBFS + activator. Subsequently, as curing time increases, the MCS gap reduces thanks to the continuous hydration of the chemically activated slag. Finally, after 180 days of curing, the blended cements containing Na2CO3 show almost the same MCS values as the reference system; on the contrary, the MCS values for the others mortars are almost 8% lower than those for R_C-based mortar for the same curing period.
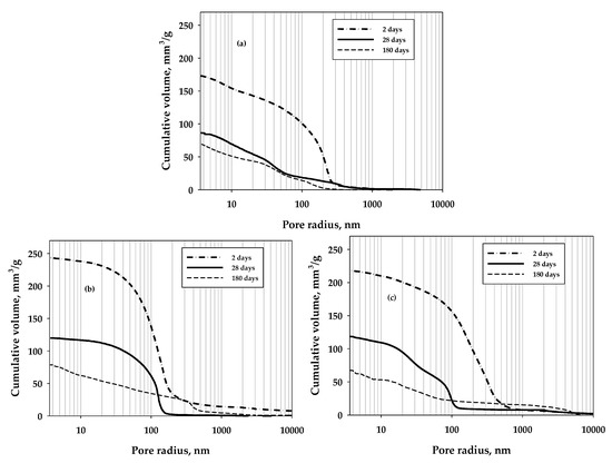
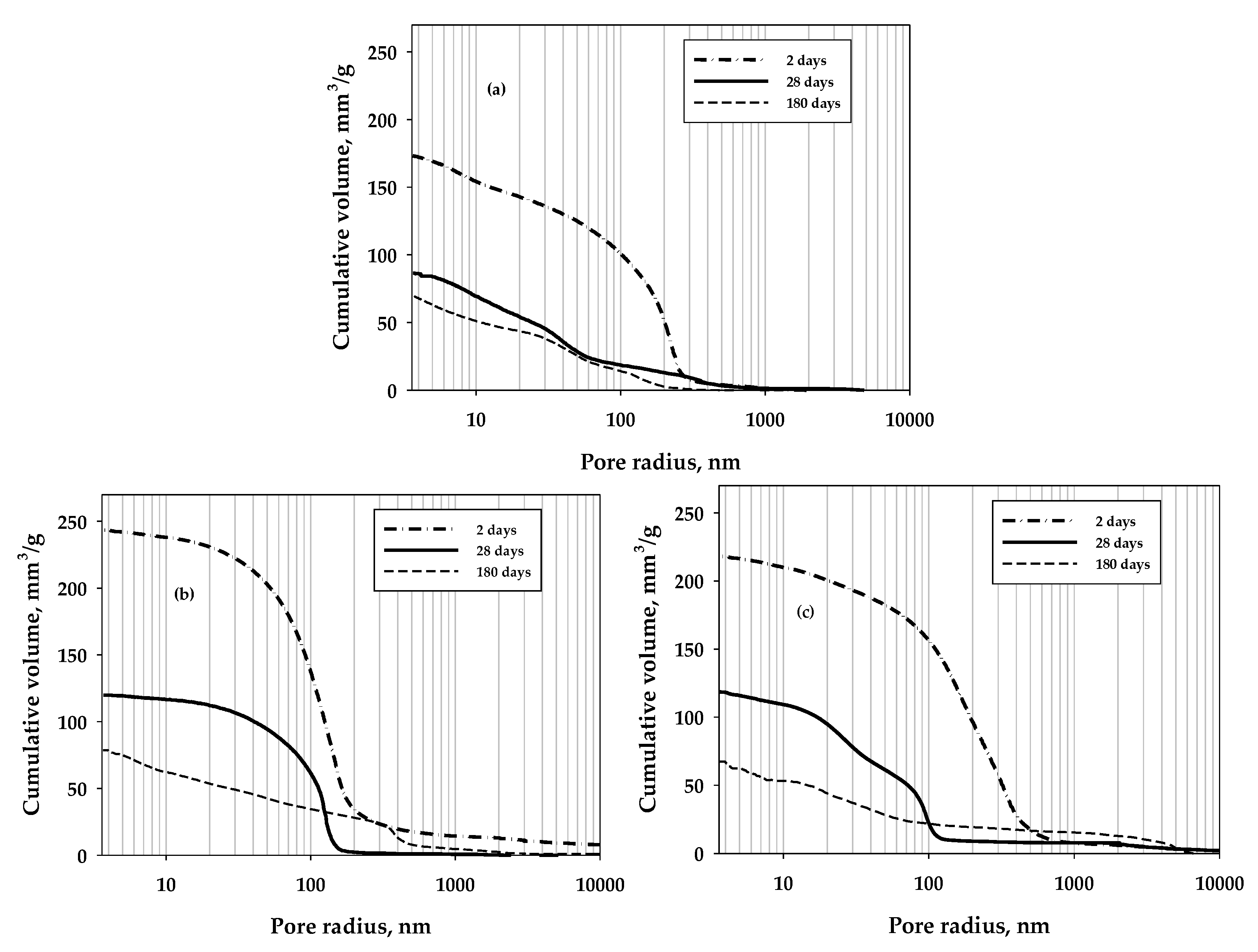
Figure 9 reports the porosimetric plots for the CSA-based binder pastes cured at 2, 28 and 180 days; they display the cumulative curves for the intruded Hg volume vs. pore radius. The plots show that the total intruded volume reduces with the increase in curing time. For R_C (Figure 9a), the total cumulative volume (TCV) reduced from about 173 mm3/g at 2 days of curing to 70 mm3/g after 6 months. In the same period, the TCV, respectively, decreases of around 68% (from 243 mm3/g to 79 mm3/g) and 69% (from 218 mm3/g to 67 mm3/g) for the R_AI and R_AC systems (Figure 9b,c). As far as the two ternary B-based systems are concerned, the TCV decreases of about 63% (from 213 mm3/g to 79 mm3/g) for R_BI and 72% (from 195 mm3/g to 55 mm3/g) for R_BC.

Figure 9.
Cumulative Hg volume as a function of pore radius for C_R (a), C_AI (b), C_AC (c), C_BI (d) and C_BC (e) hydrated pastes (w/b = 0.5) at 2, 28 and 180 days.
Finally, Figure 10 shows the total porosity percentage (TPP) for the five systems as a function of curing time. The curves highlight an analogous trend for all the cement pastes, whose TPP values significantly vary between 2 and 28 days. However, no relevant changes for TPP were observed at longer curing times. In particular, at 2 days of hydration, the lowest and the highest TPP values were shown by R_C (30.5%) and R_BI (36.2%), respectively. Finally, at the longest curing time, the total porosity for the ternary systems containing NaOH was higher (17.6% for R_AI and 20.8% for R_BI) than that for R_C (15.6%); on the other hand, when Na2CO3 was employed, the TPP values for R_AC (14.5%) and R_BC (14.7%) were slightly lower than that of the reference system.
Figure 10.
TPP for R_C, R_AI, R_AC, R_BI and R_BC hydrated pastes (w/b = 0.5) between 2, 28 and 180 days.
Figure 11 displays the expansion (E)/shrinkage (S) curves (in terms of length changes) for R_C, R_AI, R_AC, R_BI and R_BC.
Figure 11.
DMS curves for CSA-based pastes (air- and water-cured).
The E and S curves show that the five binders differ very little from each other, both when cured in the air and submerged under water. Similarly to R_C, when left in the air, the four blended cement pastes display continuous and low shrinkage for the first 20 or so days of curing; for all the systems, the maximum value of steady shrinkage is in the range of −0.1% (for R_C) and −0.2% (for R_BC). As far as water curing is concerned, the highest expansion values were achieved after about 40 days of hydration; they were in the range of 0.06% (for R_BC) to 0.14% (for R_C).
4. Conclusions
This paper aimed to investigate the influence of two ground granulated blast furnace slags (GGBFSs, A and B), activated by NaOH or Na2CO3, on the performances of GGBFS-based calcium sulfoaluminate (CSA) cements. The use of GGBFS as a secondary cementitious component reduces the costs of CSA cements and enhances their environmentally friendly features, mainly in terms of decreased CO2 emissions and high energy saving associated with their manufacturing process.
The hydration tests, carried out on four blended CSA cements (each containing 18.4% of the mass of A or B and 1.6% of the mass of I or C), indicated that the ettringite concentration was lower than that found in the plain CSA binder (R_C); however, this gap was outweighed by the formation of other products (e.g., hydrotalcite, calcium (alumino) silicate hydrate) from the hydration of the activated slags and forming at curing periods longer than 56 days. This aspect was particularly evident in the systems containing Na2CO3.
Furthermore, GGBFS-based CSA cement mortars demonstrated compressive mechanical strength values lower than the R_C mortars for curing times up to 56 days and almost equal for longer curing times. Specifically, at 90 and 180 days of curing, the best mechanical performances were obtained by mortars containing Na2CO3; these results were confirmed by the porosimetric investigations. Similarly to R_C pastes, the blended CSA cements exhibited negligible expansion and shrinkage values, both when submerged in water and exposed to the air, thus confirming their good dimensional stability. On the whole, the properties of the investigated blended cements systems are influenced by the type of the added chemical activator; as a matter of fact, systems containing Na2CO3 displayed better technical performances than those with NaOH. Therefore, Na2CO3 can be recommended as a GGBFS activator in the CSA-blended cements, because it is cheaper, safer and easier to manage than NaOH.
Author Contributions
A.T.: Conceptualization; methodology; formal analysis; investigation; data curation; writing—original draft preparation; writing—review and editing. M.M.: Conceptualization; methodology; formal analysis; investigation; data curation; writing—original draft preparation; writing—review and editing. All authors have read and agreed to the published version of the manuscript.
Funding
This research received no external funding.
Institutional Review Board Statement
Not appropriate.
Informed Consent Statement
Not applicable.
Data Availability Statement
The data presented in this study are available on request from the corresponding author.
Conflicts of Interest
The authors declare no conflict of interest.
References
- Telesca, A.; Matschei, T.; Marroccoli, M. Study of eco-friendly belite-calcium sulfoaluminate cements obtained from special wastes. Appl. Sci. 2020, 10, 8650. [Google Scholar] [CrossRef]
- IEA. Global Energy and CO2 Emissions in 2020. Available online: https://www.iea.org/reports/global-energy-review-2020/global-energy-and-co2-emissions-in-2020 (accessed on 28 May 2021).
- Tregambi, C.; Solimene, R.; Montagnaro, F.; Salatino, P.; Marroccoli, M.; Ibris, N.; Telesca, A. Solar-driven production of lime for ordinary Portland cement formulation. Sol. Energy 2018, 173, 759–768. [Google Scholar] [CrossRef]
- Schneider, M. The cement industry on the way to a low-carbon future. Cem. Concr. Res. 2019, 124, 105792. [Google Scholar] [CrossRef]
- Miller, S.A.; Monteiro, P.J.M.; Ostertag, C.P.; Horvath, A. Concrete mixture proportioning for desired strength and reduced global warming potential. Constr. Build. Mater. 2016, 128, 410–421. [Google Scholar] [CrossRef]
- Shi, C.; Qu, B.; Provis, J.L. Recent progress in low-carbon binders. Cem. Concr. Res. 2019, 122, 227–250. [Google Scholar] [CrossRef]
- Gartner, E.; Sui, T. Alternative cement clinkers. Cem. Concr. Res. 2018, 114, 27–39. [Google Scholar] [CrossRef]
- Luukkonen, T.; Abdollahnejad, Z.; Yliniemi, J.; Kinnunen, P.; Illikainen, M. One-part alkali-activated materials: A review. Cem. Concr. Res. 2018, 103, 21–34. [Google Scholar] [CrossRef]
- Myers, R.J.; Lothenbach, B.; Bernal, S.A.; Provis, J.L. Thermodynamic modelling of alkali-activated slag cements. Appl. Geochem. 2015, 61, 233–247. [Google Scholar] [CrossRef]
- Provis, J.L.; van Deventer, J.S.J. Alkali-Activated Materials: State-of-the-Art Report, RILEM TC 224-AAM; Springer: Berlin, Germany; RILEM: Dordrecht, The Netherlands, 2014. [Google Scholar]
- Dung, N.T.; Unluer, C. Development of MgO concrete with enhanced hydration and carbonation mechanisms. Cem. Concr. Res. 2018, 103, 160–169. [Google Scholar] [CrossRef]
- Gomez, C.M.; de Oliveira, A.D.S. Chemical phases and microstructural analysis of pastes based on magnesia cement. Con. Build. Mater. 2018, 188, 615–620. [Google Scholar] [CrossRef]
- Walling, S.A.; Provis, J.L. Magnesia-Based Cements: A Journey of 150 Years, and Cements for the Future? Chem. Rev. 2016, 116, 4170–4204. [Google Scholar] [CrossRef]
- Mobili, A.; Telesca, A.; Marroccoli, M.; Tittarelli, F. Calcium sulfoaluminate and alkali-activated fly ash cements as alternative to Portland cement: Study on chemical, physical-mechanical, and durability properties of mortars with the same strength class. Constr. Build. Mater. 2020, 246, 118436. [Google Scholar] [CrossRef]
- Ben Haha, M.; Winnefeld, F.; Pisch, A. Advances in understanding ye’elimite-rich cements. Cem. Concr. Res 2019, 123, 105778. [Google Scholar] [CrossRef]
- Telesca, A.; Marroccoli, M.; Tomasulo, M.; Valenti, G.L.; Dieter, H.; Montagnaro, F. Low-CO2 cements from fluidized bed process wastes and other industrial byproducts. Comb. Sci. Tech. 2016, 188, 492–503. [Google Scholar] [CrossRef]
- Telesca, A.; Marroccoli, M.; Pace, M.L.; Tomasulo, M.; Valenti, G.L.; Monteiro, P.J.M. A hydration study of various calcium sulfoaluminate cements. Cem. Concr. Comp. 2014, 53, 224–232. [Google Scholar] [CrossRef]
- Irico, S.; Gastaldi, D.; Canonico, F.; Magnacca, G. Investigation of the microstructural evolution of calcium sulfoaluminate cements by thermoporometry. Cem. Concr. Res. 2013, 53, 239–247. [Google Scholar] [CrossRef]
- Winnefeld, F.; Lothenbach, B. Hydration of calcium sulfoaluminate cements—Experimental findings and thermodynamic modelling. Cem. Concr. Res. 2010, 40, 1239–1247. [Google Scholar] [CrossRef]
- Selçuk, N.; Soner, I.; Selçuk, E. Synthesis of special cement with fluidized bed combustion ashes. Adv. Cem. Res. 2010, 22, 107–113. [Google Scholar] [CrossRef]
- Marroccoli, M.; Pace, M.L.; Telesca, A.; Valenti, G.L. Synthesis of Calcium sulfoaluminate cements from Al2O3-rich by-products from Aluminium Manufacture. In Proceedings of the 2nd International Conference on Sustainable Construction Materials and Technologies, Ancona, Italy, 28–30 June 2010; Zachar, J., Claisse, P., Naik, T.R., Ganjiam, E., Eds.; UWM Center for By-Products Utilization: Milwaukee, WI, USA, 2010; p. 161. [Google Scholar]
- Marroccoli, M.; Montagnaro, F.; Pace, M.L.; Valenti, G.L. Use of fluidized bed combustion ash and other industrial wastes as raw materials for the manufacture of calcium sulphoaluminate cements. In Proceedings of the 20th International Conference on Fluidized Bed Combustion, Xi’an, China, 18–21 May 2009; Yue, G., Zhang, H., Zhao, C., Luo, Z., Eds.; Springer: Berlin/Heidelberg, Germany, 2009; pp. 389–395. [Google Scholar]
- Chaunsali, P.; Vaishnav, K. Calcium-sulfoaluminate-belite cements: Opportunities and challenges. Indian Concr. J. 2020, 94, 18–25. [Google Scholar]
- Telesca, A.; Marroccoli, M.; Winnefeld, F. Synthesis and characterization of calcium sulfoaluminate cements produced by different chemical gypsums. Adv. Cem. Res. 2019, 31, 113–123. [Google Scholar] [CrossRef]
- Winnefeld, F.; Martin, L.H.J.; Müller, C.J.; Lothenbach, B. Using gypsum to control hydration kinetics of CSA cements. Const. Build. Mater. 2017, 155, 154–163. [Google Scholar] [CrossRef]
- Jansen, D.; Spies, A.; Neubauer, J.; Ectors, D.; Goetz-Neunhoeffer, F. Studies on the early hydration of two modifications of ye’elimite with gypsum. Cem. Concr. Res. 2017, 91, 106–116. [Google Scholar] [CrossRef]
- Gallardo-Heredia, M.; Almanza-Robles, J.M.; Magallanes-Rivera, R.X.; Cortes-Hernández, D.A.; Escobedo-Bocardo, J.C.; Avila-López, U. Calcium sulfoaluminate cement pastes from industrial wastes: Effect of hemihydrate content. Mater. Struct. 2017, 50, 93. [Google Scholar] [CrossRef]
- Garcia-Mate, M.; De la Torre, A.G.; Leon-Reina, L.; Losilla, E.R.; Aranda, M.A.G.; Santacruz, I. Effect of calcium sulfate source on the hydration of calcium sulfoaluminate eco-cement. Cem. Concr. Compos. 2015, 55, 53–61. [Google Scholar] [CrossRef]
- Alvarez-Pinazo, G.; Santacruz, I.; Aranda, M.A.G.; De la Torre, A.G. Hydration of belite-ye’elimite-ferrite cements with different calcium sulfate sources. Adv. Cem. Res. 2016, 28, 529–543. [Google Scholar] [CrossRef]
- Li, C.; Li, J.; Telesca, A.; Marchon, D.; Xu, K.; Marroccoli, M.; Jiang, Z.; Monteiro, P.J.M. Effect of polycarboxylate ether on the expansion of ye’elimite hydration in the presence of anhydrite. Cem. Concr. Res. 2021, 140, 106321. [Google Scholar] [CrossRef]
- Zhang, L. Microstructure and Performance of Calcium Sulfoaluminate Cements. Ph.D. Thesis, University of Aberdeen, Aberdeen, UK, 2000. [Google Scholar]
- Zhang, L.; Su, M.; Wang, Y. The third cement series in China. World Cem. 1994, 25, 6–10. [Google Scholar]
- Zhang, L.; Su, M.Z.; Wang, Y.M. Development of the use of sulfo-and ferroaluminate cements in China. Adv. Cem. Res. 1999, 11, 15–21. [Google Scholar] [CrossRef]
- Mobili, A.; Belli, A.; Giosué, C.; Telesca, A.; Marroccoli, M.; Tittarelli, F. Calcium sulfoaluminate, geopolimeric, and cementitious mortars for structural applications. Environment 2017, 4, 64. [Google Scholar] [CrossRef] [Green Version]
- Jeong, Y.; Oh, J.E.; Jun, Y.; Park, J.; Ha, J. Influence of four additional activators on hydrated-lime [Ca(OH)2] activated ground granulated blast-furnace slag. Cem. Concr. Comp. 2016, 65, 1–10. [Google Scholar] [CrossRef]
- Kolani, B.; Buffo-Lacarrière, L.; Sellier, A.; Escadeillas, G.; Boutillon, L.; Linger, L. Hydration of slag-blended cement. Cem. Concr. Comp. 2012, 34, 1009–1018. [Google Scholar] [CrossRef]
- Sajedi, F.; Abdul Razak, H. Comparison of different methods for activation of ordinary Portland cement-slag mortars. Constr. Build. Mater. 2011, 25, 30–38. [Google Scholar] [CrossRef] [Green Version]
- Giergiczny, Z. Fly ash and slag. Cem. Concr. Res. 2019, 124, 105826. [Google Scholar] [CrossRef]
- Matthes, W.; Vollpracht, A.; Villagrán, Y.; Kamali-Bernard, S.; Hooton, D.; Gruyaert, E.; Soutsos, M.; De Belie, N. Ground granulated blast-furnace slag. RILEM State Art Rep. 2018, 25, 1–53. [Google Scholar] [CrossRef]
- Yuksel, I. Blast-furnace slag. Waste Suppl. Cem. Mater. Concr. 2018, 361–415. [Google Scholar] [CrossRef]
- Cardinale, T.; D’Amato, M.; Sulla, R.; Cardinale, N. Mechanical and Physical Characterization of Papercrete as New Eco-Friendly Construction Material. Appl. Sci. 2021, 11, 1011. [Google Scholar] [CrossRef]
- Diaz-Loya, I.; Juenger, M.; Seraj, S.; Minkara, R. Extending supplementary cementitious material resources: Reclaimed and remediated fly ash and natural pozzolans. Cem. Concr. Compos. 2019, 101, 44–51. [Google Scholar] [CrossRef]
- Juenger, M.C.G.; Snellings, R.; Bernal, S.A. Supplementary cementitious materials: New sources, characterization, and performance insights. Cem. Concr. Res. 2019, 122, 257–273. [Google Scholar] [CrossRef]
- Snellings, R. Assessing, understanding and unlocking supplementary cementitious materials. RILEM Tech. Lett. 2016, 1, 50–55. [Google Scholar] [CrossRef] [Green Version]
- Juenger, M.C.G.; Siddique, R. Recent advances in understanding the role of supplementary cementitious materials in concrete. Cem. Concr. Res. 2015, 78, 71–80. [Google Scholar] [CrossRef]
- De Weerdt, K.; Ben Haha, M.; Le Saout, G.; Kjellsen, K.O.; Justnes, H.; Lothenbach, B. Hydration mechanisms of ternary Portland cements containing limestone powder and fly ash. Cem. Concr. Res. 2011, 41, 279–291. [Google Scholar] [CrossRef]
- Gao, D.; Zhang, Z.; Meng, Y.; Tang, J.; Yang, L. Effect of Flue Gas Desulfurization Gypsum on the Properties of Calcium Sulfoaluminate Cement Blended with Ground Granulated Blast Furnace Slag. Materials 2021, 14, 382. [Google Scholar] [CrossRef]
- Kim, T.; Ki_Young, Y.S.; Kang, C.; Lee, T.-K. Development of Eco-Friendly Cement Using a Calcium Sulfoaluminate Expansive Agent Blended with Slag and Silica Fume. Appl. Sci. 2021, 11, 394. [Google Scholar] [CrossRef]
- Yoon, H.N.; Seo, J.; Kim, S.; Lee, H.K.; Park, S. Hydration of calcium sulfoaluminate cement blended with blast-furnace slag. Const. Build. Mater. 2021, 268, 121214. [Google Scholar] [CrossRef]
- Bertola, F.; Gastaldi, D.; Canonico, F.; Paul, G. CSA and slag: Towards CSA composite binders. Adv. Cem. Res. 2019, 31, 147–158. [Google Scholar] [CrossRef]
- Gao, D.; Meng, Y.; Yang, L.; Tang, J.; Lv, M. Effect of ground granulated blast furnace slag on the properties of calcium sulfoaluminate cement. Constr. Build. Mater. 2019, 227, 116665. [Google Scholar] [CrossRef]
- Jun, Y.; Hong Kim, J.; Kim, T. Hydration of calcium sulfoaluminate-based binder incorporating red mud and silica fume. Appl. Sci. 2019, 9, 2270. [Google Scholar] [CrossRef] [Green Version]
- Martin, L.H.J.; Winnefeld, F.; Tschopp, E.; Müller, C.J.; Lothenbach, B. Influence of fly ash on the hydration of calcium sulfoaluminate cement. Cem. Concr. Res. 2017, 95, 152–163. [Google Scholar] [CrossRef]
- Martin, L.H.J.; Winnefeld, F.; Müller, C.J.; Lothenbach, B. Contribution of limestone to the hydration of calcium sulfoaluminate cement. Cem. Concr. Comp. 2015, 62, 204–211. [Google Scholar] [CrossRef]
- Hargis, G.W.; Telesca, A.; Monteiro, P.J.M. Calcium sulfoaluminate (ye’elimite) hydration in the presence of gypsum, calcite and vaterite. Cem. Concr. Res. 2014, 65, 15–20. [Google Scholar] [CrossRef]
- García-Maté, M.; De la Torre, A.G.; León-Reina, L.; Aranda, M.A.; Santacruz, I. Hydration studies of calcium sulfoaluminate cements blended with fly ash. Cem. Concr. Compos. 2013, 54, 12–20. [Google Scholar] [CrossRef] [Green Version]
- Telesca, A.; Ibris, N.; Marroccoli, M. Use of potabilized water sludge in the production of low-energy blended calcium sulfoaluminate cements. Appl. Sci. 2021, 11, 1679. [Google Scholar] [CrossRef]
- Samui, P.; Kim, D.; Iyer, N.R.; Chaudhary, S. New Materials in Civil Engineering; Elsevier: Amsterdam, The Netherlands, 2020. [Google Scholar] [CrossRef]
- Taylor, H.F.W. Cement Chemistry, 2nd ed.; Academic Press: London, UK, 1997; p. 480. [Google Scholar] [CrossRef]
Publisher’s Note: MDPI stays neutral with regard to jurisdictional claims in published maps and institutional affiliations. |
© 2021 by the authors. Licensee MDPI, Basel, Switzerland. This article is an open access article distributed under the terms and conditions of the Creative Commons Attribution (CC BY) license (https://creativecommons.org/licenses/by/4.0/).












